Abstract
Renewable energy resources are playing a crucial role in minimizing fossil fuel emissions. Integrating machine learning techniques with tidal power forecasting could greatly enhance the accuracy and reliability of predictions, which is crucial for efficient energy production and management. A hybrid approach combining different methods often yields better results than relying on individual techniques. The accuracy of tidal current power is very important, especially for smart grid applications. This work proposes hybrid adaptive neuro-fuzzy inference system (ANFIS) with the Kalman filter (KF) and a neuro-wavelet (WNN) for tidal current speed, direction, and power forecasting. The turbine used in this study is driven by a direct drive permanent magnet synchronous generator (DDPMSG). The predictions of individual and hybrid models including the ANFIS, the Kalman filter, and the WNN for tidal current speed and the power it generates are compared with another dataset as a way of validation which is the tidal currents direction. Also, other published work results in the literature are compared to the proposed work. Different hybrid models are proposed for smart grid integration. The results of this work indicate that the hybrid model of the WNN and the ANFIS for tidal current power or speed forecasting has the highest performance compared to all other models.
1. Introduction
Renewable energy is considered as one of the best solutions to minimize fossil fuel emissions. The integration of renewables is a challenge due to its fluctuation, uncertainty, intermittency, and nonlinearity. The integration of this type of energy needs robust and highly accurate forecasting models. Accurate forecasting models play a crucial role in addressing these challenges and enabling the effective integration of renewable energy into the grid. Accurate forecasts allow energy grid operators to allocate resources more efficiently by scheduling generation, storage, and consumption activities based on predicted renewable energy availability. Fluctuations in renewable energy generation can impact grid stability and reliability. Reliable forecasts enable grid operators to anticipate and manage these fluctuations, reducing the risk of blackouts or grid instability. By providing insights into future energy generation patterns, forecasting models help grid operators optimize energy trading, minimize imbalance costs, and reduce the need for expensive backup power sources. Utilities, policymakers, and investors rely on accurate forecasts to make informed decisions about infrastructure planning, investment in renewable energy projects, and grid upgrades. Forecasting models can facilitate the integration of demand response programs by predicting renewable energy availability and aligning consumer demand with periods of high renewable energy generation. Developing robust and highly accurate forecasting models requires advanced data analytic techniques, including machine learning, statistical modeling, and optimization algorithms. These models must consider various factors such as weather patterns, geographical features, historical data, and system dynamics to generate reliable predictions. Continued research and development in renewable energy forecasting are essential for advancing the transition to a more sustainable and resilient energy system. By improving the accuracy and reliability of forecasting models, we can unlock the full potential of renewable energy sources and accelerate the transition towards a low-carbon future. Much work has been carried out in the literature for tidal current forecasting. The literature work was divided into three different categories.
1. Statistical Methods: Statistical methods provide a foundational approach to data analysis and forecasting. Techniques like clustering, classification, and regression can be used to categorize data based on common features, patterns, or characteristics. Clustering algorithms, such as k-means or hierarchical clustering, can group similar data points together, enabling the identification of distinct categories within the dataset. Classification methods, like decision trees or support vector machines, can assign data points to predefined categories based on their attributes or features. Regression analysis can be employed to model the relationships between variables and predict future outcomes based on historical data.
2. Physical (Climate) Methods: Physical or climatological factors are other valuable approaches to renewable energy forecasting. This method involves incorporating domain knowledge about weather patterns, atmospheric conditions, and geographical features that influence renewable energy generation.
3. Hybrid Forecasting Methods: Hybrid forecasting methods combine multiple techniques or models to leverage their respective strengths and improve the overall forecast accuracy. These methods integrate statistical, physical, and possibly other approaches in a synergistic manner to capture the complex relationships and dynamics inherent in renewable energy systems.
Hybrid models offer the potential to achieve more accurate and robust forecasts by mitigating the limitations of individual methods and capturing complementary information from different sources. These hybrid methods have more advantages compared to others as they have the features of two or more different techniques in one model, but they require a longer time for training and convergence [1,2,3,4,5]. Several simple harmonic constitutions were used in the literature based on simplified tidal currents for tidal current forecasting [6]. An optimum prediction interval model focused on deep learning based on long short-term memory, a conventional neural network and the nonparametric approach termed the lower upper bound estimation (LUBE) model was proposed. This model was based on a two-stage modification of the gaining–sharing knowledge optimization algorithm to optimize the model architecture. The nonparametric approach, specifically the LUBE model, provides a robust method for estimating prediction intervals without making explicit assumptions about the underlying distribution of the data. By estimating both the lower and upper bounds of the prediction intervals, the LUBE model accounts for uncertainty and variability in the forecasted values [7]. The least squares method is one of the earliest powerful methods used in the literature to improve tidal current forecasting in a simple series, but its accuracy is not high compared to the currently used techniques. While the least squares method has contributed to the early development of tidal condition forecasting, researchers now rely on more advanced techniques to achieve higher accuracy and reliability. Modern approaches, such as machine learning models and hybrid forecasting frameworks, leverage the strengths of different methodologies to produce more accurate predictions [8,9]. Different hybrid and individual models were proposed in the literature based on the ANN, WNN, Kalman filtering, and Fourier series-based least square methods. These proposed hybrid models of are based on different combinations of ANN, FSLSM, and KF based on different order but they are very complicated models and take time to converge [1,2]. ANN is an individual technique that was used for tidal current forecasting using data from three harbors in Taiwan, but the model accuracy is limited compared to other models [10]. ANN backpropagation with descent was used to represent tidal current conditions but the accuracy was low [11]. A radial basis function based on ANN and WNN approaches was introduced for marine forecasting. The radial basis function proved its powerful in forecasting, but its convergence was slow, it sometimes got stuck, and it required more training [12]. A hybrid model of a WNN and ANN was used to improve the accuracy of the model, but its convergence was slow and it required more training [13,14]. Support vector regression and non-parametric methods were used along with the fuzzy membership functions to provide an appropriate balance between the coverage probability and normalized average width, but their accuracy was low [6].
WNN and support vector regression based on optimization methods using the bat algorithm was used to train the support vector regression model for marine condition forecasting but this model was more complicated and sometimes gave high accumulated errors [15]. The unsteady wave effect was used along with the direction as two different correlated factors to help in improving the accuracy of the forecasting model by using ANN and physical methods along with it. Three different models were used to improve the system performance, but the accuracy was limited compared to the hybrid models as the unsteady wave effect was a discontinuous phenomenon that was used as a main factor for tidal current forecasting [16]. Different hybrid models based on three different stages were proposed in the literature. The models depended on the neuro-wavelet, Fourier series and recurrent Kalman filtering for tidal current condition forecasting [17].
Hybrid models of the wavelet, ANN, and least square methods were used, feeding the first stage the tidal current data and the second stage residuals to improve their performance. The last stage was fed the output from the preceding stages. These proposed models are very complicated models as they have three different stages, and their accuracy depends on the accuracy of all stages, so if there is an error in the first stage, it will accumulate in the second and third stages. This error will lead to low accuracy [18]. Different assessment methods were used in the literature, and in this work, two different assessment methods are used to compare the results of the proposed work to the benchmark work carried out in this area.
