Abstract
A hub motor is integrated into an electric wheel. The external excitation is complex and the heat dissipation conditions are poor. The working temperature of the hub motor easily becomes too high, resulting in large fluctuations in the output torque, which affect its service life. Taking a four-wheel hub-driven electric vehicle as the research object and aiming to resolve the issue of inaccurate prediction of the output torque of the hub motor in the real operating environment of the vehicle, a method for analyzing the temperature rise and torque characteristics of the hub motor considering multisource excitation and magnetic–thermal bidirectional coupling is proposed. First, the multisource excitation transmission path of the hub motor and the coupling principle of the road-electric wheel-vehicle body suspension system are analyzed from three aspects: the electromagnetic effect of the hub motor itself, the tire-ground effect, and the interaction between suspension (body) and electric wheel. We concluded that the load torque and air gap change in the motor are the key factors of its torque characteristics. On this basis, a dynamic model of the road-electric wheel-suspension-vehicle body system, an electromagnetic field model of the hub motor, and a temperature field model are established, and the influence of load torque and air gap change on the loss of in-wheel motor under multisource excitation is analyzed. Furthermore, based on the magnetic–thermal bidirectional coupling method, the motor loss under the combined action of load torque and air gap change is introduced into the temperature field model, and combined with the electromagnetic field model of the hub motor, the temperature distribution law and torque characteristics of the hub motor are accurately predicted. Finally, the accuracy and effectiveness of the calculation results of the temperature and torque characteristics of the hub motor are verified via an electric wheel bench test.
1. Introduction
Distributed drives, especially hub drives, are regarded as some of the most promising drive carriers for the next generation of new energy vehicles, intelligent driving vehicles, and driverless vehicles due to their high degree of electrification, controllability, and intelligence. As the core component of distributed drive vehicles, hub motors must have a high power density, a large starting torque, and a strong overload capacity [1,2]. Under complex road conditions and variable operating conditions, and due to the narrow space of the hub motor of the distributed drive vehicle, circulation of the surrounding air is difficult, making the working temperature of the hub motor too high and aggravating the magnetic loss [3,4]. This will not only greatly affect the working life of the hub motor but also cause output torque fluctuations in such a way that the vehicle power output is unstable and uncontrollable, which can easily lead to safety accidents [5,6,7,8]. Therefore, it is very important to study the coupling mechanism of the multisource excitation of the hub motor and its influence on the temperature rise and torque output characteristics of the hub motor under the actual operating conditions of distributed drive vehicles.
Domestic and foreign scholars have performed much research on the temperature rise characteristics and torque characteristics of hub motors [9]. In [10], the thermal conductivity of the winding, stator core, and air gap of the direct drive hub motor and the heat dissipation coefficient of the inner and outer surfaces of the casing were studied. The authors in [11,12,13] studied the distribution of and variation in the electromagnetic loss and temperature characteristics of hub motors under different load conditions. The authors in [14] studied the loss and temperature rise distribution characteristics of each component of the hub motor under different air gap lengths. The authors in [15,16,17] studied the temperature rise characteristics caused by heat loss due to internal factors such as the iron core, winding, and permanent magnet in the hub motor. The authors in [18] noted that under the influence of external factors such as ambient temperature, altitude, and road excitation, the temperature of the iron core, winding, and permanent magnet inside the hub motor will further increase. The authors in [19] proposed a transient thermal model of the in-wheel motor, ignoring the influence of the leakage magnetic field and the leakage electric field. The internal temperature is constantly changing, the winding resistance value is also changing, and the ohmic loss increases. The work in [20] is based on the Bertotti theory; the iron loss is divided into hysteresis loss, eddy current loss, and additional loss according to the thermal mechanism. The time-stepping finite element analysis of each component is carried out to obtain the variation law of magnetic flux density. The classical eddy current loss is only related to the change rate of magnetic flux density. The authors in [21] analyzed the iron loss of the motor by combining the harmonic analysis method and the finite element method. Despite the machining accuracy and magnetic flux density difference of the yoke teeth, the magnetic flux density wave at any given point of the in-wheel motor was decomposed into a series of elliptical harmonic magnetic flux density vectors, and the voltage harmonic frequency that maximizes the stator iron loss was obtained. According to [22], through the JMAG built-in function block, the eddy current loss of the iron core is calculated by the fast Fourier transform (FFT), and the hysteresis loss is calculated by the loop analysis method. The authors in [23] show that due to the rotating magnetic field generated by the energization of the stator excitation winding, eddy current-like electromotive force and current will be induced in the permanent magnet. The magnitude is inversely proportional to the axial length and resistivity of the permanent magnet and is proportional to the volume of the permanent magnet, the alternating frequency of the magnetic field, the proportional constant of the electromotive force, and the maximum magnetic flux density. The eddy current loss and hysteresis loss are generated by the time-varying magnetic field at the working point of the magnet. The slot effect of the motor leads to a change in the air gap reluctance and causes additional changes in the magnetic field of the magnet, even under no-load conditions. Most of the above scholars’ research on the temperature rise characteristics of in-wheel motors analyze the variation law of the temperature rise of in-wheel motors from the internal factors such as material properties and structural parameters that affect the temperature rise of the motor and rarely consider the external complex factors that affect the temperature characteristics of the motor.
Moreover, when considering external factors, the existing research usually assumes external conditions and often ignores the various excitation effects of the hub motor in the actual operating environment of the vehicle. The authors in [24] reported that the hub motor will be excited by the vibration of the road through the tire and the vibration of the body through the suspension, indicating that the air gap between the stator and rotor of the hub motor will change under various excitations, and then, the magnetic pull of the motor will change. The authors in [25,26] studied the variation in the unbalanced magnetic pull under the influence of road excitation and motor torque fluctuation excitation. The authors in [27] characterized the force between the stator and rotor (that is, unbalanced magnetic pull) by simulating the radial magnetic pull of the hub motor under different air gap spacings and studied the relative offset of the stator and rotor of the hub motor in the actual operating environment of the vehicle with the help of a dynamic model of the hub drive suspension. The authors in [28,29] explained that when the vehicle is traveling at a constant speed on the road, it must overcome the rolling resistance from the ground, the air resistance from the air, and the slope resistance. At the same time, the vehicle speed changes, and the rolling resistance is also different. This is an essential factor for studying the actual power and cruising range of a vehicle. An increase in the temperature of the motor is unavoidable, and this temperature rise will lead to changes in the thermally sensitive materials in the motor, such as in the winding resistance and permanent magnet properties; that is, an increase in the temperature will increase the winding resistance, weaken the magnetic properties of the permanent magnet and even cause demagnetization, which will affect the actual output torque of the motor. In [30], a dynamic loss model of the electric drive system considering the change in the temperature rise characteristics of the motor was established; combined with the dynamic characteristics of the battery voltage, a torque distribution strategy with minimum loss of the electric drive system was proposed, but the influence of temperature on the torque was not considered. The authors in [31,32] studied the influence of motor temperature changes on the output torque of the hub motor through finite element simulation. When the motor temperature rises, the back EMF, air gap flux density, and output torque of the motor decrease, but these studies all ignored the various excitations experienced by the hub motor in the actual operating environment of the vehicle also affect its actual output torque. The authors in [33] studied the influence of road excitation, extracted the vibration velocity response curves of the stator and rotor from a vehicle dynamics model, loaded them into a thermal–fluid coupling analysis model of the hub motor as the excitation load, and analyzed the temperature change but did not consider the influence of the unbalanced magnetic pull of the motor on its vibration, the influence of the actual load torque of the vehicle on the temperature rise of the motor, or the relationship between the output torque and the temperature rise.
According to the research literature that has been consulted at present, most scholars’ research on the temperature rise characteristics of hub motors mainly focuses on various electromagnetic characteristics and temperature changes under steady-state conditions. Regarding the internal temperature change in the motor caused by ‘magnetic–thermal coupling’ under transient conditions, they do not consider the influence from the external environment. At the same time, the research on the torque of the hub motor focuses on the influence of temperature rise caused by its internal factors, and the influence of external excitation on the torque characteristics of the in-wheel motor under temperature rise during the actual operation of the vehicle remains to be further studied.
