A Compact Current-Transfer Model in Resonant-Tunneling Structures with Consideration of Interelectronic Interaction
Abstract
1. Introduction
- Specific symmetry with respect to the origin I–V curve waveform (anti-symmetric) allows the circuitry realization of some types of frequency converters to be simplified. In particular, in the construction of THz range frequency mixers, a scheme with subharmonic pumping is used, which enables the frequency of the heterodyne to be reduced and the design and technological implementation of the heterodyne circuit to be simplified. To suppress the odd harmonics of the heterodyne, the NE I–V curve must be anti-symmetrical, for which two counter-connected SBDs are used. When using RTDs as the NE in such circuits, one diode is sufficient. This increases the reliability of the converter and avoids the requirement to select two SBDs with identical parameters.
- An RTD functioning in the typical range of external influences for technical applications and its production can be achieved using proven technologies in semiconductor electronics.
2. Modeling Methodology
2.1. Initial Model
- The current density and concentration of electrons in the quantum well is caused by energy-charged electrons in the vicinity of the lowest resonance level, formed in the conduction zone of the RTS quantum well.
- The width of the resonant levels is negligibly small compared with thermal energy.
- The tunnel transparency coefficient and local density of states as a function of energy in the vicinity of resonant levels can be approximated by a function proportional to the Lorentz distribution function.
2.2. Current Density and Resonant Levels
2.3. Electron Concentration
2.4. Self-Consistent Potential
2.5. Multi-Level Model
3. Materials and Methods
- RTD No.1: AlAs with barrier thicknesses of 2.9 nm; GaAs with a well thickness of 4.9 nm; spacer thickness of 6.3 nm, transition layers 50 to 1500 nm thick with gradient doping from 7·× 1016 cm−3 with a mesa area of 900 μm2.
- RTD No.2: AlAs with barrier thickness of 2.26 nm; GaAs with a well thickness of 10.17 nm; spacer thickness of 2.26 nm transition layers 30 to 1500 nm thick with gradient doping from 7·× 1016 cm−3 with a mesa diameter of 10 μm.
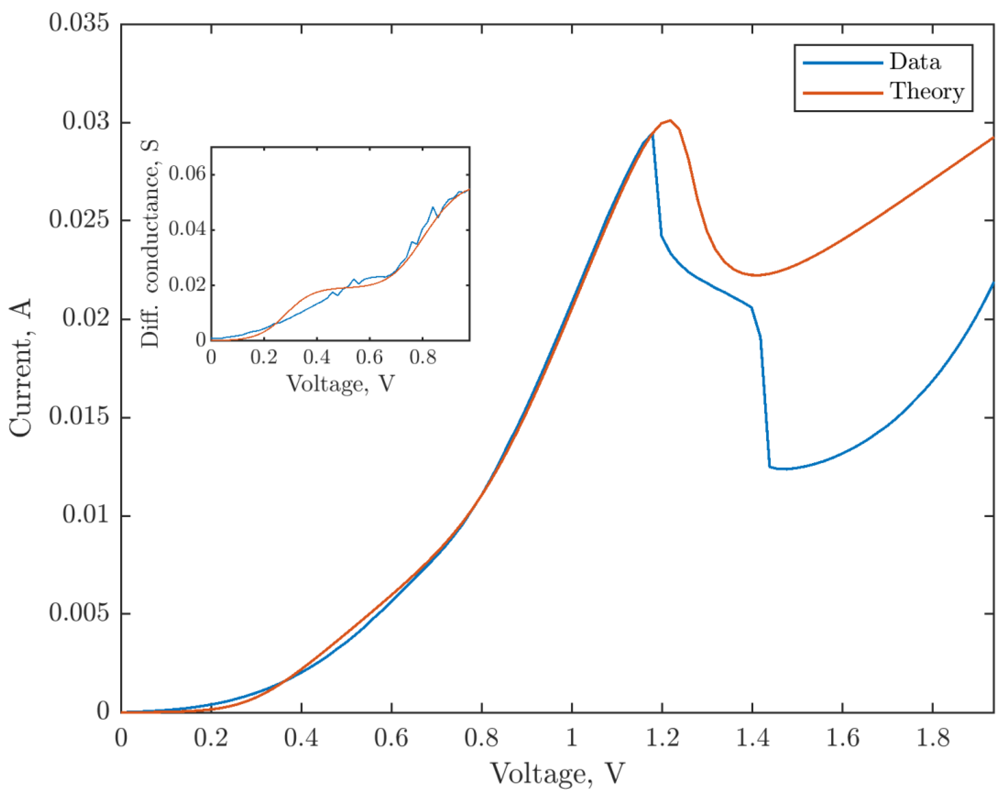
4. Results and Discussion
- owns_sc_nonscatt>sl3: solution of a system of linear algebraic equations by the chasing method.
