Evaluation and Optimization of a Command and Control System Based on Complex Networks Theory
Abstract
1. Introduction
- A detailed review is performed to analyze the current state of application of complex networks theory in various fields, especially in the military field.
- In this paper, applying complex networks theory to C2 network provides new ideas for analyzing C2 systems.
- The topological characteristics and destruction resistance of C2 network are analyzed using complex networks theory by combining qualitative and quantitative methods, and relevant suggestion are provided to improve the destruction resistance of the system.
- Using relevant theories, we found that C2 network is a small-world network, which is a good basis for further investigation of network properties.
2. Model Construction
2.1. Node
2.2. Edge
3. Network Characteristics and Index Selection
3.1. Topology Indicators
- (1)
- The number of edges of the network
- (2)
- Average node degree and degree distribution
- (3)
- Clustering coefficient and average clustering coefficient average path length
- (4)
- Path length and average path length
3.2. Destruction Resistance Analysis and Index Selection
3.2.1. Destruction Resistance Analysis
3.2.2. Destruction Resistance Index
- (1)
- Average network efficiency
- (2)
- Rate of change of network efficiency
- (3)
- Maximal connected subgraph
4. Network Topology Characteristics Analysis
4.1. Topology Index Analysis
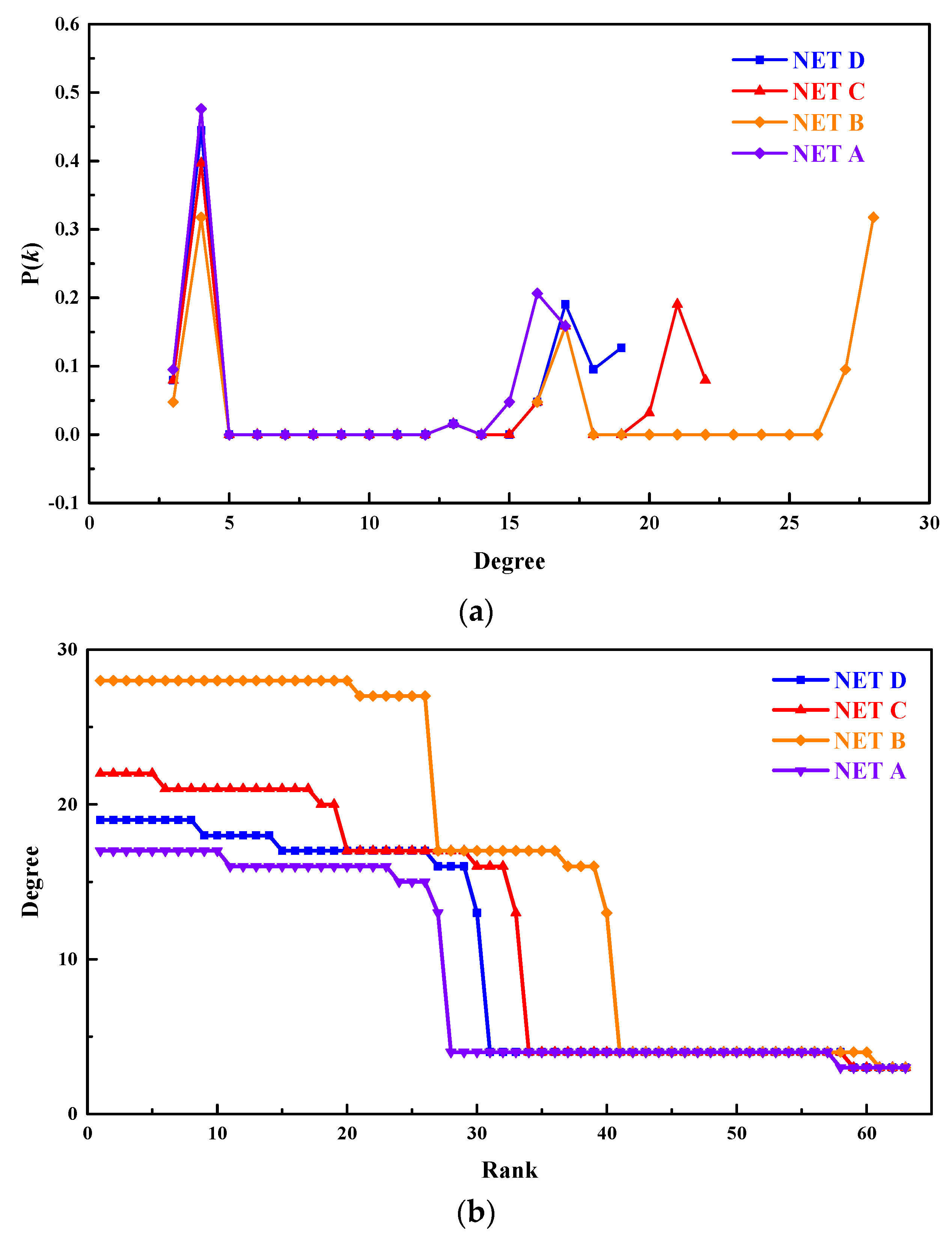
4.2. Network Type Analysis
4.3. Network Potency Factor Analysis
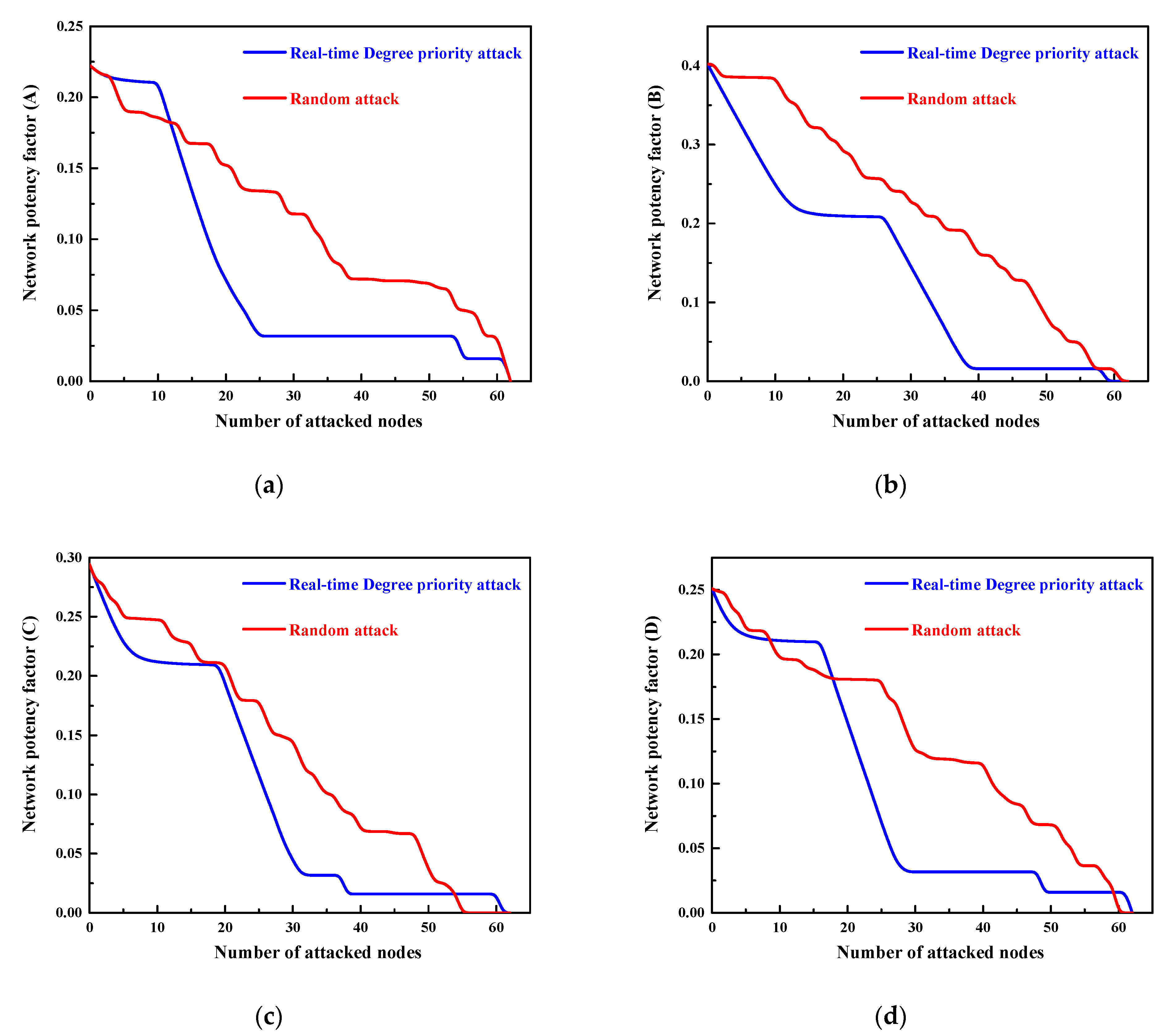
4.4. Network Destruction Resistance Analysis
4.4.1. Network Efficiency and Rate of Change of Efficiency Analysis
4.4.2. Network Potency Factor Analysis
4.4.3. Maximal Connected Subgraph Analysis
5. Network Optimization and Comparative Analysis
5.1. Edge Addition Strategy
5.2. Model Analysis
6. Conclusions
- (1)
- The weight of the connected edges in the network has not been fully considered, and the connected edges between different nodes have different weights and are of different importance in the network.
- (2)
