Design and Integration of Millimeter-Wave 5G and WLAN Antennas in Perfect Full-Screen Display Smartphones
Abstract
1. Introduction
2. Antenna Design
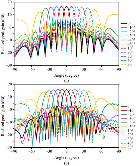
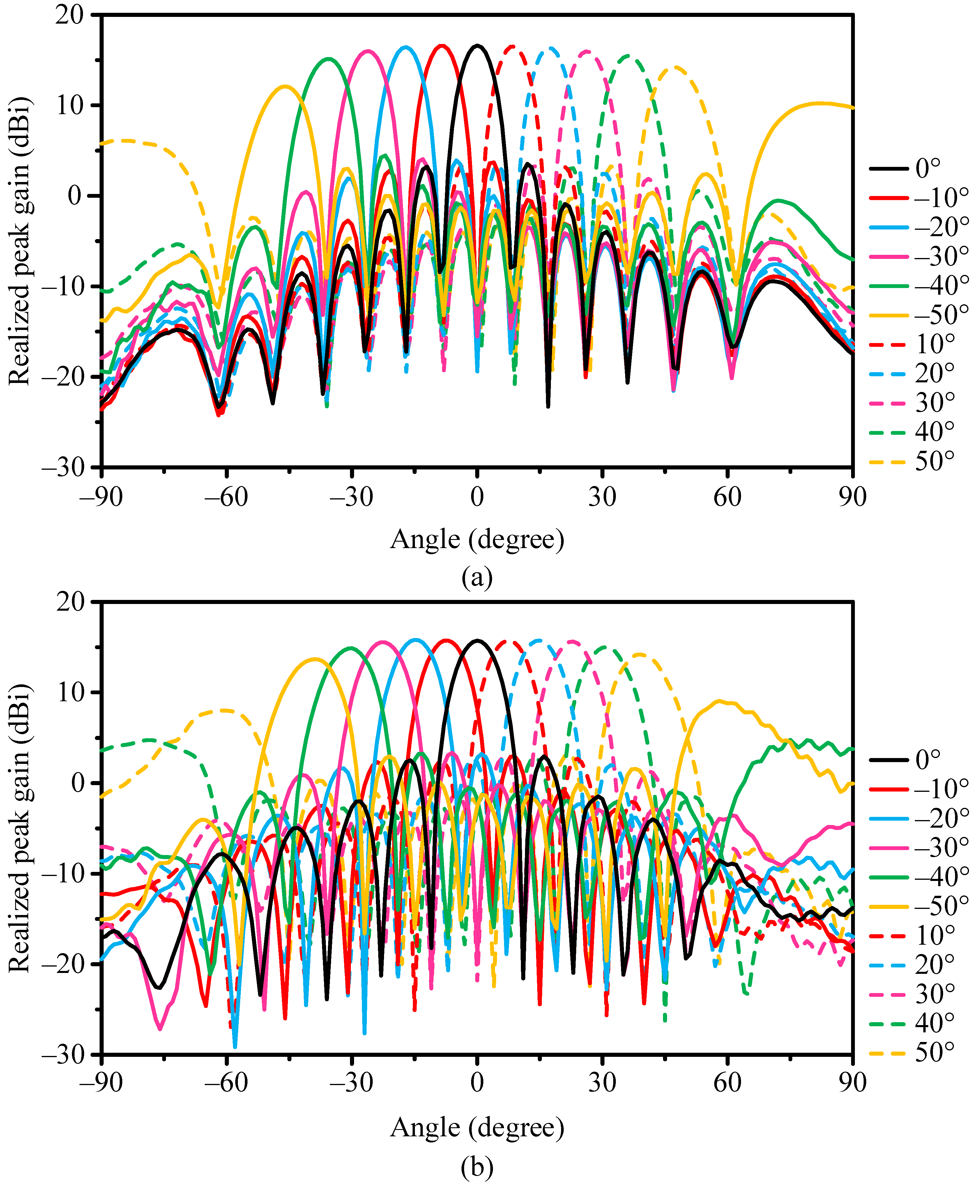
3. Results and Discussion
4. Conclusions
Author Contributions
Funding
Institutional Review Board Statement
Informed Consent Statement
Data Availability Statement
Conflicts of Interest
References
- Park, S.J.; Shin, D.H.; Park, S.O. Low side-lobe substrate-integrated-waveguide antenna array using broadband unequal feeding network for millimeter-wave handset device. IEEE Trans. Antennas Propag. 2016, 66, 923–932. [Google Scholar] [CrossRef]
- Kornprobst, J.; Wang, K.; Hamberger, G.; Eibert, T.F. A mm-wave patch antenna with broad bandwidth and a wide angular range. IEEE Trans. Antennas Propag. 2017, 65, 4293–4298. [Google Scholar] [CrossRef]
- Hussain, R.; Alreshaid, A.T.; Podilchak, S.K.; Sharawi, M.S. Compact 4G MIMO antenna integrated with a 5G array for current and future mobile handsets. IET Microw. Antennas Propag. 2017, 11, 271–279. [Google Scholar] [CrossRef]
- Stanley, M.; Huang, Y.; Wang, H.; Zhou, H.; Alieldin, A.; Joseph, S. A capacitive coupled patch antenna array with high gain and wide coverage for 5G smartphone applications. IEEE Access 2018, 6, 41942–41954. [Google Scholar] [CrossRef]
- Yu, B.; Yang, K.; Sim, C.Y.D.; Yang, G. A novel 28 GHz beam steering array for 5G mobile device with metallic casing application. IEEE Trans. Antennas Propag. 2018, 66, 462–466. [Google Scholar] [CrossRef]
- Khalily, M.; Tafazolli, R.; Xiao, P.; Kishk, A. Broadband mmwave microstrip array antenna with improved radiation characteristics for different 5G applications. IEEE Trans. Antennas Propag. 2018, 66, 4641–4647. [Google Scholar] [CrossRef]
- Alkaraki, S.; Andy, A.S.; Gao, Y.; Tong, K.F.; Ying, Z.; Donnan, R.; Parini, C. Compact and low cost 3D-printed antennas metalized using spray-coating technology for 5G mm-wave communication systems. IEEE Antennas Wirel. Propag. Lett. 2018, 17, 2051–2055. [Google Scholar] [CrossRef]
- El-Halwagy, W.; Mirzavand, R.; Melzer, J.; Hossain, M.; Mousavi, P. Investigation of wideband substrate-integrated vertically-polarized electric dipole antenna and arrays for mm-Wave 5G mobile devices. IEEE Access 2018, 6, 2145–2157. [Google Scholar] [CrossRef]
- Zhang, Y.; Deng, J.Y.; Li, M.J.; Sun, D.; Guo, L.-X. A MIMO dielectric resonator antenna with improved isolation for 5G mm-wave applications. IEEE Antennas Wirel. Propag. Lett. 2019, 18, 747–751. [Google Scholar] [CrossRef]
