Predicting Car Rental Prices: A Comparative Analysis of Machine Learning Models
Abstract
1. Introduction
- We demonstrated the potential application of our study to rental car companies by performing rental car price predictions, which have not been effectively studied owing to several factors, based on real industry data.
- The results confirm that car rental service consumers can be provided with more accurate price predictions to enable their decision-making process.
- The proposed method will assist rental car companies in deciding important business plans such as pricing and marketing strategies.
- The proposed approach can be applied to price prediction and related research in various industrial fields beyond the rental car industry.
2. Method
2.1. Data Sources
2.2. Data Preprocessing
2.3. Single-Step Forecasting
2.3.1. Random Forest Regression
2.3.2. Multilayer Perceptron
2.3.3. Convolutional Neural Networks
2.3.4. Long Short-Term Memory
2.3.5. Autoregressive Integrated Moving Average
2.3.6. Informer
- ProbSparse Self-Attention: The self-attention mechanism of the existing Transformer model exhibits the limitation of high computational complexity and memory usage in proportion to the input sequence length. To solve these problems, ProbSparse Self-Attention was introduced in the Informer model. This increases the computational and memory efficiencies by selectively performing the calculations for only the most important queries, which are identified with a high probability:where Q is the query matrix, K the key matrix, V the value matrix, the sparse matrix (same size as Q,) and d the dimension of the key vectors.
- Distilling Operation: Through this operation, the model extracts only important information from the input sequence and compresses it into sequences that are shorter than the input. This significantly improves the computational efficiency, particularly when dealing with long-sequence data.
- Multiscale Time Embedding: The Informer model uses multiscale time embedding to learn the patterns at different timescales, which can deal with the prediction of data for multiple periods.