- The evaluation indexes designed for the study of the destruction resistance are not comprehensive enough, and the relevant index system needs to be studied in depth to make the results more scientific and reasonable.
- (3)
- The current simulation nodes are small in scale and the dynamic changes of the network are not sufficiently considered. Further investigation will be carried out in these three aspects.
Author Contributions
Funding
Data Availability Statement
Acknowledgments
Conflicts of Interest
References
- Watts, D.; Strogatz, S. Collective dynamics of ‘small-world’ networks (see comments). Nature 1998, 393, 440–442. [Google Scholar] [CrossRef] [PubMed]
- Barabasi, A.L.; Albert, R. Emergence of scaling in random networks. Science 1999, 286, 509–512. [Google Scholar] [CrossRef]
- Owais, M. Location Strategy for Traffic Emission Remote Sensing Monitors to Capture the Violated Emissions. J. Adv. Transp. 2019, 2019, 6520818. [Google Scholar] [CrossRef]
- Owais, M.; El deeb, M.; Ali Abbas, Y. Distributing Portable Excess Speed Detectors in AL Riyadh City. Int. J. Civ. Eng. 2020, 18, 1301–1314. [Google Scholar] [CrossRef]
- Owais, M.; Ahmed, A.S.; Moussa, G.S.; Khalil, A.A. Integrating underground line design with existing public transportation systems to increase transit network connectivity: Case study in Greater Cairo. Expert Syst. Appl. 2021, 167, 114183. [Google Scholar] [CrossRef]
- Zhang, M.; Huang, T.; Guo, Z.; He, Z. Complex-network-based traffic network analysis and dynamics: A comprehensive review. Phys. A Stat. Mech. Its Appl. 2022, 607, 128063. [Google Scholar] [CrossRef]
- Wang, Y.; Cao, X.; Qin, F.; Tong, L. Vulnerability analysis of the chinese coupled aviation and high-speed railway network. Chin. J. Aeronaut. 2022, 35, 189–199. [Google Scholar] [CrossRef]
- Jiao, J.; Zhang, F.; Liu, J. A spatiotemporal analysis of the robustness of high-speed rail network in China-ScienceDirect. Transp. Res. Part D Transp. Environ. 2020, 89, 102584. [Google Scholar] [CrossRef]
- Sheikh, M.S.; Regan, A. A complex network analysis approach for estimation and detection of traffic incidents based on independent component analysis. Phys. A Stat. Mech. Its Appl. 2022, 586, 126504. [Google Scholar] [CrossRef]
