Optimization of the Algorithm for the Implementation of Point Spread Function in the 3D-OSEM Reconstruction Algorithm Based on the List-Mode Micro PET Data
Abstract
1. Introduction
2. Materials and Methods
2.1. Materials
2.1.1. Point Source
2.1.2. PET/CT System
2.2. Methods
2.2.1. PSF Measurement
2.2.2. PSF Estimation
2.3. Experiments
2.3.1. Pre-Experiment
2.3.2. Curve Fitting
2.4. Algorithm Optimization
3. Validation
3.1. Point Source
3.2. Derenzo Phantom
3.3. Small Animal Studies
3.4. Reconstruction Parameters
- Point sources. For 3D-OSEM algorithm reconstruction, the 3D image matrix was 257 × 257 × 389, subsets were 7, the iteration was 5, the reconstruction FOV diameter was 81 mm, the pixel size was 0.314 mm, and the Gaussian post-filter was FWHM = 2 mm. For PSF-OSEM algorithm reconstruction, the 3D image matrix was 257 × 257 × 389, the subsets were 7, the iteration was 10, the reconstruction FOV diameter was 81 mm, the pixel size was 0.314 mm, and the Gaussian post-filter was FWHM = 2 mm;
- Derenzo phantom. Reconstruction parameters are the same for both algorithms: the 3D image matrix was 257 × 257 × 389; the iterations were 2, 5, 7, 10, 12, 15, 20; the subsets were 5, the reconstructed FOV diameter was 81 mm; pixel size was 0.314 mm; and Gaussian post-filter was FWHM = 2 mm;
- Small animal studies. Reconstruction parameters were the same for both algorithms: the 3D image matrix was 257 × 257 × 389, the subsets were 5, the iterations were 7, the reconstructed FOV diameter was 81 mm, the pixel size was 0.314 mm, and the Gaussian post-filter was FWHM = 2 mm.
3.5. Data Analysis
- CNR:
- Contrast:
- CRhot,:where is the mean signal intensity of the ROI in the Derenzo phantom, is the mean of the intensity of the background region, and is the standard deviation of the background. is the real signal-to-background ratio.
4. Results
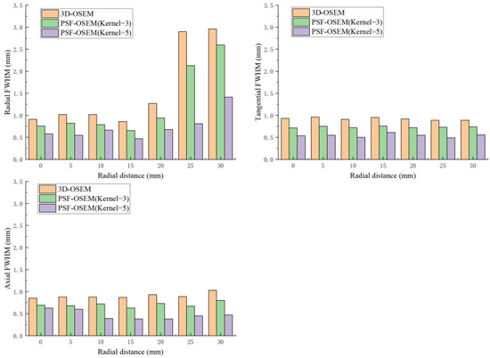
4.1. 22Na Point Source
4.2. Derenzo Phantom
4.3. Small Animal PET Images Analysis
5. Discussion
6. Conclusions
Author Contributions
Funding
Institutional Review Board Statement
Informed Consent Statement
Data Availability Statement
Acknowledgments
Conflicts of Interest
References
- Gambhir, S.S.; Czernin, J.; Schwimmer, J.; Silverman, D.H.S.; Coleman, R.E.; Phelps, M.E. A Tabulated Summary of the FDG PET Literature. J. Nucl. Med. 2001, 42 (Suppl. S5), 1S–93S. [Google Scholar] [PubMed]
- Ortuño, J.E.; Guerra-Gutiérrez, P.; Rubio, J.L.; Kontaxakis, G.; Santos, A. 3D-OSEM Iterative Image Reconstruction for High-Resolution PET Using Precalculated System Matrix. Nucl. Instrum. Methods Phys. Res. Sect. A Accel. Spectrom. Detect. Assoc. Equip. 2006, 569, 440–444. [Google Scholar] [CrossRef]
- Madsen, M.T. The Theory and Practice of 3D PET, Vol. 32. Clinical Nuclear Medicine 24(12):p 1005, December 1999. Available online: https://journals.lww.com/nuclearmed/Citation/1999/12000/The_Theory_and_Practice_of_3D_PET,_Vol__32.31.aspx (accessed on 1 December 2022).
