Abstract
Antenna design and optimization must ensure robust electrical performance, making its analysis a crucial step in all antenna design processes. Traditionally, this analysis involves setting up various cases after establishing the calculation model, comparing the performance of each case, and summarizing the impact of relevant factors to guide design and optimization. However, this method is time-consuming and inefficient. This paper proposes a sensitivity-based approach for analyzing antenna electrical performance, using a radome-covered array antenna as an example. First, we derive the formulas for calculating the antenna’s electrical performance and its sensitivity to the current amplitude, array element position, and radome thickness. We then design comparative experiments to analyze the antenna’s performance using the sensitivity-based method and the traditional case enumeration method. Comparing the conclusions of both methods, we find that they yield the same results regarding antenna performance. The proposed sensitivity-based method offers a quantitative evaluation of various influencing factors and provides a more scientific and systematic approach to analyzing antenna electrical performance.
1. Introduction
Antennas, as indispensable components of wireless communication systems, directly impact the efficiency and reliability of the entire system [1]. With the rapid development of communication technologies, the performance requirements for antennas are increasingly demanding. As highly integrated electronic equipment, antennas feature complex mechanical structures and feed networks. Enhancements in antenna performance involve multiple disciplines, including structural, thermal, and electromagnetic aspects [2,3,4]. Regardless of whether it involves a thermal or structural design, all antenna design work must ensure the antenna’s electrical performance. Analyzing this performance is an essential research step in various antenna designs. In traditional analyses of antenna electrical performance, the process begins by establishing a computational model of the antenna’s electrical characteristics. This is followed by setting multiple operating conditions based on input parameters to perform comparisons, thereby summarizing the impact of relevant parameters on the antenna’s electrical performance to guide its design and optimization. This method is not only time-consuming but also inefficient. This is particularly true in the design of phased array antennas, where the antenna’s electrical performance is influenced by multiple input parameters. To comprehensively understand the impact of each parameter, the number of required operating conditions can increase exponentially.
Currently, many scholars researching antenna design and compensation also explore the analysis of antenna electrical performance. In the field of electrical design for antennas, the references [5,6,7,8,9,10] employed interval analysis to compute the impact range of random amplitude-phase errors, for which the probability distribution is unknown, on the performance of array antennas. These studies derived the relationship between the boundaries of the power directional pattern and the phase errors of the antenna array. Additionally, representative numerical settings are used to validate the method under different cases. Reference [11] proposed a method to address the deterioration of the electrical performance in airborne array antennas caused by blockages from fixed obstacles. It identified the main shadow areas affected by electromagnetic propagation when the array antenna encounters fixed obstructions. The shadowed area was divided into small scattering units to reduce the solution range. Based on the characteristic modes of the units and coordinate transformations, a correlation model between the fixed obstacle–conformal array system and isolated units was established. Using this model, multiple operating conditions are applied to coaxially fed microstrip antenna conformal arrays as examples, verifying the accuracy of the derived electric field expressions for the conformal array and the multi-scatterer–conformal array system. Reference [12] introduced a method that combines scattering matrix techniques with microblog network theory for a trade-off between in-band scattering and radiation performance in broadband phased arrays. This method can effectively predict the radiation and scattering performance of effective phased arrays with unit-independent matching networks or loads. The design work verified that the scattering of the array is significantly reduced over the entire operating bandwidth after using this method.
In the field of antenna structural design, considerations often include the effects of manufacturing and installation errors or operational conditions causing structural deformations on the antenna’s electrical performance. In [13], the structural damage of large HF reflector antennas operating outdoors after exposure to environmental factors such as wind, rain, snow, and solar radiation was discussed. It proposed an optimization method for sub-reflector array active control and an active compensation method for electrical performance. Based on this approach, multiple operational conditions are applied using dual-reflector antennas as examples. By the real-time adjustment of the phase plane of the distorted aperture field, the method compensates for the antenna’s electrical performance. This addresses the inaccuracies in position error representations caused by systemic errors, which in turn affect the antenna’s electrical performance. Similarly considering structural errors’ impact on antenna electrical performance, reference [14] derived an estimation algorithm for the influence of channel correlation, hardware damage, and position errors on the uplink channel of array antennas. The algorithm accounts for channel correlation because, in practical applications, antenna arrays are often affected by multipath effects from surrounding objects, such as buildings, which alter the phase and amplitude of the received signals, thus impacting the entire system’s electrical performance. By analyzing the channel model, the algorithm can predict signal propagation losses and phase changes, providing directions for adjusting antenna design. Position errors can cause incorrect beam steering and distortion of the radiation pattern of the array. The algorithm provided a more accurate method for antenna correction by precisely simulating the impact of the positional inaccuracies of each antenna element on the electrical performance of the array antenna. Reference [15] introduced a γ conical representation method to account for the γ-order position correlation of continuous array elements. It compared the existing conical representation methods with the proposed γ conical representation method, generating simulated data for positional errors. Utilizing antenna theory and Feko, the corresponding electrical performance due to positional errors is calculated. A prediction model was established based on a linear programming support vector regression algorithm to evaluate the capabilities of different representation methods. Multiple operational conditions are presented to demonstrate the superiority of the γ conical representation method. Reference [16] proposed a statistical analysis method that considered the mutual coupling effects between array elements, using modal coupling to describe these interactions. Through multiple comparative operational conditions, it was shown that at the same magnitude, the normal errors in element positions more readily cause fluctuations in antenna radiation characteristics than the lateral errors in radiation element positions. However, the latter had a greater impact on mutual coupling effects. The findings underscore the necessity of meticulously allocating positional tolerances for radiating elements when designing high-precision antenna arrays. In [17], the random errors in the manufacturing and assembling process of millimeter-wave phased array antennas are investigated to establish the theoretical model of the excitation amplitude quantization error, on the basis of which the influence of different amplitude quantization steps on the antenna directional map is simulated by giving multiple sets of working conditions as an example of a 16 × 16 two-dimensional array antenna, and the analysis reveals the influence of the error on the antenna’s electrical performance.
