A Semi-Octagonal 40-Bit High Capacity Chipless RFID Tag for Future Product Identification
Abstract
1. Introduction
2. The Tag
2.1. Theoretical Design and Coding Scheme
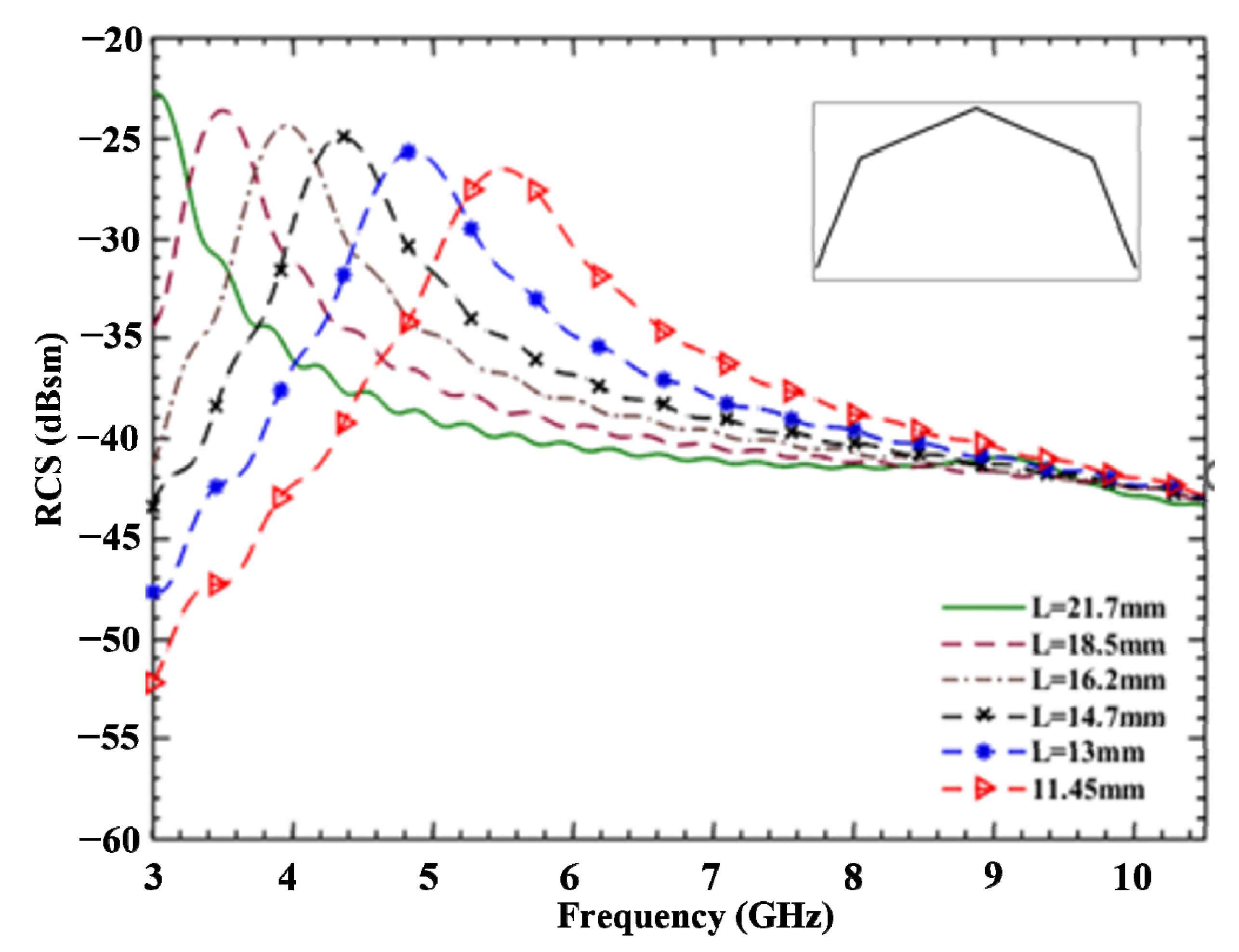
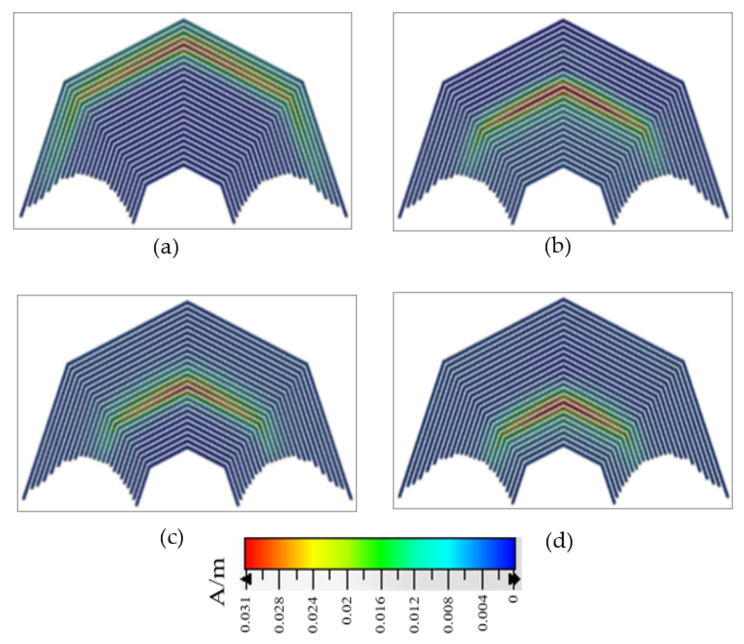
2.2. Single Bit Resonator
2.3. Tag Configurations
3. Fabrication and Measurement Results
4. Conclusions
Author Contributions
Funding
Data Availability Statement
Acknowledgments
Conflicts of Interest
References
- Preradovic, S.; Karmakar, N.C. Chipless RFID: Bar code of the future. IEEE Microw. Mag. 2010, 11, 87–97. [Google Scholar] [CrossRef]
- Rezaiesarlak, R.; Manteghi, M. Chipless RFID: Design Procedure and Detection Techniques; Springer: Berlin/Heidelberg, Germany, 2016. [Google Scholar]
- Khan, M.M.; Tahir, F.A.; Cheema, H.M. Frequency Band Utilization Enhancement for Chipless RFID Tag through Place Value Encoding. In Proceedings of the IEEE International Antennas and Propagation Symposium and USNC-URSI Radio Science Meeting, Fajardo, PR, USA, 26 June–1 July 2016; pp. 1477–1478. [Google Scholar]
- Pöpperl, M.; Parr, A.; Mandel, C.; Jakoby, R.; Vossiek, M. Potential and practical limits of time-domain reflectometry chipless RFID. IEEE Trans. Microw. Theory Tech. 2016, 64, 2968–2976. [Google Scholar] [CrossRef]
- Kalansuriya, P.; Karmakar, N.C.; Viterbo, E. On the detection of frequency-spectra-based chipless RFID using UWB impulsed interrogation. IEEE Trans. Microw. Theory Tech. 2012, 60, 4187–4197. [Google Scholar] [CrossRef]
- Khan, M.M.; Tahir, F.A.; Farooqui, M.F.; Shamim, A.; Cheema, H.M. 3.56-bits/cm2 Compact Inkjet Printed and Application Specific Chipless RFID Tag. IEEE Antennas Wirel. Propag. Lett. 2016, 15, 1109–1112. [Google Scholar] [CrossRef]
- Feng, C.; Zhang, W.; Li, L.; Han, L.; Chen, X.; Ma, R. Angle-based chipless RFID tag with high capacity and insensitivity to polarization. IEEE Trans. Antennas Propag. 2015, 63, 1789–1797. [Google Scholar] [CrossRef]
- Jabeen, S.; Ullah, H.; Tahir, F.A. A 26 Bit Alternating U-shaped Chipless RFID Tag Using Slot Length Variation Technique. In Proceedings of the IEEE International Conference on Microwave, Antennas & Circuits (ICMAC), Islamabad, Pakistan, 21–22 December 2021; pp. 1–3. [Google Scholar]
