Performance Analysis of Learning-Based Disturbance Observer for Pulsed Superconducting Cavity Field Control
Abstract
1. Introduction
1.1. Literature Review
2. Materials and Methods
2.1. Cavity Model
- W = The electromagnetic energy stored in the cavity;
- = The dissipated RF power in the cavity wall; = The RF power reflected back to transmission line from the cavity.
2.2. DOB Control
2.3. Learning-Based DOB
2.4. Modified Learning-Based DOB for Field Control Problem
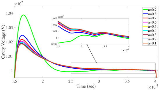
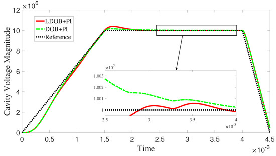
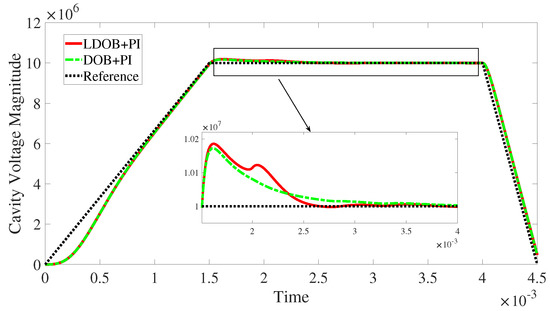
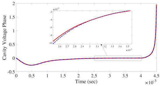
3. Results and Discussion
4. Conclusions
Author Contributions
Funding
Acknowledgments
Conflicts of Interest
Abbreviations
| DOB | Disturbance Observer |
| LDOB | Learning-based Disturbance observer |
| RF | Radio frequency |
| SRF | Superconducting radio frequency |
| PI | Proportional Integral |
| ILC | Iterative learning control |
| LFD | Lorentz force detuning |
| ADRC | Active disturbance rejection control |
| ILC | Iteratiuve learning control |
| DSP | Digital signal processing |
| CW | Continuous wave |
| IMP | Institute of modern physics |
| IQ | Inphase Quadrature |
| LLRF | Low level Radio frequency |
References
- Wolfgang, M. Superconducting Cavities: Basics; CERN: Geneva, Switzeland, 1996; Available online: https://cds.cern.ch/record/308015/files/p167.pdf (accessed on 22 March 2023).
- Hitoshi, Y. The International Linear Collider project—Its physics and status. Symmetry 2021, 13, 74. [Google Scholar]
- Solyak, N.; Cullerton, E.; Einstein-Curtis, J.; Harms, E.; Hartsell, B.; Holzbauer, J.; Khabiboulline, T.; Lunin, A.; Napoly, O.; Pischalnikov, Y.; et al. Performance of the first LCLS-II cryomodules: Issue and solutions. In Proceedings of the 9th International Particle Accelerator Conference (IPAC2018), Vancouver, BC, Canada, 9–13 September 2018. [Google Scholar]
- Weise, H. The European XFEL based on superconducting technology. In Proceedings of the 14th International Conference on RF Superconducting (SRF2009), Berlin, Germany, 20–25 September 2009. [Google Scholar]
- Hou, T. SRF status of the SHINE project at Shanghai. In Proceedings of the 19th International Conference on RF Superconducting (SRF2019), Dresden, Germany, 30 June 30–5 July 2019. [Google Scholar]
- Wang, Y.; Liu, H.C.; Li, A.H.; Li, B.; Fan, M.X.; Qu, P.H.; Wu, X.L.; Cheng, Q.; Dai, J.P.; Sha, P.; et al. Optimization of SC cavity type for CSNS linac upgrade. In Proceedings of the 10th International Particle Accelerator Conference (IPAC2019), Melbourne, Australia, 19–24 May 2019. [Google Scholar]
- Wang, Z.J.; He, Y.; Jia, H.; Dou, W.P.; Chen, W.L.; Zhang, X.L.; Liu, S.H.; Feng, C.; Tao, Y.; Wang, W.S.; et al. Beam commissioning for a superconducting proton linac. Phys. Rev. Accel. Beams 2016, 19, 120101. [Google Scholar] [CrossRef]
- Akemoto, M.; Arakawa, D.; Asaoka, S.; Cenni, E.; Egi, M.; Enami, K.; Endo, K.; Fukuda, S.; Furuya, T.; Haga, K.; et al. Construction and commissioning of compact energy-recovery linac at KEK. Nucl. Instrum. Methods Phys. Res. 2018, 877, 197–219. [Google Scholar] [CrossRef]
- Liu, S.H.; Wang, Z.J.; Jia, H.; He, Y.; Dou, W.P.; Qin, Y.S.; Chen, W.L.; Yan, F. Physics design of the CIADS 25 MeV demo facility. Nucl. Instrum. Methods Phys. Res. 2017, 843, 11–17. [Google Scholar] [CrossRef]
- Qiu, F.; Zhu, Z.; Ma, J.; Jiang, T.; Xue, Z.; Gao, Z.; Chen, Q.; Xu, C.; Huang, G.; He, Y.; et al. An approach to characterize Lorentz force transfer function for superconducting cavities. Nucl. Instru. Methods Phys. Res. Sect. A Accel. Spectrometers Detect. Assoc. Equip. 2021, 1012, 165633. [Google Scholar] [CrossRef]
