Next Article in Journal
Review of DC Motor Modeling and Linear Control: Theory with Laboratory Tests
Next Article in Special Issue
A Dynamic Event-Based Recursive State Estimation for Mobile Robot Localization
Previous Article in Journal
A Light-Field Video Dataset of Scenes with Moving Objects Captured with a Plenoptic Video Camera
Previous Article in Special Issue
Kinematic Analysis of a Wheeled-Leg Small Pipeline Robot Turning in Curved Pipes
 
 
Font Type:
Arial Georgia Verdana
Font Size:
Aa Aa Aa
Line Spacing:
Column Width:
Background:
Article

A Novel Paradigm for Controlling Navigation and Walking in Biped Robotics

Department of Automation and Computer Engineering, Politecnico di Torino, Corso Duca degli Abruzzi n. 24, 10129 Torino, Italy
Electronics 2024, 13(11), 2224; https://doi.org/10.3390/electronics13112224
Submission received: 1 March 2024 / Revised: 16 May 2024 / Accepted: 29 May 2024 / Published: 6 June 2024
(This article belongs to the Special Issue Advances in Mobile Robots: Navigation, Motion Planning and Control)

Abstract

This paper extends the three-dimensional inverted pendulum (spherical inverted pendulum or SIP) in a polar coordinate system to simulate human walking in free fall and the energy recovery when the foot collides with the ground. The purpose is to propose a general model to account for all characteristics of the biped and of the gait, while adding minimal dynamical complexity with respect to the SIP. This model allows for both walking omnidirectionally on a flat surface and going up and down staircases. The technique does not use torque control. However, for the gait, the only action is the change in angular velocity at the start of a new step with respect to those given after the collision (emulating the torque action in the brief double stance period) to recover from the losses, as well as the preparation of the position in the frontal and sagittal planes of the swing foot for the next collision for balance and maneuvering. Moreover, in climbing or descending staircases, during the step, the length of the supporting leg is modified for the height of the step of the staircase. Simulation examples are offered for a rectilinear walk, ascending and descending rectilinear or spiral staircases, showing stability of the walk, and the expenditure of energy.

1. Introduction

Originally, balance in the gait of biped robots was achieved by ensuring that the pressure center under the soles stayed in the supporting polygon of the feet during the whole step. The terminology of zero moment point (ZMP) was introduced [1].
In that period, fundamental was the work of Kajita [2,3], which introduced the linearized inverted pendulum model (LIPM), using the inverted pendulum and imposing a constant height for the center of gravity (COG). He showed with the LIPM that, on a flat surface, the trajectories of the pressure point in the frontal and sagittal planes were decoupled, and a simple linear relationship linked the ZMP with the projection of the COG position and COG acceleration on the two horizontal axes ( Z M P x , y = C O G x , y C O G z g · C O G ¨ x , y ).
In order to be able to transfer the needed torque to the ground, the feet were kept flat, meaning that the robot’s walk was unrealistic and energetically inefficient.
In the second phase, the rotation of the feet with respect to the ground was introduced. The step was divided into phases where, during one of the phases on the tip of the foot, the control was underactuated [4,5].
In reality, “human-like gait, with its mix of fully actuated and underactuated phases (where walking during one of the phases is a “controlled falling”) is more complex” [6]. “Push recovery, walking on rough terrain, and agile footstep control are active research topics” [7].
In a completely different approach, in the realm of passive walkers and hybrid zero dynamics [8,9,10], starting from the passive motion of the rimless wheel falling on an inclined surface and ending with the inverted pendulum with a compass, the stability of the gait as a whole was proven in spite of dynamic instability inside each step [11].
The model used was the spherical inverted pendulum (SIP) in the polar coordinate system; i.e., the 2 DOFs of the pendulum are the rotation around the vertical axis and one of the horizontal axes [12,13]. The approach exploited the anelastic energy restitution after the collision of the swing foot with the ground. With the SIP model, the problem of gait is intertwined with the estimation in 3D of the swing foot placement at the collision with the ground (FPE) [14,15,16,17,18]. This has been obtained using energy relationships, with the observation that the total energy and the partial derivative of the kinetic energy with respect to the rotational velocity (i.e., the angular momentum) along the vertical axis are constant during a step.
The objective of this paper, in the realm of passive walkers, is to show the efficiency that can be achieved with push recovery during gait. The approach is completely based on energies. For this, advantages are obtained adopting for the mechanical modeling the Kane’s method [19] and for generating the code for the simulation the symbolic enviroment Autolev [20], based on this method. It offers, along with the equations of the dynamics all expressions of energy and momenta needed in this work.
This is the third of three papers. In the first paper [21], this author used the SIP model with 2 DOFs to achieve an omnidirectional walk without any torque control, simply by exploiting, at each step, the anelastic restitution of the collision of the swing foot with the ground, the proper increase in the initial rotational velocities after the collision to cope with the losses, and the setting of the angles of the swing leg for balance and for navigation.
In the second paper [22], to overcome certain limitations, especially to limit the COG sway in the frontal plane, the SIP model, always with 2 DOFs, was extended, adding a pelvis width and introducing the distance between the hips of the two legs. However, that model constrained the pelvis to stay always horizontal.
In this paper, using the same line of approach, the model is, once more, extended with 3 rotational DOFs to allow for the oscillations of the pelvis along all three axes. Pelvis width, distance of the supporting feet, sway of the COG in the frontal plane, and the length, velocity, and direction of the step can be controlled. Moreover, to allow for going up and down staircases, one further prismatic DOF is added to modify the length of the supporting leg during the step.
With respect to the classical gait control, the problem has here been inverted. Classically, the step had two phases (double and single support), where the foot torque was controlled during double support and the first part of single support when the foot was flat, and an underactuated control was handled when the robot was on the foot’s tip. In this approach the whole step is always in free fall, and the control of the gait is obtained by the changes of the angular velocities, with respect to the values given by the collision, before the next step. These are virtually the results, of a (impulsive) torque action during the double support phase, that here has time period zero.
The stability is demostrated experimentally with the simulation, a formal proof of the allowed ranges of stability of the initial rotational velocities, and of the angles of the swing leg at the beginning of a step are left to a future paper.
The parameters of the model are the same as those in the original paper [21] and can be found there, they represent a man wearing an exoskeleton.
In Section 2, the model is presented. Gait control of previous papers [21,22] is reviewed in Section 3, taking into account the new model. Examples of rectilinear walking are presented in Section 4, while Section 5 shows how the model walks up and down the staircases, intertwined with navigation on a curved path. Foot placement estimation for ending a walk in equilibrium is discussed in Section 6. Conclusions and a forecast of further extensions are presented in Section 7. As reported in [21], Appendix A describes Kane’s method used for the simulation, and Appendix B describes the symbolic formulas for FPE on balanced arrival.

