Design of Broadband Low-RCS Array Antennas Based on Characteristic Mode Cancellation
Abstract
1. Introduction
- A method of low-RCS array antenna design based on CMC is presented.
- A dual-linear polarization low−RCS microstrip array antenna with a 6 dB RCSR bandwidth of 62.3% and 35.7% is obtained.
2. Characteristic Mode Theory and its Application to Array Antennas
3. Design of the Antenna Element Based on CMT
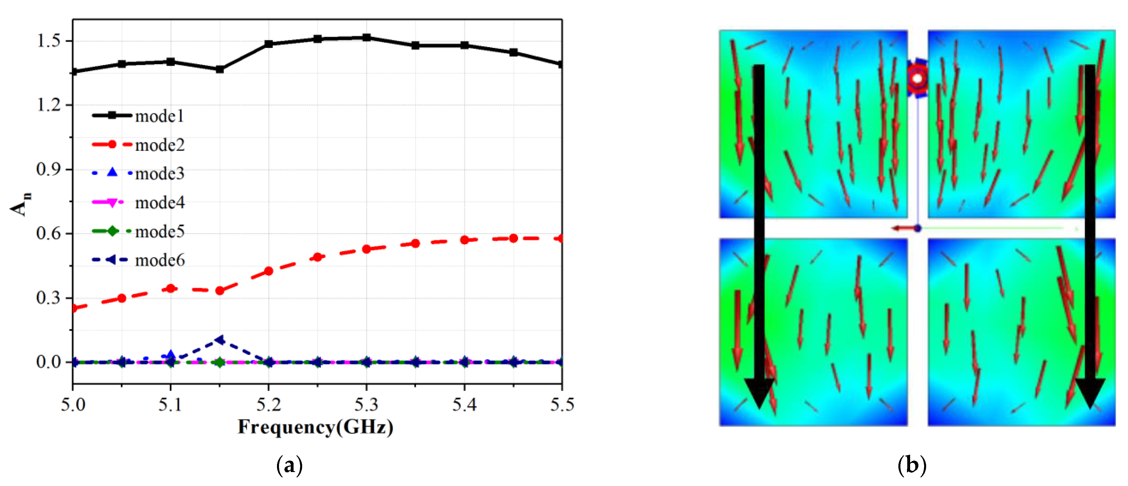
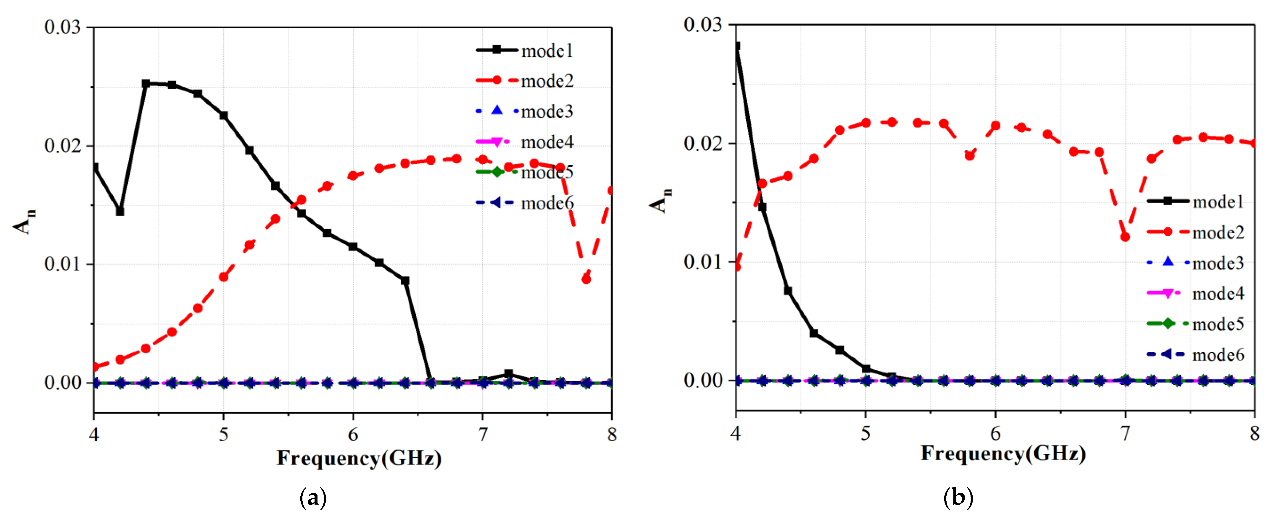
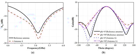
3.1. Characteristic Mode Analysis of the Reference Antenna and Antenna A
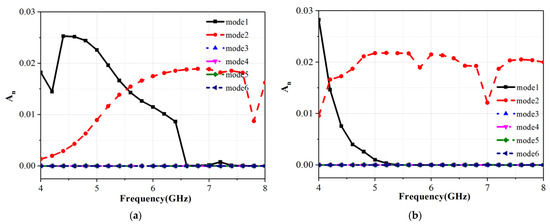
3.2. Characteristic Mode Analysis of Antenna B
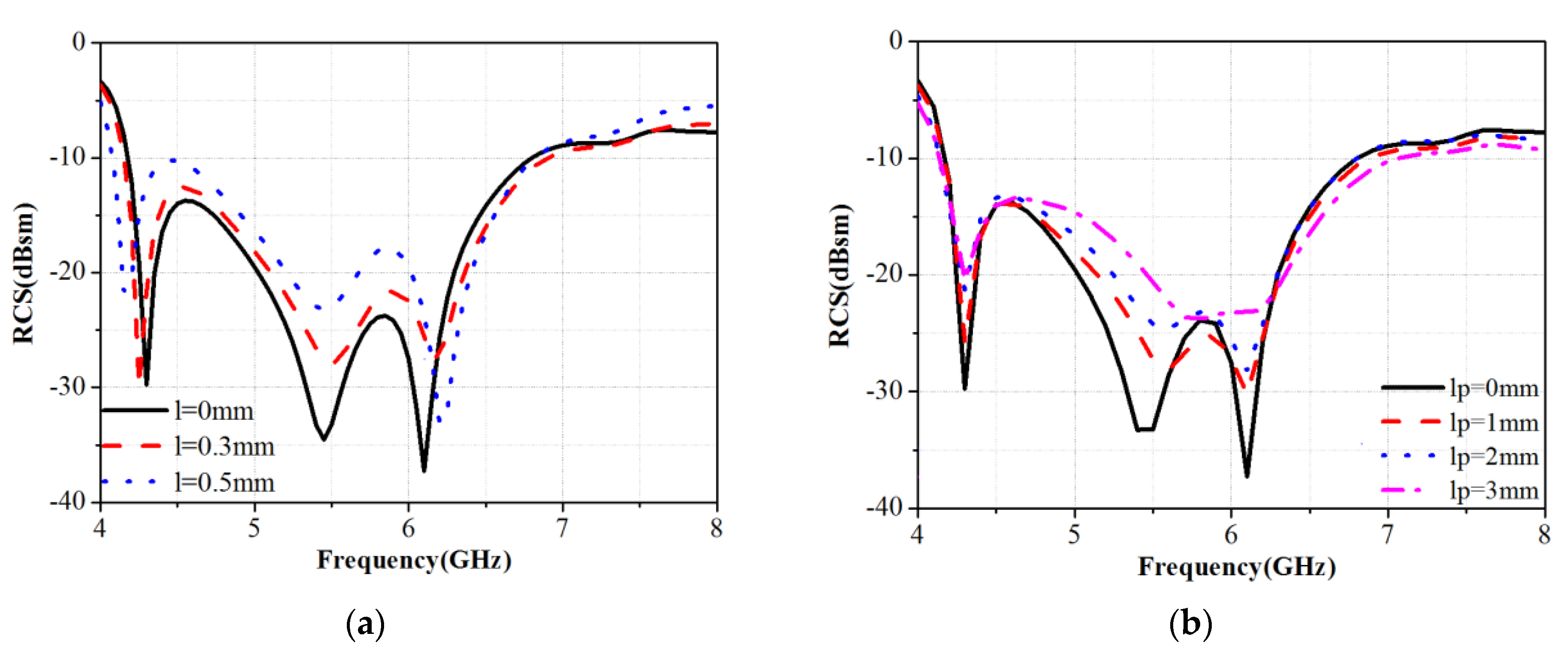
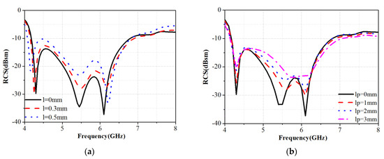
4. Design of the Array Antennas
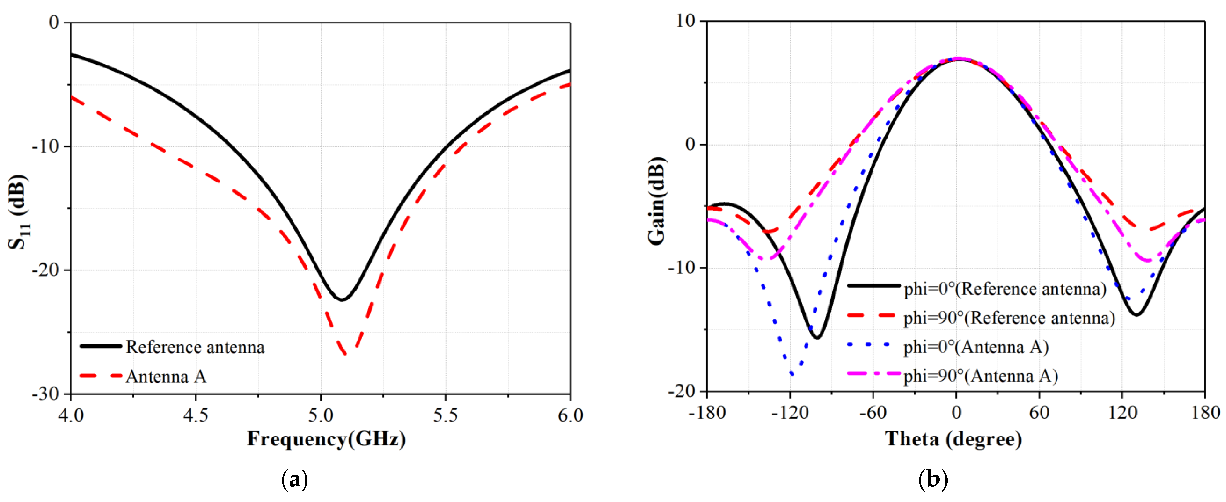
5. Experimental Results and Discussion
6. Conclusions
Author Contributions
Funding
Data Availability Statement
Conflicts of Interest
References
- Cengizhan, M.D.; Sibel, Ç.; Gonca, Ç. Planar octagonal-shaped UWB antenna with reduced radar cross section. IEEE Trans. Antennas Propag. 2014, 62, 2946–2953. [Google Scholar]
- Jia, Y.T.; Liu, Y.; Wang, H.; Gong, S. Low RCS Microstrip Patch Antenna Using Frequency-Selective Surface and Microstrip Resonator. IEEE Antennas Wirel. Propag. Lett. 2015, 14, 1290–1293. [Google Scholar]
- Umair, H.; Latef, T.B.A.; Yamada, Y.; Mahadi, W.N.L.B.W.; Othman, M.; Kamardin, K.; Hussein, M.I.; Najam, A.I. Tilted Beam Fabry–Perot Antenna with Enhanced Gain and Broadband Low Backscattering. Electronics 2021, 10, 267. [Google Scholar] [CrossRef]
- Zarbakhsh, S.; Akbari, M.; Samadi, F. Broadband and high-gain circularly-polarized antenna with low RCS. IEEE Trans. Antennas Propag. 2019, 67, 16–23. [Google Scholar] [CrossRef]