In the field of thermal design for antennas, the thermal power dissipation of the T/R components on the antenna array surface is substantial, leading not only to a decline in device performance but also to the structural thermal deformation of the antenna array surface, both of which deteriorate the electrical performance of the antenna. Reference [18] presented a combined application of comprehensive impact parameters and finite element methods to perform thermal compensation control for phased array antennas, addressing the changes in the shape and alignment of phased array antenna panels caused by temperature variations. Multiple operational conditions are provided to validate that by adjusting and compensating for thermal deformations, the antenna can operate efficiently and accurately in various thermal environments. This method has been shown to not only reduce the complexity of thermal deformation modeling but also enhance predictive accuracy. In [19], the structural deformations of active phased array antennas, caused by thermal loads, were addressed. A phase compensation method and an amplitude-phase compensation method based on least squares were used. The electrical performance of the deformed antenna was compensated under the premise of obtaining the excitation adjustment value of the antenna unit, and the compensation effects of different methods are compared by setting up comparative working conditions.
From the aforementioned studies, it can be seen that the analysis of antenna electrical performance is an essential aspect of various research areas related to antenna electromagnetics, structure, and thermal properties. When researchers identify an error factor that impacts antenna electrical performance or seek to compensate for such an error, they typically summarize their findings by setting up multiple operating conditions. Rarely do studies derive formulas that quantitatively reflect the impact of these factors on antenna electrical performance. During research on the tolerance design of array antenna element positions, the author found that the impact of element position errors on antenna electrical performance, as reflected by sensitivity calculation formulas in mechanical design, is consistent with the impacts derived from different cases. This led to the idea of directly quantifying the impact of parameters on antenna electrical performance through sensitivity to these parameters, offering a more intuitive and reliable approach. Based on this, the paper proposes a sensitivity-based method for analyzing antenna electrical performance, which quantitatively assesses the impact of various parameter changes on antenna performance, providing a more scientific and systematic means of analysis. Through this method, designers can not only see the specific effects of parameter changes on performance visually but can also guide the initial antenna parameter settings more effectively, which largely improves the precision and efficiency of the design.
For the purpose of protecting an array antenna from the adverse effects of the service environment, the antenna is often equipped with a corresponding radome. Although the radome plays the role of protecting the antenna, it also brings certain negative effects. For example, the reflection of the electromagnetic waves emitted by the antenna on the surface of the radome and the absorption within the dielectric layer of the radome will cause power loss and reduce the distance of the electronic system. However, in the research on the analysis of the electrical performance of array antennas, more studies focus on the antenna array, and few studies comprehensively consider the effect of the radome on the electrical performance of the antenna. However, the electrical performance of the array antenna with hood is jointly determined by the radome and the antenna array, and it is necessary to consider the influence of the radome in the electrical performance analysis. Therefore, this paper takes the antenna with hood array as the research object to verify the effectiveness of the sensitivity-based electrical performance analysis method. Firstly, we use the sensitivity-based electrical performance analysis method proposed in this paper to analyze the influence of relevant parameters on the electrical performance of the antenna, and then we use the traditional method of enumerating cases to analyze the influence of the same parameters on the electrical performance of the antenna, and compare the results.
This paper is divided into four sections. The first section introduces the research background, the current state of research, and the structural arrangement of the article. In the second section, the electrical performance calculation model and sensitivity analysis model of the antenna with hood array are derived. In the third section, the effects of three influencing factors, namely the current, array element position, and radome thickness, on the electrical performance of the antenna are analyzed by using the sensitivity-based analysis method and the method of enumerating working conditions, respectively, and the analysis results are compared to verify the effectiveness of the sensitivity-based analysis method. The fourth section summarizes the whole work and gives an outlook on the research that can be carried out in the next step.