In view of the shortcomings of the above research on the temperature rise characteristics and torque characteristics of hub motors, this paper proposes a method for analyzing the temperature rise and torque characteristics of hub motors, given multisource excitation and magnetic–thermal bidirectional coupling. This method considers the excitation of the radial electromagnetic force generated by the rotor eccentricity of the hub motor transmitted to the suspension system, the excitation of the road surface and the body transmitted to the hub motor stator and rotor, and the rolling resistance torque excitation with the change in vehicle speed. The load torque changes in the hub motor caused by the rolling resistance torque at different motor speeds, and the air gap changes caused by the excitation of the road surface transmitted to the hub motor stator and rotor through the tire and of the body transmitted through the suspension, are studied. The two change results are fed back into the electromagnetic field model of the hub motor to analyze the loss distribution law of each component of the motor. The magnetic–thermal bidirectional coupling method is used to introduce the motor loss into the temperature field model to analyze the spatial distribution of the temperature rise characteristics in the magnetic–thermal coupling of the hub motor, and the output torque variation law caused by the temperature rise of the hub motor is obtained. The accuracy and effectiveness of the temperature rise characteristics of the hub motor calculated by the proposed method are verified by a temperature rise test of a prototype.
This article is arranged as follows: The second section presents an analysis of the multisource excitation of the hub motor. The purpose is to explain the sources of multisource excitation and the influencing factors (output torque change and air gap deformation) that affect the temperature rise of the motor and the torque change caused by the temperature rise. The third section introduces the model. The purpose is to analyze the temperature rise of the motor and the torque change caused by the temperature rise. The fourth section presents the result analysis. The purpose is to analyze the influence of the output torque and air gap deformation on the motor loss, the law of the motor temperature rise, and the law of the torque change caused by a temperature rise. The fifth section describes the experimental verification, and the simulation results are verified and compared. The sixth section presents the conclusion, which summarizes the full text.
2. Multisource Excitation Analysis of the Hub Motor
The hub motor is highly integrated with the tire and complements and interacts with the vehicle suspension system. In the process of uniform flat motion of the vehicle, the hub motor is subjected to multisource excitation from itself and from the outside world (mainly from four aspects: first, the electromagnetic force excitation caused by the relative eccentricity of the internal stator and rotor; second, the excitation of transverse and longitudinal forces of the road surface (uneven road excitation) acting on the rotor of the hub motor; third, the excitation of the body transmitted through the suspension acting on the hub motor stator; and fourth, the excitation of the rolling resistance moment transmitted to the rotor of the hub motor with the change in the vehicle speed), as shown in Figure 1. From the multisource transmission path diagram, it can be seen that the road excitation will be transmitted to the hub motor rotor through the tire, the body excitation will be transmitted to the hub motor stator through the suspension, the radial electromagnetic force generated by the eccentricity of the hub motor rotor will act on the stator and rotor, and the rolling resistance torque excitation under the influence of different speeds will act on the hub motor rotor through the tire. Under the combined action of various excitations, the vibration will affect the ride comfort of the vehicle through the suspension. Additionally, it will cause vibration of the hub motor itself and accelerate the damage of the hub motor; due to the change in the rolling resistance torque, the torque control of the motor will be unstable, which will affect the dynamic performance of the vehicle. The influence of various excitations on the hub motor is mainly reflected in the change in the air gap deformation and load torque. Through the above analysis, the coupling principle of the road surface-electric wheel-suspension system is obtained, as shown in Figure 2. To obtain the changes in the air gap deformation and load torque of the stator and rotor during motor operation, the rolling resistance torque of the vehicle in the actual operating environment must be calculated, and then the load torque of the motor can be determined. Then, the component of the unbalanced magnetic pull force in the direction under different eccentricity values of the stator and rotor of the hub motor must be calculated. The relationship between the eccentricity and the component of the unbalanced magnetic pull force in the direction is obtained, that is, the air gap magnetic field stiffness . Finally, the air gap deformation of the hub motor and the influence of the air gap magnetic field stiffness are calculated. Through the above method, the important factors affecting the temperature rise of the hub motor (the change in the air gap deformation of the stator and rotor and the change in the output torque) can be obtained, and the temperature rise law of the motor can be obtained under the combined action of the two influencing factors. With increasing motor temperature, the variation law of the output torque of the motor can be found.
Figure 1.
Multisource excitation transmission path of a hub-drive vehicle.
Figure 2.
Coupling principle of the road-electric wheel-suspension system.
In Figure 2, is the rolling resistance moment of the vehicle, is the load torque of the hub motor, is the output torsion of the hub motor, is the vertical load of the tire, is the eccentricity of the stator and rotor, is the air gap deformation, and are the components of the radial magnetic pull in the and directions, and are the radial magnetic pull and tangential magnetic pull, is the mechanical rotation angle, is the stiffness of the air gap magnetic field in the direction, is the normal reaction force of the ground on the tire, and is the tangential reaction force of the ground on the tire (the value is the driving force minus the rolling resistance of the wheel).
The vehicle must overcome the rolling resistance from the ground, the air resistance from the air, and the gravity component along the ramp (slope resistance). If the air resistance and slope resistance are not considered, then only the rolling resistance from the ground needs to be calculated. When the vehicle is running at a constant speed, the rolling resistance torque received by the tire will act as the load torque on the hub motor, and the rolling resistance torque is related to the vertical load W received by the tire. As shown in Figure 3, the rolling resistance is equal to the product of the rolling resistance coefficient and the vertical load [34], i.e.,
Figure 3.
Force analysis of the electric wheel during rolling.
It can also be expressed as follows:
where is the rolling resistance; is the rolling resistance coefficient; is the vehicle static load; and is the tire dynamic load.
The rolling resistance moment is the following:
where is the rolling radius of the tire.
The following empirical formula is used to calculate the tire rolling resistance coefficient :
where is the vehicle speed, km/h, and , , and are fitting parameters; in this paper, = 0.012, = 0.0034, and = 0.001.
From Figure 3, the wheel rotation dynamics equation can be obtained [35] as follows:
where is the moment of inertia of the wheel around the wheel center and is the wheel angular velocity.
The tangential reaction torque of the ground acting on the tire is the combined torque that truly drives the vehicle, and its value equals the motor output torque minus the rolling resistance torque . When the vehicle is traveling at a constant speed, the wheel angular acceleration is zero, and the combined torque driving the vehicle is zero; that is, the motor output torque is completely used to overcome the rolling resistance torque with = = . Therefore, the actual output torque of the hub motor is related to the rolling resistance torque, and the rolling resistance torque acts on the hub motor in the form of a load torque, that is, = .
To determine the actual load torque of the hub motor, the component of the unbalanced magnetic pull force in the direction under different air gap spacing, values of the hub motor are calculated. Usually, the air gap magnetic field distribution is uniform, and the rotor does not bear an unbalanced magnetic pull. However, when the rotor static eccentricity leads to distortion of the radial air gap magnetic field, an unbalanced magnetic pull will be generated, which makes the rotor force uneven. After the finite element model of the hub motor is established and solved, the air gap flux density can be extracted, and then the component of the unbalanced magnetic pull in the direction is obtained from the following formula [36,37,38,39]:
Through the relationship between the air gap spacing and the component of the unbalanced magnetic pull in the direction, the force between the stator and the rotor is obtained, that is, the air gap magnetic field stiffness , and is added to the hub-driven suspension dynamics model. The force and relative offset between the stator and the rotor during actual operation are simulated, and the relative offset of the stator and the rotor is extracted. By setting the maximum dynamic eccentricity of the rotor, the displacement changes in the rotor of the hub motor relative to the stator in the direction (as shown in Figure 4) are used to simulate the displacement change law of the motor under the influence of various excitations in the actual operation process. From Equation (9), the maximum dynamic eccentricity and the relative offset of the stator and rotor can be obtained.
Figure 4.
Change rule of dynamic eccentricity .
.
where is the maximum displacement of the relative offset , mm; is the hub motor speed, rpm; and is time, s.
3. Model Introduction
To obtain the temperature rise characteristics and output torque characteristics of the hub motor under the magnetic–thermal coupling, it is necessary to establish a suspension dynamics model under the action of the road surface and the hub motor and calculate the driving resistance torque in the vehicle operating environment, that is, the load torque of the motor. An electromagnetic field model of the hub motor is established, the variation law of the unbalanced magnetic pull is analyzed, and the stiffness of the air gap magnetic field is then obtained. The air gap deformation of the hub motor and the loss of each component of the motor are analyzed by combining the electromagnetic field model and the suspension dynamics model. On this basis, a temperature field model of the hub motor is established, and the temperature rise variation law under changes in the air gap and load torque is analyzed. Finally, the temperature calculated by the temperature field model is fed back into the electromagnetic field model to further analyze the change law of the output torque caused by the temperature rise of the motor, as shown in Figure 5.