The mean absolute error (MAPE) is one of the assessment methods used in this work and is an effective approach for evaluating the accuracy of forecasting models. The MAPE provides a straightforward measure of the average magnitude of errors between predicted and actual values, expressed as a percentage of the actual values as shown in Equation (1) [19].
where xi is the prediction, xi is the true value, and N is the data size. The MAPE is a measure of errors between paired observations expressing the same phenomenon. Examples of y versus x include comparisons between predicted (xi) versus observed (yi) and subsequent time versus the initial time. Another calibration method is the index r which measures the strength and direction of the linear relationship between two variables and is defined as Pearson’s correlation coefficient, and it is defined in Equation (2) [19]. By calculating the Pearson correlation coefficient between the predicted and actual values, one can assess the degree of alignment between them. A high correlation coefficient (close to 1 or −1) suggests that the model’s predictions closely match the observed values, indicating good calibration.
where xi is the prediction, xi is the true value, and n is the data size. The MAPE is a measure of errors between paired observations expressing the same phenomenon. Examples of y versus x include comparisons between predicted (xi) versus observed (yi) and subsequent time versus the initial time. The most used factor is normalized root mean square error (nRMSE) which is defined in Equation (3) [20,21]. By using nRMSE as an evaluation metric, one can assess the relative accuracy of forecasting models while accounting for the scale of the data. It provides a standardized measure of error that facilitates comparisons across different datasets and models.
where xi is the predicted value, yi is the actual value, N is the number of observations, and
is mean of the actual data.
The aims of this work are as follows:
- To develop an accurate hybrid intelligent approach for preprocessed data for marine forecasting.
- To predict the marine power driven by a DDPMSG.
- To obtain an optimal size of the individual approaches for the best performance as a preparation step for the hybrid models and modify the AI parameters based on the optimal size of individual approaches to achieve the optimal performance which will improve the integration of renewable energy resources into the main grid.
- To validate the proposed work by using different data and compare the results with the literature work conducted in this area of research.
- To apply the feature selection technique to choose the best input parameters that represent the proposed models.
There are many proposed models in the literature, but the accuracy is different and could be improved more by using the best input variables for the forecasting model. The correlation between the input variables could increase the error, so having an accurate number of the input is very important along with the best choice of the training functions, layers, and neuron size. Removing the redundant variables will improve the overall system accuracy and reduce the computational time. So, the research gap that this paper dealt with was the optimal performance for the proposed models. Many approaches were proposed in the literature, and in this paper, we chose three techniques to use (ANFIS, KF, and WNN). We tried hundreds of models either individually or as hybrids based on feature selections as well. We found that the pattern of the data used in this paper performs very well with the ANFIS, KF, and WNN. This motivates us to use a hybrid of either ANFIS, KF, and/or WNN. The novelty of this work is the interface between two different techniques in one model as well as applying feature selection techniques along with the optimal sizing used for each model parameter. In this work, the ANFIS is used along with the WNN and KF to create a hybrid model that can deal accurately with the nonlinearity, uncertainty, and intermittency of and fluctuation in the data to improve the overall system accuracy and increase the smooth integration of the tidal current power into the main grid for smart grid applications.
2. Artificial Intelligence Techniques
2.1. Wavelet Neural Networks (WNNs)
WNNs combine the concepts of wavelet analysis and neural networks to create a powerful modeling approach, particularly well suited for tasks involving time-series analysis, signal processing, and pattern recognition. Wavelet analysis is a mathematical technique used to analyze signals or data in both the time and frequency domains simultaneously. It decomposes signals into different frequency components, allowing for the detection of patterns at different scales. Wavelets are small, well-localized functions that are scaled and translated to analyze different frequencies and time intervals within a signal. Wavelet neural networks integrate wavelet analysis and neural networks by using wavelet functions as activation functions or basis functions within neural network architectures. WNNs and ANNs are the most powerful tools used in forecasting. ANNs have three different major learning methods (supervised, unsupervised, and reinforcement). Unsupervised learning is used for a big dataset to categorize it into different categories based on some statistical analysis like a common centroid for some categories. Reinforcement learning depends on giving a reward for achieving a certain goal. Supervised learning depends on given input and output and then trains the ANN based on that. Back propagation (BP) and the radial basis function (RBF) are the most used techniques for forecasting using supervised learning. A WNN uses different activation functions in the hidden layers compared to ANNs and has more compact techniques and learning speed. The output is represented by the sum of weighted wavelets. is the weight between the hidden unit j and input unit k. is the weight between the output and hidden unit j. The sum of the weighted inputs to the hidden neuron, , is defined as the input and is represented by [19,20,21].
The output of each hidden neuron is defined by
where is the wavelet function, is defined as the scaling, and is the translation coefficients of the wavelet function in the hidden neuron. The input and output of the output neuron is described by the following equations [17,18]:
The multiresolution analysis ability of wavelet makes it suitable for dealing with forecasting from nonstationary signals acquired from tidal power. The bandwidth of the nonlinear nonstationary data needs to be wide to cover the higher fluctuation in the dataset that is used for forecasting and needs to have high-frequency resolution to extract. The basic analysis wavelet ψ(t) is a square integrable function, and it has the following relationship [19]:
Cψ = ∫(|Ψ (ω)|2/|ω|)dω < ∞
Ψ(ω) is the Fourier transform of ψ(t). Through translation and dilatation, a member of the function can be derived from ψ(t). The equation can be described as follows:
where ψa, b(t) is a member of wavelet mother function and a and b represent the scale parameter and translation parameter, respectively. ψa, b(t) is the window function. a and b are used to adjust the frequency and time location of the wavelet. Small a offers high-frequency resolution and is useful in extracting the high-frequency components of signals. Small a increases in response to the decrease in frequency resolution but increases in time resolution, and low-frequency components are much easier to extract. The wavelet is derived through the discretization of parameters a and b. a is replaced by 2j and b is replaced by k2j (j, k ∈ Z), and this is expressed as
ψa,b (t) = |a| − 1/2ψ((t − b)/a)
Wψ (j, k) = ∫ x (t) ψj, k (t) dt
ψj, k(t) = 2 − j/2ψ(2 − jt − k) and x(t) is the finite-energy signal. The Mallat algorithm [20,21,22] implements wavelets using a pyramidal structure where time dilation is accomplished by down-sampling for every stage of wavelet decomposition. Wavelet filters are used for decomposition and reconstruction.
A0 [x (t)] = x (t)
Aj [x (t)] = ∑H (2t − k) Aj − 1 [x (t)]
Dj [x (t)] = ∑G (2t − k) Aj − 1 [x (t)]
x(t) is the original signal and j is the decomposition level (j = 1, 2, …, j). H and G are wavelet decomposition filters for low-pass filtering and high-pass filtering, respectively. Aj and Dj are the low-frequency wavelet coefficients (approximations) and the high-frequency wavelet coefficients (details) of signal x(t) at the jth level, respectively. Dj and Aj are obtained through high-pass filtering and low-pass filtering with down-sampling at each level. After the signal x(t) is decomposed by the J-level wavelet, Dj at each level and Aj at the Jth level are obtained.