- owns_sc_nonscatt>Jv/nz/fNz: calculation of a local density of states, i.e., an integrand function in Formula (11).
- funfun\private\IntegralCalc>IterateScalarValued: calculating integrals from scalar functions.
- funfun\private\IntegralCalc>IterateArrayValued: calculating integrals from vector functions.
- funfun\private\IntegralCalc: calculating any integrals.
- funfun\private\IntegralParseArgs: parsing arguments of integrable functions.
- owns_sc_nonscatt>@(E)fNz(E): anonymous function that calculates the local density of states (required to calculate the concentration of electrons).
- funfun\private\IntegralCalc>AtoBlnvTransform: auxiliary function for solving integrals.
- funfun\private\IntegralCalc>vadapt: auxiliary function for solving integrals.
- rtd_model_s0>jf/nv: calculating the concentration of electrons in the quantum well of the RTS.
- rtd_model_s0>@(e)ma*kR/2/pi/hp^2*log(1+exp((ef-f)/kT)): electron distribution in reservoirs.
- rtd_model_s0>@(e)1./(1+exp(-e)): auxiliary function (sigmoid).
- rtd_model_s0>jf/jv: current density calculation.
- rtd_model_s0: script name.
5. Conclusions
Author Contributions
Funding
Institutional Review Board Statement
Informed Consent Statement
Data Availability Statement
Conflicts of Interest
References
- Saadiah, H.; Jubadi, W.M.; Ahmad, M.; Jabbar, M.H. Resonant Tunnelling Diode Design for Oscillator Circuit. J. Phys. Conf. Ser. 2018, 1049, 012069. [Google Scholar] [CrossRef]
- Wang, J.; Al-Khalidi, A.; Alharbi, K.; Ofiare, A.; Zhou, H.; Wasige, E.; Figueiredo, J. High performance resonant tunneling diode oscillators as terahertz sources. In Proceedings of the 2016 46th European Microwave Conference (EuMC), London, UK, 4–6 October 2016; pp. 341–344. [Google Scholar]
- Maekawa, T.; Kanaya, H.; Suzuki, S.; Asada, M. Oscillation up to 1.92 THz in resonant tunneling diode by reduced conduction loss. Appl. Phys. Express 2016, 9, 024101. [Google Scholar] [CrossRef]
- Baba, R.; Stevens, B.J.; Mukai, T.; Hogg, R.A. Epitaxial designs for maximizing efficiency in resonant tunneling diode based terahertz emitters. IEEE J. Quantum Electron. 2018, 54, 1–11. [Google Scholar] [CrossRef]
- Izumi, R.; Sato, T.; Suzuki, S.; Asada, M. Resonant-tunneling-diode terahertz oscillator with a cylindrical cavity for high-frequency oscillation. AIP Adv. 2019, 9, 085020. [Google Scholar] [CrossRef]
- Ogino, K.; Suzuki, S.; Asada, M. Phase locking of resonant-tunneling-diode terahertz oscillators. In Proceedings of the 2017 42nd International Conference on Infrared, Millimeter, and Terahertz Waves (IRMMW-THz), Cancun, Mexico, 27 August–1 September 2017; pp. 1–2. [Google Scholar]
- Ikeda, Y.; Kitagawa, S.; Okada, K.; Suzuki, S.; Asada, M. Direct intensity modulation of resonant-tunneling-diode terahertz oscillator up to ∼30 GHz. IEICE Electron. Express 2015, 12, 20141161. [Google Scholar] [CrossRef]
- Feiginov, M. Frequency limitations of resonant-tunnelling diodes in sub-THz and THz oscillators and detectors. J. Infrared Millim. Terahertz Waves 2019, 40, 365–394. [Google Scholar] [CrossRef]
- Kasagi, K.; Suzuki, S.; Asada, M. Large-scale array of resonant-tunneling-diode terahertz oscillators for high output power at 1 THz. J. Appl. Phys. 2019, 125, 151601. [Google Scholar] [CrossRef]
- Izumi, R.; Suzuki, S.; Asada, M. 1.98 THz resonant-tunneling-diode oscillator with reduced conduction loss by thick antenna electrode. In Proceedings of the 2017 42nd International Conference on Infrared, Millimeter, and Terahertz Waves (IRMMW-THz), Cancun, Mexico, 27 August–1 September 2017; pp. 1–2. [Google Scholar]