2.4. Multi-Step Forecasting
2.5. Bayesian Optimization Hyperband (BOHB) for Multi-Step Forecasting
3. Results
3.1. Performance Metric
3.1.1. Mean Absolute Error
3.1.2. Mean Squared Error
3.1.3. Root Mean Squared Error
3.1.4. Correlation
3.1.5. p-Value of Correlation
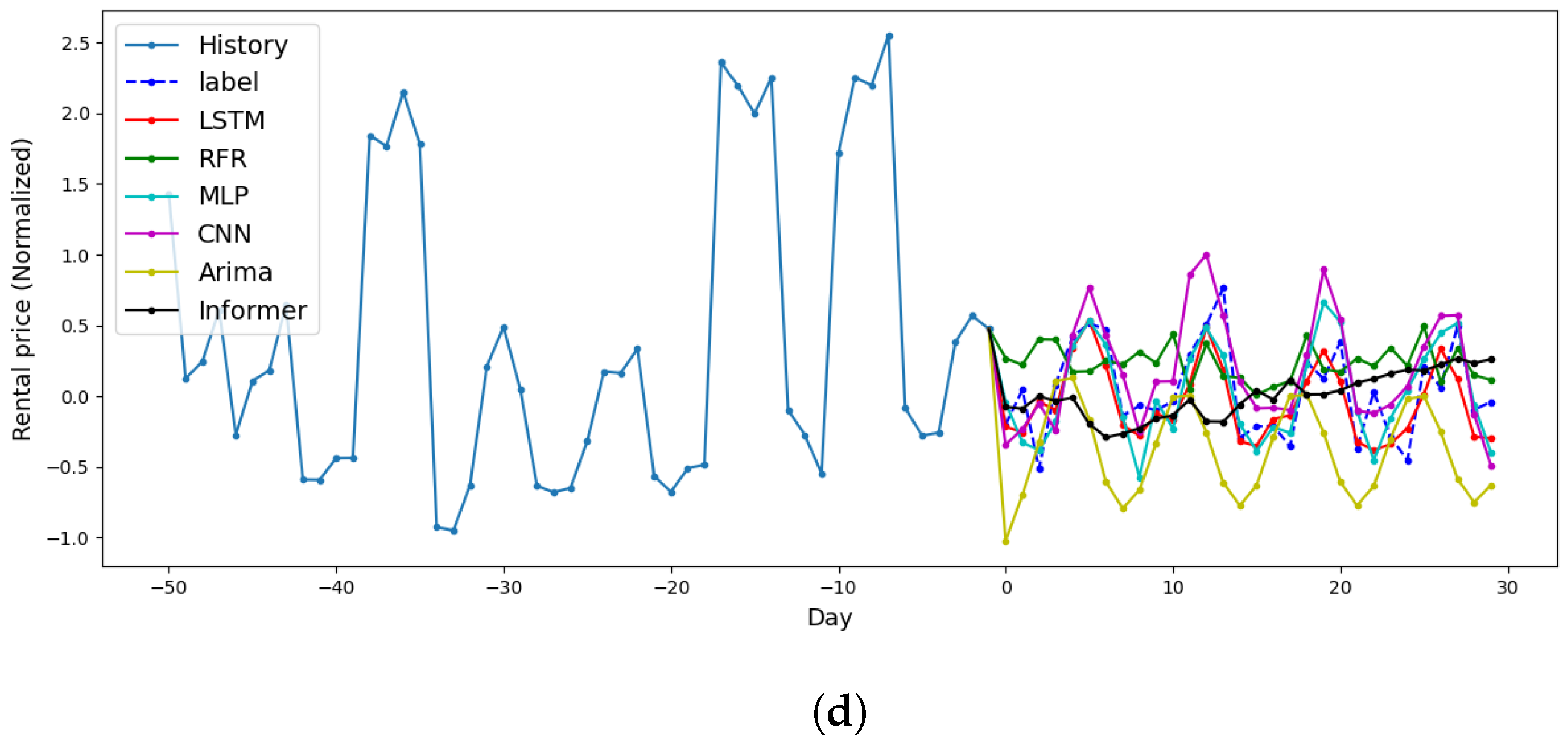
3.2. Results of Single-Step Forecasting
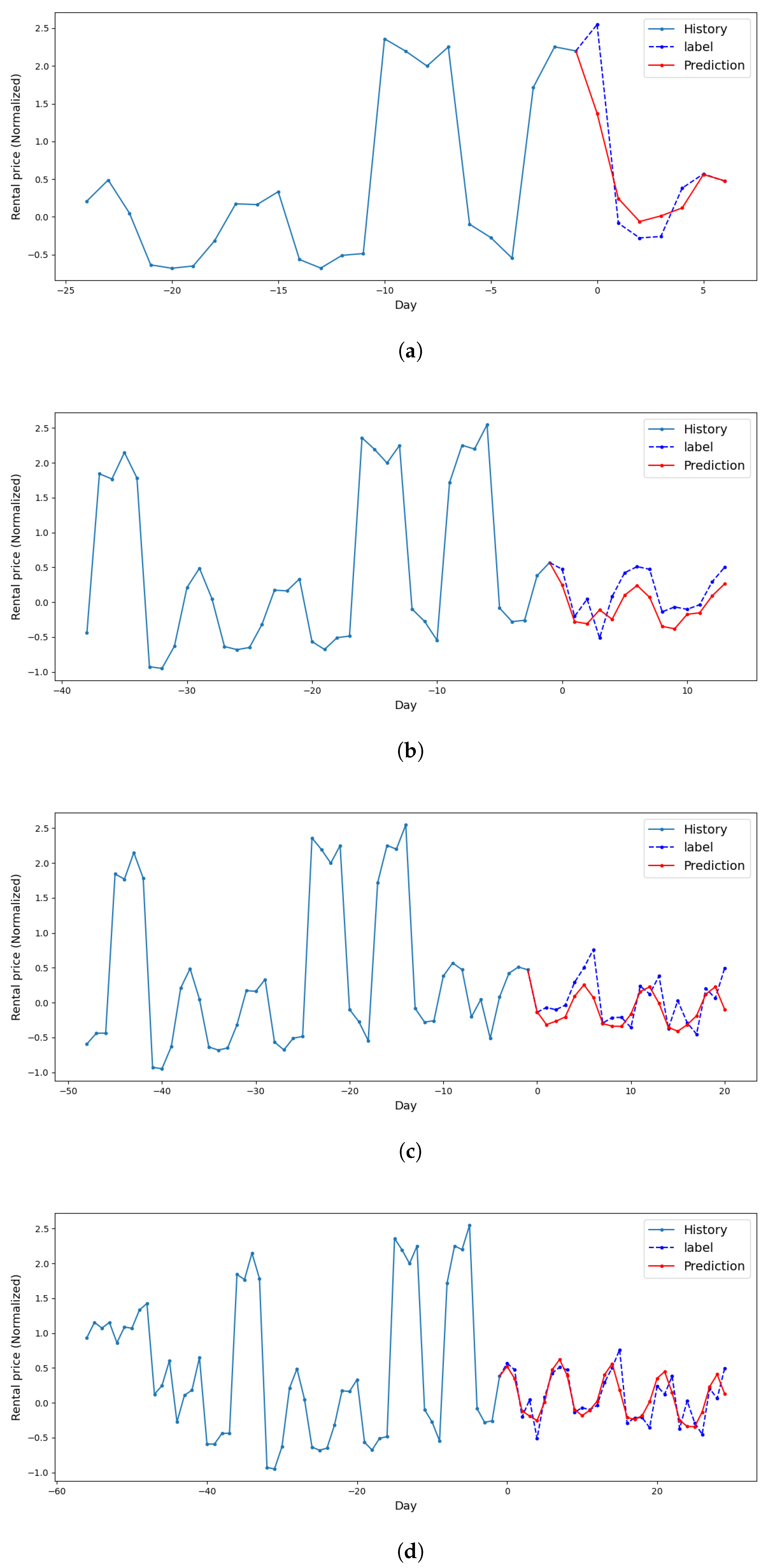
3.3. Result of the Multi-Step Forecasting Experiment
3.4. Result of BOHB-Optimized Multi-Step Forecasting
4. Discussion
5. Conclusions
Author Contributions
Funding
Data Availability Statement
Conflicts of Interest
References
- Statista Research Department. Leading Car Manufacturing Countries Worldwide 2023. Available online: https://www.statista.com/statistics/584968/leading-car-manufacturing-countries-worldwide/ (accessed on 11 June 2024).
- Breiman, L. Random Forests. Mach. Learn. 2001, 45, 5–32. [Google Scholar] [CrossRef]
- Rumelhart, D.E.; Hinton, G.E.; Williams, R.J. Parallel Distributed Processing: Explorations in Microstructure of Cognition; MIT Press: Cambridge, MA, USA, 1986; Volume 1, pp. 318–362. [Google Scholar]
- Borovykh, A.; Bohte, S.; Oosterlee, C.W. Conditional Time Series Forecasting with Convolutional Neural Networks. In Proceedings of the International Conference on Artificial Neural Networks (ICANN), Alghero, Italy, 11–15 September 2017. [Google Scholar]
- Hochreiter, S.; Schmidhuber, J. Long Short-Term Memory. Neural Comput. 1997, 9, 1735–1780. [Google Scholar] [CrossRef]
- Box, G.E.; Jenkins, G.M.; Reinsel, G.C. Forecasting. Time Ser. Anal. 2008, 12, 137–191. [Google Scholar]
- Falkner, S.; Klein, A.; Hutter, F. BOHB: Robust and Efficient Hyperparameter Optimization at Scale. In Proceedings of the International Conference on ML, Stockholm, Sweden, 10–15 July 2018. [Google Scholar]
- Ariyo, A.A.; Adewumi, A.O.; Ayo, C.K. Stock Price Prediction Using the ARIMA Model. In Proceedings of the 16th International Conference on Computer Modelling and Simulation (UKSim), Cambridge, UK, 26–28 March 2014; pp. 106–112. [Google Scholar]