2. Design Methods/Models
2.1. Analytical Modeling of Electrical Performance of Radome-Covered Array Antennas
As shown in Figure 1, for a rectangular grid array antenna with M rows and N columns, the electrical performance ignoring the antenna cell direction map is calculated as [19]:
where is the position coordinate of the antenna unit relative to the phase reference point, is the excitation current amplitude, is the excitation current phase, is the angle of the line connecting the radiation source point with the observation point of the far area of the field strength with the z-axis, is the angle of the projection of the line connecting the radiation source point with the observation point of the far area of the field strength on the xOy plane with the x-axis, and .
Figure 1.
Schematic diagram of rectangular grid array antenna array element arrangement.
However, in practical applications, to reduce costs, simplify signal processing, and coordinate with the structure of other antenna components, it is often necessary to optimize the arrangement of rectangular grid array antennas, resulting in special antenna configurations such as cut-corner arrays, hollow arrays, and sparse arrays, as shown in Figure 2.
Figure 2.
Array diagram of various special arrangement forms.
In order to describe the electrical properties of the array antenna in the form of special arrangement, a characteristic matrix characterizing the array arrangement can be introduced on the basis of the rectangular grid array antenna, the dimension of which corresponds to the size of the full array corresponding to the special array element arrangement, and the elements of the matrix are 0 or 1.
When matrix O is incorporated into Equation (1), for the grid point where there is no antenna element, the corresponding element in matrix O can eliminate the field strength value at that position. This results in the array factor pattern for specially arranged rectangular grid array antennas.
For antennas in specific application areas such as those mounted on missiles, radomes are used to protect the antennas from adverse service environment effects. As illustrated in Figure 3, radomes also have a certain impact on the electrical performance of the antenna.
Figure 3.
Schematic diagram of the effect of the radome on electromagnetic wave propagation.
The transmission characteristics of electromagnetic waves passing through the radome can be calculated at the intersection point between the incident wave and the radome surface using the theory of planar transmission characteristics from geometric optics ray tracing methods [20]. Radomes often employ a multi-layer dielectric sandwich design; however, the research does not consider such a structure in its design and thus only derives for the case of a single-layer dielectric. To generalize the conclusions of the transmission characteristics to multi-layer dielectric radomes, they can be considered as a cascade of single-layer dielectric transmission networks. As shown in Figure 4, the transmission characteristics of electromagnetic waves incident at point M and a single-layer dielectric radome are equated to transmission within a single-layer dielectric slab.
Figure 4.
Schematic of electromagnetic wave propagation through a radome.
Assuming that the curvature radius of the radome is much larger than the wavelength, and that the electromagnetic waves propagate in a straight line from the aperture, they can be considered as plane waves within the near-field region of the antenna. Based on equivalent transmission line theory [21], the specific shape and other characteristics of the radome can be neglected. The local area of the radome wall can be approximated as a plane, and the transmission characteristics of a single-layer dielectric slab can be equivalent to a uniform transmission line model.
As shown in Figure 5, in the equivalent uniform transmission line model, the electrical dimensions of the transmission line are , is the equivalent propagation constant in the medium, is the thickness of the radome, and the characteristic impedance of the transmission line is . The characteristic impedance of the transmission for horizontally polarized waves and vertically polarized waves are, respectively, the following:
where is the relative dielectric constant of the cover material, is the tangent of the loss angle of the cover material, is the wavelength of the electromagnetic wave, and is the angle of incidence of the electromagnetic wave.
Figure 5.
Equivalent uniform transmission line circuit diagram.
When combining the radome material parameters and thickness, the equivalent propagation constant is:
The electric fields before and after the passage of an electromagnetic wave through a flat plate of a medium are related to each other in the equivalent transmission line theory by means of a transfer matrix. For a single-layer medium, the transfer matrix can be expressed jointly in terms of the equivalent propagation constant and the normalized characteristic impedance of the current medium to free space as:
where and are hyperbolic sine and hyperbolic cosine functions, respectively.
According to the equivalent transmission line theory, the transmission coefficient of the incident electromagnetic wave can be calculated from the transfer matrix of Equation (5). Considering that all electromagnetic waves incident on the radome wall can be decomposed into horizontally polarized and vertically polarized components, the transmission coefficient corresponding to the horizontally polarized field and the transmission coefficient corresponding to the vertically polarized field can be expressed as follows, respectively:
where and are the amplitudes of the horizontally and vertically polarized fields, respectively, and and are the corresponding phases, respectively.
Based on the transmission coefficient formulas of Equations (6) and (7), the transmission coefficient characterizing the transmission properties of the electromagnetic wave through the radome, i.e., the transmission coefficient of the main polarization field of the incident electromagnetic wave, can be expressed according to the theory of equivalent transmission lines as follows:
where , , is the insertion phase displacement of the horizontal polarization field, is the insertion phase displacement of the vertical polarization field, and is the polarization angle of the electromagnetic wave.