- Jin, K.; Wang, W.; Li, X.; Hua, X.; Qin, S. Exploring the robustness of public transportation system on augmented network: A case from Nanjing China. Phys. A Stat. Mech. Its Appl. 2022, 608, 128252. [Google Scholar] [CrossRef]
- Li, J.; Huang, Z.; Yu, X.; Gao, Y. Structural Analysis of the Overall Hypoxia Response Network. In Proceedings of the 2019 IEEE 5th International Conference on Computer and Communications (ICCC), Chengdu, China, 6–9 December 2019; pp. 1469–1473. [Google Scholar]
- Owais, M.; Ahmed, A.S.; Moussa, G.S.; Khalil, A.A. Design scheme of multiple-subway lines for minimizing passengers transfers in mega-cities transit networks. Int. J. Rail Transp. 2021, 9, 540–563. [Google Scholar] [CrossRef]
- Zhang, W.; Pei, W.; Guo, T. An efficient method of robustness analysis for power grid under cascading failure. Saf. Sci. 2014, 64, 121–126. [Google Scholar] [CrossRef]
- Meng, Y.; Zhang, H.; Fan, W. Analysis of the network structure characteristics of virtual power plants based on a complex network. Electr. Power Syst. Res. 2022, 204, 107717. [Google Scholar] [CrossRef]
- Wang, T.; Li, H.; Huang, Y. The complex ecological network’s resilience of the Wuhan metropolitan area. Ecol. Indic. 2021, 130, 108101. [Google Scholar] [CrossRef]
- Gao, Z.; Gong, Z.; Cai, Q.; Ma, C.; Grebogi, C. Complex Network Analysis of Experimental EEG Signals for Decoding Brain Cognitive State. IEEE Trans. Circuits Syst. II Express Briefs 2020, 68, 531–535. [Google Scholar] [CrossRef]
- Lu, T.; Chen, K.; Zhang, Y.; Deng, Q. Research on Dynamic Evolution Model and Method of Communication Network Based on Real War Game. Entropy 2021, 23, 487. [Google Scholar] [CrossRef]
- Zaikui, W.; Yaping, M.; Jingrui, S. Research on Network Topology Model of Command Information System Based on Complex Networks. Command. Control. Simul. 2011, 33, 8–11+29. [Google Scholar]
- He, H.; Li, Z.; Wang, W.; Zhou, W.; Zhu, Y.; Li, X. Research on Critical Node Analysis Method of New Combat SoS. In Proceedings of the 2018 IEEE International Systems Engineering Symposium (ISSE), Rome, Italy, 1–3 October 2018; pp. 1–7. [Google Scholar]
