Mixed Near-Field and Far-Field Sources Localization via Oblique Projection
Abstract
1. Introduction
2. Mathematical Data Model
- (1)
- The sources are non-Gaussian narrowband stationary processes with non-zero kurtosis and a zero mean. Each source needs to be independent of the others.
- (2)
- The noise is additive zero-mean Gaussian white noise that is statistically independent of the source.
- (3)
- The number of incident signals must be smaller than the number of array elements. Moreover, the number of signals is known and can be determined utilizing the MDL or AIC criterion, among other techniques.
3. The Proposed Procedure
3.1. DOA Estimation for FFS
3.2. DOA Estimation for NFS
3.3. NFS Range Estimation
- (1)
- Calculate the covariance matrix of the received data and implement the eigendecomposition on it using Equation (15).
- (2)
- Construct the one-dimensional MUSIC function with Equation (17) for a spectral peak search to obtain an estimation of FFS DOA.
- (3)
- Calculate the oblique projection operator using Equation (20) and apply it to the received data via Equation (22) to obtain the NFS component.
- (4)
- Construct a HOC matrix containing only the NFS DOA information using Equation (23) and implement the eigenvalue decomposition on it with Equation (35) to obtain the signal subspace.
- (5)
- Divide the signal subspace into two overlapping subarrays by Equation (37), and obtain the estimation of NFS DOA using the total least squares method.
- (6)
- Substitute the obtained DOA of NFS into Equation (16) to obtain the MUSIC function about range, and perform several one-dimensional spectral peak searches to obtain the estimation of NFS range.
3.4. Discussion
- (1)
- Maximum number of resolvable mixed sources: From eigenspace theory [5,6], it is well known that the noise and signal subspaces are orthogonal to each other, which is the principle of eigenspace-like algorithms. Therefore, the noise subspace must have at least one eigenvector when eigenvalue decomposition is implemented for the covariance or HOC matrix. Then, the maximum number of estimated signals cannot be more than the minimum value between the