Next Article in Journal
Coordinated Reconfiguration with Energy Storage System for Load Restoration in Integrated Electric and Heating Systems
Previous Article in Journal
Enhanced Wild Horse Optimizer with Cauchy Mutation and Dynamic Random Search for Hyperspectral Image Band Selection
 
 
Font Type:
Arial Georgia Verdana
Font Size:
Aa Aa Aa
Line Spacing:
Column Width:
Background:
Article

A Multiplexing Optical Temperature Sensing System for Induction Motors Using Few-Mode Fiber Spatial Mode Diversity

1
College of Electrical and Electronic Engineering, Wenzhou University, Wenzhou 325035, China
2
College of Communication Engineering, Jilin University, Changchun 130012, China
*
Authors to whom correspondence should be addressed.
Electronics 2024, 13(10), 1932; https://doi.org/10.3390/electronics13101932
Submission received: 12 April 2024 / Revised: 13 May 2024 / Accepted: 13 May 2024 / Published: 15 May 2024
(This article belongs to the Special Issue Sensing Technology and Intelligent Application)

Abstract

Induction motors are widely applied in motor drive systems. Effective temperature monitoring is one of the keys to ensuring the reliability and optimal performance of the motors. Therefore, this paper introduces a multiplexed optical temperature sensing system for induction motors based on few-mode fiber (FMF) spatial mode diversity. By using the spatial mode dimension of FMF, fiber Bragg grating (FBG) carried by different spatial modes of optical paths is embedded in different positions of the motor to realize multipoint synchronous multiplexing temperature monitoring. The paper establishes and demonstrates a photonic lantern-based mode division sensing system for motor temperature monitoring. As a proof of concept, the system demonstrates experiments in multiplexed temperature sensing for motor stators using the fundamental mode LP01 and high-order spatial modes LP11, LP21, and LP02. The FBG sensitivity carried by the above mode is 0.0107 nm/°C, 0.0106 nm/°C, 0.0097 nm/°C, and 0.0116 nm/°C, respectively. The dynamic temperature changes in the stator at different positions of the motor under speeds of 1k rpm, 1.5k rpm, 2k rpm with no load, 3 kg load, and 5 kg load, as well as at three specific speed–load combinations of 1.5k rpm_3 kg, 1k rpm_0kg, 2k rpm_5 kg and so on are measured, and the measured results of different spatial modes are compared and analyzed. The findings indicate that different spatial modes can accurately reflect temperature variations at various positions in motor stator winding.