Figure 5.
Relationships between various models.
3.1. Suspension Dynamics Model Considering the Hub Motor
The hub motor is installed in the wheel, and the radial force generated by the hub motor directly acts on the stator and rotor. At the same time, the road excitation directly acts on the rotor of the hub motor through the wheel, and the body vibration excitation also acts on the stator through the suspension, making the air gap change. During the operation of the hub motor, the driving resistance torque of the vehicle is used as the load input of the hub motor and affects the output torque of the motor. Therefore, the suspension dynamics model under the action of the road surface and hub motor must be analyzed.
As shown in the 1/4 suspension model principle of the hub-driven suspension in Figure 6a, the tire and the hub motor rotor are connected by the sidewall, and the sidewall is equivalent to the torsional stiffness, longitudinal translation stiffness, and vertical stiffness. The stator and rotor of the hub motor are connected by bearing , where the stiffness is the bearing stiffness; body is connected to unsprung masses and through springs and shock absorbers.
Figure 6.
(a) 1/4 suspension model principle. (b) 1/4 suspension dynamics model.
According to the dynamic model established in Figure 6, the following vertical dynamic equation is obtained:
Based on the above analysis, a multibody dynamics model is established, as shown in Figure 6b, and the parameters are shown in Table 1.
Table 1.
Wheel drive suspension parameters.
3.2. Finite Element Model of the Electromagnetic Field of the Hub Motor
In this paper, a 3 kW hub motor for pure electric vehicles is taken as the research object, and its structure consists of an outer rotor permanent magnet synchronous motor. Table 2 shows the main parameters of the hub motor. Figure 7 shows the finite element model of the hub motor established by Ansys/Maxwell, in which the total grid number is 89,300, the box is the grid detail at the air gap.
Table 2.
Main parameters of the hub motor.
Figure 7.
Finite element model of the hub motor electromagnetic field.
On the basis of the above, the relationship between the speed and the output torque is obtained by setting the voltage to 72 V and setting different speeds. The electromagnetic field model of the hub motor is verified. As shown in Figure 8, when the speed is low, the hub motor can provide a larger output torque. In contrast, when the speed is high, the output torque it can provide rapidly decreases. The simulation and test have errors to a certain extent, and the maximum error does not exceed 10.9%. The trends of the two are the same, which indicates the applicability of the theory for trend research. This paper will focus on the research and analysis of the hub motor under the three speed conditions of 200 rpm, 400 rpm, and 600 rpm (that is, speeds of 26 km/h, 52 km/h, and 78 km/h).
Figure 8.
Relationship between the speed and output torque of the hub motor.
The finite element model of the electromagnetic field is established mainly to analyze the loss of each component of the motor, and the temperature rise of the motor is caused by various internal losses. The internal losses of the motor mainly include the core loss, winding loss, and permanent magnet loss. The loss calculation of the electromagnetic field is input into the finite element analysis of the temperature field in the form of a thermal load or input into the thermal network analysis of the temperature field in the form of a heat source.
The hub motor losses [40] can be expressed as follows:
They can also be written as follows:
where is the total loss of the motor; is the core loss of the hub motor; , , and are the core hysteresis loss coefficient, the core eddy current loss coefficient, and the core additional loss coefficient, respectively; is the alternating frequency; is the magnetic flux density; is the winding loss; is the phase current of the motor winding; is the motor winding resistance; is the eddy current loss of the permanent magnet of the hub motor; is the volume of the permanent magnet; is the current density; and is the conductivity of the permanent magnet.
3.3. Finite Element Model of the Hub Motor Temperature Field
Due to the need for thermal analysis of the loss calculated by the finite element model of the electromagnetic field as a heat source, a finite element model of the temperature field of the hub motor must be established to determine its temperature rise characteristics. According to the basic law of heat conduction, in the rectangular coordinate system, the transient temperature field in a certain calculation area of the motor is solved as follows [41]:
where is the specific heat capacity; is the density; is the time; is the temperature that changes with time; is the thermal conductivity; is the heat source density; is the known temperature distribution on the boundary; is the boundary heat dissipation caused by heat conduction; is the heat dissipation coefficient; , , and are the cosines of the angle between the normal direction of the boundary and the x, y, and z axes, respectively; and , and are the first to third types of heat transfer boundary surfaces.
The essence of solving the temperature field by the finite element method is to transform the temperature problem into the extreme value problem of the universal function. According to the variational principle, Equation (15) is transformed into energy functional , as shown below [42,43]:
Equation (16) can be discretized into algebraic equations, and the temperature distribution problem is transformed into a problem involving a finite number of node temperatures. The temperature at each node can be obtained via this equation. After the overall synthesis, the transient temperature field in the solution domain is obtained.
The loss generated by the motor in actual operation will become heat, which will increase the temperature of each part of the motor. The heat transfer process is a comprehensive process of heat conduction and heat convection, which is related to the thermal conductivity and heat dissipation coefficient of the dielectric surface. The equivalent thermal conductivity of stator, rotor, and winding, and the heat dissipation coefficient of the stator end face, outer surface of rotor yoke, and winding end are very important to the calculation accuracy of motor temperature rise.
When establishing the magnetic–thermal coupling model of the hub motor, the stator winding model is simplified as follows: the winding copper wire is equivalent to a conductor with the same volume, and the wire insulation layer and the coating between the wires are equivalent to a heat conduction layer evenly distributed around the equivalent winding. The equivalent thermal conductivity of the stator, rotor, and winding [44] is as follows:
where and are the thickness and thermal conductivity of the conductor insulation in the direction of heat flow, respectively; and are the thickness and thermal conductivity of air and the insulating paint between wires, respectively; and and are the thickness and thermal conductivity of the conductor insulation layer, respectively.
The heat dissipation coefficient of the stator end face is [45] the following:
where is the linear velocity of the rotor surface, m/s.
The heat dissipation coefficient of the outer surface of the rotor yoke is [46] the following:
where is the air velocity of the rotor accessory, which can be taken as 75% of the speed.
The winding end heat dissipation coefficient is [47] the following:
where is the Nusselt number at the end of the stator winding; is the equivalent diameter of the winding end, ; is the thermal conductivity of air, ; is the air gap Reynolds number at the end of the winding; and are the diameter of the groove bottom and the inner diameter of the rotor, ; is the motor speed, ; is the air density, ; and is the dynamic viscosity of air, .
The air gap heat dissipation coefficient is [48] the following:
where is the Prandtl number and is the specific heat at constant pressure.
Through the above empirical formula and experience, the thermal parameters of the materials in the model are obtained, as shown in Table 3.
Table 3.
Thermal parameters of the hub motor materials.
Based on the above analysis results and the parameters required for modeling, a finite element model of the temperature field of a prototype, including the stator core, the stator winding, the rotor, and the air gap, is established. As shown in Figure 9, the model does not have any special cooling devices and relies on the natural circulation of the surrounding air to dissipate heat, ignoring axial heat transfer.
Figure 9.
Finite element model of the hub motor temperature field.
4. Results
According to the analysis of multisource excitation of the hub motor in Section 2, the influence of the load torque and air gap changes on the motor loss must be analyzed. The loss calculation results are imported into the motor temperature field model for temperature field analysis. Finally, the variation law of the motor output torque caused by the temperature rise is analyzed. A simulation comparison analysis is carried out under a working environment of 30 °C, a simulation time of 3000 s, natural air cooling, and uniform speeds of 200 rpm, 400 rpm, and 600 rpm. Two-way coupling simulations of the two-dimensional electromagnetic field and temperature field are carried out, and the temperature rise of the hub motor and the torque output changes in the hub motor are simulated and analyzed, as shown in Figure 10.
Figure 10.
Magnetic–thermal two-way coupling process.