- Lim, W.T.; Wang, L.; Wang, Y.; Chang, Q. Housing Price Prediction Using Neural Networks. In Proceedings of the 12th International Conference on Natural Computation, Fuzzy Systems and Knowledge Discovery (ICNC-FSKD), Changsha, China, 23–26 August 2016; pp. 518–522. [Google Scholar]
- Chiroma, H.; Abdulkareem, S.; Herawan, T. Evolutionary Neural Network Model for West Texas Intermediate Crude Oil Price Prediction. Appl. Energy 2015, 142, 266–273. [Google Scholar] [CrossRef]
- Monburinon, N.; Chertchom, P.; Kaewkiriya, T.; Rungpheung, S.; Buya, S.; Boonpou, P. Prediction of Prices for Used Car by Using Regression Models. In Proceedings of the 5th International Conference on Business and Industrial Research (ICBIR), Bangkok, Thailand, 10–12 May 2018; pp. 115–119. [Google Scholar]
- Dey, R.; Salem, F.M. Gate-Variants of Gated Recurrent Unit (GRU) neural networks. In Proceedings of the IEEE 60th International Midwest Symposium on Circuits and Systems (MWSCAS), Boston, MA, USA, 6–9 August 2017; pp. 1597–1600. [Google Scholar]
- Ben Taieb, S.; Bontempi, G.; Atiya, A.F.; Sorjamaa, A. Review and Comparison of Strategies for Multi-Step Ahead Time Series Forecasting based on NN5 forecasting competition. Expert Syst. Appl. 2012, 39, 7067–7083. [Google Scholar] [CrossRef]
- Bontempi, G.; Ben Taieb, S.; Borgne, Y.-A. ML Strategies for Time Series Forecasting. In Proceedings of the Business 499 Intelligence: Second European Summer School (eBISS 2012), Brussels, Belgium, 15–21 July 2012; pp. 62–77. [Google Scholar]
- Nhamo, G.; Dube, K.; Chikodzi, D. Impact of COVID-19 on Global Rental Car Industry and Ride and Share Transport Services. In Counting the Cost of COVID-19 on the Global Tourism Industry; Springer: Cham, Switzerland, 2020. [Google Scholar]
- Kaliappan, J.; Jayakumar, K.; Hu, Y.-C.; Srinivasan, K. Impact of Cross-Validation on Machine Learning Models for Early Detection of Intrauterine Fetal Demise. Diagnostics 2023, 13, 1692. [Google Scholar] [CrossRef] [PubMed]