A high order of the mother wavelet is recommended for minimizing the overlapping effect at the expense of a higher computation time.
Polynomial Wavelet for Robust Model
Let φ and ψ be the father (scaling) and mother (dilation) wavelet functions, respectively, and the function f can be written in terms of wavelets as
where φk(x) denotes the soft threshold coefficient.
Given wavelet coefficient dj,k and threshold value λ, the soft threshold rule, , of the coefficient can be defined as
Here, we refer to the usual indicator function. In other words, ‘soft’ means ‘to shrink or to kill’.
Several methods were used to select an appropriate threshold value, λ.
The polynomial wavelet method is basically based on a combination of wavelet functions, , and low-order polynomials, . Therefore, the estimator of the function , is written as
To find , the data are regressed {yi}ni = 1 on {x1, x2, …, xd} for a fixed order value, d. Once is estimated, the remaining signal is expected to be hidden in the residuals, . For this reason, the second step is to apply wavelet regression using Equation (14) for . The final estimate of f is the summation of and as in Equation (15).
The use of WNN for resolving boundary problems works efficiently if the polynomial estimator is used to remove the ‘non-periodicity’ in data, and this requires a correct order with an appropriate threshold.
It considers the value of d that maximizes r(d)
The process of training WNN is as follows:
- (1)
- Data preprocessing: first, the original data are normalized, and then the data are divided into training, testing, and validating sets.
- (2)
- Initializing WNN: connection weights, the translation factor, and the scale factor are randomly initialized, and the learning rate is set.
- (3)
- Training network: feed the training dataset into the WNN, compute the network-predicted output values, and calculate the error between the output and the expected value.
- (4)
- Updating the weights: update mother wavelet function parameters and network weights according to the prediction error, making the predictive value of the network as close to the actual values.
- (5)
- If the results satisfy the given conditions, use the testing set to test the network; otherwise, return to Step 3.
- (6)
- In each step, optimize the model parameters and use a different mother wavelet function.
In this work, continuous wavelet transform is used as it is considered as a powerful tool for analyzing nonstationary time-series signals in the time–frequency domain. Wavelet analysis allows using long time windows when we need more precise low-frequency information and shorter ones when we need high-frequency information. Low-pass filter and high pass filter techniques are applied for some mother functions. The low-pass/high-pass and subsampled filter bank implementation of the discrete wavelet transform (DWT) is only valid for a certain class of wavelets. Different mother functions are tested for hundreds of runs based on different parameters. The rank of different functions based on the best performance, starting from the best performance and ending with the worst performance, is as follows: Haar, Morlet, Mexihat, GGW, Gaussian, Shannon, and Meyer. The Morlet wavelet family does not belong to this class of filters as discrete wavelets seldom have closed-form expressions because of the constraints put on the dyadic scales and filters and because of its complexity. The Haar high-pass filter is more suitable for this work and gives better performance as it computes half the difference between successive input samples [23,24].
2.2. Adaptive Neuro-Fuzzy Inference System (ANFIS)
The fuzzy logic tool was introduced in 1965 by Lotfi Zadeh. It provides a simple way to arrive at a definite conclusion based upon vague, ambiguous, inaccurate information. The fuzzy theory provides a way to represent linguistic constructs like “low”, “medium”, “often”, and “few”. Overall, fuzzy logic provides an inference structure that has appropriate human reasoning capabilities. A classical or crisp set is a set defined by a clear-cut boundary. It features a collection of objects with the same properties, whether the objects either belong to the set or not. In crisp sets, the characteristic functions assign a value of 1 for an object belonging to the set or the value of 0 if it is outside the set, whereas a fuzzy set is a set with a vague boundary. Each value is associated with a degree of membership. A degree of membership may have values between 0 and 1. There is a gradual transition from the value belonging to the set or not belonging to the set. The membership function uniquely specifies a fuzzy set. Like how the crisp set operations are union, intersection, complement, and difference, the fuzzy set operations are containment, union, complement, intersection, and cartesian product [25].
The adaptive neuro-fuzzy inference system (ANFIS) was introduced by Roger. The ANFIS architecture is used to model nonlinear functions, identify nonlinear components, and predict a chaotic time series with higher accuracy compared to ANNs. In fuzzy systems, expert knowledge is required to describe fuzzy rules and a time is needed for the tuning process of the parameters. The membership function parameters of the fuzzy system are tuned using a combination of the back propagation algorithm with the least squares method. A neural network structure maps inputs through associated parameters, input membership functions, and outputs through associated parameters and output membership functions. The ANFIS utilizes a neural network approach for solving the approximation problem by clustering a training set of numerical samples of the function to be approximated.
The ANFIS structure depends on the IF–THEN architecture of a fuzzy inference system (FIS), and the parameters that shape the membership function perform the role of weights in the model. A finite number of parameters known as premise parameters govern the “IF” part of the rules, whereas the consequent parameters determine the “THEN” part of the rules. The set of premise and consequent parameters are adjusted by the ANFIS learning algorithm, which is a combination of back propagation and least square estimation (LSE). A typical fuzzy rule in a Sugeno fuzzy model has the following format:
where A and B are fuzzy sets, and z = f (x, y) is the crisp function defining the output. The function f (x, y) is typically a polynomial, which describes the output based on the input variables x and y within the fuzzy region specified by the fuzzy sets of the rule [26]. The ANFIS has been successfully applied to various fields, including system identification, time-series prediction, control systems, pattern recognition, and decision making. It is particularly useful for problems involving nonlinear relationships, uncertainty, and imprecise data, where traditional modelling techniques may be inadequate. The ANFIS provides a flexible and powerful framework for building intelligent systems that can learn from data and adapt to complex environments. Its ability to combine fuzzy logic reasoning with neural network learning makes it well suited for a wide range of real-world applications.
2.3. Kalman Filter
The Kalman filter (KF) is considered an optimal state estimator under the assumptions of linearity and Gaussian noise based on a set of data containing some statistical noise and other inaccuracies. The KF estimates some variables to represent the trend of these data set by using some probability distribution over the variables. It achieves optimality through an iterative feedback loop with two update steps: the prediction step and the update step.
The model is defined as
where F is the state transition matrix (this could be considered a random matrix at the beginning and could be updated later) applied to the previous state vector xk−1 (which is considered the tidal speed or power) that is used for training in our work. B is the control input matrix applied to the control vector uk−1 (uk−1 is the input which is the previous time), and wk−1 is the process noise vector that is assumed to be zero-mean Gaussian. The KF is used to estimate xk, which is considered the tidal speed or power that is predicted in our work.
xk = F xk−1 + B uk−1 + wk−1
The prediction is based on the state estimate and the updating uses residual , where is z is the measurement vector and H is the measurement matrix [17,18,27,28].