- Liu, T.; Cao, X.Y.; Gao, J.; Zheng, Q.; Li, W.; Yang, H. RCS reduction of waveguide slot antenna with metamaterial absorber. IEEE Trans. Antennas Propag. 2013, 61, 1479–1484. [Google Scholar] [CrossRef]
- Liu, Y.; Zhao, X. Perfect absorber metamaterial for designing low RCS patch antenna. IEEE Antennas Wirel. Propag. Lett. 2014, 13, 1473–1476. [Google Scholar] [CrossRef]
- Shi, Y.; Yang, J.; Shen, H.; Meng, Z.K.; Hao, T. Design of broadband metamaterial-based ferromagnetic absorber. Mater. Sci. Adv. Compos. Mater. 2018, 2, 1–7. [Google Scholar] [CrossRef]
- Liu, Y.; Jia, Y.; Zhang, W. Wideband RCS Reduction of a Slot Array Antenna Using a Hybrid Metasurface. IEEE Trans. Antennas Propag. 2020, 68, 3644–3652. [Google Scholar] [CrossRef]
- Zheng, Y.; Gao, J.; Cao, X.; Yuan, Z.; Yang, H. Wideband RCS reduction of a microstrip antenna using artificial magnetic conductor structures. IEEE Antennas Wirel. Propag. Lett. 2015, 14, 1582–1585. [Google Scholar] [CrossRef]
- Yu, J.; Jiang, W.; Gon, S. Low-RCS Beam-Steering antenna based on reconfigurable phase gradient metasurface. IEEE Antennas Wirel. Propag. Lett. 2019, 10, 2016–2020. [Google Scholar] [CrossRef]
- Zhang, W.; Liu, Y.; Jia, Y. Circularly polarized antenna array with low RCS using Metasurface-Inspired antenna units. IEEE Antennas Wirel. Propag. Lett. 2019, 18, 1453–1457. [Google Scholar]
- Chen, W.; Liu, H.; Jia, Y.; Liu, Y.; Wang, X. Ultra-wideband low-scattering metamaterial based on combination of water absorber and polarization rotation metasurface. Int. J. RF Microw. Comput.-Aided Eng. 2022, 32, e23260. [Google Scholar] [CrossRef]
