Realization of Unity Power Factor Wireless Power Transfer System under Subnormal Operation Conditions
Abstract
:1. Introduction
2. Theoretical Analysis
2.1. Static-State Solution Derivation for SN Compensation
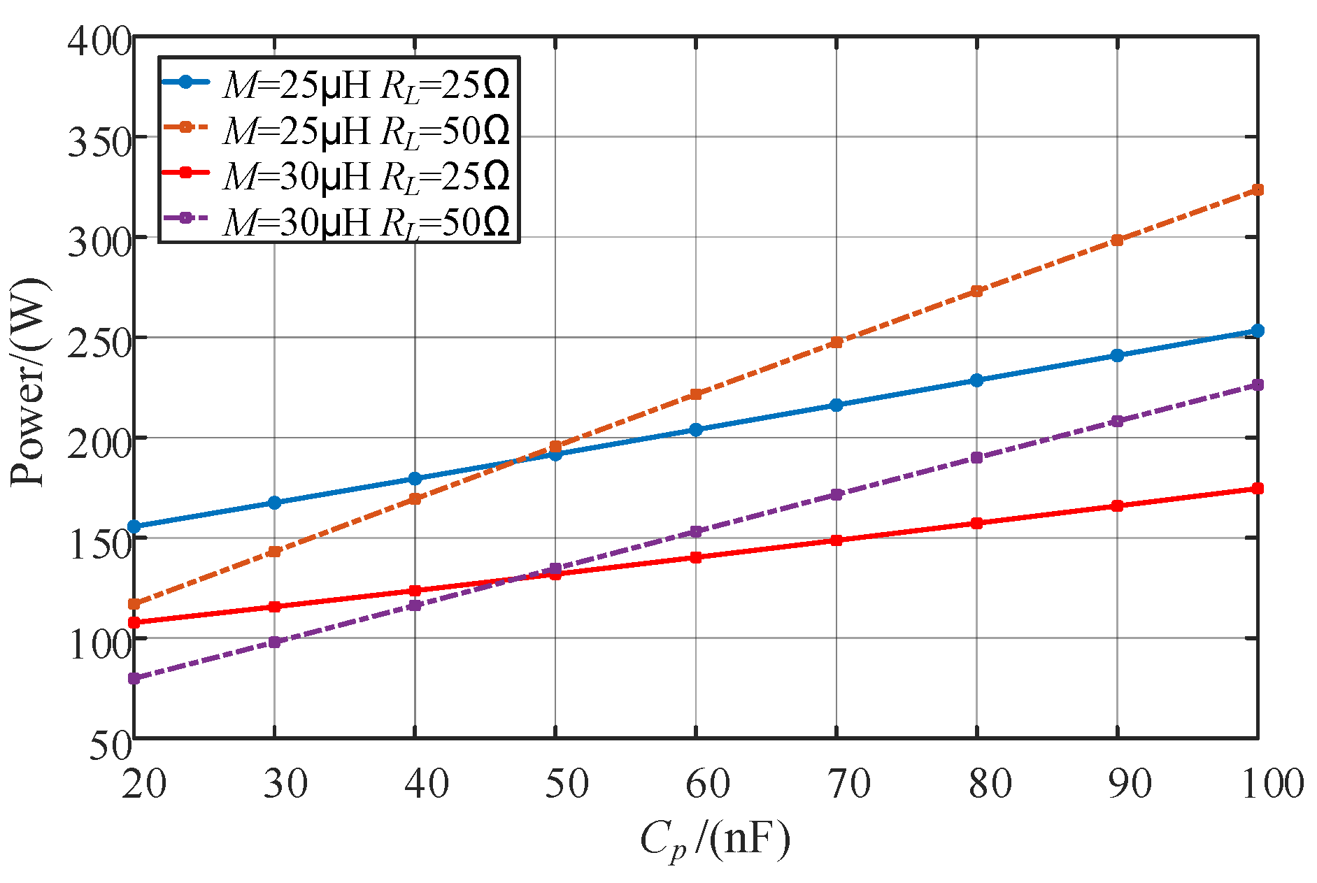
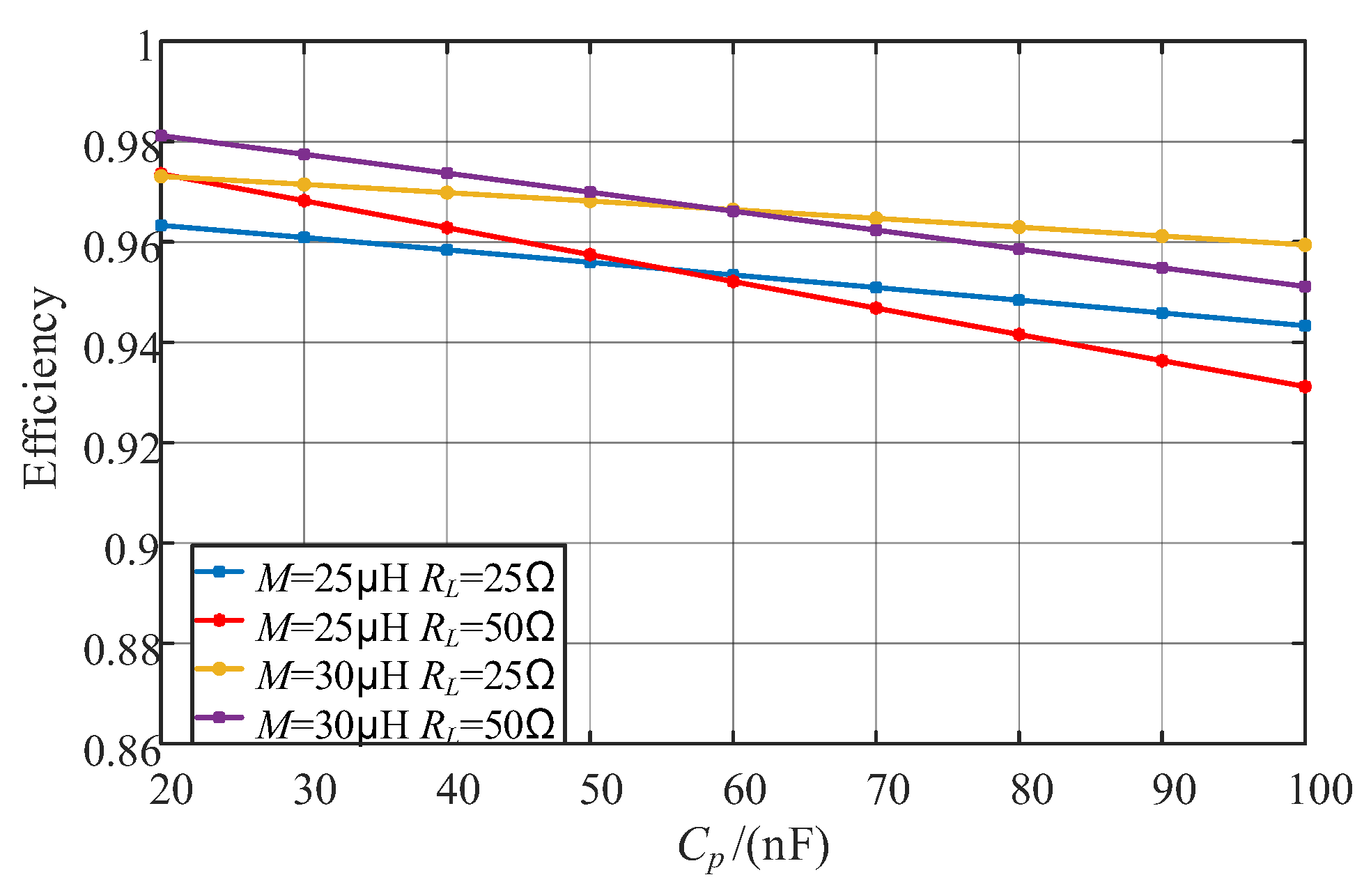
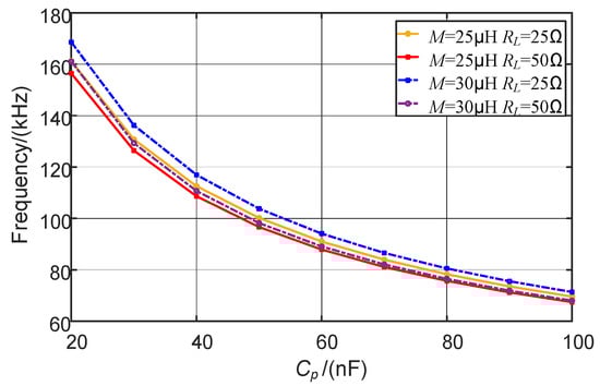
2.2. Output Power and Coupling Efficiency Analysis of SN Compensation
3. Control Strategy
4. Experimental Performance
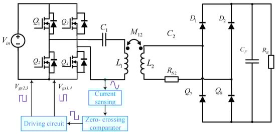
4.1. Experimental Platform
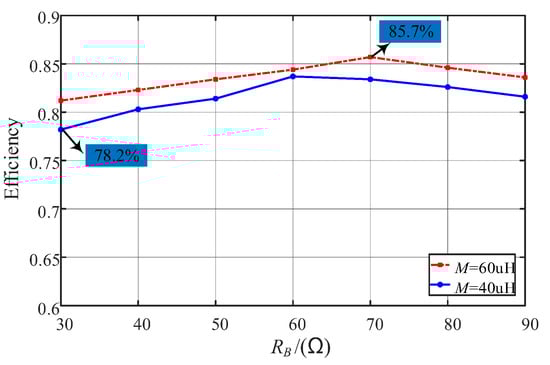
4.2. Experimental Results
5. Conclusions
Author Contributions
Funding
Data Availability Statement
Acknowledgments
Conflicts of Interest
References
- Hui, S. Planar Wireless Charging Technology for Portable Electronic Products and Qi. Proc. IEEE 2013, 101, 1290–1301. [Google Scholar] [CrossRef]
- Kim, J.; Son, H.; Kim, D.; Park, Y. Optimal design of a wireless power transfer system with multiple self-resonators for an LED TV. IEEE Trans. Consum. Electron. 2012, 58, 775–780. [Google Scholar] [CrossRef]
- Das, R.; Moradi, F.; Heidari, H. Biointegrated and Wirelessly Powered Implantable Brain Devices: A Review. IEEE Trans. Biomed. Circuits Syst. 2020, 14, 343–358. [Google Scholar] [CrossRef]
- Varikkottil, S.; Febin Daya, J.L. Estimation of Optimal Operating Frequency for Wireless EV Charging System under Misalignment. Electronics 2019, 8, 342. [Google Scholar] [CrossRef]
- Niu, M.; Sun, X.; Ma, H.; Zhu, Z.; Huang, T.; Song, K. Analysis and Design of Wireless Power Transfer System for Rotational Inertial Navigation Application. Appl. Sci. 2022, 12, 6392. [Google Scholar] [CrossRef]
- Song, K.; Lan, Y.; Zhang, X.; Jiang, J.; Sun, C.; Yang, G.; Yang, F.; Lan, H. A Review on Interoperability of Wireless Charging Systems for Electric Vehicles. Energies 2023, 16, 1653. [Google Scholar] [CrossRef]
