Enhancing Efficiency in Hierarchical Reinforcement Learning through Topological-Sorted Potential Calculation
Abstract
:1. Introduction
2. Related Work
3. Preliminaries
3.1. Q-Learning
3.2. Deep Q-Learning
3.3. Reward Shaping
4. Methodology
4.1. Framework
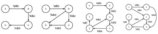
4.2. Topological Sorting-Based Reward Machine
| Algorithm 1: Pseucode for topologically-sorted potential calculation of |
![]() |
4.3. Integrating Reward Machine with MDP
- is defined for all , such that
| Algorithm 2: Pseucode for hierarchical reinforcement learning with |
![]() |
5. Experiment and Evaluation
5.1. Experiment Setup
5.2. Simulation Results under Different High-Level Task Goals
5.3. Simulation Results on Different Maps
6. Conclusions and Future Work
Author Contributions
Funding
Data Availability Statement
Conflicts of Interest
References
- Thrun, S.; Littman, M.L. A Review of Reinforcement Learning. AI Mag. 2000, 21, 103. [Google Scholar] [CrossRef]
- Arulkumaran, K.; Deisenroth, M.P.; Brundage, M.; Bharath, A.A. Deep Reinforcement Learning: A Brief Survey. IEEE Signal Process. Mag. 2017, 34, 26–38. [Google Scholar] [CrossRef]
- Zhu, C.; Cai, Y.; Zhu, J.; Hu, C.; Bi, J. GR (1)-Guided Deep Reinforcement Learning for Multi-Task Motion Planning under a Stochastic Environment. Electronics 2022, 11, 3716. [Google Scholar] [CrossRef]
- Botvinick, M.M. Hierarchical reinforcement learning and decision making. Curr. Opin. Neurobiol. 2012, 22, 956–962. [Google Scholar] [CrossRef] [PubMed]
- Hutsebaut-Buysse, M.; Mets, K.; Latré, S. Hierarchical reinforcement learning: A survey and open research challenges. Mach. Learn. Knowl. Extr. 2022, 4, 172–221. [Google Scholar] [CrossRef]
- Icarte, R.T.; Klassen, T.Q.; Valenzano, R.; McIlraith, S.A. Reward machines: Exploiting reward function structure in reinforcement learning. J. Artif. Intell. Res. 2022, 73, 173–208. [Google Scholar] [CrossRef]
- Zhu, C.; Zhu, J.; Cai, Y.; Wang, F. Decomposing Synthesized Strategies for Reactive Multi-agent Reinforcement Learning. In Proceedings of the International Symposium on Theoretical Aspects of Software Engineering, Bristol, UK, 4–6 July 2023; pp. 59–76. [Google Scholar] [CrossRef]
- Gu, S.; Chen, G.; Zhang, L.; Hou, J.; Hu, Y.; Knoll, A. Constrained reinforcement learning for vehicle motion planning with topological reachability analysis. Robotics 2022, 11, 81. [Google Scholar] [CrossRef]
- An, Q.; Chen, Y.; Zeng, H.; Wang, J. Sorting operation method of manipulator based on deep reinforcement learning. Int. J. Model. Simul. Sci. Comput. 2023, 14, 2341007. [Google Scholar] [CrossRef]
- Wu, N.; Xie, Y. A survey of machine learning for computer architecture and systems. ACM Comput. Surv. (CSUR) 2022, 55, 1–39. [Google Scholar] [CrossRef]
- Van Hasselt, H.; Guez, A.; Silver, D. Deep reinforcement learning with double q-learning. In Proceedings of the AAAI Conference on Artificial Intelligence, Phoenix, AZ, USA, 12–17 February 2016; Volume 30. [Google Scholar] [CrossRef]
- Zhu, C.; Cai, Y.; Hu, C.; Bi, J. Efficient Reinforcement Learning with Generalized-Reactivity Specifications. In Proceedings of the 2022 29th Asia-Pacific Software Engineering Conference (APSEC), IEEE, Virtual Event, 6–9 December 2022; pp. 31–40. [Google Scholar] [CrossRef]