The Tidal Current Turbine Model Driven by DDPMSG [3,29,30,31,32]
The tidal current power (Pt) is represented by
where Pt is the power in watts, A is the area swept by the tidal turbine in square meters, Cp is the power coefficient, ρ is the water density in kilograms per cubic meter, and vtide is current velocity expressed in meters per second. The power coefficient (Cp) depends on various factors, including the design and efficiency of the turbine, the flow characteristics of the tidal current, and the operating conditions. It typically ranges from 0 to 1, with higher values indicating a more efficient turbine. This equation provides a simplified estimation of the power generated by a tidal turbine based on the velocity of the tidal current and the characteristics of the turbine. However, it is important to note that actual power generations may vary due to factors such as tidal fluctuations, turbulence, environmental conditions, and mechanical losses in the turbine system.
Pt = ½ ρCpA(vtide)3
The shaft system of the generator could be represented using different theories. In this work, two masses theories are used to represent the shaft system as seen in Equations (20)–(22).
The two masses theory provides a simplified effective approach to modeling and analyzing the dynamic behavior of shaft systems, enabling engineers to design and optimize mechanical systems for improved performance and reliability. The shaft system is approximated as two masses connected by a spring and a damper, which allows for the analysis of its vibrational characteristics and dynamic response.
θtr = θr − θt
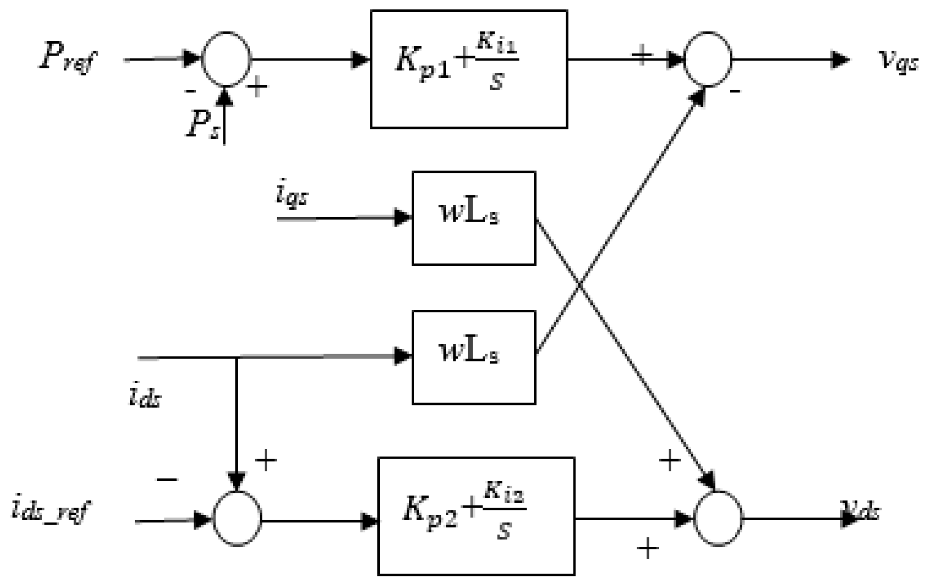
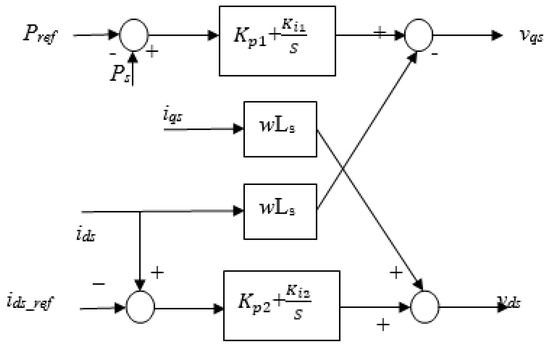
Figure 1 shows the Simulink model and control concept of the tidal current turbine driven by a DDPMSG. Figure 2 and Figure 3 show the generator- and the grid-side converter controllers for the DDPMSG.
Figure 1.
Simulink model and control concept of the tidal current turbine driven by DDPMSG.
Figure 2.
Generator-side converter controller for DDPMSG.
Figure 3.
Grid-side converter controller for DDPMSG.
The generator-side controller is responsible for regulating the operation of the DDPMSG, ensuring that it operates at its optimal operating point and maintains stability. Adjusting the generator’s operating conditions to maximize power extraction from the tidal currents is carried out based on the maximum power point tracking concept. The grid-side converter controller is responsible for regulating the power flow between the DDPMSG and the grid, ensuring the smooth integration of the generated power into the grid. Monitoring the grid voltage and frequency and synchronizing the converter’s output to match the grid conditions is one of the important features.
3. Artificial Intelligence Networks
Back propagation (BP) and the radial basis function (RBF) are the most commonly used techniques for forecasting using supervised learning, but the RBF is more complicated compared to BP, but its performance is better for some cases [17]. WNNs use different activation functions in the hidden layers compared to ANNs and have more compact techniques and learning speeds as well as more activation functions that may help in some cases for faster convergence. The output is represented by the sum of weighted wavelets. is the weight between the hidden unit j and input unit k. is the weight between the output and hidden unit j. The sum of weighted inputs to the hidden neuron, , is defined as the input and is represented by . In this work, different activation functions are tested but the best performance is achieved when the tansigmoid and logsigmoid functions based on the RBF algorithm are applied for the two hidden layers.
Three different individual models are used (ANFIS, WNN, and KF) as well as six different hybrid models (ANFIS + WNN, ANFIS + KF, KF + ANFIS, KF + WNN, WNN + KF, and WNN + ANFIS) are proposed in this work for tidal current speed, power, and direction forecasting. Figure 4 shows the flowchart for all proposed hybrid models.
Figure 4.
The proposed flowchart for the hybrid models.
3.1. Data Preprocessing and Model Training
The dataset is first preprocessed to prepare it for training the individual models. Each individual model (e.g., the ANFIS, the Kalman filter, and the wavelet neural network) is trained separately on the dataset to determine the optimal parameters for the best performance. The parameters of each model, such as activation functions, the number of neurons, hidden layers, and epochs, are varied systematically to find the configuration that minimizes errors.
Hybrid Model Development: Multiple hybrid models are proposed, each combining different combinations of the individual techniques. Each hybrid model consists of two stages: The first stage employs one of the individual techniques to generate an intermediate output (tidal speed, direction, or power). The second stage uses another technique along with the output from the first stage to refine the prediction. Parameters of the hybrid models are adjusted similarly to the individual models to optimize their performance. The trained models are evaluated using metrics such as the mean absolute percentage error (MAPE) and normalized root mean square error (nRMSE).
The forecasted data from each model are compared to the actual data to calculate the error metrics and calibrate the models. The calibration process involves adjusting model parameters and configurations to minimize errors and improve accuracy. The performance of each hybrid model is compared based on the error metrics calculated during the evaluation. The hybrid model with the lowest error and best performance is selected as the optimal model for predicting tidal speed, direction, and power. The entire process may be repeated iteratively to further refine the models and improve their performance. Parameters and configurations may be adjusted based on insights gained from previous iterations or additional data. By systematically evaluating and comparing different hybrid models, we can identify the most effective forecasting model for predicting tidal characteristics in a DDPMSG-driven turbine system. This comprehensive methodology allows for the fine-tuning of model parameters and configurations to achieve the highest level of accuracy and performance.