- Speiser, J.L.; Miller, M.E.; Tooze, J.; Ip, E. A Comparison of Random Forest Variable Selection Methods for Classification Prediction Modeling. Expert Syst. Appl. 2019, 134, 93–101. [Google Scholar] [CrossRef] [PubMed]
- Cheng, L.; Chen, X.; De Vos, J.; Lai, X.; Witlox, F. Applying a Random Forest Method Approach to Model Travel Mode Choice Behavior. Travel Behav. Soc. 2019, 14, 1–10. [Google Scholar] [CrossRef]
- Farnaaz, N.; Jabbar, M.A. Random Forest Modeling for Network Intrusion Detection System. Procedia Comput. Sci. 2016, 89, 213–217. [Google Scholar] [CrossRef]
- Biau, G.; Scornet, E. A Random Forest Guided Tour. Test 2016, 25, 197–227. [Google Scholar] [CrossRef]
- Kane, M.J.; Price, N.; Scotch, M.; Rabinowitz, P. Comparison of ARIMA and Random Forest Time Series Models for Prediction of Avian Influenza H5N1 Outbreaks. BMC Bioinform. 2014, 15, 1–9. [Google Scholar] [CrossRef] [PubMed]
- Strobl, C.; Malley, J.; Tutz, G. An Introduction to Recursive Partitioning: Rationale, Application, and Characteristics of Classification and Regression Trees, Bagging, and Random Forests. Psychol. Methods 2009, 14, 323. [Google Scholar] [CrossRef] [PubMed]
- Wu, H.; Cai, Y.; Wu, Y.; Zhong, R.; Li, Q.; Zheng, J.; Lin, D.; Li, Y. Time Series Analysis of Weekly Influenza-Like Illness Rate Using a One-Year Period of Factors in Random Forest Regression. Biosci. Trends 2017, 11, 292–296. [Google Scholar] [CrossRef] [PubMed]
- Li, Y.; Li, Y.; Liu, Y. Research on Used Car Price Prediction Based on Random Forest and LightGBM. In Proceedings of the 2022 IEEE 2nd International Conference on Data Science and Computer Application (ICDSCA), Dalian, China, 28–30 October 2022; pp. 539–543. [Google Scholar]
- Raju, R.; Neyaz, A.; Ahmed, A.; Singh, A. Machine Learning for Rental Price Prediction: Regression Techniques and Random Forest Model. SSRN 2023, 4587725. Available online: https://papers.ssrn.com/sol3/papers.cfm?abstract_id=4587725 (accessed on 16 November 2023).