4.1. Analysis of Influencing Factors of the Motor Loss
4.1.1. Relationship between the Load Torque and Motor Loss
To obtain the load torque of the hub motor, it is necessary to calculate the rolling resistance torque during the actual operation of the vehicle, obtain the relationship between the load torque of the hub motor and its output torque, and then analyze the influence of the load torque on the motor loss. In the case of road grade A, in the simulation, the output torque of the hub motor is loaded at the wheel center through the suspension dynamics model to make the wheel speed reach 200 rpm, 400 rpm, or 600 rpm and then remain at the left and right of the wheel speed. The relationship between the output torque of the hub motor and the wheel speed is shown in Figure 11a, and the dynamic load of the tire is obtained via suspension dynamics calculations, as shown in Figure 11b. The rolling resistance moment of the vehicle at a uniform speed is calculated by theoretical Formula (3) and compared with the output torque of the hub motor loaded at the center of the wheel. As shown in Table 4, the rolling resistance moment calculated by the formula is compared with the output torque loaded at the center of the wheel obtained by simulation. The accuracy is above 87%, indicating that the output torque of the hub motor loaded at the center of the wheel under the support of the theoretical formula is correct.
Figure 11.
(a) Relationship between the output torque of the hub motor and the wheel speed under different working conditions. (b) Tire dynamic load under different working conditions.
Table 4.
Comparison of the rolling resistance torque theoretical and simulation values under different working conditions.
After the rolling resistance moment in the actual running process of the vehicle is calculated with the suspension dynamics model, it is input into the electromagnetic field model of the hub motor as the load torque to obtain the output torque of the motor and the loss of each component without considering the temperature rise. Figure 11a shows that when obtaining the output torque of the hub motor in the actual operating environment, the actual operating conditions of the vehicle need to be considered. It is not necessarily how much torque is output according to the corresponding speed shown in Figure 8 that is of interest but how much torque is output according to the actual load torque of the vehicle.
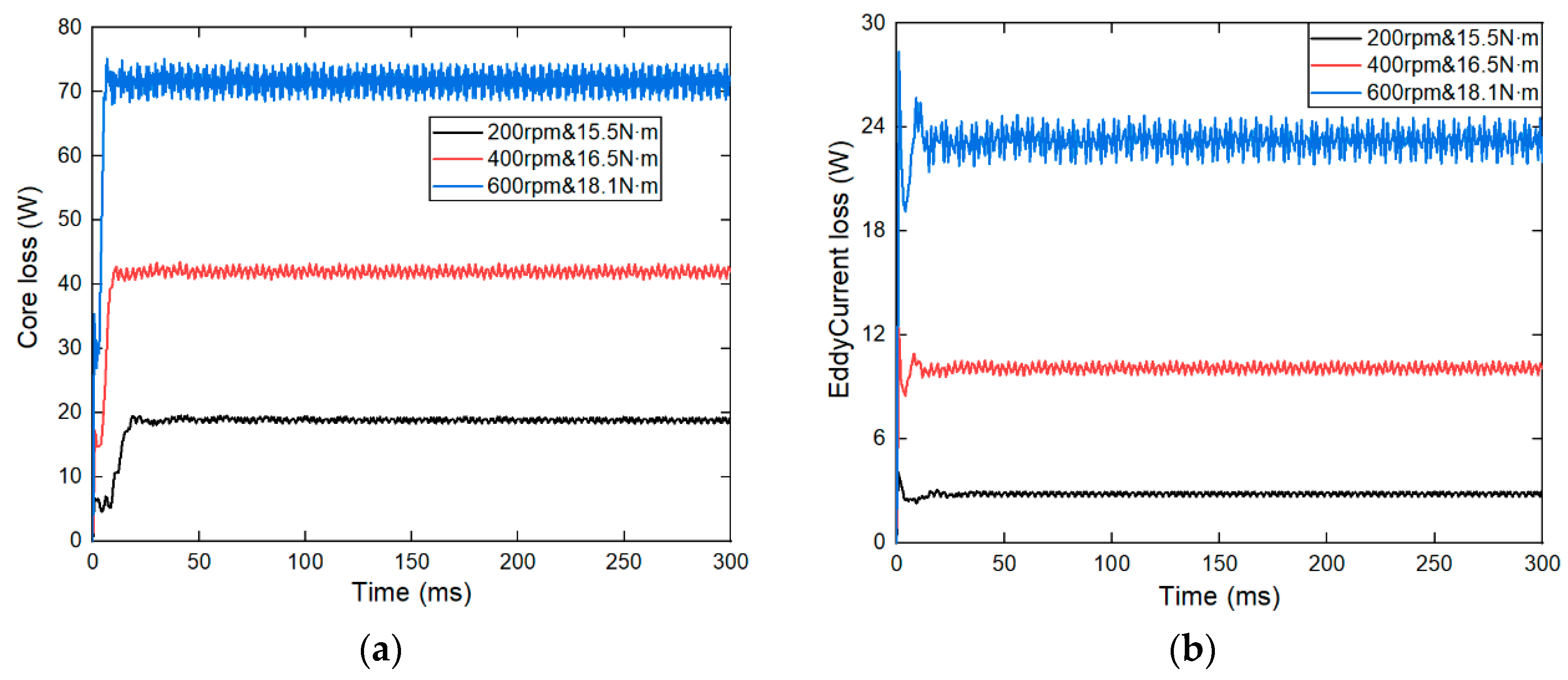
Figure 12 shows the calculation results of the loss and output torque of the hub motor under different working conditions. Table 5 shows that when the rolling resistance torque at different speeds is applied to the electromagnetic field finite element model of the hub motor, the calculated output torque is greater than the rolling resistance torque. This may be due to the reluctance torque and cogging torque of the motor. With increasing speed, the rolling resistance torque of the car increases; that is, the load torque of the hub motor increases, the corresponding output torque also increases, and the loss of its components accordingly increases. Therefore, the variation in the loss of the hub motor in combination with the load torque of the car must be analyzed.

Figure 12.
(a) Core loss of the hub motor; (b) eddy current loss of the hub motor; (c) winding loss of the hub motor; (d) output torque of the hub motors.
Table 5.
The loss and output torque of the hub motor under various working conditions.
4.1.2. Relationship between the Air Gap and Motor Loss
To obtain the air gap variation law of the hub motor, it is necessary to calculate the variation law of the unbalanced magnetic pull under different air gap spacings in the electromagnetic field model, obtain the air gap magnetic field stiffness between the stator and the rotor, and then add it to the suspension dynamics model to simulate the relative offset of the stator and the rotor under the influence of various excitations in the actual operation process, which is the air gap deformation. Finally, the influence of air gap changes on the motor loss is analyzed. According to the analysis results of the load torque in Section 4.1.1, the rolling resistance torque at different speeds is added to the hub motor as the load torque, and the corresponding speed is set. With a non-eccentricity value of 0 mm and a dynamic eccentricity of 0.6 mm as examples, the radial air gap flux density is extracted, as shown in Figure 13a (see Figure A1a and Figure A2a for the 200 rpm and 400 rpm conditions). With increasing speed, the radial air gap flux density does not significantly change, but with increasing dynamic eccentricity, the radial air gap flux density gradually increases, which also indicates that the unbalanced magnetic pull has a similar change rule. Therefore, the unbalanced magnetic pull under different air gaps must be studied and analyzed.
Figure 13.
(a) Change in the radial magnetic density at 600 rpm; (b) Change in the unbalanced magnetic pull at 600 rpm.
Using Equation (4), the radial magnetic density is calculated to obtain the component of the unbalanced magnetic pull force in the direction, and the relationship between the unbalanced magnetic pull force and time at different speeds is obtained, as shown in Figure 13b; see Figure A1b and Figure A2b for the 200 rpm and 400 rpm conditions. As shown in Table 6, there is a common change rule: when there is no eccentricity, fluctuates around zero; however, as the degree of dynamic eccentricity increases, also increases. Through the relationship between the eccentricity and unbalanced magnetic pull force , the air gap magnetic field stiffness , which is used to characterize the unbalanced magnetic pull force in the direction, can be obtained. As shown in Figure 14, the air gap magnetic field stiffness curves of the motor at different speeds show that has a certain linearity, and then the of the motor at different speeds can be obtained. As shown in Table 7, as the motor speed exponentially increases, increases by no more than 1%. It can be considered that the motor speed is independent of when the other working conditions are constant, so the same air gap magnetic field stiffness can be used at any speed.
Table 6.
Relationship between the unbalanced magnetic pull and dynamic eccentricity under different working conditions.