2. The Spherical Inverted Pendulum with Pelvis Width and Changing Length of the Supporting Leg

The model adopted in this paper adds, with respect to the original SIP, in the compass the width of the pelvis, and the distance between the hips of the two legs. It has 3 rotational DOFs instead of 2 for walking on a flat horizontal surface, as well as one additional prismatic DOF on the supporting leg for going up and down staircases. In fact, control of only 3 rotational DOFs is not enough in this case. Its kinematics are represented in Figure 1a. The axes of the local frames of the segments have a similar disposition as the inertial frame N. The multibody is composed of four segments: the supporting leg, composed of two parts connected with a prismatic link, the flying leg, and the pelvis. The two legs are massless. Only the pelvis, representing the upper body of the biped, has a mass and an inertia. The prismatic link in the supporting leg, l e g 1 , is controlled in position through a linear motor connected in series to a spring and a damper in parallel to the couple (Figure 1b), using a step reference when climbing and descending staircases. Additionally, r is the linear motor position, and K and B are coefficients: the stiffness of the spring and the damping factor of the damper, respectively. The height of the step is indicated by s h , and L f u l l is the length of the leg; L 0 = L f u l l and r = 0 during walking on flat land, L 0 = L f u l l and r = s h when descending, and L 0 = L f u l l s h and r = s h when ascending. Basically, it behaves as a mass, spring, and damper system.
The supporting leg is connected to the pelvis through the joints with angles 2 · α 1 and 2 · α z 1 . These angles are constant during a step and are set at the beginning of each step to maintain the orientation of the pelvis in the hybrid model during pivot switching. The 3 DOFs offered to the SIP by the supporting leg are represented by the joints of angles θ z , θ , and θ x . They define, in body coordinates 3–2–1 (ZYX), the orientation of the leg’s frame. The length of the swing leg, l e g 2 , is set and maintained according to the height of the steps of the staircase (shorter than the height of the step when climbing, and at the full length when descending). The leg is connected to the pelvis through the joints of angles 2 · α and 2 · α z . Also, these angles are constant during a step and are set, at each step, to define the future position of the swing foot at ground collision. The characteristic points of the model are the two feet ( F 1 and F 2 ), the two hips ( P 1 and P 2 ), and the COG.
The two legs have identical length when walking on a flat horizontal surface, while the supporting leg has a transition from an initial value identical to the swing leg length to a final value during a step going up or down a staircase. When climbing, it starts shorter than the height of the step and moves to the full length; when descending, it behaves in reverse.
A parameter, called “stance” here, assuming values ± 1 , accounts for the right and left supporting foot in the hybrid simulation; otherwise, the models are identical in the two cases.
When the prismatic joint is locked, the model has 3 DOF plus 3 positions of the supporting foot x , y , z . Exploiting the functionalities offered by Autolev (see Appendix A.1) and indicated by q x , q y , q z , the angles of the pelvis with respect to the inertial space and the rotational velocities of the pelvis along the three inertial axes w x = q ˙ x , w y = q ˙ y , w z = q ˙ z are taken as motion variables; that is, a linear combination of the three rotation speeds of the configuration variables. The dynamics are on the order of 12 with configuration variables θ z , θ , θ x , x , y , z , and motion variables w x , w y , w z , u 1 , u 2 , u 3 . However, a non-holonomic constraint imposes the fixed position of the pivot foot ( u 1 = u 2 = u 3 = 0 ) during the swing. When moving on a staircase, the prismatic joint adds 2 degrees to the dynamics: position l with velocity u l contributing to the length L 1 of the supporting leg (i.e., θ z , θ , θ x , l , x , y , z and w x , w y , w z , u l , u 1 , u 2 , u 3 ). The non-holonomic constraint is released only at the collision of the swing foot with the ground to define, through anelastic restitution, the initial motion values for the next step w x + , w y + , w z + , u 1 + , u 2 + , u 3 + , and in the case of u l + . For all the details of the dynamics, refer to the original paper [21] and to Appendices Appendix A and Appendix B.

Switching the Supporting Foot after Ground Collision

Touchdown is given when the vertical position of foot F 2 reaches the ground, and the anelastic collision defines w x + , w y + , and w z + . The velocities u 1 + , u 2 + , u 3 + , u l + are inessential for computing the kinetic energy, as the pendulum is now pivoting on the swing foot. The switching of pivot feet is computed in two steps through non-linear least squares:
  • Equating the direction cosine matrix of the swing leg frame at touchdown to a new frame expressed by orientation angles in body coordinates 3–2–1 (ZYX) and assigning these angles, as initial values, to θ z + , θ + , and θ x + to the new supporting leg;
  • Computing α 1 + and α z 1 + in order to guarantee the constancy of the direction of the y axis of the pelvis’s local frame before and after the switching of the pivot foot and resetting the previous rotation along this axis;
  • Changing the sign (i.e., s t a n c e = 1 ) of the right and left stance variable.