- Wright, C.; Mäkelä, P.; Bigot, A.; Anttinen, M.; Boström, P.J.; Blanco Sequeiros, R. Deep learning prediction of non-perfused volume without contrast agents during prostate ablation therapy. Biomed. Eng. Lett. 2023, 13, 31–40. [Google Scholar] [CrossRef] [PubMed]
- Guzelbulut, C.; Shimono, S.; Yonekura, K.; Suzuki, K. Detection of Gait Variations by Using Artificial Neural Networks. Biomed. Eng. Lett. 2022, 12, 369–379. [Google Scholar] [CrossRef] [PubMed]
- Nwankpa, C.; Ijomah, W.; Gachagan, A.; Marshall, S. Activation Functions: Comparison of Trends in Practice and Research for Deep Learning. arXiv 2018, arXiv:1811.03378. [Google Scholar]
- Al-Turjman, F.; Hussain, A.A.; Alturjman, S.; Altrjman, C. Vehicle Price Classification and Prediction Using Machine Learning in the IoT Smart Manufacturing Era. Sustainability 2022, 14, 9147. [Google Scholar] [CrossRef]
- Sabiri, B.; El Asri, B.; Rhanoui, M. Mechanism of Overfitting Avoidance Techniques for Training Deep Neural Networks. In Proceedings of the 24th International Conference on Enterprise Information Systems (ICEIS); 2022. Available online: https://www.researchgate.net/publication/360503583_Mechanism_of_Overfitting_Avoidance_Techniques_for_Training_Deep_Neural_Networks (accessed on 13 January 2022).
- Krizhevsky, A.; Sutskever, I.; Hinton, G.E. ImageNet Classification with Deep Convolutional Neural Networks. In Proceedings of the International Conference on Neural Information Processing Systems (NIPS), Lake Tahoe, NV, USA, 3–6 December 2012. [Google Scholar]
- Jozefowicz, R.; Vinyals, O.; Schuster, M.; Shazeer, N.; Wu, Y. Exploring the Limits of Language Modeling. arXiv 2016, arXiv:1602.02410. [Google Scholar]
- Hinton, G.; Deng, L.; Yu, D.; Dahl, G.; Mohamed, A.; Jaitly, N.; Senior, A.; Vanhoucke, V.; Nguyen, P.; Sainath, T.N.; et al. Deep Neural Networks for Acoustic Modelling in Speech Recognition. IEEE Signal Process. Mag. 2012, 29, 82–97. [Google Scholar] [CrossRef]
- Koprinska, I.; Wu, D.; Wang, Z. Convolutional Neural Networks for Energy Time Series Forecasting. In Proceedings of the International Joint Conference on Neural Networks (IJCNN), Rio de Janeiro, Brazil, 8–13 July 2018. [Google Scholar]
- Binkowski, M.; Marti, G.; Donnat, P. Autoregressive Convolutional Neural Networks for Asynchronous Time Series. In Proceedings of the Time Series Workshop at International Conference on ML (ICML), Sydney, Australia, 6–11 August 2017. [Google Scholar]
- Mehtab, S.; Sen, J. Stock Price Prediction Using Convolutional Neural Networks on a Multivariate Timeseries. arXiv 2020, arXiv:2001.09769. [Google Scholar]
- Zou, J.; Zhang, L.; Li, Y.; Wang, M. Stock Market Prediction via Deep Learning Techniques: A Survey. arXiv 2022, arXiv:2212.12717. [Google Scholar]
- Du, K.; Wang, Y.; Li, X.; Zhang, H.; Chen, Y. An LSTM Based Deep Learning Method for Airline Ticket Price Prediction. In Neural Information Processing, Proceedings of the 27th International Conference, ICONIP 2020, Bangkok, Thailand, 18–22 November 2020; Springer International Publishing: Berlin/Heidelberg, Germany, 2020. [Google Scholar]
- Yang, J. Accurate Prediction and Analysis of College Students’ Performance from Online Learning Behavior Data. IEIE Trans. Smart Process. Comput. 2023, 12, 404–411. [Google Scholar] [CrossRef]
