Influence Analysis and Control Method of Ultra-Low Frequency Oscillation in a Hydro-Dominant Sending Power System with Wind Power Integration
Abstract
:1. Introduction
- (1)
- The occurrence scenarios of ULFOs are developed by considering wind power integration. Thus, based on the mechanism of ULFOs in asynchronous hydropower systems, the influence of wind power generators on frequency oscillation is innovatively investigated, and some determined factors are defined, which makes it clearer to deal with the consumption of sustainable wind energy.
- (2)
- The control method is proposed based on wind power to suppress ULFOs. First, the identification algorithm is utilized to obtain the model of the power system. Then, the additional damping control based on mixed H2/H∞ robust control theory is proposed to strengthen the damping of the sending system. Subsequently, both frequency response performance and frequency oscillation suppression ability can be guaranteed, and this is significant for promoting the stable operation of a low-carbon energy base.
2. The Mechanism of Ultra-Low-Frequency Oscillation
2.1. The Hydropower Generator Model
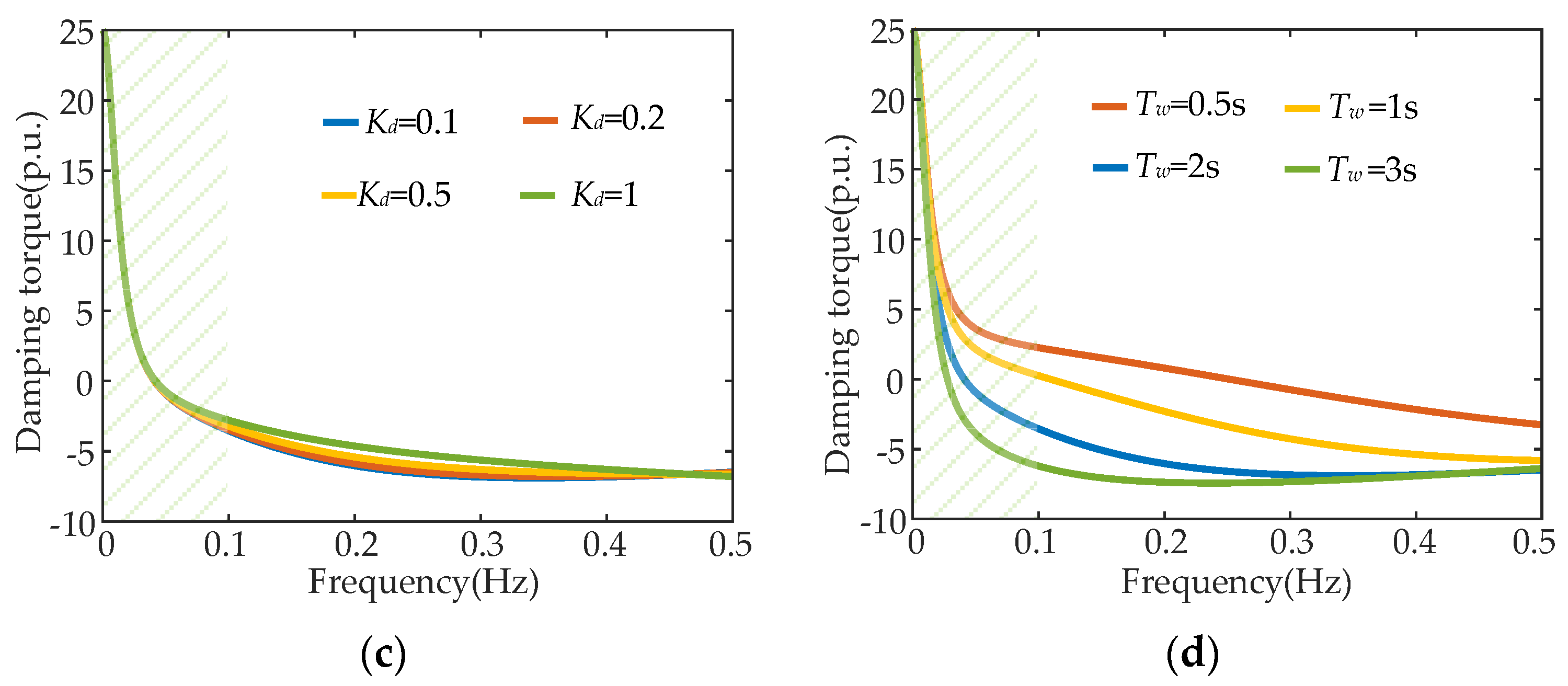
2.2. The Damping Torque of the Hydropower Unit
2.3. The Mechanism Analysis of ULFOs
3. The Influence of Wind Integration on ULFO in a Hydro-Dominated System
3.1. The Model of a Doubly Fed Induction Generator
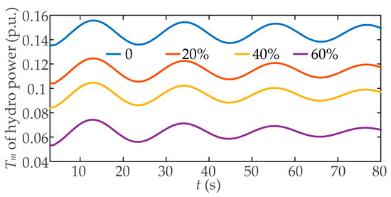
3.2. The Influence of the Integration of Wind Power on ULFO
3.2.1. Constant Capacity of the Hydropower Unit
3.2.2. Constant Capacity of the Sending Power System
4. The Suppression Method of ULFO of a Hydro-Wind Sending System
4.1. The H2/H∞ Robust Control Method
4.1.1. System Identification Based on the TLS-ESPRIT Algorithm
4.1.2. H2/H∞ Mixed Robust Control
4.2. The Robust Controller Design for ULFO Suppression
4.2.1. H∞ Performance
4.2.2. H2 Performance
4.2.3. Damping Improvement by the Linear Matrix Inequality Method