3. The Gait

In the new paradigm, the control of the gait of the hybrid system is performed by assigning initial values to w x , w y , w z , ( u 1 = u 2 = u 3 = u l = 0 ) and to the angles α and α z of l e g 2 at the beginning of each step. In previous work [21,22], the model with 2 DOFs behaved as a 3D inverted pendulum and, in particular [22], the y axis of the pelvis always remained horizontal during the whole step. Global stability was assured, assigning reasonable initial values for θ ˙ z and θ ˙ . In the present case, the model with 3 DOF adds a rotation of the pelvis along its x axis. No formal demonstration of global stability, as found in other works on passive walkers, such as [11], was given. However, experimentally by simulation, stability can be achieved if the rotation along the x axis is regulated in a closed loop by controlling at the beginning of each step the initial value of w x (responsible for the motion) from the samples q x + after the previous collision.
The expressions in Section 5 of [21], properly modified in Appendix B for FPE, contrary to [14,15,16,17], are not directly used here at each step; they are exploited to impose a stop in balance at the end of the walk.
The gait is initiated by giving an initial condition to θ z , θ , θ x , w x , w y , w z , α 1 , α z 1 to ensure the biped is straight, with its pelvis horizontal in the direction of walking and with tentative values at α and α z . Each step is concluded when the swing foot touches the ground (the vertical coordinate of point F 2 becomes zero; see Equation (A15)). From the impact (Equation (A13)), the new motion variables w x + , w y + , w z + are determined (consequently, the kinetic energy results as well), and from Equations (A17) and (A18), the starting values of θ z + , θ + , θ x + , α 1 + , and α z 1 + for a new step are computed. The gait is maintained by increasing w y + and w z + at each step after impact to compensate for the reduction in kinetic energy: the former to guarantee the desired gait cadence, and the latter to correct the direction of walking; w x is controlled in a closed loop directly from q x + to maintain horizontality and to minimize the oscillations of the pelvis around the x axis. Perturbations of α and α z are chosen to control the desired step length in the former and the desired distance in the latter along the y axis of the two supporting feet, as well as the COG sway and the offset with respect to the desired baseline of the trajectory in the navigation. (As usual, in the real-time sampled data, control is achieved by assigning at the beginning of every step the initial values of the motion variables and of the flying leg angles for the next step, based on the final angles and position values of the flying foot at touchdown of the previous step).
In the present model, the two legs have neither mass nor inertia. So, the motions of the angles α and α z are instantaneous and energy-free. On horizontal ground, the only energy contribution for maintaining the walk is given by proper impulsive forces and torques just after the collision to modify the velocities w y + , w z + , and w x + resulting from the impact. This emulates, in a real walk, the contribution given by the biped in the brief double support phase and in the period of single support when the foot is flat and able to transfer torque. On a staircase, the length of the supporting leg has to be controlled during the whole step, and the energy related to its motion has to be added, corresponding to the changes in potential energy.
Five control variables are identified to control six objectives of the walk: average horizontality of the pelvis in the rotation around the x axis, cadence, step length, distance between feet in y (step width), offset with respect to the baseline of walk, and direction of walk. (Even if interacting with each other, each of the five variables predominantly controls one of the six objectives.) The technique to maintain the walk along a baseline of the trajectory in the navigation was first proposed in [23] and adopted in [21].
After each impact, at the start of step k + 1 controls, and controlled variables are described next.
G ( z ) is a PID filter. All controllers are of the type in Figure 2, where the variables are in Table 1.
The two controls of α z are merged into a unique controller where the two contributions are summed. The position of the swing foot is the one at collision, while T is the time of collision, and s t a n c e = ± 1 according to the right or left pivot foot.
It must be noted that no periodic reference is tracked. The whole gait style (cadence, length of the step, offset with respect to the baseline of walk-through in a side shuffle, spacing between the two feet, and direction) can be changed at each step.