Figure 14.
Equivalent stiffness curves of the motor at different speeds.
Table 7.
Equivalent stiffness of the motor at different speeds.
According to Table 7, the average value of the air gap magnetic field stiffness under the three motor speed conditions is set in the hub-driven suspension dynamics model. Through simulation analysis, the force between the stator and rotor and the relative offset of the stator and rotor (Figure 15a,b) are obtained. The root mean square values are shown in Table 8, which are used to characterize the air gap deformation of the hub motor under the coupling of the suspension and the hub motor.
Figure 15.
(a) Force between the stator and rotor; (b) relative offset of the stator and rotor.
Table 8.
Air gap deformation simulation values.
Through Equation (9), the rms value of the relative offset of the stator and rotor can be obtained as mm; thus, the maximum displacement of the dynamic eccentricity mm, and the maximum dynamic eccentricity at different speeds is calculated, as shown in Table 8. Under the load torque corresponding to different speeds, the influence of the air gap deformation of the hub motor on the output torque and loss of the hub motor is studied by setting the eccentricity in the finite element model of the electromagnetic field to the non-eccentricity value and the maximum dynamic eccentricity of the motor rotor at the corresponding speed, as shown in Figure 16 (see Figure A3 and Figure A4 for the 200 rpm and 400 rpm conditions).

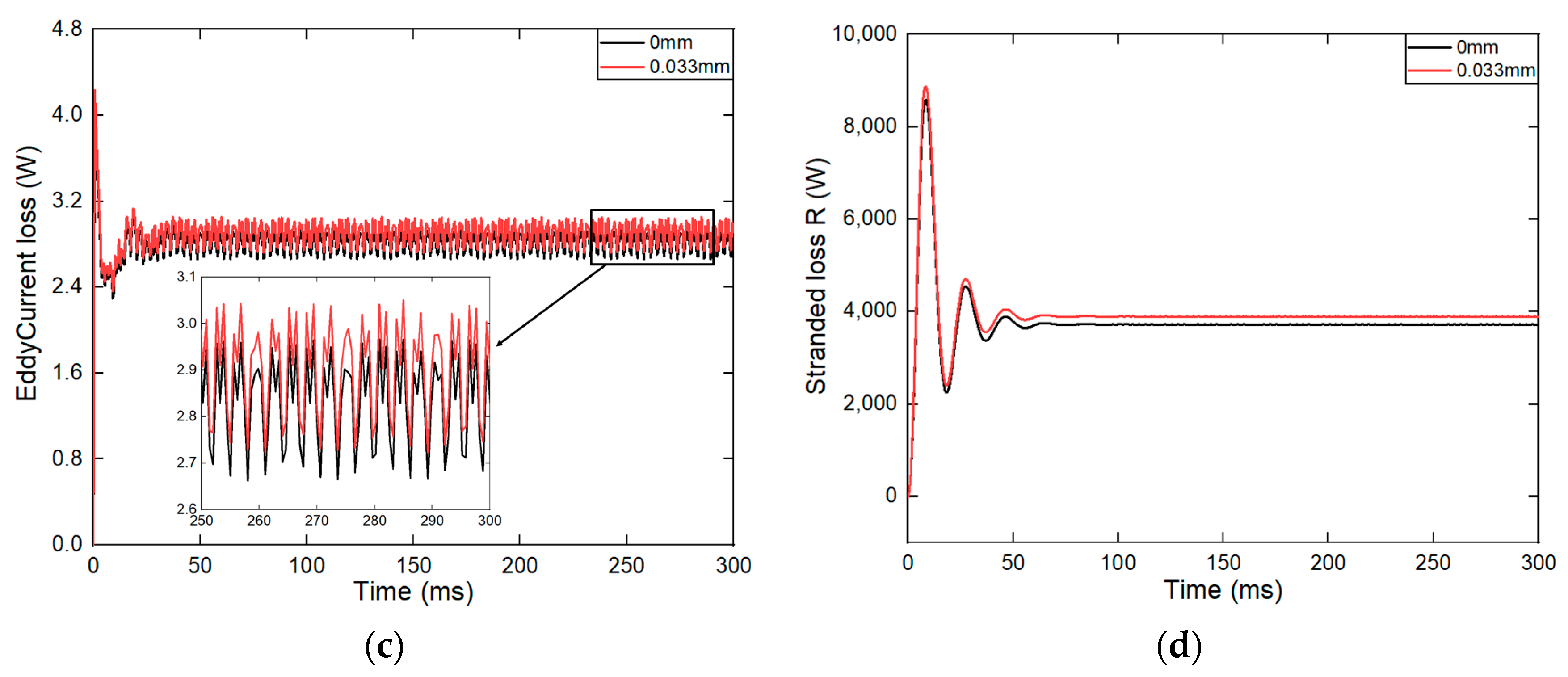
Figure 16.
(a) Output torque of the hub motor caused by changes in the air gap at 600 rpm; (b) core loss of the hub motor caused by air gap changes at 600 rpm; (c) eddy current loss of the hub motor caused by air gap changes at 600 rpm; (d) winding loss of the hub motor caused by air gap changes at 600 rpm.
Table 9 shows that during vehicle operation, as the motor speed increases, the loss of each component of the hub motor also increases, and the output torque also increases. At the same speed, based on a comparison of the results when considering the air gap deformation and not considering the air gap deformation, this deformation has little effect on the output torque of the hub motor, but it has a great influence on the loss of each component of the hub motor, among which the strongest influence is on the winding loss, whereas the other losses are slightly increased. From the above analysis results, it can be concluded that at different speeds, the deformation of the air gap differs, which greatly influences the change in the loss of each component. Therefore, the temperature characteristics of the hub motor must be analyzed in combination with the deformation of the air gap.
Table 9.
Changes in the torque and loss of the hub motor caused by changes in the air gap under different working conditions.
4.2. Temperature Field Analysis of the Hub Motor
According to the actual operating environment of the vehicle, the rolling resistance torque in the actual operation of the vehicle under different motor speeds and the influence of the air gap deformation of the hub motor caused by various excitations on the temperature characteristics of the hub motor are considered. By comparing the temperature cloud diagrams of the magnetic–thermal coupling of the hub motor at different speeds, as shown in Figure 17, the high-temperature area inside the hub motor is found to be mainly concentrated on the stator and winding, and the lowest temperature appears in the permanent magnet and rotor. With increasing motor speed, the corresponding temperature also accordingly increases. The high-temperature area is mainly concentrated in the stator and winding, and the highest temperature of the stator appears in the stator yoke. This is mainly due to the small heat dissipation area of the stator yoke, which results in a poor heat dissipation capacity. In the radial direction of the stator, from the stator yoke to the tooth, the temperature gradually decreases, and the temperature in the stator air gap suddenly decreases. This is mainly because only the permanent magnet in the air gap area produces a small amount of heat, while the winding and stator of the stator yoke tooth produce more heat. The low-temperature area is mainly concentrated on the permanent magnet and the rotor. The reason for this phenomenon is that the outermost heat dissipation condition of the rotor is better, so the temperatures of the rotor and the permanent magnet are relatively low, and the lowest temperature of the motor only appears on the outer side of the rotor.
Figure 17.
Overall temperature cloud diagrams of the hub motor at 200 rpm, 400 rpm, and 600 rpm.