- Mawlawi, O.; Townsend, D.W. Multimodality imaging: An update on PET/CT technology. Eur. J. Nucl. Med. Mol. Imaging 2009, 36, 15–29. [Google Scholar] [CrossRef] [PubMed]
- Nestle, U.; Weber, W.; Hentschel, M.; Grosu, A.L. Biological imaging in radiation therapy: Role of positron emission tomography. Phys. Med. Biol. 2008, 54, R1. [Google Scholar] [CrossRef] [PubMed]
- Pan, T.; Mawlawi, O. PET/CT in radiation oncology. Med. Phys. 2008, 35, 4955–4966. [Google Scholar] [CrossRef]
- Erlandsson, K.; Buvat, I.; Pretorius, P.H.; Thomas, B.A.; Hutton, B.F. A review of partial volume correction techniques for emission tomography and their applications in neurology, cardiology and oncology. Phys. Med. Biol. 2012, 57, R119. [Google Scholar] [CrossRef]
- Akamatsu, G.; Ishikawa, K.; Mitsumoto, K.; Taniguchi, T.; Ohya, N.; Baba, S.; Abe, K.; Sasaki, M. Improvement in PET/CT Image Quality with a Combination of Point-Spread Function and Time-of-Flight in Relation to Reconstruction Parameters. J. Nucl. Med. 2012, 53, 1716–1722. [Google Scholar] [CrossRef]
- Lasnon, C.; Hicks, R.J.; Beauregard, J.M.; Milner, A.; Paciencia, M.; Guizard, A.V.; Bardet, S.; Gervais, R.; Lemoel, G.; Zalcman, G.; et al. Impact of Point Spread Function Reconstruction on Thoracic Lymph Node Staging with 18F-FDG PET/CT in Non-Small Cell Lung Cancer. Clin. Nucl. Med. 2012, 37, 971–976. [Google Scholar] [CrossRef]
- Tong, S.; Alessio, A.M.; Kinahan, P.E. Noise and signal properties in PSF-based fully 3D PET image reconstruction: An experimental evaluation. Phys. Med. Biol. 2010, 55, 1453. [Google Scholar] [CrossRef]
- Surti, S.; Karp, S.; Popescu, L.M.; Daube-Witherspoon, E.; Werner, M. Investigation of time-of-flight benefit for fully 3-DPET. IEEE Trans. Med. Imaging 2006, 25, 529–538. [Google Scholar] [CrossRef]
- Iriarte, A.; Marabini, R.; Matej, S.; Sorzano, C.O.; Lewitt, R.M. System models for PET statistical iterative reconstruction: A review. Comput. Med. Imaging Graph. 2016, 48, 30–48. [Google Scholar] [CrossRef] [PubMed]
- Rahmim, A.; Qi, J.; Sossi, V. Resolution modeling in PET imaging: Theory, practice, benefits, and pitfalls. Med. Phys. 2013, 40 Pt 1, 064301. [Google Scholar] [CrossRef] [PubMed]
- Andersen, F.L.; Klausen, T.L.; Loft, A.; Beyer, T.; Holm, S. Clinical Evaluation of PET Image Reconstruction Using a Spatial Resolution Model. Eur. J. Radiol. 2013, 82, 862–869. [Google Scholar] [CrossRef]
- Cloquet, C.; Sureau, F.C.; Defrise, M.; Van Simaeys, G.; Trotta, N.; Goldman, S. Non-Gaussian Space-Variant Resolution Modelling for List-Mode Reconstruction. Phys. Med. Biol. 2010, 55, 5045–5066. [Google Scholar] [CrossRef]
- Huesman, R.H.; Salmeron, E.M.; Baker, J.R.; Huesman, R.H.; Salmeron, E.M.; Baker, J.R. Compensation for Crystal Penetration in High Resolution Positron Tomography. IEEE Trans. Nucl. Sci. 1989, 36, 1100–1107. [Google Scholar] [CrossRef]
- Liang, Z. Detector Response Restoration in Image Reconstruction of High Resolution Positron Emission Tomography. IEEE Trans. Med. Imaging 1994, 13, 314–321. [Google Scholar] [CrossRef] [PubMed]
- Ashrafinia, S.; Mohy-ud-Din, H.; Karakatsanis, N.A.; Jha, A.K.; Casey, M.E.; Kadrmas, D.J.; Rahmim, A. Generalized PSF modeling for optimized quantitation in PET imaging. Phys. Med. Biol. 2017, 62, 5149–5179. [Google Scholar] [CrossRef]
- Soret, M.; Bacharach, S.L.; Buvat, I. Partial-Volume Effect in PET Tumor Imaging. J. Nucl. Med. 2007, 48, 932–945. [Google Scholar] [CrossRef]
- Rapisarda, E.; Bettinardi, V.; Thielemans, K.; Gilardi, M.C. Image-Based Point Spread Function Implementation in a Fully 3D OSEM Reconstruction Algorithm for PET. Phys. Med. Biol. 2010, 55, 4131–4151. [Google Scholar] [CrossRef]
- Wiant, D.; Gersh, J.A.; Bennett, M.; Bourland, J.D. Evaluation of the Spatial Dependence of the Point Spread Function in 2D PET Image Reconstruction Using LOR-OSEM. Med. Phys. 2010, 37, 1169–1182. [Google Scholar] [CrossRef]