4. Rectilinear Walk

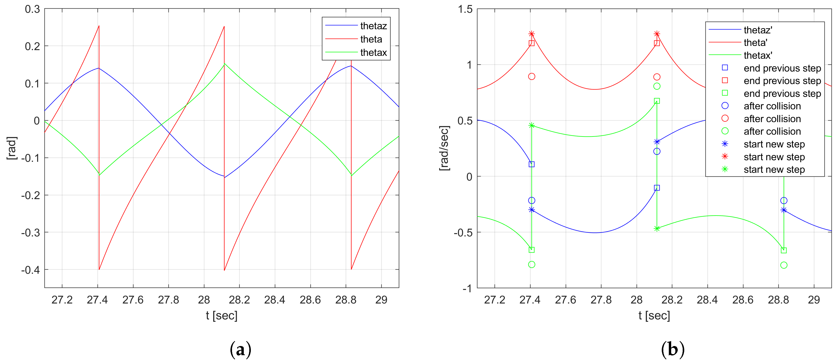
Figure 3 and Figure 4 show a sample of a typical rectilinear walk on horizontal ground. In Figure 3b, the ZMP is estimated using Kajita’s formulas.
In the velocities in Figure 4b, especially in θ ˙ , the change in velocity at the beginning of a new step can be seen. It is noted that, for θ ˙ and θ ˙ z , the velocities after collision and at the start of a new step have the same sign, but have opposite signs for θ ˙ x . Therefore, in this case, the expenditure of energy is not just the difference between the energy after the collision and that at the start of a new step.
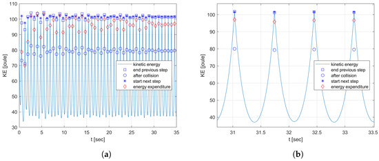
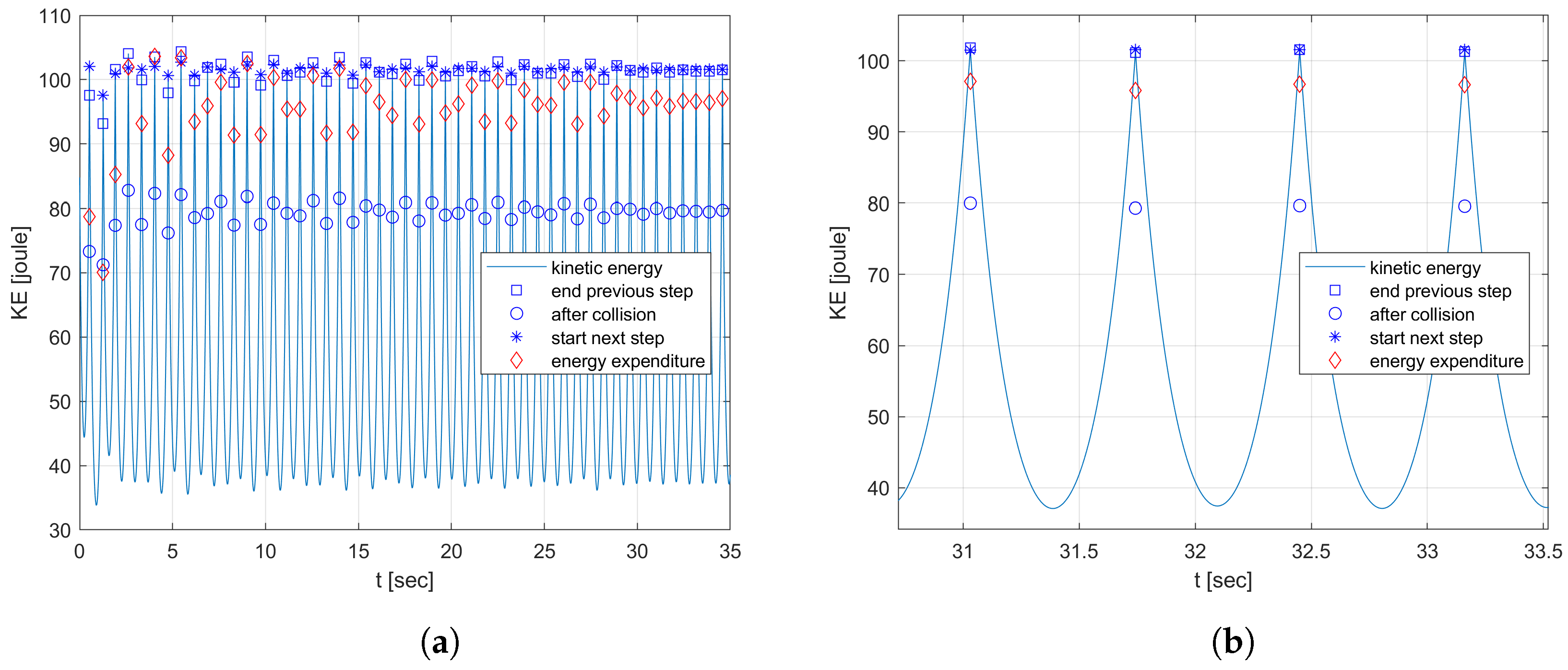
Energies play an important role here. In Figure 5, a typical behavior is shown.
In the representation of the kinetic energy, the symbol □ marks the end of a previous step, while the symbol ∗ marks the beginning of the next step. The symbol ◦ indicates the kinetic energy after collision, while the symbol ⋄ represents the expenditure of energy needed to change velocity after collision to initiate a new step. The 20 joules of change in kinetic energy from the collision to the start of the next step is not the real expenditure of energy at each step for maintaining the walk; in reality, it is 95 joules.
As can be seen in Figure 6a, the total energy and angular momentum about the vertical axis are constant during a step. This is critical for the FPE.

5. Going up and down the Staircase

The strategies in Table 1 add to the initial conditions of w z and w y , the values needed to compensate for the reduction in rotational energy due to the impact, but not to move the pendulum in a vertical direction. For this, the prismatic link has been added. When going up the staircase (Figure 7a), the flying leg is shortened with respect to the full length of the value of the stair’s step. This same length will be the initial value of the next supporting leg, which, during the first period of the step, will transition to full length. If going down (Figure 7b), vice versa: the flying leg is at full length, and the supporting leg will be shortened during the step from the full length to a value corresponding to the height of the stair’s step. In the paper, this transition is achieved as described in Section 2. The values of K and B in Figure 1b also allow for modeling the rigidity and damping of the knee.
Two examples are presented. The first (Figure 8a) embeds a navigation control on a spiral staircase with a ray of 5 m. The second (Figure 9b) shows the C O G y and C O G z going up and down a rectilinear staircase. In the second example, note a perturbation in the sway of the frontal plane when the direction is changed, which is quickly recovered.
The animation of these examples can be seen by executing in MATLAB the macros “anim3ch.m” and “anim.m” present in the files added to this paper. Moreover, in “anim.m”, by changing the view, the biped can be seen in all three directions.
The kinetic energy and the expenditure of energy are presented in the next figures.
Let us compare the kinetic energies in the two cases of Figure 5 and Figure 9 on a horizontal surface and in climbing the staircase. The injection of energy during the step due to the change in length of the supporting leg can be seen.
The next Figure 10 represents the kinetic energy during the ascent of a spiral staircase.
Let us note the difference in the expenditure of energy in the cases of left and right support feet due to the presence of the spiral.
Different than the gait on a horizontal surface, on a staircase, the total energy is not constant in the first period of the step when ascending (or descending) a staircase due to the motion during the change in length of the supporting leg. In this case, the properties of pure ballistic motion are lost because energy is injected into the system during the step (Figure 11).