3.2. Individual Models for Parameters Selection
3.2.1. ANFIS
Hundreds of runs are performed with the ANFIS model alone, varying parameters such as the number of fuzzy rules, the optimization methods, the number of membership functions (MFs), and the types of MFs. Through these runs, it is determined that the ANFIS model with 270 fuzzy rules, a hybrid optimum method, 15 input MFs, and 18 output MFs using the Psigmf membership function type yields the best performance. The optimized ANFIS model has two inputs in the input layer (day and time), with 15 neurons in the input membership function hidden layer and 18 neurons in the output membership function hidden layer. The root mean square error (RMS) for this configuration is reported as 0.0925, which is the lowest error achieved among the different cases tested. Figure 5 illustrates the structure information of the ANFIS model, showing the inputs, membership functions, and layers.
Figure 5.
ANFIS model structure info.
Figure 6 depicts the relationship between the day and tidal current speed for both the actual and forecasted data. The blue circles and the red asterisks represent the actual and the forecasted data for the trained model using the ANFIS.
Figure 6.
The relation between the day and the tidal current speed.
Figure 7 and Figure 8 show the overall fuzzy system and the neuro fuzzy design system, respectively. Figure 9 displays the rules and membership functions used for training and testing the model. Figure 10 presents the surface variation in ANFIS-SC (ANFIS System Controller) model predictions, likely showing how the model’s predictions vary across different inputs and scenarios. Overall, this detailed analysis and optimization process help ensure that the ANFIS model performs optimally for tidal current forecasting, providing accurate predictions with minimized errors. The visualizations provided offer insights into the model’s structure, behavior, and performance, aiding in understanding and interpretation.
Figure 7.
Fuzzy system.
Figure 8.
Neuro-fuzzy design.
Figure 9.
Rules and membership functions.
Figure 10.
Surface variation in ANFIS-SC model predictions.
3.2.2. WNN
Performing thousands of runs to optimize the parameters of the wavelet neural network (WNN) model demonstrates a thorough approach to achieving the optimal performance for tidal current power forecasting. Here is a breakdown of the key findings from the optimization process:
Parameter Optimization: Thousands of runs are conducted, varying parameters such as the number of neurons, functions, and epochs for the WNN model. This extensive search aims to identify the combination of parameters that leads to the best performance in terms of accuracy and efficiency for tidal current power forecasting.
Optimal Model Configuration: Through the optimization process, it is determined that the best configuration for the WNN model includes two hidden layers, 75 neurons in the first hidden layer, and 100 neurons in the second hidden layer. These parameters are found to result in optimal performance, likely achieving the desired balance between model complexity and predictive accuracy. Selecting two hidden layers suggests that the WNN model benefits from a certain level of complexity to capture the underlying patterns in the tidal current power data. The choice of 75 neurons in the first hidden layer and 100 neurons in the second hidden layer indicates a relatively large number of neurons, allowing for flexibility in representing complex relationships within the data.
The selected configuration likely demonstrates superior performance compared to alternative parameter settings, as determined through rigorous testing and validation. Overall, the optimization process highlights the effort and attention to detail invested in fine-tuning the WNN model for tidal current power forecasting. By systematically exploring a wide range of parameter combinations and selecting the optimal configuration, the model is expected to provide reliable and accurate predictions, contributing to effective decision making in the management of tidal energy resources.
3.2.3. KF
Calibrating the output sensitivity for the Kalman filter (KF) algorithm using different clustering segments is a valuable approach to optimizing the accuracy of the forecasted output generated power. The output sensitivity of the KF algorithm refers to how responsive the algorithm is to changes or variations in the forecasted output generated power. By calibrating the output sensitivity using different clustering segments, the aim is to determine the optimal configuration that maximizes accuracy and minimizes errors in the forecast. Clustering segments refer to the number of distinct groups or clusters into which the data are partitioned for analysis. Clustering segments are used to divide the dataset into subsets based on similar characteristics or patterns related to the generated power output. The results of the calibration process indicate that the best performance for forecasting the generated power output is achieved when the number of clustered segments is six. This suggests that partitioning the data into six distinct clusters allows the KF algorithm to capture the underlying patterns and variations in the generated power output more effectively, leading to improved accuracy in the forecasts. The performance of the KF algorithm is likely evaluated using metrics such as the mean absolute percentage error (MAPE), normalized root mean square error (nRMSE). The calibration process ensures that the algorithm is optimized to produce accurate and reliable forecasts of the generated power output, enhancing its utility for decision-making and planning purposes. Overall, by systematically exploring the impact of different clustering segment configurations on the output sensitivity of the KF algorithm, the calibration process helps identify the optimal settings that yield the most accurate forecasts of the generated power output. This contributes to improved efficiency and effectiveness in harnessing tidal energy resources for practical applications.
3.3. Hybrid Models
In this process, the testing and evaluation of six different hybrid models for tidal current speed, direction, and power forecasting are examined. Six hybrid models, each combining two different techniques, are constructed and tested. Each hybrid model operates in two stages, with each stage utilizing one of the individual techniques. In the first stage, the input data (day and time) are fed to one of the individual techniques, which is trained to predict the required output (speed, direction, or power of the tidal currents). The forecasted output from the first stage, along with the day and time data, is then used as input for the second stage. Both stages of each hybrid model rely on supervised learning training to predict the desired output (speed, direction, or power of the tidal currents). The individual techniques in each stage are trained using historical data, with the goal of optimizing their performance in predicting the output variable. The performance of each hybrid model is assessed using two different assessment factors. These assessment factors likely include metrics such as the mean absolute percentage error (MAPE), normalized root mean square error (nRMSE). The forecasted output generated power by each hybrid model is compared to the actual output data to evaluate its accuracy and reliability. The forecasted output is generated for each 10 min interval, reflecting the temporal resolution of the data and the frequency of forecasting required for practical applications. The testing process may involve iteratively adjusting the configurations of the hybrid models, such as the selection of individual techniques, the sequence of stages, or the parameters of the supervised learning algorithms. This iterative approach allows for the refinement of the hybrid models to improve their accuracy and performance over time.
Overall, the testing and evaluation process described aims to identify the most effective hybrid model configuration for accurately forecasting tidal current speed, direction, or power. By systematically comparing different combinations of techniques and assessing their performance against actual data, the process helps optimize the forecasting models for practical use in managing tidal energy resources.
3.3.1. Hybrid Model of KF and WNN
This model involves a hybrid approach combining the Kalman filter (KF) for the first stage and a wavelet neural network (WNN) for the second stage to forecast tidal current speed, direction, or power. The first stage of the model utilizes the KF algorithm, which takes time and day factors as input to forecast tidal current speed, direction, and power. The output of the KF algorithm, along with the time and day data, serves as input for the second stage. The second stage employs the WNN technique, which is trained using supervised learning to refine the forecasted output from the first stage. The output of the second stage, referred to as the net forecasted data, represents the final forecasted values for tidal current speed, direction, and power. The accuracy of the proposed hybrid model is assessed using two evaluation metrics (the MAPE and nRMSE). The MAPE measures the average absolute percentage difference between the forecasted and actual values, providing a measure of the overall accuracy. The nRMSE measures the normalized root mean square error between the forecasted and actual values, accounting for the variability in the data. Table 1 presents the obtained results for tidal current speed forecasting, with the MAPE reported as 1.3634 and the nRMSE as 0.02598. These results indicate the level of accuracy achieved by the proposed hybrid model in predicting tidal current speed. Lower values of the MAPE and nRMSE indicate better accuracy and closer agreement between the forecasted and actual values. Figure 11 illustrates the hybrid model’s architecture, showing the flow of data from the KF algorithm in the first stage to the WNN technique in the second stage. The visualization includes details of the input data, processing steps, and output predictions at each stage of the hybrid model. Overall, the hybrid model combining KF and WNN demonstrates promising results for tidal current forecasting, with relatively low values of the MAPE and nRMSE indicating good accuracy in predicting tidal current speed. This approach leverages the strengths of both techniques to improve forecast performance and reliability.