- Khan, M.M.; Tahir, F.A.; Cheema, H.M. High Capacity Polarization Sensitive Chipless RFID Tag. In Proceedings of the IEEE International Antennas and Propagation Symposium and USNC-URSI Radio Science Meeting, Vancouver, BC, Canada, 19–24 July 2015; pp. 1770–1771. [Google Scholar]
- Islam, M.A.; Karmakar, N.C. Compact Printable Chipless RFID Systems. IEEE Trans. Microw. Theory Tech. 2015, 63, 3785–3793. [Google Scholar] [CrossRef]
- Zafar, S.; Rubab, S.; Ullah, H.; Tahir, F.A. A 12-bit Hexagonal Chip-less Tag for Radio Frequency Identification Applications. In Proceedings of the 2020 IEEE International Symposium on Antennas and Propagation and North American Radio Science Meeting, Montreal, QC, Canada, 5–10 July 2020; pp. 1503–1504. [Google Scholar]
- Salemi, F.; Hassani, H.R.; Mohammad-Ali-Nezhad, S. Linearly Polarized Compact Extended U-shaped Chipless RFID Tag. AEU-Int. J. Electron. Commun. 2020, 117, 153129. [Google Scholar] [CrossRef]
- Wang, L.; Liu, T.; Sidénn, J.; Wang, G. Design of chipless RFID tag by using miniaturized open-loop resonators. IEEE Trans. Antennas Propag. 2018, 66, 618–626. [Google Scholar] [CrossRef]
- Islam, M.A.; Karmakar, N.C. A novel compact printable dualpolarized chipless RFID system. IEEE Trans. Microw. Theory Tech. 2012, 60, 2142–2151. [Google Scholar] [CrossRef]
- Betancourt, D.; Haase, K.; Hübler, A.; Ellinger, F. Bending and folding effect study of flexible fully printed and late-stage coded octagonal chipless RFID tags. IEEE Trans. Antennas Propag. 2016, 64, 2815–2823. [Google Scholar] [CrossRef]
- Haider, U.A.; Noman, M.; Ullah, H.; Tahir, F.A. A Compact L-Shaped 16 Bit Polarization Independent Chipless RFID Tag. In Proceedings of the 2020 International Conference on UK-China Emerging Technologies (UCET), Glasgow, UK, 20–21 August 2020; pp. 1–3. [Google Scholar]
- Haider, U.A.; Noman, M.; Ullah, H.; Tahir, F.A. A Compact Chip-less RFID Tag for IoT Applications. In Proceedings of the 2020 IEEE International Symposium on Antennas and Propagation and North American Radio Science Meeting, Montreal, QC, Canada, 5–10 July 2020; pp. 1449–1450. [Google Scholar]
- Jabeen, I.; Ejaz, A.; Riaz, M.A.; Khan, M.J.; Akram, A.; Amin, Y.; Tenhunen, H. Miniaturized Elliptical Slot Based Chipless RFID Tag for Moisture Sensing. Appl. Comput. Electromagn. Soc. J. 2019, 34, 1366–1372. [Google Scholar]
- Tariq, N.; Riaz, M.; Shahid, H.; Khan, M.; Khan, M.; Amin, Y.; Loo, J.; Tenhunen, H. Orientation Independent Chipless RFID Tag Using Novel Trefoil Resonators. IEEE Access 2019, 7, 122398–122407. [Google Scholar] [CrossRef]