6. Foot Placement Estimation

The formulas in Appendices Appendix A and Appendix B for foot placement estimation are used for stopping in equilibrium at the end of the walk.
On a staircase, the computation is performed when the transient on l has been concluded ( u l 0 ), and in the formulas, the transient is ignored. However, for simplicity, an example on horizontal ground is shown in Figure 12.
Obviously, in reaching the quasi-equilibrium position after the last contact, given the pelvis width, the biped has to move in double support. In the example, this happens at instant 3.5 s. At this instant, let us note the non-perfect zeroing of the kinetic energy and momentum (hence the angular velocities). This is due to the fact that, for simplicity, the FPE computation is performed at the maximum height of the COG as a function of θ and θ x , whereas in reality, this value is not reached.

7. Conclusions

This is the third model in a series that uses symbolic computation of bipedal walking along with successive extensions of the SIP, adding a minimum increase in the dynamics. With this model, all essential characteristics of the walker can be represented, and all parameters of the gait with an omnidirectional walk on flat ground or on a staircase can be controlled in real time. Moreover, energy considerations can be obtained.
Simulation examples of climbing or descending linear and spiral staircases are offered.
No formal proof of stability is offered, but in the simulation, after starting the walk or on approaching a staircase, the model quickly reaches stationary behavior.
However, on the staircase, the purely ballistic motion of the pendulum is lost. Then, during the walking step, the constancy of the total energy, on which the FPE is based, is no longer true. Nevertheless, the FPE can still be evaluated by performing the computations after the transient, using the formula u l + = 0 and adopting two models before and after the last contact with the length of the supporting leg at its initial and final value, respectively.
Three extensions of the present approach are envisaged:
  • Formally investigate the range of perturbations on the initial velocities w x , w y and w z and on the swing leg angles α and α z that guarantee stability using Poincaré maps, similar to other approaches for passive walkers;
  • Add compliance to the swing leg to accommodate roughness in the ground and induce a finite double support period, as has been hypothesized in [24];
  • Use the present approach for an alternative control, with respect to the classical one based on ZMP [23], of a complete robot with 12 DOFs.

Funding

This research received no external funding.

Data Availability Statement

The data presented in this study are available in this article.

Conflicts of Interest

The author declares no conflicts of interest.

Abbreviations

The following abbreviations are used in this manuscript:
FPEFoot Placement Estimation
SIPSpherical Inverted Pendulum
ZMPZero Moment Point
COGCenter of Gravity
LIPMLinear Inverted Pendulum Model
DOFDegrees of Freedom

Appendix A. Kane’s Method and Autolev

In this work, the so-called Kane method [19] was adopted to model the biped. Moreover, Professor Kane of Stanford University, who created the theory, has also developed a symbolic manipulation software environment called Autolev (now MotionGenesis) [20] to support his method and to generate fragments of very efficient code of all needed mathematical expressions (energies, momenta, collisions, etc.) that are embedded in the dynamic simulator and in the nonlinear numerical solvers needed for handling the switching of the model in the hybrid simulation at the collision of the swing foot with the ground and for computing the FPE.
A comprehensive presentation of Kane’s method and its Autolev supporting tools can be found in Section 3 of Ref. [21]. Here, only the aspects relevant to this paper are reported.

Appendix A.1. Generalized Coordinates and Speeds

A multi-body system that possesses n degrees of freedom is represented by a state with an n-dimensional vector q of configuration variables (generalized coordinates) and an identical dimension vector u of generalized speeds also called motion variables, which could be any nonsingular combination of the time derivatives of the generalized coordinates that describe the configuration of a system. These are the kinematic differential equations:
u r = i = 1 , , n Y r i q i ˙ , r = 1 , , n ,
where Y r i may be, in general, nonlinear in the configuration variables so that the equations of motion can take on a particularly compact (and thus computationally efficient) form with the effective use of generalized speeds.
This is needed for continuity at the switching of the supporting feet at the collision. In fact, the configuration variables are the angles of the joints of the supporting foot, but the motion variables are the rotational speeds of the pelvis.

Appendix A.2. Non-Holonomic Constraints

When m constraints on the motion variables are added to the model, only n m generalized speeds are independent. The system is then called a non-holonomic system. The non-holonomic constraints are expressed as a set of m linear relationships between dependent and independent generalized speeds of the type
u r = i = 1 , , p A r i u i , r = p + 1 , , n ,
with p = n m . In this case, when the independent speeds are selected, Kane’s method immediately offers the minimal 2 p order state variable representation from
F ˜ r + F ˜ r * = 0 , r = 1 , , p ,
where Kane calls F ˜ r and F ˜ r * the non-holonomic generalized active and inertial forces, respectively, while the remaining m original redundant equations resolve themselves in the expressions of the m reaction forces/torques returned by the constraints. Because Kane’s method is fundamentally based on the projection of forces on a tangent space on which the system dynamics are constrained to evolve, spanned by the partial velocities, reaction forces/torques result from the projection on its null space.