1. Introduction

With the advancement in high-speed motors, the temperature of motor rotors and stators has become a crucial metric in the design and health monitoring of motors. Effective temperature monitoring is key to ensuring the reliability and optimal performance of these motors. Given that the losses incurred due to motor failures can potentially exceed the cost of the motor itself, the significance of predictive maintenance for motors is substantial [1,2,3]. Currently, motor temperature monitoring is primarily categorized into two methods: average temperature monitoring and local temperature monitoring. The former mainly includes the resistance method [4] and infrared thermometry [5], while local temperature monitoring primarily involves the embedding of electronic temperature sensors [6,7] and fiber Bragg grating (FBG) temperature sensors [8,9,10,11]. The resistance method, widely used at present, is capable of estimating the average temperature of the entire rotor winding. However, this average temperature measurement sometimes fails to detect the emergence of local hot spots, and its measurement accuracy is relatively low. Infrared thermometry can obtain the average temperature along its scanning circumference, offering higher accuracy and resolution. Nevertheless, the difficulty in positioning the temperature probe deep into the narrow air gaps of generators limits the application of infrared thermometry. The primary approach for monitoring local hot spots involves embedding temperature sensors at specific locations. Owing to the relatively large size and mass of electronic thermocouples, thermal resistors, or semiconductor temperature sensors, they are not suitable for use in compact motors. Moreover, the sensitivity of these electronic sensors to high voltages and electromagnetic interference affects the accuracy of the signal acquisition.
In comparison, optical measurement techniques have the advantage of being immune to electromagnetic interference. FBG sensors are characterized by their small size and light weight, allowing them to be easily integrated within the motor. These sensors enable quasi-distributed measurement and have minimal impact on the operational performance of the motor. Therefore, employing FBG sensors for monitoring the temperature of motors presents an effective solution, as demonstrated by the following examples.
Anees Mohammed et al. proposed an online internal temperature measurement scheme based on FBG sensing technology for monitoring the stator windings of low-voltage winding motors. The scheme, which targets the internal structure of the electric motor’s stator windings, involves the design of an FBG temperature sensor encapsulated in a polyether ether ketone (PEEK) sheath to meet the requirements for internal thermal monitoring of the motor [3]. At the same time, the FBG sensors are used to monitor the temperature change of the motor, and time-domain and frequency domain analyses are carried out to realize the effective diagnosis of the severity of bearing faults [10]. Sitong Chen et al. introduced a temperature monitoring system based on FBG for a generator or electric motor rotor. With a resolution of 0.1 °C, the system can achieve an error of 0.5 °C over a range of 30–180 °C [11]. Anees Mohammed et al. proposed a random wound stator winding thermal monitoring scheme for permanent magnet synchronous motors utilizing an embedded end-winding, ring-shaped FBG thermal sensing array [12]. Marcelo Martins Werneck et al. employed an FBG wavelength division multiplexing (WDM) system to monitor the stator temperature variations in a 216 MW hydroelectric generator operating at full load at 95 °C. The sensor used in this study had a temperature response range of 20–85 °C, with an average sensitivity of approximately 13 pm/°C [13]. Additionally, Yihang Wu et al. investigated a scheme that involved the application of a single nickel-plated FBG sensor head in the end windings of an induction motor, enabling the simultaneous sensing of relative flux and absolute temperature [14]. Xueli Yang et al. fabricated an FBG temperature sensor with rapid response and excellent antivibration performance, which was applied to the temperature monitoring of small motor for a hydraulic pump and achieved ideal results [15]. While utilizing FBG for measuring the temperature of motor rotors, some researchers have dedicated their efforts to multi-physical field monitoring. For instance, D. Hidn et al. used FBG to measure the temperatures of the stator and rotor of a 2 kW permanent magnet motor. This study also monitored the vibration of the motor’s stator casing and the torque of its shaft, thus confirming the feasibility of using FBG for multi-parameter monitoring of motors [16]. Furthermore, Matthias Fabian et al. developed a comprehensive motor state monitoring system incorporating multiple parameters and sensors. This system is capable of detecting the temperatures of rotor bearings, rotor windings, and stator windings, as well as measuring parameters such as the torque and speed of rotor bearings and the displacement of stator teeth [17]. Based on the aforementioned analysis, it is evident that motor temperature measurements using FBG technology have achieved significant improvements in terms of measurement range and temperature detection sensitivity. Monitoring of the motor’s temperature involves comprehensive measurements at multiple points, where the multiplexing method of fiber grating becomes crucial. For the common FBG sensor system with single-mode fiber, in order to achieve high-precision multipoint measurements, various multiplexing techniques have been proposed, such as wavelength division multiplexing (WDM) [18], time division multiplexing (TDM) [19], spatial division multiplexing (SDM) [20], and hybrid multiplexing [21]. Among them, AWG-based FBG interrogation for the WDM system is the most widely used [22,23,24,25]. The above scheme provides a new idea for the comprehensive multipoint detection of motor temperature.
This paper proposes a novel FBG multiplexed parallel topology based on the spatial mode diversity of FMF for quasi-distributed, multipoint, synchronous, real-time temperature monitoring of motors. Utilizing the unique spatial mode dimensions of FMF [26,27], FBGs carried by different spatial mode pathways are embedded in various locations of the motor to simultaneously monitor temperatures in different areas of the stator windings. The paper demonstrates this concept using a motor temperature sensing multiplexing system that employs four spatial modes—LP01, LP11, LP21, and LP02—and validates the system experimentally. The results indicate that the proposed FBG sensor multiplexing system based on spatial mode diversity effectively achieves accurate temperature feedback from different motor locations. Compared with traditional optical fiber sensing multiplexing systems, it can simultaneously detect the reflection spectrum change signals caused by temperature variations in each spatial mode, enhancing the sensing capacity of the sensor system and reducing the cost of the multiplexing system.

2. Experimental Principle and Setup

To study the multi-channel temperature optical sensing performance of an electric motor (Weibao Electric, Taizhou, China) based on FMF spatial mode division sensing multiplexing topology, the experiment employed four spatial modes—LP01, LP11, LP21, and LP02—for FBG division multiplexing. As illustrated in Figure 1, the system mainly consists of a wide-spectrum light source (Fby Photoelectric, Shenzhen, China), an FMF circulator, a mode-selective photonic lantern (Phoenix Photonics, Kent, United Kingdom) [28], an FBG array (Tongwei sensing, Beijing, China), a spectrum analyzer (Fby Photoelectric, Shenzhen, China), and a measured motor. The specific workflow of the system is as follows. A broad-spectrum light source’s single-mode pigtail is eccentrically fusion-spliced with the pigtail of port 1 of the FMF circulator by 2 μm, effectively exciting the fundamental mode LP01, as well as higher-order spatial modes LP11, LP21, and LP02. Subsequently, the multi-path spatial modes are output through port 2 of the FMF circulator, entering the photonic lantern for spatial mode transformation. They are converted to the corresponding fundamental mode LP01, entering the FBG topological array. Under varying motor speeds and loads, the temperature changes cause alterations in the reflected spectra of the FBG sensors carried by different spatial modes. In this setup, the reflected spectra from the FBG topological array are directed back to a photonic lantern, which converts them into corresponding high-order spatial modes for multiplexing. The multiplexed spatial modes are then channeled through port 2 into an FMF circulator (Shanghai Hanyu, Shanghai, China), with the output from port 3 entering a spectrometer for spectral detection and acquisition. Finally, the central wavelength of FBG is determined by finding the highest-intensity point (wave peak) in the FBG reflection spectrum carried by LP01, LP11, LP21, and LP02 modes through the central wavelength positioning. Then, according to the FBG linear fitting expression carried by each mode, the corresponding temperature change in each point of the motor is calculated, and the multipoint synchronous detection of the motor temperature is realized.
Within the array, the initial central reflection wavelengths of the fiber Bragg grating sensors are:
λ i = 2 Λ i n e f f _ i
where λ i denotes the initial reflection center wavelengths of FBG carried by the corresponding spatial modes LP01, LP11, LP21, and LP02, i = 1 , 2 , 3 , 4 represents the LP01, LP11, LP21, and LP02 modes, respectively, Λ i refers to the grating pitch of each FBG, and n e f f _ i signifies the effective refractive index of each FBG. In the array, the FBG sensors are embedded in different parts of the stator windings of the induction motor using epoxy resin, as illustrated in Figure 1. Specifically, FBG1 and FBG3 are encapsulated near the fan end, where FBG1 is fixed within the inner coil with the insulation material removed and FBG3 is affixed to the slot wall. FBG2 and FBG4 are encapsulated near the output end of the shaft, with FBG2 fixed inside the inner coil and its insulation material resealed, and FBG4 is affixed to the slot wall. The change in the central wavelength of the reflected spectrum of the i th FBG sensor resulting from a variation in the ambient temperature can be defined as follows:
Δ λ m n _ i λ m n _ i = ( α T E + α T O ) Δ T i
where Δ λ m n _ i represents the central wavelength shift of the FBG carried by the i th spatial mode, α T E _ i and α T O _ i denote the thermal expansion coefficient and the thermo-optic coefficient of FBG, respectively, and Δ T i signifies the amount of temperature change in the environment where the i th FBG is situated. The proposed method utilizes the spatial mode dimension of FMF, and multiple FBG channels are allocated to the optical paths carried by different LP spatial modes to realize parallel multiplexing of multiple FBG sensors.