- Asada, M.; Suzuki, S. Terahertz emitter using resonant-tunneling diode and applications. Sensors 2021, 21, 1384. [Google Scholar] [CrossRef]
- Diebold, S.; Nishio, K.; Nishida, Y.; Kim, J.Y.; Tsuruda, K.; Mukai, T.; Nagatsuma, T. High-speed error-free wireless data transmission using a terahertz resonant tunnelling diode transmitter and receiver. Electron. Lett. 2016, 52, 1999–2001. [Google Scholar] [CrossRef]
- Oshima, N.; Hashimoto, K.; Horikawa, D.; Suzuki, S.; Asada, M. Wireless data transmission of 30 Gbps at a 500-GHz range using resonant-tunneling-diode terahertz oscillator. In Proceedings of the 2016 IEEE MTT-S International Microwave Symposium (IMS), San Francisco, CA, USA, 22–27 May 2016; pp. 1–4. [Google Scholar]
- Iwamatsu, S.; Nishida, Y.; Fujita, M.; Nagatsuma, T. Terahertz coherent oscillator integrated with slot-ring antenna using two resonant tunneling diodes. Appl. Phys. Express 2021, 14, 034001. [Google Scholar] [CrossRef]
- Pfenning, A.; Hartmann, F.; Langer, F.; Kamp, M.; Höfling, S.; Worschech, L. Sensitivity of resonant tunneling diode photodetectors. Nanotechnology 2016, 27, 355202. [Google Scholar] [CrossRef]
- Takida, Y.; Suzuki, S.; Asada, M.; Minamide, H. Sensitive terahertz-wave detector responses originated by negative differential conductance of resonant-tunneling-diode oscillator. Appl. Phys. Lett. 2020, 117, 021107. [Google Scholar] [CrossRef]
- Wang, J.; Al-Khalidi, A.; Zhang, C.; Ofiare, A.; Wang, L.; Wasige, E.; Figueiredo, J.M. Resonant tunneling diode as high speed optical/electronic transmitter. In Proceedings of the 2017 10th UK-Europe-China Workshop on Millimetre Waves and Terahertz Technologies (UCMMT), Liverpool, UK, 11–13 September 2017; pp. 1–4. [Google Scholar]
- Liu, Y.; Gao, B.; Gong, M.; Shi, R. Modeling and optimization of a double-well double-barrier GaN/AlGaN/GaN/AlGaN resonant tunneling diode. J. Appl. Phys. 2017, 121, 215701. [Google Scholar] [CrossRef]
- Figueiredo, J.M.L.; Romeira, B.; Slight, T.; Ironside, C.; Kim, K.Y. Resonant tunnelling optoelectronic circuits. In Advances in Optical and Photonic Devices; InTech: Rijeka, Croatia, 2010; pp. 154–196. [Google Scholar]
- Abramov, I.I.; Goncharenko, I.A.; Kolomeitseva, N.V. Two-band combined model of a resonant tunneling diode. Semiconductors 2007, 41, 1375–1380. [Google Scholar] [CrossRef]
- Srivastava, S.; Kino, H.; Nakaharai, S.; Verveniotis, E.; Okawa, Y.; Ogawa, S.; Aono, M. Quantum transport localization through graphene. Nanotechnology 2016, 28, 035703. [Google Scholar] [CrossRef]
- Wright, S.W.; Lee, M.J.; Roberts, P.K.; Judge, C.P. A semi-empirical simulation model for polycrystalline thin film transistors. Solid-State Electron. 1999, 43, 2047–2055. [Google Scholar] [CrossRef]
- Hammouda, H.B.; Mhiri, M.; Gafsi, Z.; Besbes, K. Neural-based models of semiconductor devices for SPICE simulator. Am. J. Appl. Sci. 2008, 5, 385–391. [Google Scholar] [CrossRef]
- Vetrova, N.A.; Pchelintsev, K.P.; Shashurin, V.D. An artificial neural network as a predictor of electrical characteristics of nanoelectronic device channel based on a low-dimensional heterostructure. J. Phys. Conf. Ser. 2020, 1695, 012152. [Google Scholar] [CrossRef]
- Vetrova, N.A.; Kuimov, E.V.; Meshkov, S.A.; Shashurin, V.D. About AlGaAs-heterostructures CVC kinetics simulation. RENSIT 2019, 11, 299–306. [Google Scholar] [CrossRef]