- Kim, D.; Abu-Siada, A.; Sutinjo, A. State-of-the-art literature review of WPT: Current limitations and solutions on IPT. Electr. Power Syst. Res. 2018, 154, 493–502. [Google Scholar] [CrossRef]
- Rayan, B.A.; Subramaniam, U.; Balamurugan, S. Wireless Power Transfer in Electric Vehicles: A Review on Compensation Topologies, Coil Structures, and Safety Aspects. Energies 2023, 16, 3084. [Google Scholar] [CrossRef]
- Mao, X.; Chen, J.; Zhang, Y.; Dong, J. A Simple and Reconfigurable Wireless Power Transfer System with Constant Voltage and Constant Current Charging. IEEE Trans. Power Electron. 2022, 37, 4921–4925. [Google Scholar] [CrossRef]
- Li, Y.; Hu, J.; Liu, M.; Chen, Y.; Chan, K.; He, Z.; Mai, R. ReconFigurable Intermediate Resonant Circuit Based WPT System with Load-Independent Constant Output Current and Voltage for Charging Battery. IEEE Trans. Power Electron. 2019, 34, 1988–1992. [Google Scholar] [CrossRef]
- Wong, C.S.; Chan, Y.P.; Cao, L.; Wang, L.; Loo, K.H.; Wong, M.C. A Single-Stage Dynamically Compensated IPT Converter with Unity Power Factor and Constant Output Voltage Under Varying Coupling Condition. IEEE Trans. Power Electron. 2020, 35, 10121–10136. [Google Scholar] [CrossRef]
- Pan, X.; Zhang, C.; Niu, H.; Zuo, Y.; Zhao, F. A PS/S Current-Fed IPT System with Variable Capacitors for Achieving ZPA Operation. IEEE J. Emerg. Sel. Topics Power Electron. 2021, 9, 4918–4931. [Google Scholar] [CrossRef]
- Wang, X.; Xu, J.; Lu, S.; Ren, S.; Leng, M.; Ma, H. Single-Receiver Multioutput Inductive Power Transfer System with Independent Regulation and Unity Power Factor. IEEE Trans. Power Electron. 2022, 37, 1159–1171. [Google Scholar] [CrossRef]
- Li, Z.; Liu, H.; Huo, Y.; He, J.; Tian, Y.; Liu, J. High-Misalignment Tolerance Wireless Charging System for Constant Power Output Using Dual Transmission Channels with Magnetic Flux Controlled Inductors. IEEE Trans. Power Electron. 2022, 37, 13930–13945. [Google Scholar] [CrossRef]