- Geng, Z.; Simrock, S. Sources of field perturbations. In Proceedings of the 4th Linear Collider School, Beijing, China, 25 September 2009. [Google Scholar]
- Simrock, S.; Petrosyan, G.; Facco, A.; Zviagintsev, V.; Andreoli, S.; Paparella, R. First demonstration of microphonic control of a superconducting cavity with a fast piezoelectric tuner. In Proceedings of the 2003 Particle Accelerator Conference, Portland, OR, USA, 12–16 May 2003; IEEE: New York, NY, USA, 2003; Volume 1, pp. 470–472. [Google Scholar]
- Qiu, F.; Miura, T.; Arakawa, D.; Higashi, N.; Honda, Y.; Kako, E.; Matsumoto, T.; Michizono, S.; Miyajima, T.; Obina, T.; et al. Application of disturbance observer-based control on pulsed superconducting radio frequency cavities. Phys. Rev. Spec. Top.-Accel. Beams 2021, 24, 012804. [Google Scholar] [CrossRef]
- Qiu, F.; Michizono, S.; Miura, T.; Matsumoto, T.; Liu, N.; Wibowo, S.B. Real-time cavity simulator-based low-level radio-frequency test bench and applications for accelerators. Phys. Rev. Accel. Beams 2018, 21, 032003. [Google Scholar] [CrossRef]
- Simrock, S.; Geng, Z. Cavity field control. In Proceedings of the 8th International school on Linear Collider, Antalya, Turkey, 4–15 December 2013. [Google Scholar]
- Nguyen, X.; Nguyen, N.; Nguyen, T.; Pham, D.B.; Vu, M.T.; Ngoc Thanh, H.; Hong, H.K. Quadcopter precision landing on moving targets via disturbance observer-based controller and autonomous landing planner. IEEE Access 2022, 10, 83580–83590. [Google Scholar]
- Sang Wook, H.; Park, B.S. Disturbance observer-based control for trajectory tracking of a quadrotor. Electronics 2020, 9, 1624. [Google Scholar] [CrossRef]
- Qian, Y.; Xie, Y.; Jia, J.; Zhang, L. Design of Active Vibration Isolation Controller with Disturbance Observer-Based Linear Quadratic Regulator for Optical Reference Cavities. Sensors 2023, 23, 302. [Google Scholar] [CrossRef] [PubMed]
- Dalwadi, N.; Deb, D.; Ozana, S. Dual Observer Based Adaptive Controller for Hybrid Drones. Drones 2023, 7, 48. [Google Scholar] [CrossRef]
- Huang, S.-C. Numerical Simulation and Control of Mechanical and Mechatronic Systems. Symmetry 2023, 15, 186. [Google Scholar] [CrossRef]
- Qiu, F.; Michizono, S.; Matsumoto, T.; Miura, T. Combined disturbance observer-based control and iterative learning control design for pulsed superconducting radio frequency cavities. Nucl. Sci. Tech. 2021, 32, 1–12. [Google Scholar] [CrossRef]
- Geng, Z. Superconducting cavity control and model identification based on active disturbance rejection control. IEEE Trans. Nucl. Sci. 2017, 64, 951–958. [Google Scholar] [CrossRef]
- Zhang, D.; Wu, T.; Shi, S.; Dong, Z. A modified active-disturbance-rejection control with sliding modes for an uncertain system by using a novel reaching law. Electronics 2022, 11, 2392. [Google Scholar] [CrossRef]
- Li, D.; Wang, Q.; Zhang, P.; Mi, Z.; Zhang, X.; Lin, H. Active microphonics noise suppression based on dob control in 166.6-MHz superconducting cavities for heps. Radiat. Detect. Technol. Methods 2021, 5, 153–160. [Google Scholar]
- Geng, Z. Rf control optimization and automation for normal conducting linear accelerators. IEEE Trans. Nucl. Sci. 2017, 64, 2361–2368. [Google Scholar] [CrossRef]
- Xu, C.; Ma, J.; Huang, G.; Wang, Z. Simulation analysis of llrf feedforward compensation to beam loading for CiADS linac. In Proceedings of the 10th International Particle accelerator Conference (IPAC2019), Melbourne, Australia, 19–24 May 2019. [Google Scholar]
- Zheng, M.; Lyu, X.; Liang, X.; Zhang, F. A generalized design method for learning-based disturbance observer. IEEE/ASME Trans. Mechatron. 2020, 26, 45–54. [Google Scholar] [CrossRef]