Appendix A.3. Unilateral Constraints and Collision

As a consequence of switching between different non-holonomic models during gait, unilateral constraints and collisions cannot be ignored.
Mechanics of the collision of the swing foot with the ground have to be considered, particularly when switching to the next step causes the transfer of the final conditions of the generalized speeds of one phase to the initial conditions of the successive. With reasonable assumptions of non-slipping and anelastic restitution, the reaction impulsive force F B at the impact point B and the initial conditions of the generalized speeds for the new phase u ( t + ) can be computed. For this aspect, Autolev also offers all needed mechanical expressions.
The following analysis is based on two concepts: generalized impulse and generalized momentum [19,25]. As usual, indicate with v r B the r-th component of the partial velocity vectors of the point B (the swing foot). The generalized impulse at point B at the contact with the ground at instant t is defined as the scalar product of the integral of the reaction impulsive force F B δ ( t τ ) in the time interval t ÷ t + with the corresponding partial velocities
I r v r B ( t ) T · F B , r = 1 , , n ,
where the generalized momentum is defined as the partial derivative of the kinetic energy K with respect to the r-th generalized speed
p r ( t ) = K / u r , r = 1 , , n ;
then, Kane proves that
I r p r ( t + ) p r ( t ) .
Indicate the matrices
V B = ( v 1 B ( t ) v n B ( t ) )
P = { p i ( t ) / u j } , i , j = 1 , , n
of vectors of partial velocities and of partial derivatives of p r ( t ) with respect to the generalized speeds, and the vectors
I = [ I 1 I n ] T = V B T · F B
u ( t ) = [ u 1 ( t ) u n ( t ) ] T
v B ( t ) = V B · u ( t )
[ p 1 ( t ) , , p n ( t ) ] T = P · u ( t )
of generalized impulses, of generalized speeds, of the velocity of point B, and of generalized momenta, respectively.
Then, taking into account (A9) to (A12), considering that v B ( t ) is known and v B ( t + ) is zero, assuming a non-slipping condition and an inelastic collision, the following system of equations is solved to derive the unknown F B and u ( t + ) :
P u ( t ) 0 = V B ( t ) T P 0 V B ( t ) · F B u ( t + ) .
An essentially similar equation was discussed in [6].

Appendix B. FPE: The Balance Point upon Arrival

Before the impact, the motion variables have values w x , w y , w z , 0 , 0 , 0 , 0 , and after, they have w x + , w y + , w z + , u 1 + , u 2 + , u 3 + . We assume u h is zero. The total energy, T, and the projection on the vertical axis of the angular momentum, k w z , are constant before and after the impact; however, they have a reduction during the impact. The constancy of the total energy is not true in the case of motion of the supporting leg, as the total energy has a transient in the first period. So, the computations are performed after the transient.
Let us say that, at time t 0 , the state variables assume the values θ z 0 , θ 0 , θ x 0 , w x 0 , w y 0 , w z 0 , the total energy T 0 , and the momentum on the vertical axis k 0 w z (these last two values are also the same at the unknown instant of the impact t ). This gives the first equation, linking all state variables pre-impact.
T 0 = T ( θ z , θ , θ x , w x , w y , w z , α 1 , α z 1 )
At impact, the swing foot touches the ground. The vertical coordinate of F 2 offers the second equation, linking the pre-impact angles θ and θ x to α and α z for the FPE
F 2 z ( θ , θ x , α 1 , α z 1 , α , α z ) = 0 .
This also offers the future new position of the supporting foot, i.e., x + and y + . The constant momentum k w z offers the third equation, linking w z to the other pre-impact motion variable
k 0 w z = k w z ( θ z , θ , θ x , w x , w y , w z , α 1 , α z 1 ) .
Switching the pivot foot after the impact links the pre-impact to the post-impact angles in the following two steps:
  • Equate the direction cosine matrix of the swing leg frame at touchdown to a new frame expressed by orientation angles in body coordinates 3–2–1 (ZYX), giving θ z + , θ + , and θ x + for the new supporting leg;
  • Compute α 1 + and α z 1 + in order to guarantee the constancy of the direction of the y axis of the pelvis local frame before and after the switching of the pivot foot and resetting the previous rotation along this axis.
S U ( θ z + , θ + , θ x + ) = S W ( θ z , θ , θ x , α 1 , α z 1 , α , α z )
P e l v i s + ( θ z + , θ + , θ x + , α 1 + , α z 1 + ) = P e l v i s ( θ z , θ , θ x α 1 , α z 1 )
The solution to the impact equation (performed symbolically) (A13) gives the motion variables after impact, hence the total energy T E and the angular momentum k w z .
T E + = T E ( θ z + , θ + , θ x + , w x + , w y + , w z + , α 1 + , α z 1 + ) k w z + = k w z ( θ z + , θ + , θ x + , w x + , w y + , w z + , α 1 + , α z 1 + )
Moreover, by imposing velocity zero of the swing foot, after the impact, angles before the impact can be related to motion variables after, with a further relationship:
[ B x ˙ , B y ˙ , B z ˙ ] T = 0 = F ( θ z , θ , θ x , α 1 , α z 1 , α , α z , w x + , w y + , w z + ) .
To estimate the foot placement to maintain balance in a quasi-erect posture after the impact, with w = 0 , w x = 0 , w z = 0 , and θ 0 , noting that k w z + is zero by the last condition (A24), it is ensured that the total energy after the impact is equal to the maximal potential energy. However, as in this case, a rotation along the x axis of the pelvis is possible, so the maximum C O G z with respect to θ and θ x is searched for to obtain θ z m a x , θ m a x , and θ x m a x with the conditions
C O G z θ = 0 C O G z θ x = 0
to obtain U m a x = m · g · C O G z m a x and to ensure that the C O G m a x is over the foot:
C O G x m a x = x + C O G y m a x = y +
T E + = U m a x .
Finally, to ensure that w z is zero at the balance point after impact, the last equation is set as:
k w z + ( θ z + , θ + , θ x + , w x + , w y + , w z + , α 1 + , α z 1 + ) = 0 .
From the previous relationships, the unknown variables
θ z , θ , θ x , θ z + , θ + , θ x + , w x , w y , w z , w x + , w y + w z + , α 1 + , α z 1 + , α , α z , θ z m a x , θ m a x , θ x m a x
are determined using non-linear least squares with a numerical solver such as the Levenberg-Marquardt algorithm [26,27].