- Guo, D.; Su, Y.; Yin, H.; Lan, H.; Li, D. Self-adaptive Resonance Technology for Wireless Power Transfer Systems to Eliminate Impedance Mismatches. IEEE Trans. Power Electron. 2023. [Google Scholar] [CrossRef]
- Pahlavan, S.; Shooshtari, M.; Jafarabadi Ashtiani, S. Star-Shaped Coils in the Transmitter Array for Receiver Rotation Tolerance in Free-Moving Wireless Power Transfer Applications. Energies 2022, 15, 8643. [Google Scholar] [CrossRef]
- Chen, J.; Li, R.; Yu, S.; Zhang, Z.; Cai, J.; Zhang, W.; Sun, H. Anti-Offset High-Voltage Wireless Power Transfer System Based on Many-to-One Topology. Electronics 2023, 12, 1898. [Google Scholar] [CrossRef]
- Zhang, Y.; Kan, T.; Yan, Z.; Mao, Y.; Wu, Z.; Mi, C.C. Modeling and Analysis of Series-None Compensation for Wireless Power Transfer Systems with a Strong Coupling. IEEE Trans. Power Electron. 2019, 34, 1209–1215. [Google Scholar] [CrossRef]
- Yang, L.; Shao, S.; Wu, H.; Jiang, S.; Zhang, L. A CC-Type IPT System Based on S/S/N Three-Coil Structure to Realize Low-Cost and Compact Receiver. Electronics 2023, 12, 463. [Google Scholar] [CrossRef]
- Lu, J.; Zhu, G.; Lin, D.; Zhang, Y.; Wang, H.; Mi, C.C. Realizing Constant Current and Constant Voltage Outputs and Input Zero Phase Angle of Wireless Power Transfer Systems with Minimum Component Counts. IEEE Trans. Intell. Transp. Syst. 2021, 22, 600–610. [Google Scholar] [CrossRef]
- Stankiewicz, J.M.; Choroszucho, A. Efficiency of the Wireless Power Transfer System with Planar Coils in the Periodic and Aperiodic Systems. Energies 2022, 15, 115. [Google Scholar] [CrossRef]
- Yang, F.; Jiang, J.; Sun, C.; He, A.; Chen, W.; Lan, Y.; Song, K. Efficiency Improvement of Magnetic Coupler with Nanocrystalline Alloy Film for UAV Wireless Charging System with a Carbon Fiber Fuselage. Energies 2022, 15, 8363. [Google Scholar] [CrossRef]