4.2.4. Multi-Objective Damping Optimization
5. Simulations and Verification
5.1. Robust Damping Controller Design for ULFO Suppression
5.2. The Simulations of the Control Method
5.2.1. Simulation Verification under a Small Disturbance
5.2.2. Simulation Verification under a Large Disturbance
6. Conclusions
- (1)
- ULFO is caused by severe fluctuations in mechanical torque more than electromagnetic torque, so unlike the LFO issue, ULFO is within the scope of frequency stability.
- (2)
- The influence of wind power integration on ULFO mode has a relationship with integration forms. In hydro-dominant power systems, the influence of constant sending system capacity is more significant than constant hydropower generation.
- (3)
- If the sending system capacity is constant or if DFIGs replace hydro units of equal capacity, the increased wind power is instrumental in ULFO suppression, and its impact on the oscillation frequency is minimal. On the contrary, in the form of constant hydropower capacity, a higher wind power penetration rate slightly weakens the damping of the system and has little impact on oscillation frequency.
- (4)
- The integration of wind power provides a considerable option for ULFO suppression without sacrificing governor performance. H2/H∞ multi-objective robust control can quickly and effectively restrain ULFO when configured in the RSC control of DFIGs, and it performs well with more than a 10% damping ratio improvement and satisfies robustness optimization.
- (5)
- In addition to wind power, the integration of photovoltaic power generation and the practicality of the proposed controller of various wind power units are also necessary to be further investigated.
Author Contributions
Funding
Data Availability Statement
Acknowledgments
Conflicts of Interest
References
- United Nations Environment Programme, Renewables 2022 Global Status Report (ren21.net). Available online: https://www.ren21.net/gsr-2022 (accessed on 12 January 2023).