number of rows and columns in the constructed matrix [9]. The presented algorithm (as well as TSMUSIC [9], MOS [13], and CMR [14]) builds the (2M + 1) × (2M + 1)-dimensional HOC matrices, and the maximum number of estimated signals is 2M. In contrast, MBODS [10] uses the spatial smoothing technique for matrix reconstruction in estimating the DOA of NFS, and the maximum number of estimated signals is M. In addition, since both the proposed algorithm and CMR use the ESPRIT-like method, the NFS component matrix is divided into two subarrays of 2M rows. If the sources incident to the array are pure NFSs, the maximum number of estimated signals using the presented algorithm, or CMR, is 2M − 1.
- (2)
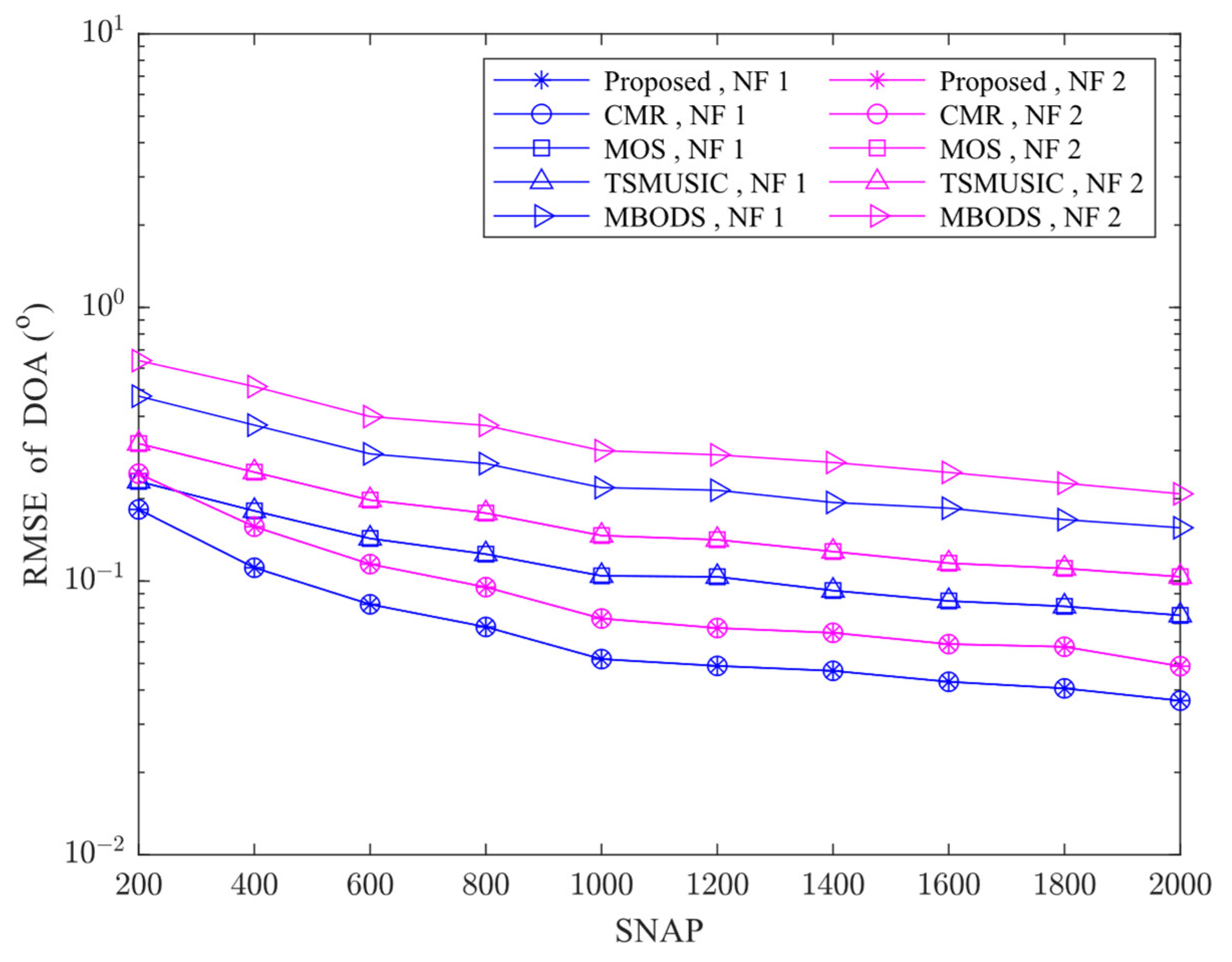
- Estimated accuracy: For the DOA estimation of FFS, the presented algorithm (as well as MBODS, MOS, and CMR) uses the one-dimensional MUSIC algorithm directly for covariance data, and the estimation performance is the same. TSMUSIC adopts the high-order MUSIC spectrum search, and the estimation performance is inferior to the other algorithms because the HOC has a larger cumulative error [14]. In addition, if the FFS DOA is estimated using MUSIC theory under the condition of a low signal-to-noise ratio (SNR) or low snapshot number, it is likely that a spurious peak of the NFS will appear. This would undoubtedly affect the estimation performance of the algorithm. For the DOA estimation of NFS, although both the proposed method and the CMR method utilize the ESPRIT-like method, different techniques are used to perform NFS extraction. Both the presented algorithm and the MBODS algorithm use oblique projection, but the former is based on the HOC technique, and the latter utilizes just the inverse diagonal information of the covariance matrix. Therefore, the presented algorithm has superior performance in estimating the DOA of NFS compared to others. For the range estimation of NFS, the presented algorithms, MBODS, MOS, and CMR, all use spectral peak searching. With the higher accuracy of DOA estimation for NFS, the proposed algorithm has superior performance when estimating the range parameter.