- Ding, X.; Smith, S.L.; Belta, C.; Rus, D. Optimal control of Markov decision processes with linear temporal logic constraints. IEEE Trans. Autom. Control 2014, 59, 1244–1257. [Google Scholar] [CrossRef]
- Zhu, C.; Butler, M.; Cirstea, C.; Hoang, T.S. A fairness-based refinement strategy to transform liveness properties in Event-B models. Sci. Comput. Program. 2023, 225, 102907. [Google Scholar] [CrossRef]
- Gao, Q.; Hajinezhad, D.; Zhang, Y.; Kantaros, Y.; Zavlanos, M.M. Reduced variance deep reinforcement learning with temporal logic specifications. In Proceedings of the 10th ACM/IEEE International Conference on Cyber-Physical Systems (ICCPS), Montreal, QC, Canada, 16–18 April 2019; pp. 237–248. [Google Scholar] [CrossRef]
- Hasanbeig, M.; Kantaros, Y.; Abate, A.; Kroening, D.; Pappas, G.J.; Lee, I. Reinforcement learning for temporal logic control synthesis with probabilistic satisfaction guarantees. In Proceedings of the 2019 IEEE 58th Conference on Decision and Control (CDC), Nice, France, 11–13 December 2019; pp. 5338–5343. [Google Scholar] [CrossRef]
- Neary, C.; Xu, Z.; Wu, B.; Topcu, U. Reward Machines for Cooperative Multi-Agent Reinforcement Learning. In Proceedings of the 20th International Conference on Autonomous Agents and MultiAgent Systems, Virtual Event, 3–7 May 2021; pp. 934–942. [Google Scholar] [CrossRef]
- Kaelbling, L.P.; Littman, M.L.; Moore, A.W. Reinforcement learning: A survey. J. Artif. Intell. Res. 1996, 4, 237–285. [Google Scholar] [CrossRef]
- Watkins, C.J.; Dayan, P. Q-learning. Mach. Learn. 1992, 8, 279–292. [Google Scholar] [CrossRef]
- Brockman, G.; Cheung, V.; Pettersson, L.; Schneider, J.; Schulman, J.; Tang, J.; Zaremba, W. OpenAI Gym: A Toolkit for Developing and Comparing Reinforcement Learning Algorithms. Available online: https://github.com/openai/gym (accessed on 18 May 2023).




Disclaimer/Publisher’s Note: The statements, opinions and data contained in all publications are solely those of the individual author(s) and contributor(s) and not of MDPI and/or the editor(s). MDPI and/or the editor(s) disclaim responsibility for any injury to people or property resulting from any ideas, methods, instructions or products referred to in the content. |
© 2023 by the authors. Licensee MDPI, Basel, Switzerland. This article is an open access article distributed under the terms and conditions of the Creative Commons Attribution (CC BY) license (https://creativecommons.org/licenses/by/4.0/).
Share and Cite
Zhou, Z.; Shang, J.; Li, Y. Enhancing Efficiency in Hierarchical Reinforcement Learning through Topological-Sorted Potential Calculation. Electronics 2023, 12, 3700. https://doi.org/10.3390/electronics12173700
Zhou Z, Shang J, Li Y. Enhancing Efficiency in Hierarchical Reinforcement Learning through Topological-Sorted Potential Calculation. Electronics. 2023; 12(17):3700. https://doi.org/10.3390/electronics12173700
Chicago/Turabian StyleZhou, Ziyun, Jingwei Shang, and Yimang Li. 2023. "Enhancing Efficiency in Hierarchical Reinforcement Learning through Topological-Sorted Potential Calculation" Electronics 12, no. 17: 3700. https://doi.org/10.3390/electronics12173700
APA StyleZhou, Z., Shang, J., & Li, Y. (2023). Enhancing Efficiency in Hierarchical Reinforcement Learning through Topological-Sorted Potential Calculation. Electronics, 12(17), 3700. https://doi.org/10.3390/electronics12173700