- Xiong, M.; Wei, X.; Huang, Y.; Luo, Z.; Dai, H. Research on Novel Flexible High-Saturation Nanocrystalline Cores for Wireless Charging Systems of Electric Vehicles. IEEE Trans. Ind. Electron. 2021, 68, 8310–8320. [Google Scholar] [CrossRef]













| Parameters | Lp | Cp | Ls | Rp | Rs |
|---|---|---|---|---|---|
| Value | 158.4 μH | 25 nF | 156.4 μH | 0.125 Ω | 0.120 Ω |
Disclaimer/Publisher’s Note: The statements, opinions and data contained in all publications are solely those of the individual author(s) and contributor(s) and not of MDPI and/or the editor(s). MDPI and/or the editor(s) disclaim responsibility for any injury to people or property resulting from any ideas, methods, instructions or products referred to in the content. |
© 2023 by the authors. Licensee MDPI, Basel, Switzerland. This article is an open access article distributed under the terms and conditions of the Creative Commons Attribution (CC BY) license (https://creativecommons.org/licenses/by/4.0/).
Share and Cite
Zhang, L.; Zhang, P.; Li, W.; He, Z. Realization of Unity Power Factor Wireless Power Transfer System under Subnormal Operation Conditions. Electronics 2023, 12, 4009. https://doi.org/10.3390/electronics12194009
Zhang L, Zhang P, Li W, He Z. Realization of Unity Power Factor Wireless Power Transfer System under Subnormal Operation Conditions. Electronics. 2023; 12(19):4009. https://doi.org/10.3390/electronics12194009
Chicago/Turabian StyleZhang, Liyong, Pengyu Zhang, Wenwu Li, and Zhonghao He. 2023. "Realization of Unity Power Factor Wireless Power Transfer System under Subnormal Operation Conditions" Electronics 12, no. 19: 4009. https://doi.org/10.3390/electronics12194009
APA StyleZhang, L., Zhang, P., Li, W., & He, Z. (2023). Realization of Unity Power Factor Wireless Power Transfer System under Subnormal Operation Conditions. Electronics, 12(19), 4009. https://doi.org/10.3390/electronics12194009