- Zhang, Q.; Lei, H.M. Research on Network Properties of command and control System Based on Complex Networks Theory. Strike Control. Command. Control. 2011, 36, 41–44. [Google Scholar]
- Zhang, Q.; Li, J.H.; Shen, D.; Ma, C. Research on network modeling and optimization of operation system of systems based on complex network. Syst. Eng. Electron. 2015, 37, 1066–1071. [Google Scholar]
- Kang, B.G.; Choi, S.H.; Kwon, S.J. Simulation-based optimization on the system-of-systems model via model transformation and genetic algorithm: A case study of network-centric warfare. Complexity 2018, 2018, 232–239. [Google Scholar] [CrossRef]
- Chen, L.; Kou, Y.; Li, Z.; Xu, A.; Wu, C. Empirical research on complex networks modeling of combat SoS based on data from real war-game, Part I: Statistical characteristics. Phys. A Stat. Mech. Its Appl. 2018, 490, 754–773. [Google Scholar] [CrossRef]
- Zhu, J.; Shen, S.L.; Bai, C.S. Combat Experiment of SOS Attack Method From the Perspective of the Complex Network. Command. Control. Simul. 2017, 39, 93–97+105. [Google Scholar]
- Liu, P.; Feng, D.; Yan, K. System Model and Simulation of “Cloud Operations” Based on Complex Network. Command. Control. Simul. 2016, 38, 6–11. [Google Scholar]
- Gang, J.X.; Xiong-Bing, Y.E.; Wang, W. Hypernetwork modeling research on carrier formation Figurehting SoS. Ship Sci. Technol. 2019, 41, 6–11. [Google Scholar]
- Chengyu, S.; Maoxing, S.; Hao, S. Optimization design of structure invulnerability for air defense multiple sensor network. J. Commun. 2017, 38, 118–126. [Google Scholar]
- Wang, Y.; Zhang, D.; Pan, C.; Chen, B. Measure of invulnerability for command and control network based on network invulnerability entropy. In Proceedings of the International Conference on Control Science & Systems Engineering, Singapore, 27–29 July 2016; IEEE: Piscataway, NJ, USA, 2016. [Google Scholar]













| NET A | NET B | NET C | NET D | |
|---|---|---|---|---|
| The number of edges | 287 | 521 | 374 | 326 |