Table 1.
MAPE and nRMS of different models for tidal currents speed forecasting.
Figure 11.
Hybrid model of KF and WNN.
Two different methods of validation are used.
1. Validation Using Different Datasets: One method of validation involves substituting the tidal current speed with tidal current direction in the same hybrid model and calculating the MAPE and nRMSE using a different dataset. The results, as shown in Table 2, indicate an MAPE of 1.4534 and an nRMSE of 0.0387 for tidal current direction forecasting. These values are compared with the literature results, demonstrating the effectiveness of the proposed hybrid model compared to previous studies.
Table 2.
MAPE and nRMS of different models for tidal currents direction forecasting.
2.Validation by comparing the results with the literature work conducted: Another validation method involves comparing the results of the proposed hybrid models with findings from two different papers in the literature. The MAPE and nRMSE values obtained from the proposed hybrid models are found to be lower than those reported in the literature (references [17,18]), indicating improved accuracy and performance. Table 3 presents all proposed hybrid models for tidal power forecasting and their corresponding errors (the MAPE and nRMSE). The MAPE and nRMSE values for forecasted power are reported as 1.3647634 and 0.02600598, respectively, demonstrating the accuracy of the proposed hybrid models for power forecasting. Figure 12 illustrates the hybrid model of KF and WNN for forecasting tidal current speed, direction, and output power driven by DDPMSG for a period of five days. Overall, the validation results indicate that the proposed hybrid models for tidal current speed, direction, and power forecasting exhibit good accuracy and outperform previous approaches reported in the literature. This demonstrates the effectiveness of the hybrid modeling approach in improving the accuracy of tidal energy forecasting for practical applications.
Table 3.
MAPE and nRMS of different models for tidal current power forecasting.

Figure 12.
Hybrid model of KF and WNN; the relationship between the actual data and forecasted data for tidal currents. (a) Speed forecasting and time. (b) Speed, time, and date. (c) Direction and time. (d) Power and time.
3.3.2. Hybrid model of KF and ANFIS
In this model (Figure 13), KF is used in the first stage and ANFIS in the second stage. In the first stage, the KF technique is trained using time and day data as input to forecast tidal current speed. The forecasted speed data from the first stage, along with the day and time information from the first stage, are fed into the ANFIS model in the second stage. The MAPE is 1.176 and the nRMSE is 0.00114, indicating good accuracy in forecasting tidal current speed. The performance of the proposed hybrid model is compared with the results from the literature works. The MAPE and nRMSE values obtained from the proposed hybrid model are lower than those reported in the literature for comparable models, indicating improved performance. Figure 14 illustrates the hybrid model of the KF and ANFIS for forecasting tidal current speed, direction, and output. Table 3 presents the MAPE and nRMSE values for forecasted power using the hybrid model. The reported values for the MAPE and nRMSE are 1.177176 and 0.0114114, respectively, indicating good accuracy in forecasting tidal power. Overall, the hybrid model combining the KF and ANFIS demonstrates improved accuracy compared to previous models, as evidenced by lower MAPE and nRMSE values. This suggests that the integration of the KF and ANFIS techniques effectively captures the underlying patterns in the tidal current data, resulting in more accurate forecasts of both speed and power.
Figure 13.
Hybrid model of KF and ANFIS.

Figure 14.
Hybrid model of KF and ANFIS; the relationship between the actual data and forecasted data for tidal currents. (a) Speed forecasting and time. (b) Speed, time, and date. (c) Direction and time. (d) The power and the time.
3.3.3. Hybrid Model of WNN and KF
The hybrid model (Figure 15) consists of two stages: a WNN in the first stage and the KF in the second stage. In the first stage, the WNN is trained using the relevant data as input to forecast tidal current speed. The forecasted speed data from the first stage, along with the day and time information, are fed into the KF model in the second stage. The reported MAPE is 1.3807 and the nRMSE is 0.02824, indicating reasonable accuracy in forecasting tidal current speed. The performance of the proposed hybrid model is compared with results from the literature works. Table 3 presents the MAPE and nRMSE values for forecasted power using the hybrid model. The MAPE and nRMSE values obtained from the proposed hybrid model are lower than those reported in the literature for comparable models, indicating improved performance, as seen in Table 3. The reported values for the MAPE and nRMSE are 1.3820807 and 0.02826824, respectively, indicating reasonable accuracy in forecasting tidal power. Figure 16 illustrates the hybrid model of the WNN and KF for forecasting tidal current speed, direction, and output power. Overall, while the hybrid model combining the WNN and KF may not be as effective as the previously proposed models, it still demonstrates reasonable accuracy in forecasting tidal current speed and power. This suggests that the integration of different techniques can lead to improved forecasting performance, even if some combinations may be more effective than others.
Figure 15.
Hybrid model of WNN and KF.

Figure 16.
Hybrid model of WNN and KF; the relationship between the actual data and forecasted data for tidal currents. (a) Speed forecasting and time. (b) Speed, time, and date. (c) Direction and time. (d) The power and the time.
3.3.4. Hybrid Model of WNN and ANFIS
The hybrid model (Figure 17) consists of two stages: a WNN in the first stage and the ANFIS in the second stage. In the first stage, the WNN is trained using the relevant data as input to forecast tidal current speed.
Figure 17.
Hybrid model of WNN and ANFIS.
The forecasted speed data from the WNN model, along with the day and time information, are fed into the ANFIS model in the second stage. The accuracy of the hybrid model is evaluated using the mean absolute percentage error (MAPE) and normalized root mean square error (nRMSE).
The reported MAPE is 1.01998 and the nRMSE is 0.00775, indicating high accuracy in forecasting tidal current speed. The performance of the proposed hybrid model is compared with results from the literature works. The MAPE and nRMSE values obtained from the proposed hybrid model are lower than those reported in the literature for comparable models, indicating superior performance. Table 3 presents the MAPE and nRMSE values for forecasted power using the hybrid model. The reported values for the MAPE and nRMSE are 1.02099998 and 0.00775775, respectively, indicating high accuracy in forecasting tidal power. Figure 18 illustrates the hybrid model of WNN and ANFIS for forecasting tidal current speed, direction, and output power. The visualization provides insights into the model’s structure and performance over time. Overall, the hybrid model combining WNN and ANFIS demonstrates superior accuracy compared to previous models both proposed and reported in the literature. This suggests that the integration of WNN and ANFIS techniques effectively captures the underlying patterns in the tidal current data, resulting in highly accurate forecasts of both speed and power.