3. Experiment Results and Analysis

To achieve precise detection of motor temperature, it is first necessary to calibrate the FBG sensors. This involves measuring the variations in the reflected spectral wavelengths of the FBGs as a function of temperature and deriving the requisite temperature-wavelength fitting curve from these measurements [3,29]. It can be seen from Equation (2) that λ m n _ i , α T E _ i and α T O _ i are inherent properties of FBG, and when the temperature Δ T i changes, the change in the FBG’s reflected wavelength is λ m n _ i . According to this principle, an FBG calibration experiment is conducted using a temperature control system with a precision of 0.1 °C. In this experiment, the temperature range is set from 20 °C to 100 °C, with each 20 °C increment serving as a data point. The central wavelength variations of FBG1, FBG2, FBG3, and FBG4 carried by four spatial modes are measured. Subsequently, the data pertaining to the FBG reflected spectra are subjected to linear fitting and cubic fit, respectively, and linear fit and the cubic fit results are shown in Figure 2. Through comparative analysis, it can be seen that the fitting degree R2 of linear fitting is basically the same as that of cubic fitting. Because the linear fitting calculation is relatively simple, it is more convenient to accurately convert the measured reflected wavelength shift into temperature. From the analysis of the data, it is discernible that each FBG exhibits a certain linearity. The slope of the fitting curve represents the sensitivity of the sensor to temperature change, and the FBG sensitivity carried by the LP01, LP11, LP21, and LP02 mode is 0.0107 nm/°C, 0.0106 nm/°C, 0.0097 nm/°C, and 0.0116 nm/°C, respectively. The linear fitting curves derived from the data obtained from each FBG can be utilized to accurately translate the detected wavelength shifts into temperature readings in subsequent testing.
Initially, tests are conducted on an unloaded motor operating at various rotational speeds. The temperature variations in different parts of the stator windings at unloaded motor speeds of 1k rpm, 1.5k rpm, and 2k rpm, stabilized over 25 min, are measured using a modal diversity FBG multiplexing system. The results are displayed in Figure 3. Analysis of the figure reveals that temperatures recorded by FBG1, FBG2, FBG3, and FBG4, carried by LP01, LP11, LP21, and LP02 spatial modes, respectively, increase with the motor speed and over time. Initially, the temperature rise is rapid, but it gradually stabilizes later on. Specifically, the FBG1 carried by the LP01 mode is located near the fan, inside the stator winding copper coil with intact insulation. Thus, it initially exhibits efficient heat dissipation and a slower temperature rise. After 25 min, the no-load operation of 1k rpm, 1.5k rpm, and 2k rpm increases by 5.3 °C, 7.6 °C, and 8.3 °C, respectively. The FBG2, carried by the LP11 mode and located in the copper coil of the stator winding far from the fan, shows a rapid temperature rise and significant temperature differential due to damaged insulation, with increases of 18.6 °C, 20.8 °C, and 23 °C at the respective speeds. The FBG3, associated with the LP21 mode and positioned near the fan on the slot wall without direct contact with the stator winding, exhibits the least noticeable temperature changes, with increases of 3.3 °C, 4.2 °C, and 5.7 °C. Finally, the FBG4, carried by the LP02 mode and situated on the slot wall away from the fan, experiences a relatively rapid initial rise, but the total temperature change is less than that within the stator winding copper coil, showing increases of 4.8 °C, 6.2 °C, and 6.9 °C at the respective speeds. Through the above analysis, it can be seen that the multipoint temperature change monitoring of stator windings of the motor can be realized by the FBG bearing in each spatial mode.
Further tests and analyses are conducted on the temperature distribution at different locations of a three-phase induction motor operating unloaded at various speeds for 25 min. The results are presented in Figure 4. The analysis reveals significant temperature changes in FBG1 and FBG2, located within the stator winding copper coils, as the rotational speed increases. Specifically, the temperatures at these points rise from 27.9 °C and 31.6 °C at 250 rpm to 36.9 °C and 50 °C at 2.5k rpm, corresponding to changes of 9.1 °C and 18.4 °C, respectively. Conversely, FBG3 and FBG4, situated on the slot wall, exhibit less pronounced temperature changes with increasing speed. Overall, their temperatures rise from 27.1 °C and 28.8 °C at 250 rpm to 32.1 °C and 31.6 °C at 2.5k rpm, showing changes of 4.9 °C and 2.8 °C, respectively. In summary, the analysis indicates that a multi-channel optical temperature sensing system for motors based on spatial mode division can achieve real-time synchronous monitoring of working temperature changes in different parts of the motor stator winding through the parallel topology of FBGs carried by spatial modes. This confirms the feasibility of this approach.
Secondly, an analysis of the temperature changes in the motor under load conditions was conducted, with temperature change tests carried out at 1k rpm and 2k rpm, both under no load and with a 5 kg load. Similarly, the temperature variation process in different parts of the stator winding of the three-phase induction motor are measured during stable operation up to 25 min. Figure 5a shows the dynamic temperature changes at the location of sensor FBG1 carried by the LP01 mode. Under a 5 kg load at 1k rpm, there is a temperature rise of 6.1 °C compared to the no-load condition. At 2k rpm, the 5 kg load caused an 11.9 °C increase in temperature. The faster the speed, the greater the load torque, resulting in higher copper and iron losses and therefore a greater rise in temperature. Figure 5b–d show the temperature changes at the FBG2, FBG3, and FBG4 sensors in the LP11, LP21, and LP02 modes, respectively. At 1 k rpm with a 5 kg load, the temperature increases are 4.4 °C, 3.3 °C, and 1.4 °C, respectively, while at 2 k rpm with a 5 kg load, they are 4.5 °C, 5.5 °C, and 1.9 °C, respectively. Similarly, the greater the load torque, the greater the copper and iron losses and the more significant the temperature rise, which is consistent with actual operating conditions.