- Dai, H.; Zhao, Y.; Li, H.; Chen, J.; He, Z.; Qi, W. An Ultra-Wide Band Polarization-Independent Random Coding Metasurface for RCS Reduction. Electronics 2019, 8, 1104. [Google Scholar] [CrossRef]
- Abdullah, M.; Koziel, S.; Szczepanski, S. Normalized Partial Scattering Cross Section for Performance Evaluation of Low-Observability Scattering Structures. Electronics 2021, 10, 1731. [Google Scholar] [CrossRef]
- Xue, J.; Jiang, W.; Guo, S. Wideband RCS reduction of slot-coupled patch antenna by AMC structure. Electronics 2017, 50, 1454–1456. [Google Scholar] [CrossRef]
- Gao, K.; Cao, X.; Gao, J.; Li, T.; Yang, H. Low-RCS metasurface antenna array design with improved radiation performance using Odd- and Even-mode analysis. IEEE Antennas Wirel. Propag. Lett. 2022, 21, 421–425. [Google Scholar] [CrossRef]
- Liu, Y.; Jia, Y.; Zhang, W.; Wang, Y.; Gong, S.; Liao, G. An integrated radiation and scattering performance design method of low-RCS patch antenna array with different antenna elements. IEEE Trans. Antennas Propag. 2019, 67, 6199–6204. [Google Scholar]
- Lan, J.; Cao, X.; Gao, J.; Han, J.; Liu, T.; Cong, L.; Wang, S. Novel design of microstrip antenna array with low scattering performance. Acta Phys. 2019, 68, 034101. [Google Scholar] [CrossRef]
- Hao, B.; Yang, B.; Gao, J.; Cao, X.; Yang, H.; Li, T. A coding metasurface antenna array with low radar cross section. Acta Phys. 2020, 69, 244101. [Google Scholar] [CrossRef]
- Chen, Y.; Wang, C. Characteristic-Mode-Based improvement of circularly polarized U-Slot and E-Shaped patch antennas. IEEE Antennas Wirel. Propag. Lett. 2012, 11, 1474–1477. [Google Scholar] [CrossRef]
- Shi, G.; Liu, Y.; Jia, Y. In-Band RCS Reduction of Microstrip Antenna Using Characteristic Mode Analysis. In Proceedings of the 2021 International Conference on Microwave and Millimeter Wave Technology (ICMMT), Nanjing, China, 23–26 May 2021; pp. 1–2. [Google Scholar]