- (3)
- Computational complexity: Matrix construction, singular value decomposition, and spectral peak search are the key elements taken into account when assessing algorithm complexity. A (2M + 1) × (2M + 1)-dimensional covariance matrix R and a (2M + 1) × (2M + 1)-dimensional HOC matrix C1 are constructed in the proposed algorithm, and eigenvalue decomposition is implemented for these two matrices. Additionally, one angular spectral peak search and (K − K1) times range spectral peak searches are performed. The complexity of the presented algorithm is O(10(2M + 1)2N + 8(2M + 1)3/3 + 180 (2M + 1)2/Δθ + (K − K1)Fr(2M + 1)2), where N denotes the snapshot number and Fr =(2D2/λ − 0.62 (D3/λ)1/2)/Δr is the number of search steps in the Fresnel region. The proposed algorithm has similar computational complexity to the CMR and MBODS algorithms and outperforms the MOS and TSMUSIC algorithms.
4. Numerical Simulations
5. Conclusions
Author Contributions
Funding
Data Availability Statement
Conflicts of Interest
References
- Krim, H.; Viberg, M. Two decades of array signal processing research: The parametric approach. IEEE Signal Process. Mag. 1996, 13, 67–94. [Google Scholar] [CrossRef]
- Chen, H.; Jiang, Z.; Liu, W.; Tian, Y.; Wang, G. Conjugate augmented decoupled 3-D parameters estimation method for near-field sources. IEEE Trans. Aerosp. Electron. Syst. 2022, 58, 4681–4689. [Google Scholar] [CrossRef]
- Van Trees, H.L. Optimum Array Processing: Part IV of Detection, Estimation, and Modulation Theory; John Wiley & Sons: Hoboken, NJ, USA, 2002. [Google Scholar]
- Schmidt, R. Multiple emitter location and signal parameter estimation. IEEE Trans. Antennas Propag. 1986, 34, 276–280. [Google Scholar] [CrossRef]
- Roy, R.; Kailath, T. ESPRIT-estimation of signal parameters via rotational invariance techniques. IEEE Trans. Acoust. Speech Signal Process. 1989, 37, 984–995. [Google Scholar] [CrossRef]
- Chen, H.; Wang, W.; Liu, W. Joint DOA, range, and polarization estimation for rectilinear sources with a cold array. IEEE Wirel. Commun. Lett. 2019, 8, 1398–1401. [Google Scholar] [CrossRef]
- Huang, Y.D.; Barkat, M. Near-field multiple source localization by passive sensor array. IEEE Trans. Antennas Propag. 1991, 39, 968–975. [Google Scholar] [CrossRef]
- Jiang, Z.; Chen, H.; Liu, W.; Wang, G. 3D temporal-spatial-based near-field source localization considering amplitude attenuation. Signal Process. 2022, 201, 108735. [Google Scholar] [CrossRef]
- Liang, J.; Liu, D. Passive localization of mixed near-field and far-field sources using two-stage MUSIC algorithm. IEEE Trans. Signal Process. 2009, 58, 108–120. [Google Scholar] [CrossRef]
- He, J.; Swamy, M.N.S.; Ahmad, M.O. Efficient application of MUSIC algorithm under the coexistence of far-field and near-field sources. IEEE Trans. Signal Process. 2011, 60, 2066–2070. [Google Scholar] [CrossRef]
- Liu, G.; Sun, X. Efficient method of passive localization for mixed far-field and near-field sources. IEEE Antennas Wirel. Propag. Lett. 2013, 12, 902–905. [Google Scholar] [CrossRef]
- Wang, K.; Wang, L.; Shang, J.R.; Qu, X.X. Mixed near-field and far-field source localization based on uniform linear array partition. IEEE Sens. J. 2016, 16, 8083–8090. [Google Scholar] [CrossRef]
- Zheng, Z.; Sun, J.; Wang, W.Q.; Yang, H. Classification and localization of mixed near-field and far-field sources using mixed-order statistics. Signal Process. 2018, 143, 134–139. [Google Scholar] [CrossRef]