- Riaz, M.; Abdullah, Y.; Shahid, H.; Amin, Y.; Akram, A.; Tenhunen, H. Novel butterfly slot based chipless RFID tag. Radioengineering 2018, 27, 776–783. [Google Scholar] [CrossRef]
- Tariq, N.; Riaz, M.; Shahid, H.; Khan, M.; Tenhunen, H. A Novel Kite-Shaped Chipless RFID Tag for Low-Profile Applications. IETE J. Res. 2019, 68, 2149–2156. [Google Scholar] [CrossRef]
- Svanda, M.; Havlicek, J.; Machac, J.; Polivka, M. Polarisation independent chipless RFID tag based on circular arrangement of dual-spiral capacitively-loaded dipoles with robust RCS response. IET Microw. Antennas Propag. 2018, 12, 2167–2171. [Google Scholar] [CrossRef]
- Sharma, V.; Malhotra, S.; Hashmi, M. Slot Resonator Based Novel Orientation Independent Chipless RFID Tag Configurations. IEEE Sens. J. 2019, 19, 5153–5160. [Google Scholar] [CrossRef]
- Jabeen, I.; Ejaz, A.; Rahman, M.; Naghshvarianjahromi, M.; Khan, M.; Amin, Y.; Tenhunen, H. Data-Dense and Miniature Chipless Moisture Sensor RFID Tag for Internet of Things. Electronics 2019, 8, 1182. [Google Scholar] [CrossRef]
- Havlicek, J.; Švanda, M.; Polivka, M.; Machac, J.; Kracek, J. Chipless RFID Tag Based on Electrically Small Spiral Capacitively Loaded Dipole. IEEE Antennas Wirel. Propag. Lett. 2017, 16, 3051–3054. [Google Scholar] [CrossRef]
- Abdulkawi, W.M.; Sheta, A.-F.A. Four-State Coupled Line Resonator for Chipless RFID Tags Application. Electronics 2019, 8, 581. [Google Scholar] [CrossRef]
- Ma, Z.; Jiang, Y. High-Density 3D Printable Chipless RFID Tag with Structure of Passive Slot Rings. Sensors 2019, 19, 2535. [Google Scholar] [CrossRef]
- Babaeian, F.; Karmakar, N. Compact Multi-Band Chipless RFID Resonators for Identification and Authentication Applications. Electron. Lett. 2020, 56, 724–727. [Google Scholar] [CrossRef]
- Noman, M.; Haider, U.A.; Ullah, H.; Tahir, F.A.; Khan, M.U.; Abbasi, Q.H. 12-Bit Chip-less RFID Tag with High Coding Capacity per Unit Area. In Proceedings of the 2022 IEEE International Symposium on Antennas and Propagation and USNC-URSI Radio Science Meeting (AP-S/URSI), Denver, CO, USA, 10–15 July 2022; pp. 127–128. [Google Scholar]
- Noman, M.; Haider, U.A.; Ullah, H.; Tahir, F.A.; Rmili, H.; Najam, A.I. A 32-Bit Single Quadrant Angle-Controlled Chipless Tag for Radio Frequency Applications. Sensors 2022, 22, 2492. [Google Scholar] [CrossRef] [PubMed]