- Schleif, F.R.; White, J.H. Damping for the Northwest-Southwest Tieline Oscillations—An Analog Study. IEEE Trans. Power Appar. Syst. 1966, PAS-85, 1239–1247. [Google Scholar] [CrossRef]
- Dandeno, P.L.; Kundur, P.; Bayne, J.P. Hydraulic unit dynamic performance under normal and islanding conditions—Analysis and validation. IEEE Trans. Power Appar. Syst. 1978, PAS-97, 2134–2143. [Google Scholar] [CrossRef]
- Pico, H.V.; McCalley, J.D.; Angel, A.; Leon, R.; Castrillon, N.J. Analysis of very low frequency oscillations in hydro-dominant power systems using multi-unit modeling. IEEE Trans. Power Syst. 2012, 27, 1906–1915. [Google Scholar] [CrossRef]
- Liu, C.; Zhang, J.; Chen, Y.; Xu, M. Mechanism Analysis and Simulation on Ultra Low Frequency Oscillation of Yunnan Power Grid in Asynchronous Interconnection Mode. South. Power Syst. Technol. 2016, 10, 29–34. [Google Scholar]
- Chen, G.; Tang, F.; Shi, H.; Yu, R.; Wang, G.; Ding, L.; Liu, B.; Lu, X. Optimization strategy of hydro-governors for eliminating ultra-low frequency oscillations in hydro-dominant power systems. IEEE J. Emerg. Sel. Top. Power Electron. 2018, 6, 1086–1094. [Google Scholar] [CrossRef]
- Mantzaris, J.C.; Metsiou, A.; Vournas, C.D. Analysis of interarea oscillations including governor effects and stabilizer design in south-eastern Europe. IEEE Trans. Power Syst. 2013, 28, 4948–4956. [Google Scholar] [CrossRef]
- Pico, H.N.V.; Aliprantis, D.C.; McCalley, J.D.; Elia, N.; Castrillon, N.J. Analysis of hydro coupled power plants and design of robust control to damp oscillatory modes. IEEE Trans. Power Syst. 2015, 30, 632–643. [Google Scholar] [CrossRef]
- Wang, G.; Xu, Z.; Guo, X.; Xiao, L. Mechanism analysis and suppression method of ultra-low-frequency oscillations caused by hydropower units. Int. J. Electr. Power Energy Syst. 2018, 103, 102–114. [Google Scholar] [CrossRef]
- Mo, W.; Chen, Y.; Chen, H.; Liu, Y.; Zhang, Y.; Hou, J.; Gao, Q.; Li, C. Analysis and measures of ultra-low frequency oscillations in a large-scale hydropower transmission system. IEEE J. Emerg. Sel. Top. Power Electron. 2018, 6, 1077–1085. [Google Scholar] [CrossRef]
- Chen, L.; Min, Y.; Lu, X.; Xu, X.; Li, Y.; Zhang, Y.; Chen, Q. Online emergency control to suppress frequency oscillations based on damping evaluation using dissipation energy flow. Int. J. Electr. Power Energy Syst. 2018, 103, 414–420. [Google Scholar] [CrossRef]
- Xue, Y.; Bin, Z. Analysis of Mode Interaction in Ultra-low Frequency Oscillation Based on Trajectory Eigenvalue. J. Mod. Power Syst. Clean Energy 2020, 8, 1208–1220. [Google Scholar] [CrossRef]
- Kundur, P. Power System Stability and Control; McGraw-Hill: New York, NY, USA, 1994. [Google Scholar]
- Wang, P.; Jiang, Q.; Li, B.; Liu, T.; Li, X.; Chen, G.; Zeng, X.; Blaabjerg, F. Ultra-low frequency oscillation analysis considering thermal-hydropower proportion. Int. J. Electr. Power Energy Syst. 2023, 148, 108919. [Google Scholar] [CrossRef]
- Lu, X.; Li, C.; Liu, D.; Zhu, Z.; Tan, X. Influence of water diversion system topologies and operation scenarios on the damping characteristics of hydropower units under ultra-low frequency oscillations. Energy 2022, 239, 122679. [Google Scholar] [CrossRef]
