Design and Performance Analysis of a [8/8/8] Charge Domain Mixed-Signal Multiply-Accumulator
Abstract
:1. Introduction
2. Design of Each Part and Overall Chip
2.1. RDAC
2.2. CDAC
2.3. SAR-ADC
- Step 1: Sampling
- Step 2: Equalizing
- Step 3: Cancellation and bias
2.4. Overall Configuration of the Chip
3. Performance Analysis
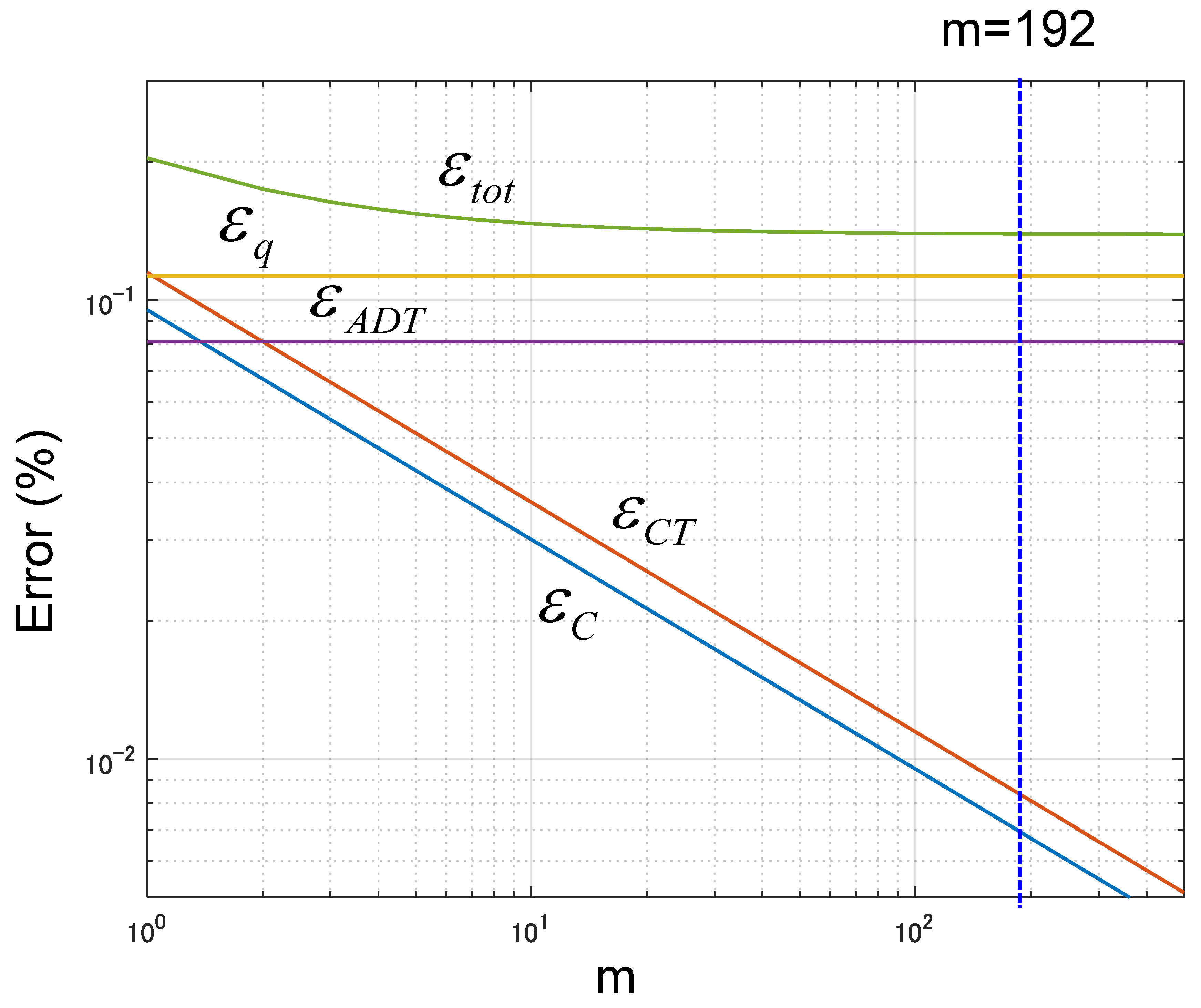
3.1. Arithmetic Accuracy
3.2. Energy Efficiency
4. Chip Fabrication and Measurement Results
5. Conclusions
Author Contributions
Funding
Data Availability Statement
Acknowledgments
Conflicts of Interest
References
- Kawamoto, R.; Taichi, M.; Kabuto, M.; Watanabe, D.; Izumi, S.; Yoshimoto, M.; Kawaguchi, H.; Matsukawa, G.; Goto, T.; Kojima, M. A 1.15-TOPS 6.57-TOPS/W Neural Network Processor for Multi-Scale Object Detection with Reduced Convolutional Operations. IEEE J. Sel. Top. Signal Process. 2020, 14, 634–645. [Google Scholar] [CrossRef]
- Bankman, D.; Yang, L.; Moons, B.; Verhels, M.; Murmann, B. An Always-On 3.8 mJ/86% CIFAR-10 Mixed-Signal Binary CNN Processor with All Memory on Chip in 28-nm CMOS. IEEE J. Solid-State Circuits 2021, 54, 158–172. [Google Scholar] [CrossRef]
- Sinangil, M.E.; Erbagci, B.; Naous, R.; Akarvardar, K.; Sun, D.; Khwa, W.-S.; Liao, H.-J.; Wang, Y.; Chang, J. A 7-nm Compute-in-Memory SRAM Macro Supporting Multi-Bit Input, Weight and Output and Achieving 351 TOPS/W and 372.4 GOPS. IEEE J. Solid-State Circuits 2021, 56, 188–198. [Google Scholar] [CrossRef]
- Xie, S.; Ni, C.; Sayal, A.; Jain, P.; Hamzaoglu, F.; Kulkarni, J.P. eDRAM-CIM: Compute-In-Memory Design with Reconfigurable Embedded-Dynamic-Memory Array Realizing Adaptive Data Converters and Charge-Domain Computing. In Proceedings of the 2021 IEEE International Solid-State Circuits Conference (ISSCC), San Francisco, CA, USA, 13–22 February 2021; pp. 248–249. [Google Scholar] [CrossRef]
- Wang, H.; Liu, R.; Dorrance, R.; Dasalukunte, D.; Liu, X.; Lake, D.; Carlton, B.; Wu, M. A 32.2 TOPS/W SRAM Compute-in Memory Macro Employing a Linear 8-bit C-2C Ladder for Charge Domain Computation in 22 nm for Edge Inference. In Proceedings of the 2022 Symposium on VLSI Technology & Circuits Digest of Technical Papers, Honolulu, HI, USA, 13–17 June 2022; pp. 36–37. [CrossRef]
- Hsieh, S.-E.; Wei, C.-H.; Xue, C.-X.; Lin, H.-W.; Tu, W.-H.; Chang, E.-J.; Yang, K.-T.; Chen, P.-H.; Liao, W.-N.; Low, L.L.; et al. A 70.85-86.27TOPS/W PVT-Insensitive 8b Word-Wise ACIM with Post-Processing Relaxation. In Proceedings of the 2023 IEEE International Solid-State Circuits Conference (ISSCC), San Francisco, CA, USA, 19–23 February 2023; pp. 136–137. [CrossRef]