- Shahi, T.B.; Li, X.; Zeng, Y.; Li, W.; Zhang, H. Stock Price Forecasting with Deep Learning: A Comparative Study. Mathematics 2020, 8, 1441. [Google Scholar] [CrossRef]
- Poongodi, M.; Vijayakumar, V.; Chilamkurti, N. Bitcoin Price Prediction Using ARIMA Model. Int. J. Internet Technol. Secur. Trans. 2020, 10, 396–406. [Google Scholar] [CrossRef]
- Siami-Namini, S.; Tavakoli, N.; Siami Namin, A. A Comparative Analysis of Forecasting Financial Time Series Using ARIMA, LSTM, and BiLSTM. arXiv 2019, arXiv:1911.09512. [Google Scholar]
- Zhou, H.; Zhang, S.; Peng, J.; Zhang, S.; Li, J.; Xiong, H.; Zhang, W. Informer: Beyond Efficient Transformer for Long Sequence Time-Series Forecasting. Proc. AAAI Conf. Artif. Intell. 2021, 35, 11106–11115. [Google Scholar] [CrossRef]
- Gong, M.; Yan, C.; Xu, W.; Zhao, Z.; Li, W.; Liu, Y.; Li, S. Short-Term Wind Power Forecasting Model Based on Temporal Convolutional Network and Informer. Energy 2023, 283, 129171. [Google Scholar] [CrossRef]
- Jun, J.; Kim, H.K. Informer-Based Temperature Prediction Using Observed and Numerical Weather Prediction Data. Sensors 2023, 23, 7047. [Google Scholar] [CrossRef] [PubMed]
- Zhu, Q.; Han, J.; Chai, K.; Zhao, C. Time Series Analysis Based on Informer Algorithms: A Survey. Symmetry 2023, 15, 951. [Google Scholar] [CrossRef]
- Wu, J.; Chen, X.-Y.; Zhang, H.; Xiong, L.-D.; Lei, H.; Deng, S.-H. Hyperparameter Optimization for ML Models Based on Bayesian Optimization. J. Electron. Sci. Technol. 2019, 17, 26–40. [Google Scholar]
- Snoek, J.; Larochelle, H.; Adams, R.P. Practical Bayesian Optimization of ML Algorithms. In Proceedings of the Advances in Neural Information Processing Systems, Lake Tahoe, NV, USA, 3–8 December 2012; Volume 25. [Google Scholar]
- Li, L.; Jamieson, K.; DeSalvo, G.; Rostamizadeh, A.; Talwalkar, A. Hyperband: A Novel Bandit-Based Approach to Hyperparameter Optimization. J. Mach. Learn. Res. 2017, 18, 6765–6816. [Google Scholar]
- Jamieson, K.; Talwalkar, A. Non-Stochastic Best Arm Identification and Hyperparameter Optimization. In Proceedings of the Artificial Intelligence and Statistics, Cadiz, Spain, 9–11 May 2016. [Google Scholar]
- Bergstra, J.; Bardenet, R.; Bengio, Y.; Kégl, B. Algorithms for Hyper-Parameter Optimization. In Proceedings of the Advances in Neural Information Processing Systems, Granada, Spain, 12–17 December 2011; Volume 24. [Google Scholar]
- Viadinugroho, R.A.A.; Rosadi, D. A Weighted Metric Scalarization Approach for Multiobjective BOHB Hyperparameter Optimization in LSTM Model for Sentiment Analysis. Inf. Sci. 2023, 644, 119282. [Google Scholar] [CrossRef]
- Botchkarev, A. Performance Metrics (Error Measures) in Machine Learning Regression, Forecasting and Prognostics: Properties and Typology. arXiv 2018, arXiv:1809.03006. [Google Scholar]
- Hodson, T.O. Root Mean Square Error (RMSE) or Mean Absolute Error (MAE): When to Use Them or Not. Geosci. Model Dev. 2022, 15, 1–10. [Google Scholar] [CrossRef]
- Jierula, A.; Oh, T.-M.; Wang, P. Study on Accuracy Metrics for Evaluating the Predictions of Damage Locations in Deep Piles Using Artificial Neural Networks with Acoustic Emission Data. Appl. Sci. 2021, 11, 2314. [Google Scholar] [CrossRef]
- Scribbr. Understanding p-Values | Definition and Examples. Scribbr. 2021. Available online: https://www.scribbr.com/statistics/p-value/ (accessed on 16 July 2020).