| Average degree | 9.11 | 16.54 | 11.87 | 10.35 |
| Average clustering coefficient | 0.844 | 0.85 | 0.847 | 0.846 |
| Average path length | 2.159 | 1.858 | 2.02 | 2.09 |
| NET A | NET B | NET C | NET D | |
|---|---|---|---|---|
| N | 63 | 63 | 63 | 63 |
| 9.11 | 16.54 | 11.87 | 10.35 | |
| 0.844 | 0.85 | 0.847 | 0.846 | |
| 2.159 | 1.858 | 2.02 | 2.09 | |
| LR | 1.88 | 1.48 | 1.67 | 1.77 |
| CR | 0.14 | 0.26 | 0.19 | 0.16 |
| NET A | NET B | NET C | NET D | |
|---|---|---|---|---|
| N | 63 | 63 | 63 | 63 |
| PET | 14 | 25.33 | 18.53 | 15.81 |
| CNE | 0.22 | 0.40 | 0.29 | 0.25 |
Disclaimer/Publisher’s Note: The statements, opinions and data contained in all publications are solely those of the individual author(s) and contributor(s) and not of MDPI and/or the editor(s). MDPI and/or the editor(s) disclaim responsibility for any injury to people or property resulting from any ideas, methods, instructions or products referred to in the content. |
© 2023 by the authors. Licensee MDPI, Basel, Switzerland. This article is an open access article distributed under the terms and conditions of the Creative Commons Attribution (CC BY) license (https://creativecommons.org/licenses/by/4.0/).
Share and Cite
Li, T.; Wang, G.; Guo, X.; Zhao, M.; Liu, J.; Du, C. Evaluation and Optimization of a Command and Control System Based on Complex Networks Theory. Electronics 2023, 12, 1180. https://doi.org/10.3390/electronics12051180
Li T, Wang G, Guo X, Zhao M, Liu J, Du C. Evaluation and Optimization of a Command and Control System Based on Complex Networks Theory. Electronics. 2023; 12(5):1180. https://doi.org/10.3390/electronics12051180
Chicago/Turabian StyleLi, Tengda, Gang Wang, Xiangke Guo, Minrui Zhao, Jiayi Liu, and Chong Du. 2023. "Evaluation and Optimization of a Command and Control System Based on Complex Networks Theory" Electronics 12, no. 5: 1180. https://doi.org/10.3390/electronics12051180
APA StyleLi, T., Wang, G., Guo, X., Zhao, M., Liu, J., & Du, C. (2023). Evaluation and Optimization of a Command and Control System Based on Complex Networks Theory. Electronics, 12(5), 1180. https://doi.org/10.3390/electronics12051180