At this point, the computational model of the electrical properties of the masked antenna can be obtained as follows:
2.2. Sensitivity Analysis Model Based on Electrical Performance Analysis Model
Sensitivity analysis refers to the process of evaluating how changes in input variables affect the output or outcome of a particular system, model, or process. It is used to assess the sensitivity or responsiveness of the system to variations in different factors. In traditional mechanical structure design optimization, sensitivity analysis is first performed to clarify the sensitivity of the structural performance to the structural parameters, and then the variables with high sensitivity are selected for optimization. This method is also applied to the design of antenna structures, for example, the literature [22] uses sensitivity analysis to determine the magnitude of the impact of array element position error on the antenna’s electrical performance during the design of array element position tolerance. In this paper, we believe that this method can also be extended to the analysis of the effects of other factors on the electrical performance of the antenna, and take the current amplitude, the position of the array element, and the thickness of the radome as an example to derive a model for the sensitivity calculation. For simple and derivable models, the sensitivity calculation model can be obtained by using the direct derivation method.
Following this line of thought, the sensitivity calculation formula for the current amplitude can be derived. The basic principle of using O (m, n) to characterize the array layout is to set the corresponding element position to 0 in the absence of elements, eliminating the field strength value at that position. Therefore, O (m, n) can be ignored in the sensitivity calculation formula for the current amplitude. When the current phase is 0, the sensitivity calculation formula for the current amplitude is the following:
The sensitivity of the position of the array element relative to the phase reference point on the effect of the antenna electrical performance is calculated as follows:
In the calculation of the sensitivity of the radome dielectric constant, loss angle tangent, and thickness to the electrical properties of the antenna, these three parameters can be equated to their respective partial derivatives with respect to since they are only present in the transmission coefficient . Take the thickness of the radome as an example:
Using the formula for calculating the sensitivity of electrical properties to the parameter of interest, the effect of the parameter of interest on the electrical properties can be calculated directly.
3. Simulation Analysis
For a phased array antenna with a radome operating at 9.375 GHz, which corresponds to a working wavelength of 32 mm, the radome is made of quartz glass material. At room temperature, the material has a relative dielectric constant of 3.45 and a loss tangent of 0.0004, resulting in a theoretical radome thickness of 8.6 mm. The array arrangement is shown in Figure 6, which is based on a 20 × 20 rectangular grid plane array and is designed to demonstrate specific special conclusions. The distribution of the excitation current amplitude is shown in Figure 7, with both uniform amplitude and phase weighting and Taylor weighting, and the excitation current phase is 0. The element positions are modified by changing the element spacing and arrangement, divided into 12 operational conditions to study the electrical performance of the antenna, as shown in Table 1.
Figure 6.
Distribution of excitation current amplitude values. (a) Taylor-weighted excitation current amplitude distribution plot; (b) equal-amplitude in-phase weighted excitation current amplitude distribution diagram.
Figure 7.
Array antenna element layout form. (a) 20 × 20 octagonal array; (b) 20 × 20 full array; (c) 20 × 20 tangent angle array; (d) 20 × 20 special platoon formation 1; (e) 20 × 20 special platoon formation 2; (f) 20 × 20 special platoon formation 3.
Table 1.
Electrical properties of hooded antennas calculated for different operating parameters.
3.1. Impact Analysis of Excitation Current Amplitude (Case 1 and 2)
Using the parameters of Case 1 and Case 2 which can be based on Equation (10), the sensitivity distribution plots and contours of the effect of the excitation current amplitude on the antenna’s electrical performance can be calculated as shown in Figure 8 and Figure 9. in the figure shows the sensitivity of the antenna electrical properties to the current amplitude. According to Figure 8 and Figure 9, it can be predicted that the excitation current amplitude has the most significant effect on the electrical performance of the antenna in the interval of , followed by the interval of . According to Equations (11)–(13), the sensitivity distribution plots and contours of the influence of the position of the Case 2 array element on the electrical performance of the antenna can be calculated.
Figure 8.
Sensitivity distribution of excitation current amplitude on antenna electrical performance.
Figure 9.
Contours of the sensitivity distribution of the excitation current amplitude to the electrical properties of the antenna. (a) Sensitivity contour lines; (b) local enlarged view of sensitivity contour lines.
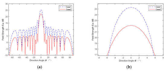
Both Case 1 and Case 2 are phased array antennas with octagonal arrays in the unshrouded case, but Case 1 uses equal-amplitude in-phase excitation and Case 2 uses Taylor-weighted excitation. Using Equation (2), the field strength direction diagram at can be calculated as shown in Figure 10, and the corresponding electrical performance index comparison is shown in Table 2.
Figure 10.
Comparison of the directional diagrams for Case 1 and Case 2. (a) Orientation diagrams for Case 1 and Case 2 in the same coordinate system; (b) localized zoom in the interval (−10,10).
Table 2.
Comparison of electrical performance indexes between Case 1 and Case 2.
It can be clearly seen that when the distribution of the excitation current amplitude changes, the most obvious changes in the electrical properties are found in , the changes in the field strength amplitude in are also accompanied by changes in the main flap beamwidth, and the changes in the electrical properties in the other intervals are relatively weak.