Figure 18.
Hybrid model of WNN and ANFIS; the relationship between the actual data and forecasted data for tidal currents. (a) Speed forecasting and time. (b) Speed, time and date. (c) Direction and time. (d) The power and the time.
3.3.5. Hybrid Model of ANFIS and WNN
In this model, the ANFIS is used for the first stage and a WNN for the second stage, which is opposite to the previous model. The input fed to the model is the time and day every ten minutes for two months and the output is the tidal current speed in meters per second. The forecasted data are fed to the next stage which involves the WNN along with the day and time to train that model using supervised learning techniques as seen in Figure 19. The MAPE is found to be 1.0530 and the nRMSE is 0.00997, which suggest that this can be considered as the second best model compared to the previous proposed four models and even better than all the proposed models in the literature as seen from Table 1 and Table 2 for tidal speed and direction forecasting. The difference between the performance of the hybrid model of the WNN and ANFIS and the hybrid model of the ANFIS and WNN is very small. This difference is due to the order of the techniques as the ANFIS is more sensitive to the data than the WNN. So, the ANFIS used in the second stage improves the performance of the hybrid model. Figure 20 shows the hybrid model of the ANFIS and WNN for the calculated tidal current speed, direction and output power driven by the DDPMSG. From Table 3, it can be seen that the MAPE and nRMSE for the forecasted power are 1.054053 and 0.00997097, respectively.
Figure 19.
Hybrid model of ANFIS and WNN.

Figure 20.
Hybrid model of ANFIS and WNN; the relationship between the actual data and forecasted data for tidal currents. (a) Speed forecasting and time. (b) Speed, time, and date. (c) Direction and time. (d) The power and the time.
3.3.6. Hybrid Model of ANFIS and KF
In this model, the ANFIS is used for the first stage to train the model. The input fed to the model is the time and day every ten minutes for two months and the output is the tidal current speed in meters per second. The forecasted data are fed to the next stage, which uses the KF along with the day and time, to train the model using a supervised learning technique as seen in Figure 21. The MAPE is found to be 1.2451 and the nRMSE is 0.02092 which is considered as the fourth-best model compared to the previous proposed five models and it is still comparable with proposed models in the literature work papers [17,18] as seen from Table 1 and Table 2 for the tidal speed and direction forecasting. Figure 22 shows hybrid model of ANFIS and KF for the tidal currents speed, the direction and the output power based on turbine driven by DDPMSG. From Table 3, it can be seen that the MAPE and nRMSE for the forecasted power are 1.2463451 and 0.02094092.
Figure 21.
Hybrid model of ANFIS and KF.

Figure 22.
Hybrid model of ANFIS and KF; the relationship between the actual data and forecasted data for tidal currents. (a) Speed forecasting and time. (b) Speed, time, and date. (c) Direction and time. (d) The power and the time.
Table 4 shows all the results for the proposed six hybrid models for different datasets using the same models. As it is seen from Table 4, the best model is the hybrid of the WNN and the ANFIS for all the different datasets.
Table 4.
MAPE and nRMS of different models for tidal current speed, direction, and power forecasting.
4. Feature Selections
It is evident that feature selection played a crucial role in optimizing the model’s parameters for representing tidal speed and power. Various input variables were tested, including tidal speed at different time intervals (hourly, daily, weekly, and monthly), as well as seasonal variations. The analysis revealed that tidal speed and power are influenced not only by the current conditions but also by historical data from the same time period in previous years. By testing hundreds of models with different combinations of input variables, the performance of each model was evaluated based on accuracy metrics. The results showed that including certain historical data, such as tidal speed and power from the previous hour, month, or season, led to improved accuracy in forecasting. Different models for different inputs are tested as shown in Table 5. Model 1 demonstrated improved accuracy when including tidal speed and power from the previous hour. Model 3 showed further improvement with the addition of the previous week’s data as an input variable. Model 7 achieved the highest accuracy by incorporating tidal power data from multiple time points, including one and two hours back, the same time a month back, the same time for a similar season back, and the present time. The analysis highlights the significance of incorporating historical data into the model, particularly for capturing seasonal trends and longer-term patterns in tidal speed and power fluctuations.
Table 5.
The RMSE values for the trained model based on different number of inputs for the hourly power forecasting using the best proposed hybrid model.
Overall, the feature selection process enabled the identification of optimal input variables that significantly improved the accuracy of the model in forecasting tidal speed and power. By leveraging historical data effectively, the model becomes more robust and capable of capturing the complex dynamics of tidal energy generation.
5. Conclusions
The integration of tidal current power into the smart grid is crucial for reducing fossil fuel emissions and managing energy costs effectively. In this study, the focus is on the accurate forecasting of tidal current power for the next 24 h using a direct drive permanent magnet synchronous generator (DDPMSG) to drive tidal turbines. Six hybrid models are proposed and tested using different datasets, including tidal current direction, to ensure their effectiveness. The models are also compared with the existing literature to validate their performance. The hybrid models consist of two stages, with the first stage utilizing time and day data to forecast tidal speed, direction, or power. The second stage improves accuracy by incorporating output signals from the previous stage along with time and day data. All proposed hybrid models demonstrate a strong performance, with rankings based on the minimum mean absolute percentage error (MAPE) and the normalized root mean square error (nRMSE). While the hybrid of the wavelet neural network (WNN) and the Kalman filter (KF) performs well, it is outperformed by other models, including the hybrid of the WNN and adaptive neuro-fuzzy inference system (ANFIS), which achieves the lowest MAPE and nRMSE values. Comparisons with the literature show that the proposed models generally outperform previous works, with the ANFIS consistently identified as the most robust technique for the second stage of the hybrid models. The WNN follows closely, particularly when paired with the KF in the second stage. In conclusion, the hybrid of the WNN and ANFIS emerges as the best performing model, highlighting the importance of the ANFIS in enhancing the overall system’s performance. These findings provide valuable insights for improving tidal current power forecasting and facilitating its integration into smart grid systems.
Funding
This work is supported by the Natural Sciences and Engineering Research Council of Canada (NSERC).
Data Availability Statement
The data used in this work is confidential and the author doesn’t have permission to distribute it.
Acknowledgments
The author would like to acknowledge the support of the Natural Sciences and Engineering Research Council of Canada (NSERC) to financially support this work.
Conflicts of Interest
The author declares no conflict of interest.