- Schilcher, T. Vector Sum Control of Pulsed Acceerating Fields in Lorentze Force Detuned Superconducting Cavities. Ph.D. Thesis, Universitat Hamburg, Hamburg, Germany, 1998. [Google Scholar]
- Czarski, T.; Pozniak, K.T.; Romaniuk, R.S.; Simrock, S. TESLA cavity modeling and digital implementation with FPGA technology solution for control system development. In Photonics Applications in Astronomy, Communications, Industry, and High-Energy Physics Experiments II; SPIE: Bellingham, WA, USA, 2004; Volume 5484, pp. 111–129. [Google Scholar]
- Simrock, S.; Geng, Z. RF System Model. In Low-Level Radio Frequency Systems, 1st ed.; Springer: Cham, Switzerland, 2022; pp. 35–80. [Google Scholar]
- Li, S.; Yang, J.; Chen, W.; Chen, X. Linear disturbance Estimator. In Disturbance Observer-Based Control, 1st ed.; Taylor & Francis Group: Boca Raton, FL, USA; CRC Press: Boca Raton, FL, USA, 2014; pp. 27–29. [Google Scholar]
- Xu, C.; Zhu, Z.; Qiu, F.; Jiang, T.; Chen, Q.; Gao, Z.; Ma, J.; Shi, L.; Jiang, G.; Xue, Z.; et al. Application of a modified iterative learning control algorithm for superconducting radio-frequency cavities. Nucl. Instru. Methods Phys. Res. Sect. Accel. Spectrometers Detect. Assoc. Equip. 2022, 1026, 166237. [Google Scholar] [CrossRef]












| Cavity Parameter | Symbol | Relation with Circuit Parameter |
|---|---|---|
| Resonance Frequency | ||
| Unloaded Quality Factor | ||
| External Quality Factor | ||
| Coupling Factor | ||
| Loaded Quality Factor | ||
| Normalized Shunt Impedance | ||
| Loaded Resistance | ||
| Half Bandwidth |
| Element | Symbol | Impedance in s Domain | Impedance in Domain |
|---|---|---|---|
| Resistance | R | R | R |
| Capacitance | C | ||
| Inductance | L |
| Detuning | PI + DOB | PI + LDOB | ||||||
|---|---|---|---|---|---|---|---|---|
| 0 Hz | 0 | 0 | 0 | 0 | ||||
| Hz | ||||||||
| Hz | ||||||||
| Hz | ||||||||
| Hz | ||||||||
| Hz | ||||||||
| Hz | ||||||||
| a | %Overshoot | A/A (% rms) |
|---|---|---|
| 0.9 | 3.88 | 0.0447 |
| 0.8 | 2.47 | 0.0849 |
| 0.7 | 2.17 | 0.1067 |
| 0.6 | 2.05 | 0.1161 |
| 0.5 | 1.97 | 0.1213 |
| 0.4 | 1.93 | 0.1245 |
| 0.3 | 1.90 | 0.1267 |
| 0.2 | 1.88 | 0.1283 |
| 0.1 | 1.86 | 0.1295 |
Disclaimer/Publisher’s Note: The statements, opinions and data contained in all publications are solely those of the individual author(s) and contributor(s) and not of MDPI and/or the editor(s). MDPI and/or the editor(s) disclaim responsibility for any injury to people or property resulting from any ideas, methods, instructions or products referred to in the content. |
© 2023 by the authors. Licensee MDPI, Basel, Switzerland. This article is an open access article distributed under the terms and conditions of the Creative Commons Attribution (CC BY) license (https://creativecommons.org/licenses/by/4.0/).
Share and Cite
Toor, W.A.; Ashraf, M. Performance Analysis of Learning-Based Disturbance Observer for Pulsed Superconducting Cavity Field Control. Electronics 2023, 12, 1556. https://doi.org/10.3390/electronics12071556
Toor WA, Ashraf M. Performance Analysis of Learning-Based Disturbance Observer for Pulsed Superconducting Cavity Field Control. Electronics. 2023; 12(7):1556. https://doi.org/10.3390/electronics12071556
Chicago/Turabian StyleToor, Waqas Ahmed, and Muhammad Ashraf. 2023. "Performance Analysis of Learning-Based Disturbance Observer for Pulsed Superconducting Cavity Field Control" Electronics 12, no. 7: 1556. https://doi.org/10.3390/electronics12071556
APA StyleToor, W. A., & Ashraf, M. (2023). Performance Analysis of Learning-Based Disturbance Observer for Pulsed Superconducting Cavity Field Control. Electronics, 12(7), 1556. https://doi.org/10.3390/electronics12071556