- Seppanen, J.; Lehtonen, M.; Kuivaniemi, M.; Haarla, L. Long Term Characteristics of Ultra Low Frequency Oscillations in the Nordic Power System. In Proceedings of the 2022 IEEE PES Innovative Smart Grid Technologies Conference Europe (ISGT-Europe), Novi Sad, Serbia, 10–12 October 2022; pp. 1–5. [Google Scholar]
- Yang, W.; Yang, J.; Zeng, W.; Tang, R.; Hou, L.; Ma, A.; Zhao, Z.; Peng, Y. Experimental investigation of theoretical stability regions for ultra-low frequency oscillations of hydropower generating systems. Energy 2019, 186, 115816. [Google Scholar] [CrossRef]
- Chen, L.; Lu, X.; Min, Y.; Zhang, Y.; Chen, Q.; Zhao, Y.; Ben, C. Optimization of governor parameters to prevent frequency oscillations in power systems. IEEE Trans. Power Syst. 2017, 33, 4466–4474. [Google Scholar] [CrossRef]
- Jiang, C.; Zhou, J.; Shi, P.; Huang, W.; Gan, D. Ultra-low frequency oscillation analysis and robust fixed order control design. Int. J. Electr. Power Energy Syst. 2019, 104, 269–278. [Google Scholar] [CrossRef]
- Zhang, G.; Zhao, J.; Hu, W.; Cao, D.; Duan, N.; Chen, Z.; Blaabjerg, F. Deep Reinforcement Learning Enabled Bi-Level Robust Parameter Optimization of Hydropower-Dominated Systems for Damping Ultra-Low Frequency Oscillation. J. Mod. Power Syst. Clean Energy 2023, 11, 1770–1783. [Google Scholar] [CrossRef]
- Xie, R.; Kamwa, I.; Rimorov, D.; Moeini, A. Fundamental study of common mode small-signal frequency oscillations in power systems. Int. J. Electr. Power Energy Syst. 2019, 106, 201–209. [Google Scholar] [CrossRef]
- Zhang, G.; Hu, W.; Zhao, J.; Cao, D.; Chen, Z.; Blaabjerg, F. A Novel Deep Reinforcement Learning Enabled Multi-Band PSS for Multi-Mode Oscillation Control. IEEE Trans. Power Syst. 2021, 36, 3794–3797. [Google Scholar] [CrossRef]
- Shi, X.; Ruan, G.; Lu, H.; Chen, H.; Cai, W.; Ron, H.; Chen, G.; Zhao, Y. Analysis of Ultra-Low Frequency Oscillation in Hydro-Dominant Power System and Suppression Strategy by GPSS. IEEE Trans. Ind. Appl. 2023, 59, 2796–2806. [Google Scholar] [CrossRef]
- Gao, Q.; Chen, Y.; Zhu, L. Strategy Design of Frequency Limit Controller on Multi-HVDC Asynchronous Interconnected Power System. Autom. Electr. Power Syst. 2018, 42, 167–172. [Google Scholar]
- Rimorov, D.; Kamwa, I.; Joos, G. Quasi-steady-state approach for analysis of frequency oscillations and damping controller design. IEEE Trans. Power Syst. 2016, 31, 3212–3220. [Google Scholar] [CrossRef]
- Li, D.; Jiang, M.-R.; Li, M.-W.; Hong, W.-C.; Xu, R.-Z. A floating offshore platform motion forecasting approach based on EEMD hybrid ConvLSTM and chaotic quantum ALO. Appl. Soft Comput. 2023, 144, 110487. [Google Scholar] [CrossRef]
- Arani, M.F.M.; Mohamed, Y.A.-R.I. Analysis and damping of mechanical resonance of wind power generators contributing to frequency regulation. IEEE Trans. Power Syst. 2017, 32, 3195–3204. [Google Scholar] [CrossRef]
- Sun, L.; Zhao, X. Modelling and Analysis of Frequency-Responsive Wind Turbine Involved in Power System Ultra-Low Frequency Oscillation. IEEE Trans. Sustain. Energy 2022, 13, 844–855. [Google Scholar] [CrossRef]



