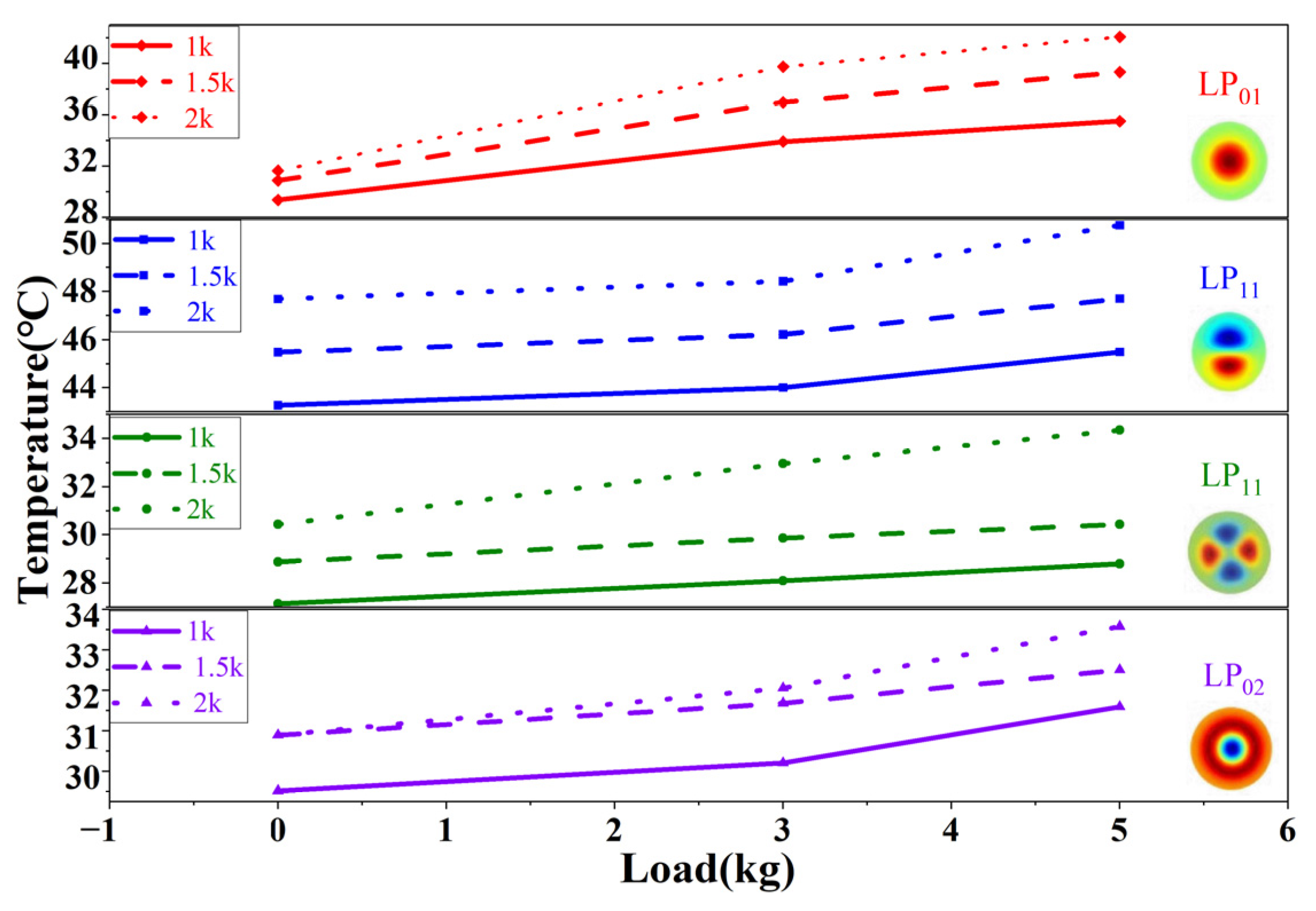
Further tests are conducted to assess the temperature changes in FBGs carried by different spatial modes at 1 k rpm, 1.5 k rpm, and 2 k rpm, as well as under 0 kg, 3 kg, and 5 kg load conditions, running up to 25 min until a stable state is reached, as shown in Figure 6. FBGs in LP01 and LP21 modes, FBG1 and FBG3, have similar packaging locations, resulting in identical temperature increase trajectories. However, since FBG1 is located inside the motor winding, its temperature rise is more pronounced. At the different speeds and under a 5 kg load, FBG1 showed temperature increases of 6.2 °C, 8.5 °C, and 10.4 °C and FBG3 showed increases of 1.7 °C, 1.6 °C, and 3.9 °C, respectively. Similarly, in the LP11 and LP02 modes, FBG2 and FBG4 have closely situated packaging locations, leading to identical temperature-rise trajectories. Under a 5 kg load, FBG2 exhibited temperature increases of 2.2 °C, 2.2 °C, and 3.1 °C and FBG4 showed increases of 2.1 °C, 1.6 °C, and 2.7 °C, respectively.
Finally, the operation of the three-phase induction motor under common working modes at different times with different speeds and loads is carried out. Specifically, the motor operated in three separate phases—1.5 k rpm at 3 kg, 1 k rpm at 0 kg, and 2 k rpm at 5 kg—each for 25 min, and then in another set of phases at 2 k rpm at 5 kg, 250 rpm at 0 kg, and 2 k rpm at 5 kg, each also for 25 min. The test results are shown in Figure 7, presenting the time–wavelength and time–temperature variation curves of FBGs in different spatial modes under various working conditions. During the operation at 1.5 k rpm at 3 kg, 1 k rpm at 0 kg, and 2 k rpm at 5 kg, the sensors FBG1, FBG2, FBG3, and FBG4 in the LP01, LP11, LP21, and LP02 modes, the recorded temperature rises to 35.4 °C, 45.5 °C, 28.8 °C, and 28.9 °C after the first phase, respectively. Due to the minimal decrease in speed during the second phase and the heat generated from copper and iron losses in the first phase, the sensor temperatures remained relatively stable. By the end of the third phase, temperatures reached 44.1 °C, 50.4 °C, 34.5 °C, and 33.8 °C, respectively. During the operation at 2k rpm at 5 kg, 250 rpm at 0 kg, and 2k rpm at 5 kg, the sensors showed temperature fluctuations due to the significant reduction in speed and load in the middle phase, eventually reaching 43.6 °C, 50.1 °C, 34.3 °C, and 34.2 °C after the final phase. Moreover, since the conditions of the third phase in the first set and the first and second phases in the second set are the same (2k rpm–5 kg for 25 min), the temperatures achieved are similar to those in Figure 6 for the 2k rpm–5 kg test, further validating the feasibility of the proposed system.
To conduct a more comprehensive analysis of the FBG multiplexing performance based on the FMF mode diversity, an in-depth examination of the monitoring fluctuations of each spatial mode under different operational conditions of the motor is performed. For ease of understanding, the experimental conditions mentioned above are numbered. Experiments under no load and 3 kg and 5 kg loads at speeds of 1k rpm, 1.5k rpm, and 2k rpm were designated experiments 1 to 9. The multi-speed conditions of 1.5k rpm–3 kg, 1k rpm–0 kg, and 2k rpm–5 kg are labeled experiment 10, and 2k rpm–5 kg, 250 rpm–0 kg, 2k rpm–5 kg are labeled experiment 11. The performance data of FBG1, FBG2, FBG3, and FBG4 carried by LP01, LP11, LP21, and LP02 modes are illustrated in Figure 8. In this figure, the broken red and blue lines represent the maximum temperature jump, When the monitored temperature change is greater than 1 °C, it is called a jump, fluctuations in the operating conditions of the motor do not change, and the temperature rises or falls but cannot be maintained, corresponding to the right Y-axis. The red and blue histograms show the number of maximum temperature jumps and fluctuations, corresponding to the left Y-axis. Since data are recorded every 30 s, experiments 1–9 had a total of 50 data points over 25 min, and experiments 10–11 had 150 data points over 75 min. In the LP01 mode, abnormal data with jumps constituted 1.6% of the total, with a maximum temperature jump of 3.112 °C. For high-order modes like LP11, LP21, and LP02, the proportions of data with jumps are 4.5%, 0.6%, and 0.8%, respectively, with maximum temperature jumps of 3.7 °C, 2.4 °C, and 2.8 °C. The higher percentage and larger temperature jump in LP11 can be attributed to its location on the inner copper winding, where the insulation layer is stripped, leading to a wide range of temperature changes and a large number of jumps. In summary, the performance of all modes is basically the same in this respect. In terms of fluctuations, the high-order modes like LP11, LP21, and LP02 showed more fluctuations compared to the LP01 mode. There are five fluctuations in the fundamental mode, and the maximum jump temperature is 0.8 °C. In the high-order modes such as LP11, LP21, and LP02, the number of fluctuations reached 8, 6, and 10 times, respectively, and the maximum jump temperature was 0.7 °C, 0.8 °C, and 0.8 °C, respectively. This could be due to mode cross talk in the few-mode fiber and the photonic lantern, suggesting that the measurement stability of high-order modes might require more data for validation. Despite this, the inclusion of high-order modes expanded channel capacity, offering a level of performance comparable to the LP01 mode.