3.2. Array Element Location Impact Analysis (Case 2–10)
According to Equations (11)–(13), the sensitivity distribution plots and contours of the influence of the position of the Case 2 array element on the electrical performance of the antenna can be calculated, as shown in Figure 11 and Figure 12.

Figure 11.
Sensitivity distribution map of maximum field strength to element position. (a) Sensitivity distribution in the X-direction (phi = 0); (b) sensitivity distribution in the Y-direction (phi = 0.5 pi); (c) sensitivity distribution in the Z-direction.
Figure 12.
Contours of the sensitivity distribution of the field strength maximum to the position of the array element. (a) X-direction sensitivity distribution contours and their localized enlargements; (b) y-direction sensitivity distribution contours and their localized enlargements; (c) z-direction sensitivity distribution contours and their localized enlargements.
Since the array element position rows are centrosymmetric, all the sensitivity distributions in Figure 11 and Figure 12 are also centrosymmetric. Figure 12 clearly shows that the positional sensitivity of the field strength maximum about the z-direction of the array element is two orders of magnitude higher than that about the x-direction and the y-direction, so the change in the position of the array element in the z-direction has a more obvious effect on the antenna’s electrical performance than the change in the position of the array element in the x-and y-directions.
It should be pointed out that the conclusion that the change in the position of the elements at the center of the array has a greater impact on the electrical performance of the antenna than the change in the position of the elements at the edge of the array is an empirical one [22]. Sensitivity is a method of theoretically verifying and describing this empirical conclusion. This article quantifies the position error of array elements into x, y, and z directions, and analyzes the impact of array element position errors in these three directions on antenna electrical performance. But in reality, the position error of the array elements occurs simultaneously in three directions. Although the elements with the highest sensitivity in the x and y directions are not located at the center of the array, they still belong to the central region of the array. Furthermore, because the z-direction position of the array element has the greatest impact on the antenna’s electrical performance, when considering the impact of positional deviations in the three directions comprehensively, it is easy to conclude that the element located in the center still has the greatest impact on the antenna’s electrical performance.
Based on Figure 11a and Figure 12a, the maximum sensitivity of the electric field strength in the x-direction occurs at four array elements: (5,10), (5,11), (16,10), and (16,11). The sensitivity contours decrease concentrically around these points, forming ellipsoidal distributions. Similarly, according to Figure 11b and Figure 12b, the y-direction sensitivity exhibits a similar distribution pattern around the four array elements (10,5), (11,5), (10,16), and (11,16). From Figure 11c and Figure 12c, the maximum sensitivity of the electric field strength in the z-direction is observed at the central array elements (10,10), (10,11), (11,10), and (11,11), with the sensitivity decreasing concentrically from these points. The changes in the positions of the edge array elements have a more significant impact on the antenna’s electrical performance compared to the changes in the positions of the central array elements.
Case 3 to 5 randomly adjusted the position of the array element relative to the x/y/z direction of the phase reference point on the basis of Case 2, in which the adjustment of the position of the array element in the x/y direction can be realized by the adjustment of the spacing of the array element in the x/y direction. In order to facilitate the comparison of the results, the position adjustment values of each array element in the three directions are all taken as and the same random number matrix is used, and the direction diagram is shown in Figure 13. Figure 13 uses a graph of the UV direction of the antenna, where u denotes the wavelength along the direction of the antenna, and v denotes the wavelength perpendicular to the direction of the antenna, and the UV coordinate system allows for the characterization of the radiation of the antenna in different directions. Comparing with Figure 13, it can be clearly found that the deterioration of the antenna electrical performance caused by the position change in the z direction is more obvious than that in the x and y directions when the position change is of the same magnitude, which is in line with the prediction result of the sensitivity distribution graph.

Figure 13.
Comparison of Case 2, 3, 4, and 5 direction diagrams. (a) Case 2 three-dimensional orientation diagram; (b) Case 3 three-dimensional orientation diagram; (c) Case 4 three-dimensional orientation diagram; (d) Case 5 three-dimensional orientation diagram.
Cases 6 to 10 involve adjusting the array element arrangement based on Case 2 and observing the impact of the element positions on the antenna’s electrical performance by removing or adding key array elements. Case 2 features an octagonal tangent array. In Case 6, the array is supplemented to form a full array. Case 7 presents a random tangent array addition. Case 8 involves a special arrangement matrix where the center element with the greatest influence on z-direction sensitivity is removed. Case 9 focuses on removing the center element that most affects x-direction sensitivity, and Case 10 removes the center element with the highest impact on y-direction sensitivity. The orientation diagram for these cases is shown in Figure 14.

Figure 14.
Comparison of Case 6, 7, 8, 9, and 10 direction diagrams. (a) Case 6 three-dimensional orientation diagram; (b) Case 7 three-dimensional orientation diagram; (c) Case 8 three-dimensional orientation diagram; (d) Case 9 three-dimensional orientation diagram; (e) Case 10 three-dimensional orientation diagram.