- Zheng, Z.; Fu, M.; Jiang, D.; Wang, W.Q.; Zhang, S. Localization of mixed far-field and near-field sources via cumulant matrix reconstruction. IEEE Sens. J. 2018, 18, 7671–7680. [Google Scholar] [CrossRef]
- Yuen, N.; Friedlander, B. Performance analysis of higher order ESPRIT for localization of near-field sources. IEEE Trans. Signal Process. 1998, 46, 709–719. [Google Scholar] [CrossRef]
- Molaei, A.M.; Zakeri, B.; Andargoli, S.M.H. Passive localization and classification of mixed near-field and far-field sources based on high-order differencing algorithm. Signal Process. 2019, 157, 119–130. [Google Scholar] [CrossRef]
- Wu, X.; Yan, J. 3-D mixed far-field and near-field sources localization with cross array. IEEE Trans. Veh. Technol. 2020, 69, 6833–6837. [Google Scholar] [CrossRef]
- Yin, K.; Dai, Y.; Gao, C. Mixed near-field and far-field source localization using COLD arrays. Circuits Syst. Signal Process. 2022, 41, 3642–3655. [Google Scholar] [CrossRef]
- Wang, B.; Liu, J.; Sun, X. Mixed sources localization based on sparse signal reconstruction. IEEE Signal Process. Lett. 2012, 19, 487–490. [Google Scholar] [CrossRef]
- Tian, Y.; Lian, Q.; Xu, H. Mixed near-field and far-field source localization utilizing symmetric nested array. Digit. Signal Process. 2018, 73, 16–23. [Google Scholar] [CrossRef]
- Zheng, Z.; Fu, M.; Wang, W.Q.; Zhang, S.; Liao, Y. Localization of mixed near-field and far-field sources using symmetric double-nested arrays. IEEE Trans. Antennas Propag. 2019, 67, 7059–7070. [Google Scholar] [CrossRef]
- McCloud, M.L.; Scharf, L.L. A new subspace identification algorithm for high-resolution DOA estimation. IEEE Trans. Antennas Propag. 2002, 50, 1382–1390. [Google Scholar] [CrossRef]
- Behrens, R.T.; Scharf, L.L. Signal processing applications of oblique projection operators. IEEE Trans. Signal Process. 1994, 42, 1413–1424. [Google Scholar] [CrossRef]









Disclaimer/Publisher’s Note: The statements, opinions and data contained in all publications are solely those of the individual author(s) and contributor(s) and not of MDPI and/or the editor(s). MDPI and/or the editor(s) disclaim responsibility for any injury to people or property resulting from any ideas, methods, instructions or products referred to in the content. |
© 2023 by the authors. Licensee MDPI, Basel, Switzerland. This article is an open access article distributed under the terms and conditions of the Creative Commons Attribution (CC BY) license (https://creativecommons.org/licenses/by/4.0/).
Share and Cite
Shi, H.; Yang, Y.; Yan, G.; Wang, S. Mixed Near-Field and Far-Field Sources Localization via Oblique Projection. Electronics 2023, 12, 2340. https://doi.org/10.3390/electronics12102340
Shi H, Yang Y, Yan G, Wang S. Mixed Near-Field and Far-Field Sources Localization via Oblique Projection. Electronics. 2023; 12(10):2340. https://doi.org/10.3390/electronics12102340
Chicago/Turabian StyleShi, Heping, Yanjie Yang, Guanghui Yan, and Shaohua Wang. 2023. "Mixed Near-Field and Far-Field Sources Localization via Oblique Projection" Electronics 12, no. 10: 2340. https://doi.org/10.3390/electronics12102340
APA StyleShi, H., Yang, Y., Yan, G., & Wang, S. (2023). Mixed Near-Field and Far-Field Sources Localization via Oblique Projection. Electronics, 12(10), 2340. https://doi.org/10.3390/electronics12102340