- Khair, U.; Fahmi, H.; Al Hakim, S.; Rahim, R. Forecasting Error Calculation with Mean Absolute Deviation and Mean Absolute Percentage Error. J. Phys. Conf. Ser. 2017, 930, 012002. [Google Scholar] [CrossRef]
- Willmott, C.J.; Matsuura, K. Advantages of the Mean Absolute Error (MAE) Over the Root Mean Square Error (RMSE) in Assessing Average Model Performance. Clim. Res. 2005, 30, 79–82. [Google Scholar] [CrossRef]
- Kang, M.; Jung, Y. Predictive Analytics for Municipal Public Security: A Comprehensive Scheme Integrating Big Data and Regression Models. IEIE Trans. Smart Process. Comput. 2024, 13, 81–88. [Google Scholar] [CrossRef]
- Zeng, A.; Chen, M.; Zhang, L.; Xu, Q. Are Transformers Effective for Time Series Forecasting? Proc. AAAI Conf. Artif. Intell. 2023, 37, 11121–11128. [Google Scholar] [CrossRef]









| Forecasting Days | Window Size | Batch Size | Unit1 | Unit2 |
|---|---|---|---|---|
| 7 days | 20 | 8 | 64 | 64 |
| 14 days | 30 | 8 | 64 | 64 |
| 21 days | 40 | 8 | 64 | 64 |
| 30 days | 50 | 8 | 64 | 64 |
| Parameter | 7 Days | 14 Days | 21 Days | 30 Days | ||||
|---|---|---|---|---|---|---|---|---|
| Before | After | Before | After | Before | After | Before | After | |
| Window size | 20 | 24 | 30 | 38 | 40 | 48 | 50 | 56 |
| Batch size | 8 | 16 | 8 | 16 | 8 | 16 | 8 | 32 |
| Unit1 | 64 | 64 | 64 | 128 | 64 | 32 | 64 | 64 |
| Unit2 | 64 | 128 | 64 | 128 | 64 | 64 | 64 | 128 |
| Algorithm Used | MAE | MSE | RMSE | Correlation (p-Value) |
|---|---|---|---|---|
| RFR | 0.445 | 0.406 | 0.637 | 0.776 () |
| MLP | 0.475 | 0.436 | 0.660 | 0.750 () |
| CNN | 0.496 | 0.470 | 0.686 | 0.726 () |
| LSTM | 0.411 | 0.391 | 0.626 | 0.619 () |
| ARIMA | 0.199 | 0.091 | 0.302 | 0.954 () |
| Informer | 0.547 | 0.536 | 0.732 | 0.617 () |
| Algorithm | Predicted Days | MAE | MSE | RMSE | Correlation (p-Value) |
|---|---|---|---|---|---|
| RFR | 7-days | 0.646 | 0.736 | 0.858 | 0.205 () |
| 14-days | 0.633 | 0.709 | 0.842 | 0.208 () | |
| 21-days | 0.563 | 0.566 | 0.752 | 0.224 () | |
| 30-days | 0.497 | 0.437 | 0.661 | 0.179 () | |
| MLP | 7-days | 0.550 | 0.594 | 0.770 | 0.421 () |
| 14-days | 0.523 | 0.495 | 0.702 | 0.599 () | |
| 21-days | 0.452 | 0.409 | 0.634 | 0.478 () | |
| 30-days | 0.407 | 0.333 | 0.581 | 0.352 () | |
| CNN | 7-days | 0.537 | 0.542 | 0.736 | 0.510 () |
| 14-days | 0.483 | 0.431 | 0.667 | 0.595 () | |
| 21-days | 0.446 | 0.394 | 0.626 | 0.482 () | |
| 30-days | 0.395 | 0.354 | 0.574 | 0.356 () | |
| LSTM | 7-days | 0.486 | 0.458 | 0.677 | 0.604 () |