- Alessio, A.M.; Stearns, C.W.; Tong, S.; Ross, S.G.; Kohlmyer, S.; Ganin, A.; Kinahan, P.E. Application and Evaluation of a Measured Spatially Variant System Model for PET Image Reconstruction. IEEE Trans. Med. Imaging 2010, 29, 938–949. [Google Scholar] [CrossRef] [PubMed]
- Qi, J.; Leahy, R.M.; Cherry, S.R.; Chatziioannou, A.; Farquhar, T.H. High-Resolution 3D Bayesian Image Reconstruction Using the MicroPET Small-Animal Scanner. Phys. Med. Biol. 1998, 43, 1001–1013. [Google Scholar] [CrossRef] [PubMed]
- Miller, B.W.; Van Holen, R.; Barrett, H.H.; Furenlid, L.R. A System Calibration and Fast Iterative Reconstruction Method for Next-Generation SPECT Imagers. IEEE Trans. Nucl. Sci. 2012, 59, 1990–1996. [Google Scholar] [CrossRef] [PubMed]
- Defrise, M.; Kinahan, P.E.; Michel, C.J. Image Reconstruction Algorithms in PET//Positron Emission Tomography; Springer: London, UK, 2005; pp. 63–91. [Google Scholar]
- Hudson, H.M.; Larkin, R.S. Accelerated Image Reconstruction Using Ordered Subsets of Projection Data. IEEE Trans. Med. Imaging 1994, 13, 601–609. [Google Scholar] [CrossRef]
- Shepp, L.A.; Vardi, Y. Maximum Likelihood Reconstruction for Emission Tomography. IEEE Trans. Med. Imaging 1982, 1, 113–122. [Google Scholar] [CrossRef]
- Pratx, G.; Chinn, G.; Olcott, P.D.; Levin, C.S. Fast, Accurate and Shift-Varying Line Projections for Iterative Reconstruction Using the GPU. IEEE Trans. Med. Imaging 2009, 28, 435–445. [Google Scholar] [CrossRef]
- Alessio, A.M.; Kinahan, P.E.; Lewellen, T.K. Modeling and Incorporation of System Response Functions in 3-D Whole Body PET. IEEE Trans. Med. Imaging 2006, 25, 828–837. [Google Scholar] [CrossRef]
- Panin, V.Y.; Kehren, F.; Michel, C.; Casey, M. Fully 3-D PET Reconstruction with System Matrix Derived from Point Source Measurements. IEEE Trans. Med. Imaging 2006, 25, 907–921. [Google Scholar] [CrossRef]
- Comtat, C.; Sureau, F.C.; Sibomana, M.; Hong, I.K.; Sjoholm, N.; Trebossen, R. Image based resolution modeling for the HRRT OSEM reconstructions software. In Proceedings of the 2008 IEEE Nuclear Science Symposium Conference Record, Dresden, Germany, 19–25 October 2008; pp. 4120–4123. [Google Scholar]
- Liu, Q.; Li, C.; Liu, J.; Krish, K.; Fu, X.; Zhao, J.; Chen, J.C. Technical Note: Performance Evaluation of a Small-Animal PET/CT System Based on NEMA NU 4-2008 Standards. Med. Phys. 2021, 48, 5272–5282. [Google Scholar] [CrossRef]
- Delbeke, D. Oncological applications of FDG PET imaging: Brain tumors, colorectal cancer lymphoma and melanoma. J. Nucl. Med. 1999, 40, 591–603. [Google Scholar]
- Hicks, R.J.; Kalff, V.; MacManus, M.P.; Ware, R.E.; McKenzie, A.F.; Matthews, J.P.; Ball, D.L. The utility of 18F-FDG PET for suspected recurrent non-small cell lung cancer after potentially curative therapy: Impact on management and prognostic stratification. J. Nucl. Med. 2001, 42, 1605–1613. [Google Scholar] [PubMed]
- Oyen, W.J.G.; Bussink, J.; Verhagen, A.F.T.; Corstens, F.H.M.; Bootsma, G.P. Role of FDG-PET in the diagnosis and management of lung cancer. Expert Rev. Anticancer Ther. 2004, 4, 561–567. [Google Scholar] [CrossRef] [PubMed]
- Vansteenkiste, J.; Fischer, B.M.; Dooms, C.; Mortensen, J. Positron-emission tomography in prognostic and therapeutic assessment of lung cancer: Systematic review. Lancet Oncol. 2004, 5, 531–540. [Google Scholar] [CrossRef] [PubMed]
- Fletcher, J.W.; Djulbegovic, B.; Soares, H.P.; Siegel, B.A.; Lowe, V.J.; Lyman, G.H.; Coleman, R.E.; Wahl, R.; Paschold, J.C.; Avril, N.; et al. Recommendations on the use of 18F-FDG PET in oncology. J. Nucl. Med. 2008, 49, 480–508. [Google Scholar] [CrossRef]