- Noman, M.; Haider, U.A.; Ullah, H.; Hashmi, A.M.; Tahir, F.A. Realization of Chipless RFID Tags via Systematic Loading of Square Split Ring with Circular Slots. IEEE J. Radio Freq. Identif. 2022, 6, 671–679. [Google Scholar] [CrossRef]
- Noman, M.; Haider, U.A.; Hashmi, A.M.; Ullah, H.; Najam, A.I.; Tahir, F.A. A Novel Design Methodology to Realize a Single Byte by Loading a Square Open-Loop Resonator with Micro-Metallic cells. IEEE J. Microwaves. 2022, 12, accepted. [Google Scholar] [CrossRef]
- Vena, A.; Perret, E.; Tedjini, S. Chipless RFID Tag Using Hybrid Coding Technique. IEEE Trans. Microw. Theory Tech. 2011, 59, 3356–3364. [Google Scholar] [CrossRef]











| Case | Frequency Range, f (GHz) | RCS Magnitude Range (dBsm) | Decoded Logic |
|---|---|---|---|
| 1 | FaM < f < FbM | |RCS| > −38.5 | 0 |
| 2 | FaM < f < FbM | |RCS| < −41.5 | 1 |
| 3 | FaM < f < FbN | −38.5 > |RCS| > −41.5 | invalid |
| 4 | FaM-1 < f < FaM | |RCS| > 0 | invalid |
| S. No | Tag Name | Tag 40-Bit ID |
|---|---|---|
| 1 | Tag 1 | 01101101 00101101 10101010 11010100 10000100 |
| 2 | Tag 2 | 10010010 01000100 10010010 00100010 00001000 |
| 3 | Tag 3 | 01101000 00101101 00101001 01001010 10001000 |
| 4 | Tag 4 | 10100001 10010100 10100001 00000010 00010100 |
| Parameter | Value (mm) | Parameter | Value (mm) | Parameter |
|---|---|---|---|---|
| La1 | 3.52 | La18 | 8.72 | Lb10 |
| La2 | 3.82 | La19 | 9.03 | Lb11 |
| La3 | 4.13 | La20 | 9.33 | Lb12 |
| La4 | 4.43 | La21 | 9.64 | Lb13 |
| La5 | 4.74 | La22 | 9.94 | Lb114 |
| La6 | 5.05 | La23 | 10.25 | Lb15 |
| La7 | 5.35 | La24 | 10.56 | Lb16 |
| La8 | 5.66 | La25 | 10.87 | Lb17 |
| La9 | 5.97 | Lb1 | 2.87 | La18 |
| La10 | 6.27 | Lb2 | 2.74 | Lb19 |
| La11 | 6.68 | Lb3 | 2.61 | Lb20 |
| La12 | 6.89 | Lb4 | 2.49 | Lb21 |
| La13 | 7.19 | Lb5 | 2.51 | Lb22 |
| La114 | 7.5 | Lb6 | 2.45 | Lb23 |
| La114 | 7.5 | Lb6 | 2.45 | Lb23 |
| La15 | 7.8 | Lb7 | 2.43 | Lb24 |
| La16 | 8.11 | Lb8 | 2.52 | Lb25 |
| La17 | 8.41 | Lb9 | 2.5 | - |
| Ref. No. | Tag Structure | Operating Frequency (GHz) | Size (mm2) | No. of Bits | Code Density (Bits/cm2) | Spectral Efficiency (Bits/GHz) |
|---|---|---|---|---|---|---|
| [18] | Elliptical Slot | 3.5–15.5 | 22.8 × 16 | 10 | 2.74 | 0.83 |