- Chen, P.; Wu, M.; Zhao, W.; Cui, J.; Wang, Z.; Zhang, Y.; Wang, Q.; Ru, J.; Shen, L.; Jia, T.; et al. A 22 nm Delta-Sigma Computing-In-Memory (ΔΣCIM) SRAM Macro with Near-Zero-Mean Outputs and LSB-First ADCs Achieving 21.38TOPS/W for 8b-MAC Edge AI Processing. In Proceedings of the 2023 IEEE International Solid-State Circuits Conference (ISSCC), San Francisco, CA, USA, 19–23 February 2023; pp. 140–141. [CrossRef]
- Jia, H.; Ozatay, M.; Tang, Y.; Valavi, H.; Pathak, R.; Lee, J.; Verma, N. A Programmable Neural-Network Inference Accelerator Based on Scalable In-Memory Computing. In Proceedings of the 2021 IEEE International Solid-State Circuits Conference (ISSCC), San Francisco, CA, USA, 13–22 February 2021; pp. 236–238. [Google Scholar] [CrossRef]
- Xue, C.-X.; Hung, J.-M.; Kao, H.-Y.; Huang, Y.-H.; Huang, S.-P.; Chang, F.-C.; Chen, P.; Liu, T.-W.; Jhang, C.-J.; Su, C.-I.; et al. A 22 nm 4 Mb 8b-Precision ReRAM Computing-in-Memory Macro with 11.91 to 195.7TOPS/W for Tiny AI Edge Devices. In Proceedings of the 2021 IEEE International Solid-State Circuits Conference (ISSCC), San Francisco, CA, USA, 13–22 February 2021; pp. 245–247. [Google Scholar] [CrossRef]
- Khaddam-Aljameh, R.; Stanisavljevic, M.; Mas, J.F.; Karunaratne, G.; Brandli, M.; Liu, F.; Singh, A.; Muller, S.M.; Egger, U.; Petropoulos, A.; et al. HERMES-Core—A 1.59-TOPS/mm2 PCM on 14-nm CMOS In-Memory Compute Core Using 300-ps/LSB Linearized CCO-Based ADCs. IEEE J. Solid-State Circuits 2022, 57, 1027–1038. [Google Scholar] [CrossRef]
- Pelgrom, M. Analog-to-Digital Conversion, 3rd ed.; Springer: Berlin/Heidelberg, Germany, 2016. [Google Scholar] [CrossRef]
- Tripathi, V.; Murmann, B. Mismatch Characterization of Small Metal Fringe Capacitors. IEEE Trans. Circuits Syst. I Regul. Pap. 2014, 61, 2236–2242. [Google Scholar] [CrossRef]
- Duppils, M.; Eklund, J.-E.; Svenson, C. A Novel Mixed Analog/Digital MAC Unit Implemented with SC Technique Suitable for Fully Programmable Narrow-Band FIR filter Applications. In Proceedings of the ICECS’99. 6th IEEE International Conference on Electronics, Circuit and Systems, Pafos, Cyprus, 5–8 September 1999; pp. 1197–1200. [Google Scholar] [CrossRef]
- Li, J.; He, W.; Zhang, B.; Qi, L.; He, G.; Seok, M. CCSA: A 394TOPS/W Mixed-Signal GPS Accelerator with Charge-Based Correlation Computing for Signal Acquisition. In Proceedings of the 2023 IEEE International Solid-State Circuits Conference (ISSCC), San Francisco, CA, USA, 19–23 February 2023; pp. 430–431. [Google Scholar] [CrossRef]
- Yamasaki, T.; Nakayama, T.; Shibata, T. A Low-Power and Compact CDMA Matched Filter Based on Switched-Current Technology. IEEE J. Solid-State Circuits 2005, 40, 926–932. [Google Scholar] [CrossRef]