- Okubo, M.; Nishimura, Y.; Nakamatsu, K.; Okumura, M.; Shibata, T.; Kanamori, S.; Hanaoka, K.; Hosono, M. Radiation treatment planning using positron emission and computed tomography for lung and pharyngeal cancers: A multiple-threshold method for [18F] fluoro-2-deoxyglucose activity. Int. J. Radiat. Oncol. Biol. Phys. 2010, 77, 350–356. [Google Scholar] [CrossRef]
- Staelens, S.; D’Asseler, Y.; Vandenberghe, S.; Koole, M.; Lemahieu, I.; Van de Walle, R. A three-dimensional theoretical model incorporating spatial detection uncertainty in continuous detector PET. Phys. Med. Biol. 2004, 49, 2337. [Google Scholar] [CrossRef]
- Rahmim, A.; Tang, J.; Lodge, M.A.; Lashkari, S.; Ay, M.R.; Lautamäki, R.; Tsui, B.M.; Bengel, F.M. Analytic system matrix resolution modeling in PET: An application to Rb-82 cardiac imaging. Phys. Med. Biol. 2008, 53, 5947. [Google Scholar] [CrossRef]
- Engle, J.; Kadrmas, D. Modeling the spatially-variant point spread function in a fast projector for improved fully-3D PET reconstruction. J. Nucl. Med. 2007, 48 (Suppl. 2), 417. [Google Scholar]
- Alessio, A.M.; Kinahan, P.E. Application of a spatially variant system model for 3-D whole-body PET image reconstruction. In Proceedings of the 2008 5th IEEE International Symposium on Biomedical Imaging: From Nano to Macro, Paris, France, 14–17 May 2008; pp. 1315–1318. [Google Scholar]
- Tohme, M.S.; Qi, J. Iterative image reconstruction for positron emission tomography based on a detector response function estimated from point source measurements. Phys. Med. Biol. 2009, 54, 3709. [Google Scholar] [CrossRef]
- De Jong, H.W.A.M.; Van Velden, F.H.P.; Kloet, R.W.; Buijs, F.L.; Boellaard, R.; Lammertsma, A.A. Performance Evaluation of the ECAT HRRT: An LSO-LYSO Double Layer High Resolution, High Sensitivity Scanner. Phys. Med. Biol. 2007, 52, 1505–1526. [Google Scholar] [CrossRef]









| 3D-OSEM | PSF-OSEM | |||||
|---|---|---|---|---|---|---|
| CNR | Contrast | CRhot | CNR | Contrast | CRhot | |
| Heart | 3.97 | 7.406 | 1.784 | 4.045 | 7.642 | 1.818 |
| Bladder | 3.878 | 11.582 | 3.262 | 4.196 | 13.105 | 3.416 |
Disclaimer/Publisher’s Note: The statements, opinions and data contained in all publications are solely those of the individual author(s) and contributor(s) and not of MDPI and/or the editor(s). MDPI and/or the editor(s) disclaim responsibility for any injury to people or property resulting from any ideas, methods, instructions or products referred to in the content. |
© 2023 by the authors. Licensee MDPI, Basel, Switzerland. This article is an open access article distributed under the terms and conditions of the Creative Commons Attribution (CC BY) license (https://creativecommons.org/licenses/by/4.0/).
Share and Cite
Zhao, J.; Song, Y.; Liu, Q.; Chen, S.; Chen, J.-C. Optimization of the Algorithm for the Implementation of Point Spread Function in the 3D-OSEM Reconstruction Algorithm Based on the List-Mode Micro PET Data. Electronics 2023, 12, 1309. https://doi.org/10.3390/electronics12061309
Zhao J, Song Y, Liu Q, Chen S, Chen J-C. Optimization of the Algorithm for the Implementation of Point Spread Function in the 3D-OSEM Reconstruction Algorithm Based on the List-Mode Micro PET Data. Electronics. 2023; 12(6):1309. https://doi.org/10.3390/electronics12061309
Chicago/Turabian StyleZhao, Jie, Yunfeng Song, Qiong Liu, Shijie Chen, and Jyh-Cheng Chen. 2023. "Optimization of the Algorithm for the Implementation of Point Spread Function in the 3D-OSEM Reconstruction Algorithm Based on the List-Mode Micro PET Data" Electronics 12, no. 6: 1309. https://doi.org/10.3390/electronics12061309
APA StyleZhao, J., Song, Y., Liu, Q., Chen, S., & Chen, J.-C. (2023). Optimization of the Algorithm for the Implementation of Point Spread Function in the 3D-OSEM Reconstruction Algorithm Based on the List-Mode Micro PET Data. Electronics, 12(6), 1309. https://doi.org/10.3390/electronics12061309