- Lin, F.; Li, T.; Chen, Z. Recent Progress in Metasurface Antennas Using Characteristic Mode Analysis. In Proceedings of the 13th European Conference on Antennas and Propagation (EuCAP), Krakow, Poland, 31 March–5 April 2019; pp. 1–5. [Google Scholar]
- Zhao, J.; Chen, Y.; Yang, S. RCS Reduction of Microstrip Antenna Based on Characteristic Mode Analysis. In Proceedings of the 2018 IEEE International Conference on Computational Electromagnetics (ICCEM), Chengdu, China, 26–28 March 2018; pp. 1–2. [Google Scholar]
- Xu, Z.; Jiang, T.; Cao, B.; Lu, J. Low RCS Antenna Loaded by Artificial Magnetic Conductor based on Characteristic Mode Analysis. In Proceedings of the IEEE International Workshop on Electromagnetics: Applications and Student Innovation Competition (iWEM), Guangzhou, China, 28–30 November 2021; pp. 1–2. [Google Scholar]
- Lv, Y.; Wang, R.; Wang, B.; Chen, Z. Anisotropic Complementary Metantenna for Low Sidelobe Radiation and Low In-Band Co-Polarized Scattering Using Characteristic Mode Analysis. IEEE Trans. Antennas Propag. 2022, 70, 10177–10186. [Google Scholar] [CrossRef]
- Shi, G.; Jia, Y.; Liu, Y.; Zhong, Y.; Wu, Y.; Du, B.; Jia, D.; Cui, T. Theoretic Study of Antenna Scattering Problems Based on Characteristic Modes and Its Application in Reducing Antenna Scattering. IEEE Trans. Antennas Propag. 2022, accepted. [Google Scholar] [CrossRef]
- Qiu, L.; Xiao, G. A Broadband Metasurface Antenna Array With Ultrawideband RCS Reduction. IEEE Trans. Antennas Propag. 2022, 70, 8620–8625. [Google Scholar] [CrossRef]