- Cao, J.; Cui, D.; Nazemi, A.; He, T.; Li, G.; Catli, B.; Khanpour, M.; Hu, K.; Ali, T.; Zhang, H.; et al. A Transmitter and Receiver for 100 Gb/s Coherent Networks with Integrated 4 × 64 GS/s 8b ADCs and DACs in 20 nm CMOS. In Proceedings of the IEEE International Solid-State Circuits Conference, San Francisco, CA, USA, 5–9 February 2017; pp. 484–485. [Google Scholar]






















| [3] | [8] | [9] | [10] | [11] | This Work | |
|---|---|---|---|---|---|---|
| Technology [nm] | 7 | 16 | 22 | 22 | 14 | 28 |
| Area [mm2] | 0.0032 7 | 25 3 | 6 2 | 0.25 3 | 0.63 5 | 1.1 6/7.15 3 |
| X/W/Y [bit] | 4/4/4 | 4/4/8 | 8/8/14 | 8/8/8 | 8/Analog/8 | 8/8/8 |
| Operation Frequency [MHz] | 181.8 8 | 200 | - | 145–240 | 1000 | 180 |
| ADC architecture | Flash | SAR | Sense-Amp | - | CCO-based | SAR |
| Peak Performance [GOPS] | 372.4/186.2 1 | 11.8K/5.9K 1 | 35 | 1000 | 1008 10 | 4423 9 |
| Energy Efficiency [TOPS/W] | 351/175.5 1 | 121/60.5 1 | 11.91 | 32.2 | 10.5 10 | 241.1 4: Macro 64.4 4: System (TsRDAC = 1.0ns) |
| Area Efficiency (TOPS/mm2) | 116.3/58.1 1 | 2.67/1.34 1 | 0.013 | 4 | 1.59 10 | 4.02 6 |
| r-MVM error [%FS] | - | - | - | σ = 0.65 | σ = 1.94 | σ = 1.1 |
Disclaimer/Publisher’s Note: The statements, opinions and data contained in all publications are solely those of the individual author(s) and contributor(s) and not of MDPI and/or the editor(s). MDPI and/or the editor(s) disclaim responsibility for any injury to people or property resulting from any ideas, methods, instructions or products referred to in the content. |
© 2023 by the authors. Licensee MDPI, Basel, Switzerland. This article is an open access article distributed under the terms and conditions of the Creative Commons Attribution (CC BY) license (https://creativecommons.org/licenses/by/4.0/).
Share and Cite
Matsuzawa, A.; Martinez Alonso, A.; Miyahara, M. Design and Performance Analysis of a [8/8/8] Charge Domain Mixed-Signal Multiply-Accumulator. Electronics 2024, 13, 50. https://doi.org/10.3390/electronics13010050
Matsuzawa A, Martinez Alonso A, Miyahara M. Design and Performance Analysis of a [8/8/8] Charge Domain Mixed-Signal Multiply-Accumulator. Electronics. 2024; 13(1):50. https://doi.org/10.3390/electronics13010050
Chicago/Turabian StyleMatsuzawa, Akira, Abdel Martinez Alonso, and Masaya Miyahara. 2024. "Design and Performance Analysis of a [8/8/8] Charge Domain Mixed-Signal Multiply-Accumulator" Electronics 13, no. 1: 50. https://doi.org/10.3390/electronics13010050
APA StyleMatsuzawa, A., Martinez Alonso, A., & Miyahara, M. (2024). Design and Performance Analysis of a [8/8/8] Charge Domain Mixed-Signal Multiply-Accumulator. Electronics, 13(1), 50. https://doi.org/10.3390/electronics13010050