- Shashurin, V.D.; Vetrova, N.A.; Pchelintsev, K.P.; Kuimov, E.V.; Meshkov, S.A. Designing radio electronic systems for space purposes optimal by the criterion of reliability based on ultra-high-speed heterostructure nanoelectronics devices. AIP Conf. Proc. 2019, 2171, 150004. [Google Scholar]
- Shasurin, V.D.; Vetrova, N.A.; Kuimov, E.V. Validation of the model for predicting VAC RTD photonics. J. Phys. Conf. Ser. 2020, 1571, 012008. [Google Scholar] [CrossRef]
- Woltjer, R.; Tiemeijer, L.; Klaassen, D. An industrial view on compact modeling. Solid State Electron. 2007, 51, 1572–1580. [Google Scholar] [CrossRef]
- Zebrev, G.I.; Orlov, V.V.; Bakerenkov, A.S.; Felitsyn, V.A. Compact Modeling of MOSFET I–V Characteristics and Simulation of Dose-Dependent Drain Currents. IEEE Trans. Nucl. Sci. 2017, 64, 2212–2218. [Google Scholar] [CrossRef]
- Rahman, E.; Shadman, A.; Ahmed, I.; Khan, S.U.Z.; Khosru, Q.D. A physically based compact I–V model for monolayer TMDC channel MOSFET and DMFET biosensor. Nanotechnology 2018, 29, 235203. [Google Scholar] [CrossRef]
- Huang, H.S.; Wang, W.L.; Wang, M.C.; Chao, Y.H.; Wang, S.J.; Chen, S.Y. IV model of nano nMOSFETs incorporating drift and diffusion current. Vacuum 2018, 155, 76–82. [Google Scholar] [CrossRef]
- Buccafurri, E. Analytical Modeling of Silicon Based Resonant Tunneling Diode for RF Oscillator Application. Ph.D. Thesis, Institut National Des Sciences Appliquées, Lyon, France, 2010. [Google Scholar]
- Diebold, S.; Fujita, M.; Nagatsuma, T. Asymmetrical conductance model to analyze resonant tunneling diode terahertz oscillators. In Proceedings of the 2017 IEEE MTT-S International Microwave Symposium (IMS), Honololu, HI, USA, 4–9 June 2017; pp. 1795–1797. [Google Scholar]
- Diebold, S.; Nakai, S.; Nishio, K.; Kim, J.; Tsuruda, K.; Mukai, T.; Nagatsuma, T. Modeling and simulation of terahertz resonant tunneling diode-based circuits. IEEE Trans. Terahertz Sci. Technol. 2016, 6, 716–723. [Google Scholar] [CrossRef]
- Encomendero, J.; Yan, R.; Verma, A.; Islam, S.M.; Protasenko, V.; Rouvimov, S.; Xing, H.G. Room temperature microwave oscillations in GaN/AlN resonant tunneling diodes with peak current densities up to 220 kA/cm2. Appl. Phys. Lett. 2018, 112, 103101. [Google Scholar] [CrossRef]
- Moskaliuk, V.; Timofeev, V.; Fedyay, A. Ultra-High-Speed Electronic Devices; LAP LAMBERT Academic Publishing: Saarbrucken, Germany, 2014; 232p. [Google Scholar]
- Sun, J.P.; Mains, R.K.; Yang, K.; Haddad, G.I. A self-consistent model of Γ-X mixing in GaAs/AlAs/GaAs quantum well structures using the quantum transmitting boundary method. J. Appl. Phys. 1993, 74, 5053–5060. [Google Scholar] [CrossRef]
- Wang, J.; Wasige, E. Self-consistent analysis of the IV characteristics of resonant tunnelling diodes. Int. J. Terahertz Sci. Technol. 2012, 5, 153–162. [Google Scholar]
- Vetrova, N.A.; Ivanov, Y.A.; Kuimov, E.V.; Makeev, M.O.; Meshkov, S.A.; Pchelintsev, K.P.; Shashurin, V.D. Modeling of current transfer in AlAs/GaAs heterostructures with accounting for intervalley scattering. RENSIT 2018, 10, 71–76. [Google Scholar] [CrossRef]
- Slight, T.J.; Ironside, C.N.; Stanley, C.R.; Hopkinson, M.; Farmer, C.D. Integration of a resonant tunneling diode and an optical communications laser. IEEE Photonics Technol. Lett. 2006, 18, 1518–1520. [Google Scholar] [CrossRef]




| Parameters | RTD №1 | RTD №2 | 
|---|---|---|
| Experimentally measured peak current value, mA | 29.45 | 1.38 | 
| Theoretically measured peak current value, mA | 30.10 | 1.38 | 
| Accuracy of peak current calculation, % | 2.20 | 0.00 | 