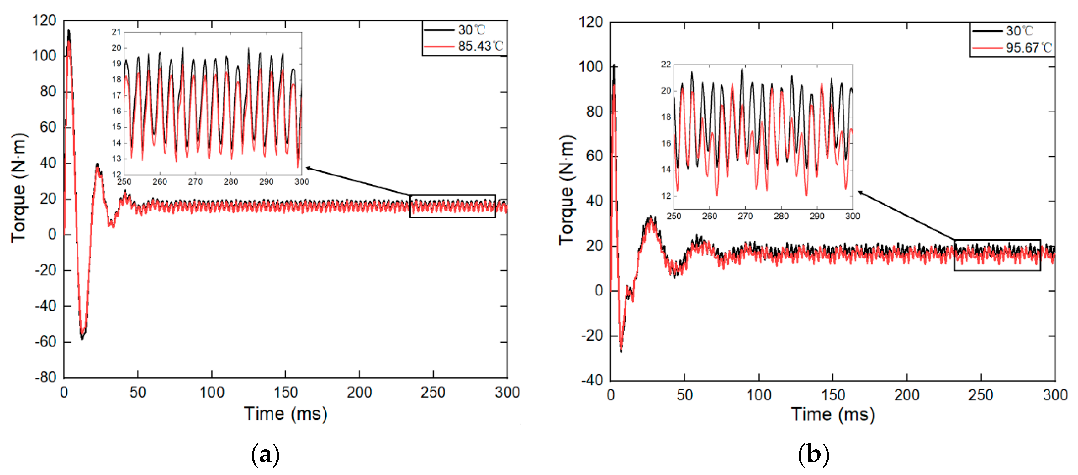
Figure 18 and Table 10 show that the temperature of each component of the hub motor gradually increases with time during vehicle operation. The temperature rises faster before 1000 s. Between 1000 s and 2000 s, the temperature rise trend of the motor gradually decreases. At different speeds, the temperature of the motor winding gradually stabilizes at 85.43 °C, 95.67 °C and 101.56 °C. After running for 2000 s, the temperature curve of each component of the hub motor gradually stabilizes, the temperatures of the motor winding and the stator gradually approach each other, and the temperatures of the permanent magnet and the rotor gradually approach each other.
Figure 18.
(a) Temperature variation curves of the hub motor stator. (b) Temperature variation curves of the hub motor rotor. (c) Temperature variation curves of the hub motor winding. (d) Temperature variation curves of the hub motor permanent magnet.
Table 10.
Temperature of each component of the hub motor under different working conditions.
4.3. Torque Output Analysis of Hub Motor
According to the actual operating environment of the vehicle, the influences of the actual operating load torque of the vehicle at different motor speeds and the air gap deformation of the hub motor caused by various excitations on the temperature characteristics of the hub motor are considered. By comparing the output torque of the hub motor at different speeds under the influence of the motor temperature rise (the maximum temperature of the motor winding), as shown in Figure 19 (see Figure A5 for the 200 rpm and 400 rpm conditions) and Table 11, as the internal temperature rise of the hub motor reaches a steady state, its output torque is found to be reduced to a certain extent, by 4–8% compared with the output torque at room temperature. This phenomenon occurs because, with increasing temperature, the copper wire resistance of the winding also increases, which affects the magnetic field strength inside the hub motor and consequently affects the actual output capacity of the motor. Due to the decrease in the output torque caused by the increase in the internal temperature of the hub motor, there may be problems such as insufficient power and weakness during the operation of the vehicle, and the accuracy of motor torque control will also be reduced. Therefore, the influence of the temperature rise on the output torque of the hub motor should be considered in the actual analysis process.
Figure 19.
Changes in the output torque of the hub motor at 600 rpm.
Table 11.
Changes in the output torque of the hub motor under different working conditions.
5. Experimental Verification
A temperature rise test of the hub motor is carried out, and the results are compared with the temperature rise simulation results. As shown in Figure 20, the temperature rise test system of the hub motor of the 1/4 suspension driven by the hub mainly includes the 1/4 suspension, a torque sensor, an infrared thermometer, and a temperature sensor. The torque sensor is used to measure the torque applied by the hub motor on the drum (i.e., the output torque of the hub motor). The temperature sensor is installed in the motor winding to measure the temperature of the internal winding of the motor, and the infrared thermometer is used to measure the surface temperature of the rotor. In the temperature rise test of the hub motor, the temperature of the measuring point is read by the temperature sensor and the infrared thermometer, as shown in Figure 21 (see Figure A6 for the 200 rpm and 400 rpm conditions) and Table 12. The calculated temperature and test temperature change curves of the winding and rotor shell can be well fitted, indicating the accuracy of the calculation results, but there are some differences. The maximum error of the winding and rotor temperatures is not more than 2%. The reasons for the discrepancy may be that, on the one hand, the motor model system is simplified to a certain extent, and the calculated thermal conductivity and heat dissipation coefficient deviate from the actual values. On the other hand, there are errors in the accuracy of the test methods, means, and sensors, but the results are within a controllable range.
Figure 20.
Temperature rise test system of the 1/4 suspension hub motor driven by the hub.
Figure 21.
Rotor and winding test temperature and calculated temperature curves at 600 rpm.
Table 12.
Comparison of the test temperatures and calculated temperatures of the rotor and winding under different working conditions.
The curve of the motor test torque with time at 600 rpm is shown in Figure 22 (Figure A7 and Figure A8 for the 200 rpm and 400 rpm conditions.). The two yellow dotted lines in the figure represent the motor output torque at room temperature and the steady-state temperature, respectively. The output torque of the motor gradually increases with increasing motor speed. Over time, the output torque decreases with the increase in temperature, and the amplitude of the decrease is in the range of 0.82~1.25 N∙m. As shown in Table 13, by comparing the variations in the simulation and test output torques at room temperature and under a temperature rise, it can be seen that at the same speed, the test output torque values of the hub motor at room temperature and under the temperature rise are greater than the simulated values. A possible reason is that there is a bearing friction resistance inside the motor, dynamometer, and drum in practice, which increases the output torque of the hub motor. The variation trends of the simulation and test output torques of the motor are similar, and the change rate can be well matched. By comparing the temperatures and output torques from the simulation and test, it is proven that the research method for determining the temperature rise characteristics of a hub motor under multisource excitation coupling proposed in this paper is reasonable and effective.
Figure 22.
Motor test torque with time at 600 rpm.
Table 13.
Comparison of simulated and tested motor torques under different working conditions.
6. Conclusions
In this paper, the hub motor of an electric vehicle is taken as the research object, and the change in the load torque of the hub motor caused by the rolling resistance torque in the actual operating environment of the vehicle and the change in the air gap deformation caused by the excitation of the hub motor stator and rotor transmitted from the road surface through the tire and by the excitation of the body transmitted through the suspension are considered. The temperature rise characteristics and output torque characteristics of the hub motor under the combined action of the two changes at different motor speeds are studied and analyzed. First, with the support of theoretical calculations, the rolling resistance torque in the actual operating environment of the vehicle is obtained through simulation analysis of the dynamic model of the hub drive suspension, which is added to the electromagnetic field model of the hub motor as the actual load torque to analyze its influence on the loss of each component of the motor. Then, on the basis of the actual load torque of the hub motor, the change in the unbalanced magnetic pull under different air gap spacings is simulated and analyzed by the electromagnetic field model. Second, the relationship between the unbalanced magnetic pull and the air gap spacing is input into the dynamic model of the hub-driven suspension as the air gap magnetic field stiffness. The air gap change caused by the vibration excitation of the road surface transmitted to the stator and rotor of the hub motor through the tire and by the excitation of the body transmitted through the suspension in the actual operating environment is simulated, and the influence of air gap deformation on the loss of each component of the motor is analyzed. Next, through the magnetic–thermal two-way coupling method, the variation law of the temperature rise characteristics of the hub motor and the variation law of the motor output torque caused by the temperature rise under the combined action of the two factors of the load torque change and air gap change are analyzed. The validity and accuracy of the method adopted in this paper are verified by the temperature rise test of a prototype. The method for analyzing the temperature rise and torque characteristics of a hub motor, considering multisource excitation magnetic–thermal bidirectional coupling proposed in this paper, is reasonable and effective. It provides a theoretical basis for the precise control of the output torque of the distributed drive vehicle hub drive motor and produces greater economic benefits.
Due to the limitation of research conditions, the comprehensiveness of vehicle driving cycle selection, model simplification methods, and principles need to be further studied in this paper. Specifically, further improvement and in-depth research can be carried out from the following aspects:
- The influence of load torque and air gap changes in the hub motor on the temperature rise characteristics and torque characteristics of hub motor under multiple driving conditions (turning, braking, acceleration, different road grades, different body mass, and composite conditions) is carried out.
- The finite element model of the electromagnetic field and temperature field of the hub motor is improved, and the 3D finite element model is established to improve the accuracy of the simulation.
- Through the research of this paper, it is found that the load torque and air gap change in the hub motor will have a certain impact on its temperature rise characteristics and torque characteristics. On the basis of this research, the rolling resistance torque and vertical vibration of the vehicle can be reduced from the suspension control so as to reduce the load torque and air gap change in the motor, reduce the temperature rise and output torque fluctuation of the motor; at the same time, it also provides some research support for the torque control of the hub motor.