Comparing Case 2, Case 6, and Case 7, it can be found that the missing array element at the corner position basically does not cause the deterioration of the antenna’s electrical performance, and even the missing array element in Case 2 makes the antenna’s radiation performance more balanced in different directions. Comparing Case 2, Case 8, Case 9, and Case 10, it can be found that the absence of the array element at the key position has a serious effect on the electrical performance of the antenna. Case 8 and Case 3 also correspond to the adjustment of the x-direction array element position, Case 9 and Case 4 also correspond to the adjustment of the y-direction array element position, and Case 10 and Case 5 also correspond to the adjustment of the z-direction array element position, and the corresponding deterioration of antenna electrical performance has the same trend. The above antenna electrical performance calculation results are all in accordance with the prediction results of the sensitivity distribution diagram.
3.3. Impact Analysis of Radome Thickness Effects (Case 2, 11, 12)
As shown in Figure 15, the relationship between the transmission coefficient and the thickness of the radome is plotted, and the closer the transmission coefficient is to 1, the smaller the influence of the radome on the electrical properties of the antenna. In the range of , there are two intervals , when the transmission coefficient is close to 1, and taking into account the stability of the radome structure, the thickness of the radome is not likely to fall in the interval, and this paper uses the formula calculated radome thickness h of 8.6 mm in the interval.
Figure 15.
Graph of transmission coefficient vs. radome thickness.
As shown in Figure 16, the sensitivity distribution of the transmission coefficient with respect to the radome thickness is depicted. By comparing Figure 15, it is evident that the interval in which the transmission coefficient has the smallest impact on the antenna electrical performance is the same as the interval in which the transmission coefficient has the highest sensitivity value on the antenna cover thickness. Figure 17 shows the contour of the sensitivity distribution corresponding to Figure 16, from which it can be seen that when the signal is vertically injected into the radome, the radome thickness has basically no effect on the transmission coefficient, and the larger the angle of incidence of the signal is, the more pronounced is the effect of the radome thickness on the transmission coefficient, and the effect is most significant in the interval of .
Figure 16.
Distribution of transmission coefficient sensitivity to radome thickness.
Figure 17.
Radome thickness sensitivity distribution contours.
Case 2, Case 11, and Case 12 are no radome, a radome with a thickness of 8.6 mm, and a radome with a thickness of 16 mm, respectively, with their radiation patterns shown in Figure 18. Compared to Case 2, the main lobe field strength in Case 11 shows a slight decrease, with minimal overall changes in the radiation pattern. In Case 12, there is a comprehensive attenuation of field strength, resulting in a significant deterioration of the antenna’s electrical performance. This aligns with the predictions from the sensitivity distribution graphs regarding the impact of radome thickness on antenna electrical performance.
Figure 18.
Comparison of the directional diagrams for Case 2 and Cases 11 and 12. (a) Case 2 and Case 11 radiation pattern diagrams; (b) Case 2 and Case 12 radiation pattern diagrams.
4. Conclusions
In this paper, a sensitivity-based method for analyzing the electrical performance of antennas is proposed, and a masked array antenna is used as the research object to verify the effectiveness of the method. Firstly, on the basis of the rectangular grid plane array factor direction map, the matrix characterizing the array layout form and the transmission coefficient characterizing the influence of the radome on the antenna’s electrical performance are introduced, and the electrical performance calculation model of the band-shrouded array antenna is deduced. Based on the electrical performance calculation model, the sensitivity model of the current amplitude, antenna array element x, y, z direction position, and radome thickness on the electrical performance of the antenna with shield array is deduced. Then, a numerical simulation example is given to analyze the trend of the parameters’ influence on the antenna electrical performance by using the sensitivity calculation model, and then analyze the influence of the same parameter on the antenna electrical performance by setting up several sets of working conditions by the traditional method, and the analysis results of the two methods are compared, and the results show a high degree of consistency, which proves the validity of the electrical performance analysis method based on the sensitivity proposed in this paper. Finally, in the process of analyzing the electrical performance of the band-mask antenna, it was found that under the conditions set in this paper, the excitation current amplitude has the most significant effect on the electrical performance of the antenna in the interval, the x-direction position of the four array elements (5,10), (5,11), (16,10), (16,11) has the most significant effect on the electrical performance, the y-direction position of the four array elements (10,5), (11,5), (10,16), (11,16) has the most significant effect on the electrical properties of the antenna, the z-direction position of the four array elements (10,10), (10,11), (11,10), (11,11) has the most significant effect on the electrical properties of the antenna, and the radome has the least effect on the electrical properties of the antenna in the interval.