References

  1. Vukabrotovič, M.; Borovać, B. Zero-Moment Point—Thirty Five Years of its Life. Int. J. Humanoid Robot. 2004, 1, 157–173. [Google Scholar]
  2. Kajita, S.; Kanehiro, F.; Kaneko, K.; Yokoi, K.; Hirukawa, H. The 3D Linear Inverted Pendulum Mode: A simple modeling for a biped walking pattern generation. In Proceedings of the 2001 IEEE/RSJ International Conference on Intelligent Robots and Systems, Maui, HI, USA, 29 October–3 November 2001. [Google Scholar]
  3. Kajita, S.; Kanehiro, F.; Kaneko, K.; Fujiwara, K.; Harada, K.; Yokoi, K.; Hirukawa, H. Biped Walking Pattern Generation by using Preview Control of Zero-Moment Point. In Proceedings of the 2003 IEEE International Conference on Robotics and Automation, Taipei, Taiwan, 14–19 September 2003. [Google Scholar]
  4. Wang, T.; Chevallereau, C.; Tlalolini, D. Stable walking control of a 3D biped robot with foot rotation. Robotica 2014, 32, 551–570. [Google Scholar] [CrossRef]
  5. Liu, Y.; Zang, X.; Heng, S.; Lin, Z.; Zhao, J. Human-like Walking with Heel Off and Toe Support for Biped Robot. Appl. Sci. 2017, 7, 499. [Google Scholar] [CrossRef]
  6. Grizzle, J.; Chevallereau, C.; Ames, A.D.; Sinnet, R.W. 3D Bipedal Robotic Walking: Models, Feedback Control, and Open Problems. IFAC Proc. 2010, 43, 505–532. [Google Scholar] [CrossRef]
  7. Missura, M.B.; Behnke, S. Capture Steps: Robust Walking for Humanoid Robots. Int. J. Humanoid Robot. 2010, 16, 1950032. [Google Scholar] [CrossRef]
  8. DeLuca, A. Zero Dynamics in Robotic Systems. In Nonlinear Synthesis; Birkhäuser: Boston, MA, USA, 1991; Volume 9, pp. 68–87. [Google Scholar] [CrossRef]
  9. Westervelt, E.R.; Grizzle, J.W.; Koditschek, D.E. Hybrid Zero Dynamics of Planar Biped Walkers. IEEE Trans. Autom. Control 2003, 48, 42–56. [Google Scholar] [CrossRef]
  10. de Oliveira, A.C.B.; Vicinansa, G.S.; da Silva, P.S.P.; Angelico, B.A. Frontal Plane Bipedal Zero Dynamics Control. arXiv 2019, arXiv:1904.12939v1. [Google Scholar]
  11. Okamoto, K.; Akashi, N.; Obayashi, I.; Nakajima, K.; Kokubu, H.; Senda, K.; Tsuchiya, K.; Aoi, S. Sharp changes in fractal basin of attraction in passive dynamic walking. Nonlinear Dyn. 2023, 11, 21941–21955. [Google Scholar] [CrossRef]
  12. Kameta, K.; Sekiguchi, A.; Tsumaki, Y.; Kanamiya, Y. Walking control around singularity using a Spherical Inverted Pendulum with an Underfloor Pivot. In Proceedings of the 2007 7th IEEE-RAS International Conference on Humanoid Robots, Pittsburgh, PA, USA, 29 November–1 December 2007; pp. 210–215. [Google Scholar] [CrossRef]
  13. Elhasairi, A.; Pechev, A. Humanoid robot balance control using the spherical inverted pendulum mode. Front. Robot. AI 2015, 2, 2–21. [Google Scholar] [CrossRef]
  14. Wight, D. A Foot Placement Strategy for Robust Bipedal Gait control. Ph.D. Thesis, University of Waterloo, Waterloo, ON, USA, 2008. [Google Scholar]
  15. DeHart, B.J.; Gorbet, R.; Kulić, D. Spherical Foot Placement Estimator for Humanoid Balance Control and Recovery. In Proceedings of the 2018 IEEE International Conference on Robotics and Automation (ICRA), Brisbane, Australia, 21–25 May 2018. [Google Scholar]
  16. DeHart, B. Dynamic Balance and Gait Metrics for Robotic Bipeds. Ph.D. Thesis, University of Waterloo, Waterloo, ON, USA, 2019. [Google Scholar]
  17. Wight, D.; Kubica, E.; Wang, D.W. Introduction of the Foot Placement Estimator: A Dynamic Measure of Balance for Bipedal Robotics. J. Comput. Nonlinear Dynam. 2008, 3, 011009. [Google Scholar] [CrossRef]
  18. Bruijn, S.M.; vanDieën, J.H. Control of human gait stability through foot placement. J. R. Soc. Interface 2018, 15, 20170816. [Google Scholar] [CrossRef] [PubMed]
  19. Kane, T.; Levinson, D. Dynamics: Theory and Applications; McGraw-Hill: New York, NY, USA, 1985. [Google Scholar]
  20. Mitiguy, P. MotionGenesis: Advanced Solutions for Forces, Motion, and Code-Generation. 2000. Available online: https://www.motiongenesis.com (accessed on 28 May 2024).
  21. Menga, G. The Spherical Inverted Pendulum: Exact Solutions of Gait and Foot Placement Estimation Based on Symbolic Computation. Appl. Sci. 2021, 11, 1588. [Google Scholar] [CrossRef]
  22. Menga, G. The Spherical Inverted Pendulum with Pelvis width in Polar coordinates for Humanoid Walking Design. Biomed. J. Sci. Tech. Res. 2021, 39, 31641–31645. [Google Scholar] [CrossRef]
  23. Menga, G.; Ghirardi, M. Modeling, Simulation and Control of the Walking of Biped Robotic Devices—Part III: Turning while Walking. Inventions 2016, 1, 8. [Google Scholar] [CrossRef]
  24. Tlalolini, D.; Chevallereau, C.; Aoustin, Y. Human-Like Walking: Optimal Motion of a Bipedal Robot with Toe-Rotation Motion. IEEE/ASME Trans. Mechatronics 2011, 16, 310–320. [Google Scholar] [CrossRef]
  25. Bajodah, A.H.; Hodges, D.H.; Chen, Y.H. Nonminimal generalized Kane’s impulse-momentum relations. J. Guid. Control Dyn. 2004, 27, 1088–1092. [Google Scholar] [CrossRef]
  26. Levenberg, K. A Method for the Solution of Certain Non-linear Problems in Least Squares. Q. Appl. Math. 1944, 2, 164–168. [Google Scholar] [CrossRef]