- The calculation method proposed in this paper has a certain reliability. However, due to the combination of dynamics and finite element analysis methods, the calculation process of the temperature rise and torque of in-wheel motors may be more complicated than in conventional methods. However, as long as the analysis steps are correct, the torque change characteristics caused by the temperature rise of the hub motor under actual operating conditions can still be calculated efficiently.
Author Contributions
Methodology and writing-original draft: M.Y.; writing-original draft: Y.B.; methodology: H.H.; writing—review and editing: Y.L.; experiments and records: H.Z.; supervision, funding acquisition: W.D. All authors have read and agreed to the published version of the manuscript.
Funding
This research was funded by the Natural Science Foundation of Sichuan Province (2023NSFSC0395) and the Sichuan Science and Technology Program (2022ZHCG0061).
Data Availability Statement
The data used to support the findings of this study are available from the corresponding author upon request.
Acknowledgments
The authors would like to acknowledge the support from the Sichuan Provincial Natural Science Foundation and the facilities provided by the Institute of Energy and Power Research at Southwest Jiaotong University for the experimental research.
Conflicts of Interest
The authors declare no conflict of interest.
Appendix A
Figure A1.
(a) Change in the radial magnetic density at 200 rpm. (b) Change in unbalanced magnetic pull at 200 rpm.
Figure A1.
(a) Change in the radial magnetic density at 200 rpm. (b) Change in unbalanced magnetic pull at 200 rpm.

Figure A2.
(a) Change in the radial magnetic density at 200 rpm. (b) Change in unbalanced magnetic pull at 400 rpm.
Figure A2.
(a) Change in the radial magnetic density at 200 rpm. (b) Change in unbalanced magnetic pull at 400 rpm.


Figure A3.
(a) Output torque of the hub motor caused by changes in the air gap at 200 rpm. (b) Core loss of the hub motor caused by air gap changes at 200 rpm. (c) Eddy current loss of the hub motor caused by air gap changes at 200 rpm. (d) Winding loss of the hub motor caused by air gap changes at 200 rpm.
Figure A3.
(a) Output torque of the hub motor caused by changes in the air gap at 200 rpm. (b) Core loss of the hub motor caused by air gap changes at 200 rpm. (c) Eddy current loss of the hub motor caused by air gap changes at 200 rpm. (d) Winding loss of the hub motor caused by air gap changes at 200 rpm.


Figure A4.
(a) Output torque of the hub motor caused by changes in the air gap at 400 rpm. (b) Core loss of the hub motor caused by air gap changes at 400 rpm. (c) Eddy current loss of the hub motor caused by air gap changes at 400 rpm. (d) Winding loss of the hub motor caused by air gap changes at 400 rpm.
Figure A4.
(a) Output torque of the hub motor caused by changes in the air gap at 400 rpm. (b) Core loss of the hub motor caused by air gap changes at 400 rpm. (c) Eddy current loss of the hub motor caused by air gap changes at 400 rpm. (d) Winding loss of the hub motor caused by air gap changes at 400 rpm.

Figure A5.
(a) Output torque change in the hub motor at 200 rpm. (b) Output torque change in the hub motor at 400 rpm.
Figure A5.
(a) Output torque change in the hub motor at 200 rpm. (b) Output torque change in the hub motor at 400 rpm.

Figure A6.
(a) Rotor and winding test temperature and calculated temperature curves at 200 rpm. (b) Rotor and winding test temperature and calculated temperature curves at 400 rpm.
Figure A6.
(a) Rotor and winding test temperature and calculated temperature curves at 200 rpm. (b) Rotor and winding test temperature and calculated temperature curves at 400 rpm.

Figure A7.
Motor test torque curve with time at 200 rpm.
Figure A7.
Motor test torque curve with time at 200 rpm.

Figure A8.
Motor test torque curve with time at 400 rpm.
Figure A8.
Motor test torque curve with time at 400 rpm.

References
- Ma, J.; Liu, X.; Chen, Y. China’s new energy automobile industry and technology development status and countermeasures. China J. Highw. Transp. 2018, 31, 1–19. [Google Scholar] [CrossRef]
- Huang, H.; Lim, T.C.; Wu, J.; Ding, W.; Pang, J. Multitarget prediction and optimization of pure electric vehicle tire/road airborne noise sound quality based on a knowledge-and data-driven method. Mech. Syst. Signal Process. 2023, 197, 110361. [Google Scholar] [CrossRef]
- Chan, C.C.; Chau, K.T. Modern Electric Vehicle Technology; Oxford University Press: Oxford, UK, 2001. [Google Scholar] [CrossRef]
- Huang, H.; Huang, X.; Ding, W.; Zhang, S.; Pang, J. Optimization of electric vehicle sound package based on LSTM with an adaptive learning rate forest and multiple-level multiple-object method. Mech. Syst. Signal Process. 2023, 187, 109932. [Google Scholar] [CrossRef]
- Chen, S.; Zhang, Q.; He, B.; Huang, S.; Hui, D.D. Thermal Analysis of High Density Permanent Magnet Synchronous Motor Based on Multi Physical Domain Coupling Simulation. J. Electr. Eng. Technol. 2017, 12, 91–99. [Google Scholar] [CrossRef]
- Glass, L. An Input-to-State Stable Virtual Sensor for Electric Motor Rotor Temperature. IFAC-Pap. 2023, 56, 240–245. [Google Scholar] [CrossRef]
- Yang, W.; Zhou, Z.; Li, Z. Study on the temperature field of hub motor by oil cooling temperature and flow rate. Micromotors 2020, 53, 31–34+42. [Google Scholar] [CrossRef]
- Huang, H.; Huang, X.; Ding, W.; Yang, M.; Yu, X.; Pang, J. Vehicle vibro-acoustical comfort optimization using a multi-objective interval analysis method. Expert Syst. Appl. 2023, 213, 119001. [Google Scholar] [CrossRef]
- Zhang, L.; Yan, Y.; Ma, Q. Magnetic-thermal bidirectional coupling of in-wheel motor for electric vehicle. J. Mech. Electr. Eng. 2019, 36, 407–412. [Google Scholar] [CrossRef]
- Li, X.; Ding, B.; Jia, T. Three-dimensional temperature field analysis of direct-drive permanent magnet in-wheel motor for electric vehicles. Micromotors 2017, 45, 45–48+58. [Google Scholar] [CrossRef]
- Wang, S.; Liu, M.; Zhu, B. Analysis on Temperature Field of Permanent Magnet Synchronous Motor in P2 Hybrid Electric Vehicle. Micromotors 2016, 44, 33–36. [Google Scholar]
- Wu, Y.; Fang, X. Calculation of Motor Temperature Field under Different Loads. Micromotors 2020, 48, 27–31. [Google Scholar] [CrossRef]
- Zhang, Q.; Lei, L.; Liu, G. Analysis of Electromagnetic Loss Characteristics of Electric Vehicle In-Wheel Motor Based on Maxwell. Electr. Mach. Control Appl. 2019, 46, 59–64. [Google Scholar]
- Wei, Y.; Meng, D.; Wen, J. Internal Heat Exchange of Motor; Mechanical Industry Press: Beijing, China, August 1998. [Google Scholar]
- Ma, J.; Pan, Y.; Luo, X.; Xiao, H.; Yang, J.; Simpson, N.; Mellor, P. Design of a 10 kW Superconducting Homopolar Inductor Machine Based on HTS REBCO Magnet. IEEE Trans. Appl. Supercond. 2024, 34, 5200407. [Google Scholar] [CrossRef]
- Zhu, S.; Cheng, M.; Dong, J.; Du, J. Core Loss Analysis and Calculation of Stator Permanent-Magnet Machine Considering DC-Biased Magnetic Induction. IEEE Trans. Ind. Electron. 2014, 61, 5203–5212. [Google Scholar] [CrossRef]