Therefore, the method of analyzing the electrical performance of antennas based on sensitivity is practical and effective. In further research, this method can be extended to other types of antennas in the analysis of electrical performance. For antennas with simple and derivable formulas, the steps in this paper can be followed to calculate the sensitivity model of the antenna using the direct derivation method, which can quickly analyze the trend of the influence of various types of parameters on the antenna’s electrical performance; for antennas with complex or difficult to derive formulas for the calculation of electrical performance, the sensitivity model of the antenna can be obtained by the finite difference method and the Green’s function method. For antennas with complicated formulae or for which the electrical performance is difficult to derive, the sensitivity model of the electrical performance of the antenna can be obtained by the finite difference method and the Green’s function method, and then by analyzing the trend of the influence of the input parameters on the electrical performance.
Author Contributions
Conceptualization, Y.W., G.W. and Z.W. (Zhiji Wang); methodology, Y.W., G.W. and Z.W. (Zhiji Wang); software, G.W. and Z.W. (Zhiji Wang); validation, F.W., W.Y. and Y.Y.; formal analysis, Z.W. (Zhiji Wang) and Z.W. (Zhihai Wang); investigation, G.W. and Z.W. (Zhiji Wang); resources, M.W., Z.W. (Zhihai Wang) and K.Y.; writing—original draft preparation, G.W.; writing—review and editing, Y.W., G.W. and Z.W. (Zhiji Wang); visualization, Z.W. (Zhiji Wang) and X.D.; supervision, C.W.; funding acquisition, Y.W. and C.W. All authors have read and agreed to the published version of the manuscript.
Funding
This work was supported by National Key Research and Development Program of China under No. 2023YFB3406900, National Natural Science Foundation of China under No. 52105272, Youth Science and Technology Star Project of Shaanxi Province under No. 2023KJXX-044, National Defense Basic Scientific Research Program of China under No. JCKY2021210B007, and the Project about Building up "Scientists + Engineers" of Shaanxi Qinchuangyuan Platform under No. 2022KXJ-030.
Data Availability Statement
The data presented in this study are available on request from the corresponding author.
Conflicts of Interest
Author Meng Wang was employed by the company Shaanxi Huanghe Group Co., Ltd. The remaining authors declare that the research was conducted in the absence of any commercial or financial relationships that could be construed as a potential conflict of interest.
Nomenclature
| Electric field intensity | |
| Excitation current amplitude | |
| Excitation current phase | |
| Angle of the line between the point of radiation source and the observation point in the far area of the field strength and the z-axis | |
| Angle between the projection of the line connecting the point of radiation source and the observation point in the far area of the field intensity on the xOy plane and the x-axis | |
| Equivalent propagation constant in a medium | |
| Radome thickness | |
| Characteristic impedance of the transmission line | |
| Relative dielectric constant of cover material | |
| Hood material loss angle tangent | |
| Electromagnetic wave length | |
| Angle of incidence of an electromagnetic wave | |
| Hyperbolic sine function | |
| Hyperbolic cosine function | |
| Amplitude of the transmission coefficient of the horizontal polarization field | |
| Amplitude of the transmission coefficient of the vertical polarization field | |
| Insertion phase shift of horizontally polarized field | |
| Insertion phase shift of a vertically polarized field | |
| Polarization angle of an electromagnetic wave |
References
- Sharma, P.; Tiwari, R.N.; Singh, P.; Kumar, P.; Kanaujia, B.K. MIMO Antennas: Design Approaches, Techniques and Applications. Sensors 2022, 22, 7813. [Google Scholar] [CrossRef] [PubMed]
- Wang, C.; Zhang, N.; Liu, C.; Ma, B.; Zhang, K.; Li, R.; Wang, Q.; Zhang, S. New Advances in Antenna Design toward Wearable Devices Based on Nanomaterials. Biosensors 2024, 14, 35. [Google Scholar] [CrossRef] [PubMed]
- Wang, Y.; Wang, C.; Lian, P.; Xue, S.; Liu, J.; Gao, W.; Shi, Y.; Wang, Z.; Yu, K.; Peng, X.; et al. Effect of Temperature on Electromagnetic Performance of Active Phased Array Antenna. Electronics 2020, 9, 1211. [Google Scholar] [CrossRef]
- Wang, Y.; Zhang, X.; Yang, X.; Wang, Z.; Yan, Y.; Du, B.; Zhang, J.; Wang, C. A Novel Swept-Back Fishnet-Embedded Microchannel Topology. Micromachines 2023, 14, 1705. [Google Scholar] [CrossRef] [PubMed]