| Measured peak position, V | 1.18 | 1.38 | 
| Theoretically calculated peak position, V | 1.22 | 1.38 | 
| Accuracy of peak position calculation, % | 3.41 | 0.00 | 
| Average absolute error in the calculation of the initial section of the current–voltage characteristics, mA | 0.22 | 0.01 | 
| Maximum absolute error in the calculation of the initial section of the current–voltage characteristics, mA | 0.47 | 0.02 | 
| Average relative error in the calculation of the initial section of the current–voltage characteristics, % | 0.75 | 0.75 | 
| Maximum relative error in the calculation of the initial section of the current–voltage characteristics, mA | 1.58 | 1.80 | 
| Function Name | Calls | Total Time (s) | Self-Time(s) | 
|---|---|---|---|
| owns_sc_nonscatt>sl3 | 3,590,806 | 550.232 | 550.232 | 
| owns_sc_nonscatt>Jv/nz/fNz | 3,505,123 | 681.743 | 139.713 | 
| funfun\private\IntegralCalc>IterateScalarValued | 925,944 | 88.501 | 50.547 | 
| funfun\private\IntegralCalc>IterateArrayValued | 1286 | 747.195 | 38.555 | 
| funfun\private\IntegralCalc | 927,230 | 891.587 | 34.594 | 
| Funfun\private\IntegralParseArgs | 927,230 | 40.665 | 28.830 | 
| Owns_sc_nonscatt>@(E)fNz(E) | 3,505,123 | 700.773 | 19.030 | 
| funfun\private\IntegralCalc>AtoBlnvTransform | 1,162,134 | 18.622 | 18.622 | 
| funfun\private\IntegralCalc>vadapt | 927,230 | 856.993 | 11.549 | 
| Function Name | Calls | Total Time (s) | Self-Time(s) | 
|---|---|---|---|
| rtd_model_s0>jf/nv | 98,000 | 1.687 | 0.952 | 
| rtd_model_s0>@(e)ma*kR/2/pi/hp^2*log(1+exp((ef-f)/kT)) | 588,000 | 0.560 | 0.560 | 
| rtd_model_s0>@(e)1./(1+exp(-e)) | 196,000 | 0.175 | 0.172 | 
| rtd_model_s0>jf/jv | 1 | 1.809 | 0.122 | 
| rtd_model_s0 | 1 | 2.375 | 0.064 | 
| Disclaimer/Publisher’s Note: The statements, opinions and data contained in all publications are solely those of the individual author(s) and contributor(s) and not of MDPI and/or the editor(s). MDPI and/or the editor(s) disclaim responsibility for any injury to people or property resulting from any ideas, methods, instructions or products referred to in the content. | 
© 2023 by the authors. Licensee MDPI, Basel, Switzerland. This article is an open access article distributed under the terms and conditions of the Creative Commons Attribution (CC BY) license (https://creativecommons.org/licenses/by/4.0/).
Share and Cite
Vetrova, N.; Kuimov, E.; Meshkov, S.; Makeev, M.; Sinyakin, V.; Shashurin, V. A Compact Current-Transfer Model in Resonant-Tunneling Structures with Consideration of Interelectronic Interaction. Electronics 2023, 12, 519. https://doi.org/10.3390/electronics12030519
Vetrova N, Kuimov E, Meshkov S, Makeev M, Sinyakin V, Shashurin V. A Compact Current-Transfer Model in Resonant-Tunneling Structures with Consideration of Interelectronic Interaction. Electronics. 2023; 12(3):519. https://doi.org/10.3390/electronics12030519
Chicago/Turabian StyleVetrova, Natalia, Evgeny Kuimov, Sergey Meshkov, Mstislav Makeev, Vladimir Sinyakin, and Vasiliy Shashurin. 2023. "A Compact Current-Transfer Model in Resonant-Tunneling Structures with Consideration of Interelectronic Interaction" Electronics 12, no. 3: 519. https://doi.org/10.3390/electronics12030519
APA StyleVetrova, N., Kuimov, E., Meshkov, S., Makeev, M., Sinyakin, V., & Shashurin, V. (2023). A Compact Current-Transfer Model in Resonant-Tunneling Structures with Consideration of Interelectronic Interaction. Electronics, 12(3), 519. https://doi.org/10.3390/electronics12030519
 
        


 
       