- Liu, Y.; Du, B.; Jia, D.; Jia, Y. Ultra-Wideband Radar Cross-section Reduction for Ring-shaped Microstrip Antenna based on Characteristic Mode Analysis. Microw. Opt. Technol. Lett. 2021, 63, 1538–1546. [Google Scholar] [CrossRef]
- Zhao, Z.; Chen, Y.; Yang, S. In-Band Radar Cross-Section Reduction of Slot Antenna Using Characteristic Modes. IEEE Antennas Wirel. Propag. Lett. 2018, 17, 1166–1170. [Google Scholar] [CrossRef]
- Shi, Y.; Meng, Z.; Wei, W.; Zheng, W.; Li, L. Characteristic mode cancellation method and its application for antenna RCS reduction. IEEE Antennas Wirel. Propag. Lett. 2019, 18, 1784–1788. [Google Scholar] [CrossRef]
- Harrington, R.; Mautz, J. Theory of characteristic modes for conducting bodies. IEEE Trans. Antennas Propag. 1971, 19, 62271. [Google Scholar] [CrossRef]
- Bhavani, K.D.; Madhav, B.T.P.; Das, S.; Hussain, N.; Ali, S.S.; Babu, K.V. Development of Metamaterial Inspired Non-Uniform Circular Array Superstate Antenna Using Characteristic Mode Analysis. Electronics 2022, 11, 2517. [Google Scholar] [CrossRef]


























| Symbol | Value | Symbol | Value | Symbol | Value | Symbol | Value |
|---|---|---|---|---|---|---|---|
| L | 30 | wsb | 0.2 | lsa | 18 | da | 4 |
| t | 6 | wdb | 1 | wda | 5.5 | lr | 14.5 |
| lb | 19 | ldb | 9 | la | 15.5 | ha | 3.5 |
| lsb | 20 | db | 8 | lda | 9 | lsr | 21 |
| Ref. | OB (GHz) | Gain (dB)/Aperture Efficiency | Co/Cross−Polarization RCSR Mean Value in OB (dB) | Co/Cross−Polarization RCSR B.W. (GHz) | Method | ||
|---|---|---|---|---|---|---|---|
| Ref. [4] | 2.2 × 2.2 × 0.8 | - | 15.8/62.5% | 11.8/19.8 | - | 6–18 (100%) | FSS |
| Ref. [8] | 4.7 × 4.7 × 0.7 | 26.7–34.2 (24.6%) | 20/36.7% | 12/12 | - | 28–48 (52%) | Absorptive |
| Ref. [16] | 1.8 × 1.8 × 0.05 | 5.05–5.42 (7.1%) | - | -/16.5 | - | 4–8 (66.7%) | A.E.C. |