4. Conclusions

This paper introduces a novel multipoint optical temperature sensing method for motors based on utilizing FMF spatial mode division. By embedding FBGs carried on different spatial mode paths into various positions of the motor, it achieves synchronous multiplexed temperature monitoring of the stator winding. As a proof of concept, a mode division motor temperature FBG multiplexing system based on a photonic lantern is established, using the fundamental mode LP01 and higher-order spatial modes LP11, LP21, and LP02 as examples to conduct multiplexed experiments for multipoint temperature sensing of the motor stator. The study tested the dynamic temperature changes at different positions of the motor stator under various conditions for a three-phase induction motor at three speeds of 1k rpm, 1.5k rpm, 2k rpm with no load, 3 kg load, and 5 kg load, as well as three specific speed–load combinations of 1.5k rpm–3 kg, 1k rpm–0 kg, and 2k rpm–5 kg, and another set of three speed–load conditions of 2k rpm–5 kg, 250 rpm–0 kg, and 2k rpm–5 kg. The measurement results of each spatial model are compared and analyzed. The experimental results indicate that the motor multiple-channel temperature optical sensing system based on the fundamental spatial mode LP01 and higher-order spatial modes LP11, LP21, and LP02 can achieve real-time synchronous monitoring of the working temperature changes in different parts of the motor stator winding. Among these, the abnormal jump data of LP01 mode accounted for 1.6%, while abnormal jump data of the high-order modes LP11, LP21, and LP02 accounted for 4.5%, 0.6%, and 0.8%, respectively. The reason for the higher rate of abnormal jump data in the LP11 mode is that the testing area is on the internal copper wire winding with the insulation layer stripping, leading to a larger range of temperature changes and consequently more frequent jumps. In terms of fluctuations, while the fundamental mode LP01 showed five instances of fluctuation, the high-order modes LP11, LP21, and LP02 exhibited eight, six, and ten instances of fluctuations, respectively. The higher-order modes are more prone to fluctuations due to mode cross talk in FMFs and photonic lanterns. In summary, the scheme can simultaneously detect temperature change in different positions of the motor through various spatial modes, enhance the sensing capability of the sensor system, and reduce the cost of the multiplexing system. This scheme provides a novel approach for multiplexed sensing in monitoring multiple physical fields for motors. However, how to effectively eliminate the impact of mode cross talk and improve the stability of measurements in high-order spatial modes still requires further in-depth research.

Author Contributions

Conceptualization, methodology, and writing—original draft preparation, F.L.; software and validation, T.G.; formal analysis, investigation, and resources, W.C. All authors have read and agreed to the published version of the manuscript.

Funding

This work was supported in part by the National Natural Science Foundation of China under grant no. 62105246 and the Zhejiang Provincial Natural Science Foundation of China under grant no. LY23F050003.

Data Availability Statement

Data are contained within the article.

Conflicts of Interest

The authors declare no conflicts of interest.