- Zhai, L. Losses estimation, thermal-structure coupled simulation analysis of a magnetic-bearing reaction wheel. Int. J. Appl. Electromagn. Mech. 2019, 60, 33–53. [Google Scholar] [CrossRef]
- Han, Y.; Chen, T.; Li, G. Vibration Characteristics and Unbalanced Electromagnetic Force Analysis of a Rotor for a Hub Motor with Air Gap Eccentricity. Sci. Technol. Eng. 2019, 19, 140–145. [Google Scholar] [CrossRef]
- Chen, Q.P. Study on temperature influence factors and electromagnetic heat coupling of in-wheel motor for micro-electric vehicle. Mechanika 2014, 20, 80–86. [Google Scholar] [CrossRef]
- Xue, S.; Zhu, Z.Q.; Wang, Y.; Feng, J.; Guo, S.; Li, Y.; Chen, Z.; Peng, J. Thermal-Loss Coupling Analysis of an Electrical Machine Using the Improved Temperature-Dependent Iron Loss Model. IEEE Trans. Magn. 2018, 54, 18105005. [Google Scholar] [CrossRef]
- Yang, C.; Zhang, Y.; Qiu, H. Influence of Output Voltage Harmonic of Inverter on Loss and Temperature Field of Permanent Magnet Synchronous Motor. IEEE Trans. Magn. 2019, 55, 8201605. [Google Scholar] [CrossRef]
- Jiang, W.; Jahns, T.M. Coupled Electromagnetic–Thermal Analysis of Electric Machines Including Transient Operation Based on Finite-Element Techniques. IEEE Trans. Ind. Appl. 2015, 51, 1880–1889. [Google Scholar] [CrossRef]
- Chang, H.Y.H.; Yang, Y.P.; Lin, F.K.T. Thermal-fluid and electromagnetic coupling analysis and test of a traction motor for electric vehicles. J. Chin. Inst. Eng. 2018, 41, 51–60. [Google Scholar] [CrossRef]
- Tan, D.; Lu, C. The Influence of the Magnetic Force Generated by the In-Wheel Motor on the Vertical and Lateral Coupling Dynamics of Electric Vehicles. IEEE Trans. Veh. Technol. 2016, 65, 4655–4668. [Google Scholar] [CrossRef]
- Li, D. Longitudinal Vibration Analysis and Optimization of in-Wheel Motor Drive Electric Wheel System Considering Unbalanced Magnetic Pull; Tongji University: Shanghai, China, 2019. [Google Scholar]
- Wu, L.; Yu, S.; Yu, Y. Electromechanical coupling rotor dynamics analysis of permanent magnet synchronous motorized spindle. Modul. Mach. Tool Autom. Manuf. Tech. 2021, 11, 10–14. [Google Scholar] [CrossRef]
- Hu, Z. Research on In-Wheel Motorvibration Control of Distributed Drive Vehicle; Southwest Jiaotong University: Chengdu, China, 2022. [Google Scholar]
- Zeng, X.; Han, B.; Ling, X. Study on Vehicle Road Resistance Considering Incoming Flow Yaw Angle. Automot. Eng. 2022, 12, 170–179. [Google Scholar] [CrossRef]
- Chen, S.; Hu, M.; Zhao, J. Real-time ‘Torque Distribution Strategy for Dual-motor Pure Electric Vehicle with Minimum System Loss. J. Mech. Eng. 2024, 59, 411–423. [Google Scholar] [CrossRef]
- Shi, L. Research on Precise Torque Control Method of PMSM for Vehicles Considering Motor Temperature Variation; Chongqing University: Chong Qing, China, 2022. [Google Scholar] [CrossRef]
- Sun, Z. Research on Performance and Temperature Rise of Permanentmagnet Synchronous Motor in High Temperature Environment; Harbin Institute of Technology: Harbin, China, 2017. [Google Scholar]
- Kim, Y.-S.; Sul, S.-K. Torque Control Strategy of an IPMSM Considering the Flux Variation of the Permanent Magnet. In Proceedings of the IEEE Industry Applications Annual Meeting, New Orleans, LA, USA, 23–27 September 2007; pp. 1301–1307. [Google Scholar] [CrossRef]
- Feng, J. Research on Temperature Field Characteristics of Water-Cooled in-Wheel Motor under Road Excitation; Shandong University of Technology: Zibo, China, 2021. [Google Scholar] [CrossRef]
- Yu, Z. Automobile Theory, 6th ed.; Mechanical Industry Press: Beijing, China, 2018. [Google Scholar]
- Fu, X.; Liu, Z.; Liu, D. Pivot Steering Control of Off-road Vehicles Driven by In-wheel Motors. China Mech. Eng. 2023, 34, 1251–1259. [Google Scholar] [CrossRef]
- Wang, Y.; Li, P.; Ren, G. Electric vehicles with in-wheel switched reluctance motors: Coupling effects between road excitation and the unbalanced radial force. J. Sound Vib. 2016, 372, 69–81. [Google Scholar] [CrossRef]
- Ma, J.; Wu, L.; Zhu, Z.Q. Effect of magnet thickness on electromagnetic performance of high-speed permanent magnet machines. In Proceedings of the 2017 IEEE International Electric Machines and Drives Conference (IEMDC), Miami, FL, USA, 21–24 May 2017; pp. 1–7. [Google Scholar] [CrossRef]
- Huang, H.B.; Li, R.X.; Yang, M.L.; Lim, T.C.; Ding, W.P. Evaluation of vehicle interior sound quality using a continuous restricted Boltzmann machine-based DBN. Mech. Syst. Signal Process. 2017, 84, 245–267. [Google Scholar] [CrossRef]
- Rezaee-Alam, F.; Rezaeealam, B.; Faiz, J. Unbalanced Magnetic Force Analysis in Eccentric Surface Permanent-Magnet Motors Using an Improved Conformal Mapping Method. IEEE Trans. Energy Convers. 2017, 32, 146–154. [Google Scholar] [CrossRef]
- Zhou, Z.; Yang, W.; Meng, X. Research on Temperature Field of In-wheel Motors with Different Cold Sources in Multi-mode Switching. J. Hunan Univ. Nat. Sci. 2021, 48, 51–58. [Google Scholar]
- Zhang, H.; Xu, J.; Deng, Z. Temperature Field of in-Wheel Motor Using Coupled Multi-physics Domain Solution. J. Southwest Jiaotong Univ. 2020, 55, 76–83. [Google Scholar] [CrossRef]
- Wang, Z.; Meng, Q.; Yan, W. Finite element method for calculating three-dimensional temperature field in electrical apparatus. Low Volt. Appar. 1987, 4, 19–23. [Google Scholar] [CrossRef]
- Chen, X. Analysis of Temperature Process of Rockfill Concrete Arch Dam Pouring through Warehouse; Guizhou University: Guiyang, China, 2023. [Google Scholar] [CrossRef]
- Hao, S. Research on Vibration and Temperature Rise of In-Wheel Motor for Electric Vehicle; East China Jiaotong University: Nanchang, China, 2021. [Google Scholar] [CrossRef]
- Zhu, G.; Zhu, Y.; Tong, W. Analysis and enhancement of cooling system of high-speed permanent magnet motor based on computational fluid dynamics. Adv. Technol. Electr. Eng. Energy 2017, 36, 1–7. [Google Scholar] [CrossRef]
- Wang, X.; Gao, P. Analysis of 3-D temperature field of in-wheel motor with inner-oil cooling for electric vehicle. Electric Mach. Control 2016, 20, 36–42. [Google Scholar]
- Alatalo, M. Evaluation of Three Cooling Concepts for an Electric Vehicle Motor—3D Models. In Proceedings of the 2020 International Conference on Electrical Machines (ICEM), Gothenburg, Sweden, 23–26 August 2020; pp. 867–873. [Google Scholar] [CrossRef]
- Karnavas, Y.L.; Chasiotis, I.D.; Peponakis, E.L. Cooling system design and thermal analysis of an electric vehicle’s in-wheel PMSM. In Proceedings of the 2016 XXII International Conference on Electrical Machines (ICEM), Lausanne, Switzerland, 4–7 September 2016; pp. 1439–1445. [Google Scholar] [CrossRef]
Disclaimer/Publisher’s Note: The statements, opinions and data contained in all publications are solely those of the individual author(s) and contributor(s) and not of MDPI and/or the editor(s). MDPI and/or the editor(s) disclaim responsibility for any injury to people or property resulting from any ideas, methods, instructions or products referred to in the content. |
© 2024 by the authors. Licensee MDPI, Basel, Switzerland. This article is an open access article distributed under the terms and conditions of the Creative Commons Attribution (CC BY) license (https://creativecommons.org/licenses/by/4.0/).