| Ref. [17] | 2 × 2 × 0.1 | 4.75–5.25 (10%) | - | 13/13 | 4–8 (66.7%) | 4–8 (66.7%) | A.E.C. |
| This work | 2 × 2 × 0.1 | 4.55–5.49 (18.7%) | 16.6/89% | 14.7/22.8 | 4–8 (66.7%) | 4–8 (66.7%) | CMC |
Disclaimer/Publisher’s Note: The statements, opinions and data contained in all publications are solely those of the individual author(s) and contributor(s) and not of MDPI and/or the editor(s). MDPI and/or the editor(s) disclaim responsibility for any injury to people or property resulting from any ideas, methods, instructions or products referred to in the content. |
© 2023 by the authors. Licensee MDPI, Basel, Switzerland. This article is an open access article distributed under the terms and conditions of the Creative Commons Attribution (CC BY) license (https://creativecommons.org/licenses/by/4.0/).
Share and Cite
Han, J.; Jia, D.; Du, B.; Han, G.; Jia, Y.; Zhao, Z. Design of Broadband Low-RCS Array Antennas Based on Characteristic Mode Cancellation. Electronics 2023, 12, 1536. https://doi.org/10.3390/electronics12071536
Han J, Jia D, Du B, Han G, Jia Y, Zhao Z. Design of Broadband Low-RCS Array Antennas Based on Characteristic Mode Cancellation. Electronics. 2023; 12(7):1536. https://doi.org/10.3390/electronics12071536
Chicago/Turabian StyleHan, Jialiang, Dan Jia, Biao Du, Guodong Han, Yongtao Jia, and Zekang Zhao. 2023. "Design of Broadband Low-RCS Array Antennas Based on Characteristic Mode Cancellation" Electronics 12, no. 7: 1536. https://doi.org/10.3390/electronics12071536
APA StyleHan, J., Jia, D., Du, B., Han, G., Jia, Y., & Zhao, Z. (2023). Design of Broadband Low-RCS Array Antennas Based on Characteristic Mode Cancellation. Electronics, 12(7), 1536. https://doi.org/10.3390/electronics12071536