References

  1. Meng, T.; Zhang, P. A Review of Thermal Monitoring Techniques for Radial Permanent Magnet Machines. Machines 2022, 10, 18. [Google Scholar] [CrossRef]
  2. Dong, H.; Ma, H.; Wang, Z.; Man, J.; Jia, L.; Qin, Y. An Online Health Monitoring Framework for Traction Motors in High-Speed Trains Using Temperature Signals. IEEE Trans. Ind. Inform. 2023, 19, 1389–1400. [Google Scholar] [CrossRef]
  3. Mohammed, A.; Djurović, S. Stator Winding Internal Thermal Monitoring and Analysis Using In Situ FBG Sensing Technology. IEEE Trans. Energy Convers. 2018, 22, 1508–1518. [Google Scholar] [CrossRef]
  4. Phuc, P.N.; Bozalakov, D.; Vansompel, H.; Stockman, K.; Crevecoeur, G. Rotor temperature virtual sensing for induction machines using alumped-parameter thermal network and dual kalman filte-ring. IEEE Trans. Energy Convers. 2021, 36, 1688–1699. [Google Scholar] [CrossRef]
  5. Milić, S.D.; Žigić, A.D.; Ponjavić, M.M. Online temperature monitoring, fault detection, and a novel heat run test of a water-cooled rotor of a hydrogenerator. IEEE Trans. Energy Convers. 2013, 28, 698–706. [Google Scholar] [CrossRef]
  6. Moise, M.V.; Pantazică, M.; Nedelcu, B.S. Implementation of a wireless measuring and data acquisition system for Hyro-generator monitoring. In Proceedings of the International Symposium for Design and Technology in Electronic Packaging, Bucharest, Romania, 26–29 October 2022; pp. 227–231. [Google Scholar]
  7. De Bernardis, P.; Columbro, F.; Masi, S.; Paiella, A.; Romeo, G. A simple method to measure the temperature and levitation height of devices rotating at cryogenic temperatures. Rev. Sci. Instrum. 2020, 91, 045118. [Google Scholar] [CrossRef]
  8. Mohammed, A.; Djurović, S. FBG Thermal Sensing Features for Hot Spot Monitoring in Random Wound Electric Machine Coils. IEEE Sens. J. 2017, 17, 3058–3067. [Google Scholar] [CrossRef]
  9. De Morais Sousa, K.; Hafner, A.A.; Carati, E.G.; Kalinowski, H.J.; da Silva, J.C.C. Validation of thermal and electrical model for induction motors using fiber Bragg gratings. Measurement 2013, 28, 698–706. [Google Scholar] [CrossRef]
  10. Mohammed, A.; Djurović, S. Electric Machine Bearing Health Monitoring and Ball Fault Detection by Simultaneous Thermo-Mechanical Fibre Optic Sensing. IEEE Trans. Energy Convers. 2021, 36, 71–80. [Google Scholar] [CrossRef]
  11. Chen, S.; Huang, J.; Liu, W.; Gu, H. Spectrum characteristics and temperature measurement error of FBG sensor based on rotor temperature monitoring system. Opt. Fiber Technol. 2023, 78, 103306. [Google Scholar] [CrossRef]
  12. Mohammed, A.; Djurović, S. FBG Thermal Sensing Ring Scheme for Stator Winding Condition Monitoring in PMSMs. IEEE Trans. Energy Convers. 2019, 5, 1370–1382. [Google Scholar] [CrossRef]
  13. Werneck, M.M.; Allil, R.C.D.S.B.; Ribeiro, B.A. Calibration and operation of a fibre Bragg grating temperature sensing system in a grid-connected hydrogenerator. IET Sci. Meas. Technol. 2013, 7, 59–68. [Google Scholar] [CrossRef]
  14. Wu, Y.H.; Liu, M.Y.; Song, H.; Li, C.; Yang, X.L. A temperature and magnetic field-based approach for stator inter-turn fault detection. IEEE Sens. J. 2022, 22, 17799–17807. [Google Scholar] [CrossRef]
  15. Yang, X.; Liu, M.; Song, H.; Zhu, S.; Wu, Y. Vibration resistance FBG temperature sensor fabrication and its application in the motor for hydraulic pump. Measurement 2022, 205, 112141. [Google Scholar] [CrossRef]
  16. Hind, D.; Gerada, C.; Galea, M.; Bartolo, J.B.; Fabian, M.; Sun, T.; Grattan, K.T. Use of Optical Fibres for Multi-parameter Monitoring in Electrical AC Machines. In Proceedings of the International Symposium on Diagnostics for Electrical Machines, Tinos, Greece, 29 August–1 September 2017; pp. 208–212. [Google Scholar]
  17. Fabian, M.; Hind, D.M.; Gerada, C.; Sun, T.; Grattan, K.T. Comprehensive Monitoring of Electrical Machine Parameters Using an Integrated Fiber Bragg Grating-Based Sensor System. J. Light. Technol. 2018, 36, 1046–1051. [Google Scholar] [CrossRef]
  18. Manie, Y.C.; Peng, P.C.; Shiu, R.K.; Hsu, Y.T.; Chen, Y.Y.; Shao, G.M.; Chiu, J. Enhancement of the multiplexing capacity and measurement accuracy of FBG sensor system using IWDM technique and deep learning algorithm. J. Light. Technol. 2020, 38, 1589–1603. [Google Scholar] [CrossRef]
  19. Yang, F.; Zhang, W.; Liu, Q.; He, Z. Silicon-microring-based interrogator for TDM-FBG sensors enabled by pulse compression. Opt. Lett. 2020, 45, 6402–6405. [Google Scholar] [CrossRef]
  20. Sikdar, D.; Tiwari, V.; Soni, A.; Jaiswal, R.; Bhanot, S. Polarization multiplexed interrogation technique for FBG sensor array. Photonic Sens. 2015, 5, 193–201. [Google Scholar] [CrossRef][Green Version]