| Operation Mode | Capacity of Hydropower PHY (MW) | Capacity of Wind Power Pw (MW) |
|---|---|---|
| Constant hydropower | 820 MW | 0~1220 MW |
| Constant sending system power | 520~1300 MW | 0~780 MW |
| Penetration of Wind Power | Oscillation Frequency (Hz) | Damping Ratio (%) |
|---|---|---|
| 0 | 0.04712 | 0.4799 |
| 20% | 0.04719 | 0.4838 |
| 40% | 0.04723 | 0.4509 |
| 60% | 0.04733 | 0.4298 |
| Penetration of Wind Power | Oscillation Frequency (Hz) | Damping Ratio (%) |
|---|---|---|
| 0 | 0.04712 | 0.0256 |
| 20% | 0.04720 | 0.3720 |
| 40% | 0.04723 | 0.4509 |
| 60% | 0.04726 | 0.5813 |
| Symbol of Hydropower | Value | Symbol of Wind Power | Value |
|---|---|---|---|
| Kp | 4 | H | 2 |
| Ki | 2 | D | 0.0001 p.u. |
| Kd | 0.5 | Kdroop | 0.1 |
| TJ | 10 s | Vspeed | 11 m/s |
| Bp | 0.04 | Pw | 500 MW |
| Tw | 2.5 s | Phy | 650 MW |
| ULFO Mode | Without Control | With PI Control | With Robust Control |
|---|---|---|---|
| Frequency (Hz) | 0.0472 | 0.0469 | 0.0448 |
| Damping ratio (%) | 4.53 | 5.46 | 15.2 |
| ULFO Mode | Without Control | With PI Control | With Robust Control |
|---|---|---|---|
| Frequency (Hz) | 0.0472 | 0.047 | 0.0447 |
| Damping ratio (%) | 4.53 | 5.99 | 15.3 |
Disclaimer/Publisher’s Note: The statements, opinions and data contained in all publications are solely those of the individual author(s) and contributor(s) and not of MDPI and/or the editor(s). MDPI and/or the editor(s) disclaim responsibility for any injury to people or property resulting from any ideas, methods, instructions or products referred to in the content. |
© 2023 by the authors. Licensee MDPI, Basel, Switzerland. This article is an open access article distributed under the terms and conditions of the Creative Commons Attribution (CC BY) license (https://creativecommons.org/licenses/by/4.0/).
Share and Cite
Chen, G.; Zeng, X.; Shi, H.; Wang, B.; Li, G.; Jiang, Q.; Wang, Y.; Li, B. Influence Analysis and Control Method of Ultra-Low Frequency Oscillation in a Hydro-Dominant Sending Power System with Wind Power Integration. Electronics 2024, 13, 31. https://doi.org/10.3390/electronics13010031
Chen G, Zeng X, Shi H, Wang B, Li G, Jiang Q, Wang Y, Li B. Influence Analysis and Control Method of Ultra-Low Frequency Oscillation in a Hydro-Dominant Sending Power System with Wind Power Integration. Electronics. 2024; 13(1):31. https://doi.org/10.3390/electronics13010031
Chicago/Turabian StyleChen, Gang, Xueyang Zeng, Huabo Shi, Biao Wang, Gan Li, Qin Jiang, Yongfei Wang, and Baohong Li. 2024. "Influence Analysis and Control Method of Ultra-Low Frequency Oscillation in a Hydro-Dominant Sending Power System with Wind Power Integration" Electronics 13, no. 1: 31. https://doi.org/10.3390/electronics13010031
APA StyleChen, G., Zeng, X., Shi, H., Wang, B., Li, G., Jiang, Q., Wang, Y., & Li, B. (2024). Influence Analysis and Control Method of Ultra-Low Frequency Oscillation in a Hydro-Dominant Sending Power System with Wind Power Integration. Electronics, 13(1), 31. https://doi.org/10.3390/electronics13010031