  27. Marquardt, D. An Algorithm for the Least-Squares Estimation of Nonlinear Parameters. SIAM J. Appl. Math. 1963, 11, 431–441. [Google Scholar] [CrossRef]
Figure 1. The spherical inverted pendulum. (a) The kinematics of the model. (b) The control of the length L 1 by the force F 1 .
Figure 1. The spherical inverted pendulum. (a) The kinematics of the model. (b) The control of the length L 1 by the force F 1 .
Electronics 13 02224 g001
Figure 2. The controllers of the six objectives of the gait.
Figure 2. The controllers of the six objectives of the gait.
Electronics 13 02224 g002
Figure 3. The COG behavior. (a) COG along the y and z axes. (b) Details of COG and pivot foot position.
Figure 3. The COG behavior. (a) COG along the y and z axes. (b) Details of COG and pivot foot position.
Electronics 13 02224 g003
Figure 4. Angle position and velocity behaviors. (a) The angles θ z , θ , and θ x . (b) The velocities θ ˙ z , θ ˙ , and θ ˙ x .
Figure 4. Angle position and velocity behaviors. (a) The angles θ z , θ , and θ x . (b) The velocities θ ˙ z , θ ˙ , and θ ˙ x .
Electronics 13 02224 g004
Figure 5. Kinetic energy on a straight path on a horizontal surface. (a) Kinetic energy full view. (b) Details.
Figure 5. Kinetic energy on a straight path on a horizontal surface. (a) Kinetic energy full view. (b) Details.
Electronics 13 02224 g005
Figure 6. Total energy and angular momentum about the vertical axis. (a) Total energy. (b) Angular momentum about the z axis.
Figure 6. Total energy and angular momentum about the vertical axis. (a) Total energy. (b) Angular momentum about the z axis.
Electronics 13 02224 g006
Figure 7. Length, position, and velocity of the supporting leg on a staircase with steps of 15 cm. (a) Up the stair. (b) Down the stair.
Figure 7. Length, position, and velocity of the supporting leg on a staircase with steps of 15 cm. (a) Up the stair. (b) Down the stair.
Electronics 13 02224 g007
Figure 8. Different staircases. (a) COG on a spiral staircase. (b) COG going up and down a straight staircase.
Figure 8. Different staircases. (a) COG on a spiral staircase. (b) COG going up and down a straight staircase.
Electronics 13 02224 g008
Figure 9. Going up and down a rectilinear staircase. (a) Kinetic energy—total view. (b) Going down the staircase. (c) Going up the staircase.
Figure 9. Going up and down a rectilinear staircase. (a) Kinetic energy—total view. (b) Going down the staircase. (c) Going up the staircase.
Electronics 13 02224 g009
Figure 10. Kinetic energy in ascending a spiral staircase.
Figure 10. Kinetic energy in ascending a spiral staircase.
Electronics 13 02224 g010
Figure 11. Details of the total energy in ascending a spiral staircase.
Figure 11. Details of the total energy in ascending a spiral staircase.
Electronics 13 02224 g011
Figure 12. FPE upon arrival. (a) Angular position. (b) Angular velocities. (c) Total and potential energy. (d) Kinetic energy and momentum.
Figure 12. FPE upon arrival. (a) Angular position. (b) Angular velocities. (c) Total and potential energy. (d) Kinetic energy and momentum.
Electronics 13 02224 g012
Table 1. The six controls of the gait.
Table 1. The six controls of the gait.
ObjectiveControl Variable r i ( k ) d oi ( k ) δ i ( k ) y i ( k )
horizontality w x ( k + 1 ) 00 w x ( k ) q x + ( k )
cadence w y ( k + 1 ) c a d ( k ) w y + ( k ) δ w x ( k ) T ( k ) T ( k 1 )
step length α ( k + 1 ) r s l ( k ) α 0 δ α ( k ) F 2 x ( k ) F 1 x ( k )
step width α z ( k + 1 ) r s w ( k ) α 0 · s t a n c e δ α z ( k ) ( F 2 y ( k ) F 1 y ( k ) ) · s t a n c e
offset on y α z ( k + 1 ) y b a s e l i n e ( k ) 0 δ y ( F 1 y + F 2 y ) ( k ) / 2
dir. of walk w z ( k + 1 ) d i r b a s e l i n e ( k ) w z + ( k ) δ w z ( k ) q z + ( k )
Disclaimer/Publisher’s Note: The statements, opinions and data contained in all publications are solely those of the individual author(s) and contributor(s) and not of MDPI and/or the editor(s). MDPI and/or the editor(s) disclaim responsibility for any injury to people or property resulting from any ideas, methods, instructions or products referred to in the content.

Share and Cite

MDPI and ACS Style

Menga, G. A Novel Paradigm for Controlling Navigation and Walking in Biped Robotics. Electronics 2024, 13, 2224. https://doi.org/10.3390/electronics13112224

AMA Style

Menga G. A Novel Paradigm for Controlling Navigation and Walking in Biped Robotics. Electronics. 2024; 13(11):2224. https://doi.org/10.3390/electronics13112224

Chicago/Turabian Style

Menga, Giuseppe. 2024. "A Novel Paradigm for Controlling Navigation and Walking in Biped Robotics" Electronics 13, no. 11: 2224. https://doi.org/10.3390/electronics13112224

APA Style

Menga, G. (2024). A Novel Paradigm for Controlling Navigation and Walking in Biped Robotics. Electronics, 13(11), 2224. https://doi.org/10.3390/electronics13112224

Note that from the first issue of 2016, this journal uses article numbers instead of page numbers. See further details here.

Article Metrics

Back to TopTop