- Kurvinen, J.; Kähkönen, H.; Lehtovuori, A.; Ala-Laurinaho, J.; Viikari, V. Co-designed mm-wave and LTE handset antennas. IEEE Trans. Antennas Propag. 2019, 67, 1545–1553. [Google Scholar] [CrossRef]
- Aboualalaa, M.; Mansour, I.; Elsadek, H.; Abdel-Rahman, A.B.; Allam, A.; Abo-Zahhad, M.; Yoshitomi, K.; Pokharel, R.K. Independent Matching Dual-Band Compact Quarter-Wave Half-Slot Antenna for Millimeter-Wave Applications. IEEE Access 2019, 7, 130782–130790. [Google Scholar] [CrossRef]
- Ikram, M.; Abbas, E.A.; Nguyen-Trong, N.; Sayidmarie, K.H.; Abbosh, A. Integrated frequency-reconfigurable slot antenna and connected slot antenna array for 4G and 5G mobile handsets. IEEE Trans. Antennas Propag. 2019, 67, 7225–7233. [Google Scholar] [CrossRef]
- Taheri, M.M.S.; Abdipour, A.; Zhang, S.; Pedersen, G.F. Integrated millimeter-wave wideband end-fire 5G beam steerable array and low-frequency 4G LTE antenna in mobile terminals. IEEE Trans. Veh. Technol. 2019, 8, 4042–4046. [Google Scholar] [CrossRef]
- Al Abbas, E.; Ikram, M.; Mobashsher, A.T.; Abbosh, A. MIMO antenna system for multi-band millimeter-wave 5G and wideband 4G mobile communications. IEEE Access 2019, 7, 181916–181923. [Google Scholar] [CrossRef]
- Ikram, M.; Nguyen-Trong, N.; Abbosh, A. Realization of a tapered slot array as both decoupling and radiating structure for 4G/5G wireless devices. IEEE Access 2019, 7, 159112–159118. [Google Scholar] [CrossRef]
- Ullah, H.; Tahir, F.A. A novel snowflake fractal antenna for dual-beam applications in 28 GHz band. IEEE Access 2020, 8, 19873–19879. [Google Scholar] [CrossRef]
- Moreno, R.M.; Ala-Laurinaho, J.; Khripkov, A.; Ilvonen, J.; Viikari, V. Dual-polarized mm-wave end-fire antenna for mobile devices. IEEE Trans. Antennas Propag. 2020, 68, 5924–5934. [Google Scholar] [CrossRef]
- Choi, J.; Park, J.; Youn, Y.; Hwang, W.; Seong, H.; Whang, Y.N.; Hong, W. Frequency-adjustable planar folded slot antenna using fully integrated multithrow function for 5G mobile devices at millimeter-wave spectrum. IEEE Trans. Microw. Theory Tech. 2020, 68, 1872–1881. [Google Scholar] [CrossRef]
- Rodriguez-Cano, R.; Zhang, S.; Zhao, K.; Pedersen, G.F. mm-Wave beam-steerable endfire array embedded in slotted metal-frame LTE antenna. IEEE Trans. Antennas Propag. 2020, 68, 3685–3694. [Google Scholar] [CrossRef]