  21. Hwang, D.; Seo, D.-C.; Kwon, I.-B.; Chuang, Y. Restoration of reflection spectra in a serial FBG sensor array of a WDM/TDM measurement system. Sensors 2012, 12, 12836–12843. [Google Scholar] [CrossRef]
  22. Marrazzo, V.R.; Fienga, F.; Sito, L.; Beni, N.; Szillasi, Z.; Riccio, M.; Buontempo, S.; Irace, A.; Breglio, G. Experimental Tests of a Full Analog Fiber Optic Monitoring System Suitable for Safety Application at CERN. IEEE Trans. Instrum. Meas. 2023, 72, 7002408. [Google Scholar] [CrossRef]
  23. Li, K.; Yuan, P.; Lu, L.; Dong, M.; Zhu, L. PLC-Based Arrayed Waveguide Grating Design for Fiber Bragg Grating Interrogation System. Nanomaterials 2022, 12, 2938. [Google Scholar] [CrossRef] [PubMed]
  24. Perry, M.; Orr, P.; Niewczas, P.; Johnston, M. High-Speed Interferometric FBG Interrogator Measurement Capability. J. Light. Technol. 2013, 31, 2897–2903. [Google Scholar] [CrossRef]
  25. Marrazzo, V.R.; Fienga, F.; Borghese, A.; Remondini, E.; Schettini, C.; Cafarelli, L.; Laudati, A.; Cusano, A.; Irace, A.; Breglio, G. IoT Node Interrogation System for Fiber Bragg Grating Sensors: Design, Characterization and On-Field Test. IEEE Trans. Instrum. Meas. 2024, 73, 2002008. [Google Scholar] [CrossRef]
  26. Ojha, K.; Mishra, D.; Appaiah, K.; Jain, D. Optimizing graded-index few-mode fiber for space division multiplexing. Opt. Express 2023, 31, 21784–21795. [Google Scholar] [CrossRef] [PubMed]
  27. Zhao, Z.; Wu, H.; Hu, J.; Zhu, K.; Dang, Y.; Yan, Y.; Tang, M.; Lu, C. Interference fading suppression in φ-OTDR using space-division multiplexed probes. Opt. Express 2021, 29, 15452–15462. [Google Scholar] [CrossRef]
  28. Grüner-Nielsen, L.; Mathew, N.M.; Galili, M.; Rishøj, L.S.; Rottwitt, K. Photonic-Lantern-Based MDM Devices. In Proceedings of the Optical Fiber Communication Conference, San Diego, CA, USA, 5–9 March 2023. [Google Scholar]
  29. Sousa, K.D.M.; Hafner, A.A.; Kalinowski, H.J.; da Silva, J.C.C. Determination of Temperature Dynamics and Mechanical and Stator Losses Relationships in a Three-Phase Induction Motor Using Fiber Bragg Grating Sensors. IEEE Sens. J. 2012, 12, 3054–3061. [Google Scholar] [CrossRef]
Figure 1. Motor stator winding synchronous temperature monitoring system based on FMF spatial mode diversity FBG multiplexing.
Figure 1. Motor stator winding synchronous temperature monitoring system based on FMF spatial mode diversity FBG multiplexing.
Electronics 13 01932 g001
Figure 2. FBG Sensor calibration test data.
Figure 2. FBG Sensor calibration test data.
Electronics 13 01932 g002
Figure 3. Curves of FBG dynamic temperature change carried by different spatial modes under different rotational speeds.
Figure 3. Curves of FBG dynamic temperature change carried by different spatial modes under different rotational speeds.
Electronics 13 01932 g003
Figure 4. Temperature distribution of stator winding points after 25 min stable operation at different speeds under no-load conditions.
Figure 4. Temperature distribution of stator winding points after 25 min stable operation at different speeds under no-load conditions.
Electronics 13 01932 g004
Figure 5. FBG temperature variation carried by different spatial modes under different load operation conditions. (a) LP01 mode, (b) LP11 mode, (c) LP21 mode, (d) LP02 mode.
Figure 5. FBG temperature variation carried by different spatial modes under different load operation conditions. (a) LP01 mode, (b) LP11 mode, (c) LP21 mode, (d) LP02 mode.
Electronics 13 01932 g005
Figure 6. Temperature distribution at various points of the stator winding during stable operation under different speeds and load conditions.
Figure 6. Temperature distribution at various points of the stator winding during stable operation under different speeds and load conditions.
Electronics 13 01932 g006
Figure 7. Dynamic temperature variation curves of stator windings in each mode under multi-speed operation. (a) LP01 mode, (b) LP11 mode, (c) LP21 mode, (d) LP02 mode.
Figure 7. Dynamic temperature variation curves of stator windings in each mode under multi-speed operation. (a) LP01 mode, (b) LP11 mode, (c) LP21 mode, (d) LP02 mode.
Electronics 13 01932 g007
Figure 8. Performance analysis of FBG sensing multiplexing with spatial mode diversity. (a) LP01 mode, (b) LP11 mode, (c) LP21 mode, (d) LP02 mode.
Figure 8. Performance analysis of FBG sensing multiplexing with spatial mode diversity. (a) LP01 mode, (b) LP11 mode, (c) LP21 mode, (d) LP02 mode.
Electronics 13 01932 g008
Disclaimer/Publisher’s Note: The statements, opinions and data contained in all publications are solely those of the individual author(s) and contributor(s) and not of MDPI and/or the editor(s). MDPI and/or the editor(s) disclaim responsibility for any injury to people or property resulting from any ideas, methods, instructions or products referred to in the content.