| [19] | Trefoil-Shaped Slot | 5.4–10.4 | 13.55 × 13.55 | 10 | 5.44 | 2 |
| [20] | Butterfly Slot | 4.7–9.7 | 14 × 14 | 10 | 5.1 | 2 |
| [21] | kite-shaped resonators | 4.7–10 | 13.55 × 13.55 | 10 | 5.44 | 2 |
| [22] | Circularly Arranged Scatters | 1.8–3.6 | 55 × 55 | 20 | 0.7 | 12.5 |
| [23] | L-Shaped Slots | 3–6 | 20 × 20 | 8 | 4 | 5.33 |
| [24] | Semi-Elliptical Shaped Slots | 4.1–16 | 25 × 17 | 20 | 4.70 | 1.68 |
| [25] | Spiral C-loaded Scatters | 2–3.6 | 16.7 × 67.8 | 20 | 1.77 | 12.5 |
| [26] | Coupled Line Micro Strip Resonator | 5–8 | 60.3 × 11 | 21 | 1.1 | 7 |
| [27] | Rectangular Slot Ring | 2–9 | 35 × 35 | 12 | 0.98 | 1.9 |
| Proposed Tag | Semi-Regular Octagon Shaped Strips | 3.1–10.5 | 14.5 × 28 | 40 | 9.85 | 5.40 |
Disclaimer/Publisher’s Note: The statements, opinions and data contained in all publications are solely those of the individual author(s) and contributor(s) and not of MDPI and/or the editor(s). MDPI and/or the editor(s) disclaim responsibility for any injury to people or property resulting from any ideas, methods, instructions or products referred to in the content. |
© 2023 by the authors. Licensee MDPI, Basel, Switzerland. This article is an open access article distributed under the terms and conditions of the Creative Commons Attribution (CC BY) license (https://creativecommons.org/licenses/by/4.0/).
Share and Cite
Haider, U.A.; Noman, M.; Rashid, A.; Rmili, H.; Ullah, H.; Tahir, F.A. A Semi-Octagonal 40-Bit High Capacity Chipless RFID Tag for Future Product Identification. Electronics 2023, 12, 349. https://doi.org/10.3390/electronics12020349
Haider UA, Noman M, Rashid A, Rmili H, Ullah H, Tahir FA. A Semi-Octagonal 40-Bit High Capacity Chipless RFID Tag for Future Product Identification. Electronics. 2023; 12(2):349. https://doi.org/10.3390/electronics12020349
Chicago/Turabian StyleHaider, Usman A., Muhammad Noman, Aamir Rashid, Hatem Rmili, Hidayat Ullah, and Farooq A. Tahir. 2023. "A Semi-Octagonal 40-Bit High Capacity Chipless RFID Tag for Future Product Identification" Electronics 12, no. 2: 349. https://doi.org/10.3390/electronics12020349
APA StyleHaider, U. A., Noman, M., Rashid, A., Rmili, H., Ullah, H., & Tahir, F. A. (2023). A Semi-Octagonal 40-Bit High Capacity Chipless RFID Tag for Future Product Identification. Electronics, 12(2), 349. https://doi.org/10.3390/electronics12020349