- Alkaraki, S.; Gao, Y. mm-Wave low-cost 3D printed MIMO antennas with beam switching capabilities for 5G communication systems. IEEE Access 2020, 8, 32531–32541. [Google Scholar] [CrossRef]
- Ojaroudi Parchin, N.; Al-Yasir, Y.I.A.; Jahanbakhsh Basherlou, H.; Abd-Alhameed, R.A.; Noras, J.M. Orthogonally dual-polarized MIMO antenna array with pattern diversity for use in 5G smartphones. IET Microw. Antennas Propag. 2020, 14, 457–467. [Google Scholar] [CrossRef]
- Deng, C.; Liu, D.; Yektakhah, B.; Sarabandi, K. Series-fed beam-steerable millimeter-wave antenna design with wide spatial coverage for 5G mobile terminals. IEEE Trans. Antennas Propag. 2020, 68, 3366–3376. [Google Scholar] [CrossRef]
- Park, Y.; Bae, J.; Kim, E.; Park, T. Maximizing responsiveness of touch sensing via charge multiplexing in touchscreen devices. IEEE Trans. Consum. Electron. 2010, 56, 1905–1910. [Google Scholar] [CrossRef]
- Liston, C.; Ellinger, C.R.; O’Connor, K. Characterization of optically transparent copper micro-wire transmission lines. In Proceedings of the 2019 IEEE International Symposium on Antennas and Propagation and USNC-URSI Radio Science Meeting, Atlanta, GA, USA, 7–12 July 2019. [Google Scholar]
- Kasabegoudar, V.G.; Upadhyay, D.S.; Vinoy, K.J. Design studies of ultra-wideband microstrip antennas with a small capacitive feed. Int. J. Antennas Propag. 2007, 2007, 067503. [Google Scholar] [CrossRef]
- Hu, H.N.; Lai, F.P.; Chen, Y.S. Dual-band dual-polarized scalable antenna subarray for compact millimeter-wave 5G base stations. IEEE Access 2020, 8, 129180–129192. [Google Scholar] [CrossRef]
- Hasan, M.N.; Bashir, S.; Chu, S. Dual band omnidirectional millimeter wave antenna for 5G communications. J. Electromagn. Waves Appl. 2019, 33, 1581–1590. [Google Scholar] [CrossRef]
- Sanjeeva Reddy, B.R.; Vakula, D. Compact zigzag-shaped-slit microstrip antenna with circular defected ground structure for wireless applications. IEEE Antennas Wirel. Propag. Lett. 2015, 14, 678–681. [Google Scholar] [CrossRef]
- Karli, R.; Ammor, H. Rectangular patch antenna for dual-band RFID and WLAN applications. Wirel. Personal Commun. 2015, 83, 995–1007. [Google Scholar] [CrossRef]
- Sharma, S.K.; Mulchandani, J.D.; Gupta, D.; Chaudhary, R.K. Triple-band metamaterial-inspired antenna using FDTD technique for WLAN/WiMAX applications. Int. J. RF Microw. Comput. Aid. Eng. 2015, 25, 688–695. [Google Scholar] [CrossRef]
- Rajeshkumar, V.; Raghavan, S. A compact metamaterial inspired triple band antenna for reconfigurable WLAN/WiMAX applications. Int. J. Electron. Commun. 2015, 69, 274–280. [Google Scholar]