| 14-days | 0.439 | 0.393 | 0.627 | 0.658 () | |
| 21-days | 0.409 | 0.357 | 0.598 | 0.565 () | |
| 30-days | 0.378 | 0.294 | 0.542 | 0.518 () | |
| ARIMA | 7-days | 0.721 | 0.622 | 0.789 | −0.807 () |
| 14-days | 0.689 | 0.713 | 0.844 | −0.717 () | |
| 21-days | 0.794 | 1.077 | 1.038 | −0.570 () | |
| 30-days | 0.802 | 0.930 | 0.964 | −0.149 () | |
| Informer | 7-days | 0.672 | 0.845 | 0.919 | 0.335 () |
| 14-days | 0.665 | 0.779 | 0.882 | 0.223 () | |
| 21-days | 0.677 | 0.918 | 0.958 | 0.144 () | |
| 30-days | 0.673 | 0.930 | 0.964 | 0.089 () |
| Predicted Days | MAE | MSE | RMSE | Correlation (p-Value) | ||||
|---|---|---|---|---|---|---|---|---|
| Before | After | Before | After | Before | After | Before | After | |
| 7-days | 0.486 | 0.484 | 0.458 | 0.432 | 0.677 | 0.657 | 0.603 () | 0.613 () |
| 14-days | 0.439 | 0.432 | 0.393 | 0.401 | 0.627 | 0.633 | 0.658 () | 0.660 () |
| 21-days | 0.409 | 0.404 | 0.357 | 0.360 | 0.598 | 0.600 | 0.565 () | 0.570 () |
| 30-days | 0.378 | 0.367 | 0.294 | 0.287 | 0.542 | 0.535 | 0.518 () | 0.522 () |
Disclaimer/Publisher’s Note: The statements, opinions and data contained in all publications are solely those of the individual author(s) and contributor(s) and not of MDPI and/or the editor(s). MDPI and/or the editor(s) disclaim responsibility for any injury to people or property resulting from any ideas, methods, instructions or products referred to in the content. |
© 2024 by the authors. Licensee MDPI, Basel, Switzerland. This article is an open access article distributed under the terms and conditions of the Creative Commons Attribution (CC BY) license (https://creativecommons.org/licenses/by/4.0/).
Share and Cite
Yang, J.; Kim, J.; Ryu, H.; Lee, J.; Park, C. Predicting Car Rental Prices: A Comparative Analysis of Machine Learning Models. Electronics 2024, 13, 2345. https://doi.org/10.3390/electronics13122345
Yang J, Kim J, Ryu H, Lee J, Park C. Predicting Car Rental Prices: A Comparative Analysis of Machine Learning Models. Electronics. 2024; 13(12):2345. https://doi.org/10.3390/electronics13122345
Chicago/Turabian StyleYang, Jiseok, Jinseok Kim, Hanwoong Ryu, Jiwoon Lee, and Cheolsoo Park. 2024. "Predicting Car Rental Prices: A Comparative Analysis of Machine Learning Models" Electronics 13, no. 12: 2345. https://doi.org/10.3390/electronics13122345
APA StyleYang, J., Kim, J., Ryu, H., Lee, J., & Park, C. (2024). Predicting Car Rental Prices: A Comparative Analysis of Machine Learning Models. Electronics, 13(12), 2345. https://doi.org/10.3390/electronics13122345