Share and Cite

MDPI and ACS Style

Liu, F.; Gu, T.; Chen, W. A Multiplexing Optical Temperature Sensing System for Induction Motors Using Few-Mode Fiber Spatial Mode Diversity. Electronics 2024, 13, 1932. https://doi.org/10.3390/electronics13101932

AMA Style

Liu F, Gu T, Chen W. A Multiplexing Optical Temperature Sensing System for Induction Motors Using Few-Mode Fiber Spatial Mode Diversity. Electronics. 2024; 13(10):1932. https://doi.org/10.3390/electronics13101932

Chicago/Turabian Style

Liu, Feng, Tianle Gu, and Weicheng Chen. 2024. "A Multiplexing Optical Temperature Sensing System for Induction Motors Using Few-Mode Fiber Spatial Mode Diversity" Electronics 13, no. 10: 1932. https://doi.org/10.3390/electronics13101932

APA Style

Liu, F., Gu, T., & Chen, W. (2024). A Multiplexing Optical Temperature Sensing System for Induction Motors Using Few-Mode Fiber Spatial Mode Diversity. Electronics, 13(10), 1932. https://doi.org/10.3390/electronics13101932

Note that from the first issue of 2016, this journal uses article numbers instead of page numbers. See further details here.

Article Metrics

Back to TopTop