- Malik, J.; Patnaik, A.; Kartikeyan, M.V. A compact dual-band antenna with omnidirectional radiation pattern. IEEE Antennas Wirel. Propag. Lett. 2015, 14, 503–506. [Google Scholar] [CrossRef]
- Zehforoosh, Y.; Rezvani, M. A small quad-band monopole antenna with folded strip lines for WiMAX/WLAN and ITU applications. J. Microw. Optoelectron. Electromagn. Appl. 2017, 16, 1012–1018. [Google Scholar] [CrossRef][Green Version]
- Haerinia, M.; Noghanian, S. A printed wearable dual-band antenna for wireless power transfer. Sensors 2019, 19, 1732. [Google Scholar] [CrossRef] [PubMed]
- Khaleel, H.R.; Al-Rizzo, H.M.; Rucker, D.G. Compact polyimide-based antennas for flexible displays. IEEE/OSA J. Disp. Technol. 2012, 8, 91–96. [Google Scholar] [CrossRef]
- Salonen, P.; Jaehoon, K.; Rahmat-Samii, Y. Dual-band E-shaped patch wearable textile antenna. In Proceedings of the IEEE Antennas and Propagation Society, AP-S International Symposium (Digest), Washington, DC, USA, 3–8 July 2005. [Google Scholar]
- Anagnostou, D.E.; Gheethan, A.A.; Amert, A.K.; Whites, K.W. A direct-write printed antenna on paper-based organic substrate for flexible displays and WLAN applications. IEEE/OSA J. Disp. Technol. 2010, 6, 558–564. [Google Scholar] [CrossRef]
- So, J.H.; Thelen, J.; Qusba, A.; Hayes, G.J.; Lazzi, G.; Dickey, M.D. Reversibly deformable and mechanically tunable fluidic antennas. Adv. Funct. Mater. 2009, 19, 3632–3637. [Google Scholar] [CrossRef]
- Durgun, A.C.; Reese, M.S.; Balanis, C.A.; Birtcher, C.R.; Allee, D.R.; Venugopal, S. Flexible bow-tie antennas. In Proceedings of the 2010 IEEE International Symposium on Antennas and Propagation and CNC-USNC/URSI Radio Science Meeting—Leading the Wave, AP-S/URSI 2010, Toronto, ON, Canada, 11–17 July 2010. [Google Scholar]














| No. | Impedance Bandwidth (GHz) | Number of Elements | Isolation (dB) | Peak Gain (dBi) | Proportion of Metallic Area on Screen (%) |
|---|---|---|---|---|---|
| [1] | 26.5–29.4 | 8 | 20.0 | 14.0 | 0 |
| [2] | 34.2–38.8 | 1 | N.A. | 5.7 | 0 |
| [3] | 26.0–28.4 | 8 | N.A. | 8.2 | 0 |
| [4] | 23.2–29.8 | 12 | 16.0 | 16.5 | 0 |
| [5] | 27.5–30.0 | 8 | 17.0 | 15.6 | 0 |
| [6] | 25.6–29.6 | 16 | 19.0 | 19.9 | 0 |
| [7] | 27.3–29.8 | 1 | N.A. | 12.4 | 0 |
| [7] | 26.9–30.6 | 1 | N.A. | 7.6 | 0 |
| [8] | 27.0–29.4 | 4 | N.A. | 12.6 | 0 |
| [9] | 27.2–28.5 | 2 | 24.0 | 9.0 | 0 |