References
- Aly, H. Forecasting, Modeling and Control of Tidal Currents Electrical Energy Systems. Ph.D. Thesis, Dalhousie University, Halifax, NS, Canada, 2012. [Google Scholar]
- Aly, H.H.; El-Hawary, M.E. A Proposed ANN and FLSM Hybrid Model for Tidal Current Magnitude and Direction Forecasting. IEEE J. Ocean. Eng. 2014, 39, 26–31. [Google Scholar] [CrossRef]
- Aly, H.H.; El-Hawary, M.E. A Proposed Algorithms for Tidal in-Stream Speed Model. Am. J. Energy Eng. 2013, 1, 1–10. [Google Scholar] [CrossRef]
- Aly, H.H.; El-Hawary, M.E. The Current Status of Wind and Tidal in-Stream Electric Energy Resources. Am. J. Electr. Power Energy Syst. 2013, 2, 23–40. [Google Scholar] [CrossRef]
- Aly, H.H.; El-Hawary, M.E. State of the Art for Tidal Currents Electrical Energy Resources. In Proceedings of the 24th Annual Canadian IEEE Conference on Electrical and Computer Engineering, Niagara Falls, ON, Canada, 8–11 May 2011. [Google Scholar]
- Kavousi-Fard, A. Modeling Uncertainty in Tidal Current Forecast Using Prediction Interval-Based SVR. IEEE Trans. Sustain. Energy 2017, 8, 708–715. [Google Scholar] [CrossRef]
- Jalali, S.M.J.; Ahmadian, S.; Noman, M.K.; Khosravi, A.; Islam SM, S.; Wang, F.; Catalão, J.P. Novel Uncertainty-Aware Deep Neuroevolution Algorithm to Quantify Tidal Forecasting. IEEE Trans. Ind. Appl. 2022, 58, 3324–3332. [Google Scholar] [CrossRef]
- Doodson, T. The analysis and predictions of tides in shallow water. Int. Hydrogr. Rev. 1958, 33, 85–126. [Google Scholar]
- John, V. Harmonic tidal current constituents of the western Arabian Gulf from moored current measurements. Coast. Eng. 1992, 17, 145–151. [Google Scholar] [CrossRef]
- Lee, T.L.; Jeng, D.S. Application of artificial neural networks in tide-forecasting. Ocean Eng. 2002, 29, 1003–1022. [Google Scholar] [CrossRef]
- Lee, T.-L. Back-propagation neural network for long-term tidal predictions. Ocean Eng. 2004, 31, 225–238. [Google Scholar] [CrossRef]
- Vijay, R.; Govil, R. Tidal data analysis using ANN. Int. J. Inf. Commun. Eng. 2008, 3, 4238–4241. [Google Scholar]
- Chen, B.-F.; Wang, H.-D.; Chu, C.-C. Wavelet and artificial neural network analyses of tide forecasting and supplement of tides around Taiwan and South China Sea. Ocean Eng. 2007, 34, 2161–2175. [Google Scholar] [CrossRef]
- Adamowski, J.F. River flow forecasting using wavelet and cross-wavelet transform models. Hydrol. Process. 2008, 22, 4877–4891. [Google Scholar] [CrossRef]
- Kavousi-Fard, A.; Su, W. A Combined Prognostic Model Based on Machine Learning for Tidal Current Prediction. IEEE Trans. Geosci. Remote Sens. 2017, 55, 3108–3114. [Google Scholar] [CrossRef]
- Aly, H.H.; El-Hawary, M.E. Unsteady surface wave influence on tidal current power forecasting. J. Ocean. Eng. 2020, 218, 108231. [Google Scholar]
- Aly, H.H. Intelligent optimized deep learning hybrid models of neuro wavelet, Fourier Series and Recurrent Kalman Filter for tidal currents constitutions forecasting. J. Ocean. Eng. 2020, 218, 108254. [Google Scholar] [CrossRef]
- Aly, H.H. A novel approach for harmonic tidal currents constitutions forecasting using hybrid intelligent models based on clustering methodologies. J. Renew. Energy 2020, 147, 1554–1564. [Google Scholar] [CrossRef]
- Bajric, R.; Zuber, N.; Skrimpas, G.A.; Mijatovic, N. Feature Extraction Using Discrete Wavelet Transform for Gear Fault Diagnosis of Wind Turbine Gearbox. Shock. Vib. 2016, 2016, 6748469. [Google Scholar] [CrossRef]
- Altaher, A.M.; Ismail, M.T. Robust estimation for boundary correction in wavelet regression. J. Stat. Comput. Simul. 2012, 82, 1531–1544. [Google Scholar] [CrossRef]
- Oh, H.; Naveau, P.; Lee, G. Polynomial boundary treatment for wavelet regression. Biometrika 2001, 88, 291–298. [Google Scholar] [CrossRef]
- Lee, T.C.M.; Oh, H.-S. Automatic polynomial wavelet regression. Stat. Comput. 2004, 14, 337–341. [Google Scholar] [CrossRef]
- Moody, J.; Darken, C.J. Fast Learning in Networks of Locally-Tuned Processing Units. Neural Comput. 1989, 1, 281–294. [Google Scholar] [CrossRef]
- Zainuddin, Z.; Pauline, O. Improved wavelet neural networks for early cancer diagnosis using clustering algorithms. Int. J. Inf. Math. Sci. 2010, 6, 30–36. [Google Scholar]
- Ross, T.J. Fuzzy Logic with Engineering Applications, 3rd ed.; John Wiley & Sons, Ltd.: Hoboken, NJ, USA, 2010. [Google Scholar]
- Jang, J.-S.R. ANFIS Adaptive-Network-based Fuzzy Inference System. IEEE Trans. Syst. Man Cybern. 1993, 23, 665–685. [Google Scholar] [CrossRef]
- Simon, D. Optimal State Estimation: Kalman, H Infinity, and Nonlinear Approaches; John Wiley & Sons: Oxford, UK, 2006. [Google Scholar]
- Schweppe, F.C. Uncertain Dynamic Systems; Prentice-Hall: Englewood Cliffs, NJ, USA, 1973. [Google Scholar]
- Aly, H.H.; El-Hawary, M.E. Small signal stability analysis of tidal current turbine using ddpmsg with and without controller. In Proceedings of the IEEE Electrical Power and Energy Conference (EPEC), Winnipeg, MB, Canada, 3–5 October 2011. [Google Scholar]
- Aly, H.H.; El-Hawary, M.E. Modeling of Offshore Wind and Tidal Current Turbines for Stability Analysis. In Proceedings of the World Congress on Engineering and Computer Science, San Francisco, CA, USA, 23–25 October 2013. [Google Scholar]
- Aly, H.H.; El-Hawary, M.E. Small signal stability analysis comparison of tidal current energy using DFIG and DDPMSG. In Proceedings of the IEEE Electrical Power and Energy Conference (EPEC), London, ON, Canada, 10–12 October 2012. [Google Scholar]
- Ali, Y.; Aly, H.H. Short term wind speed forecasting using artificial and wavelet neural networks with and without wavelet filtered data based on feature selections technique. Eng. Appl. Artif. Intell. 2024, 133, 2024. [Google Scholar] [CrossRef]
Disclaimer/Publisher’s Note: The statements, opinions and data contained in all publications are solely those of the individual author(s) and contributor(s) and not of MDPI and/or the editor(s). MDPI and/or the editor(s) disclaim responsibility for any injury to people or property resulting from any ideas, methods, instructions or products referred to in the content. |
© 2024 by the author. Licensee MDPI, Basel, Switzerland. This article is an open access article distributed under the terms and conditions of the Creative Commons Attribution (CC BY) license (https://creativecommons.org/licenses/by/4.0/).



