- Poli, L.; Rocca, P.; Anselmi, N.; Massa, A. Dealing with Uncertainties on Phase Weighting of Linear Antenna Arrays by Means of Interval-Based Tolerance Analysis. IEEE Trans. Antennas Propag. 2015, 63, 3229–3234. [Google Scholar] [CrossRef]
- Anselmi, N.; Manica, L.; Rocca, P.; Massa, A. Tolerance Analysis of Antenna Arrays Through Interval Arithmetic. IEEE Trans. Antennas Propag. 2013, 61, 5496–5507. [Google Scholar] [CrossRef]
- Rocca, P.; Anselmi, N.; Massa, A. Interval Arithmetic for Pattern Tolerance Analysis of Parabolic Reflectors. IEEE Trans. Antennas Propag. 2014, 62, 4952–4960. [Google Scholar] [CrossRef]
- Rocca, P.; Manica, L.; Massa, A. Interval-based analysis of pattern distortions in reflector antennas with bump-like surface deformations. IET Microw. Antennas Propag. 2014, 8, 1277–1285. [Google Scholar] [CrossRef]
- Anselmi, N.; Salucci, M.; Rocca, P.; Massa, A. Power Pattern Sensitivity to Calibration Errors and Mutual Coupling in Linear Arrays through Circular Interval Arithmetics. Sensors 2016, 16, 791. [Google Scholar] [CrossRef] [PubMed]
- Rocca, P.; Poli, L.; Anselmi, N. Predicting antenna pattern degradations in microstrip reflectarrays through interval arithmetic. IET Microw. Antennas Propag. 2016, 10, 817–826. [Google Scholar] [CrossRef]
- Zeng, Y.; Duan, B.; Lou, S.; Zhang, S. Modeling and Analysis of Airborne Conformal Arrays Obstructed by Fixed Blockage. IEEE Trans. Antennas Propag. 2022, 70, 4342–4354. [Google Scholar] [CrossRef]
- Zhang, Z.; Yang, F.; Chen, Y.; Qu, S.-W.; Hu, J.; Yang, S. In-Band Scattering and Radiation Tradeoff of Broadband Phased Arrays Based on Scattering-Matrix Approach. IEEE Trans. Antennas Propag. 2021, 69, 7486–7496. [Google Scholar] [CrossRef]
- Zhang, J.; Kong, X.; Zhang, C.; Gao, Y.; He, Q. Electrical Performance Compensation of Reflector Antenna Based on Sub-Reflector Array. Electronics 2023, 12, 4771. [Google Scholar] [CrossRef]
- Azam, M.A.; Dutta, A.K.; Mukherjee, A. Uplink Channel Estimation With Hardware Imperfections, Antenna Position Error and Channel Correlation for Nested and Linear Array Antennas. IEEE Trans. Veh. Technol. 2020, 69, 15412–15426. [Google Scholar] [CrossRef]
- Guo, F.; Liu, Z.; Sa, G.; Tan, J. A γ-conical position error representation method considering high-order position relevance of array elements. Microw. Opt. Technol. Lett. 2022, 64, 344–350. [Google Scholar] [CrossRef]
- Lou, S.; Qian, S.; Wang, W. Influence of Random Errors in Element Positions on Performance of Antenna Arrays Considering Mutual Coupling Effect. IEEE Antennas Wirel. Propag. Lett. 2023, 22, 2215–2219. [Google Scholar] [CrossRef]
- Chen, Y.; Lu, Y. Performance Analysis for Millimeter Wave Array Antenna Systems Based on Influence of Amplitude Quantization Error. In Proceedings of the 2021 IEEE 6th International Conference on Computer and Communication Systems (ICCCS), Chengdu, China, 23–26 April 2021. [Google Scholar]
- Liu, H.; Wang, W.; Tang, D.; Zhang, L.; Wang, Y.; Miao, E. Thermal Deformation Modeling for Phased Array Antenna Compensation Control. Sensors 2022, 22, 2325. [Google Scholar] [CrossRef] [PubMed]
- Yu, R.; Xu, P.; Yang, X.; Chen, G.; Wang, L.; Wang, C. Performance Compensation Method for Spaceborne Active Phased Array Antennas under Thermal Loads. In Proceedings of the 2022 IEEE 10th Asia-Pacific Conference on Antennas and Propagation (APCAP), Xiamen, China, 4–7 November 2022. [Google Scholar]
- Gao, D.; Wang, S.H.; Pan, W. Wave-transmitting inorganic material for high velocity missile radome. Adv. Ceram. 2005, 4, 33–36. [Google Scholar]
- Kozakoff, D.J. Analysis of Radome-Enclosed Antennas; Artech House: London, UK, 2010. [Google Scholar]
- Wang, C.; Yuan, S.; Yang, X.; Gao, W.; Zhu, C.; Wang, Z.; Wang, S.; Peng, X. Position Tolerance Design Method for Array Antenna in Internet of Things. Wirel. Commun. Mob. Comput. 2018, 2018, 7574041. [Google Scholar] [CrossRef]
Disclaimer/Publisher’s Note: The statements, opinions and data contained in all publications are solely those of the individual author(s) and contributor(s) and not of MDPI and/or the editor(s). MDPI and/or the editor(s) disclaim responsibility for any injury to people or property resulting from any ideas, methods, instructions or products referred to in the content. |
© 2024 by the authors. Licensee MDPI, Basel, Switzerland. This article is an open access article distributed under the terms and conditions of the Creative Commons Attribution (CC BY) license (https://creativecommons.org/licenses/by/4.0/).