| [10] | 25.0–30.0 | 4 | N.A. | 5.0 | 0 |
| [11] | 27.0–30.8 | 1 | N.A. | 4.9 | 0 |
| [12] | 26.9–28.4 | 4 | N.A. | 11.5 | 0 |
| [13] | 22.0–31.0 | 4 | 13.0 | 9.5 | 0 |
| [14] | 26.7–33.3 | 1 | N.A. | 5.1 | 75 |
| [14] | 37.0–40.0 | 1 | N.A. | 7.0 | 75 |
| [15] | 25.0–30.0 | 4 | 21.5 | 14.0 | 0 |
| [16] | 25.4–29.0 | 4 | N.A | 10.1 | 0 |
| [17] | 26.5–30.5 | 3 | 15.0 | 6.0 | 0 |
| [18] | 27.6–28.3 | 4 | N.A | 6.4 | 0 |
| [19] | 22.0–28.0 | 2 | 25.0 | 8.0 | 0 |
| [20] | 26.1–31.0 | 12 | 26.0 | N.A. | 0 |
| [21] | 23.5–32.0 | 8 | 18.0 | 11.0 | 86 |
| [22] | 25.0–31.0 | 10 | N.A. | 11.7 | 0 |
| This study | 26.5–32.0 | 12 | 22.3 | 16.7 | 100 |
| This study | 35.2–42.0 | 8 | 20.0 | 16.4 | 100 |
| This study | 2.41–2.47 | 1 | N.A. | 4.3 | 100 |
| No. | Dimensions (mm2) | Total Area Occupied by the Antenna (mm2) |
|---|---|---|
| [28] | 40 × 28 | 1120 |
| [29] | 28.2 × 36.7 | 1034.97 |
| [30] | 30 × 30 | 900 |
| [31] | 27 × 25 | 675 |
| [32] | 10 × 40 | 400 |
| [33] | 15 × 20 | 300 |
| [34] | 15 × 14 | 210 |
| [35] | 26.5 × 25 | 662.5 |
| [36] | 180 × 150 | 27,000 |
| [37] | 46 × 35 | 1610 |
| [38] | 54 × 10 | 540 |
| [39] | 39 × 25 | 975 |
| This study | 5.8 × 16.6 | 96.3 |
Publisher’s Note: MDPI stays neutral with regard to jurisdictional claims in published maps and institutional affiliations. |
© 2022 by the authors. Licensee MDPI, Basel, Switzerland. This article is an open access article distributed under the terms and conditions of the Creative Commons Attribution (CC BY) license (https://creativecommons.org/licenses/by/4.0/).
Share and Cite
Lai, F.-P.; Mi, S.-Y.; Chen, Y.-S. Design and Integration of Millimeter-Wave 5G and WLAN Antennas in Perfect Full-Screen Display Smartphones. Electronics 2022, 11, 957. https://doi.org/10.3390/electronics11060957
Lai F-P, Mi S-Y, Chen Y-S. Design and Integration of Millimeter-Wave 5G and WLAN Antennas in Perfect Full-Screen Display Smartphones. Electronics. 2022; 11(6):957. https://doi.org/10.3390/electronics11060957
Chicago/Turabian StyleLai, Fei-Peng, Shih-Yuan Mi, and Yen-Sheng Chen. 2022. "Design and Integration of Millimeter-Wave 5G and WLAN Antennas in Perfect Full-Screen Display Smartphones" Electronics 11, no. 6: 957. https://doi.org/10.3390/electronics11060957
APA StyleLai, F.-P., Mi, S.-Y., & Chen, Y.-S. (2022). Design and Integration of Millimeter-Wave 5G and WLAN Antennas in Perfect Full-Screen Display Smartphones. Electronics, 11(6), 957. https://doi.org/10.3390/electronics11060957

