A Tunable Microstrip Bandpass Filter with Two Concurrently Tuned Transmission Zeros
Abstract
:1. Introduction
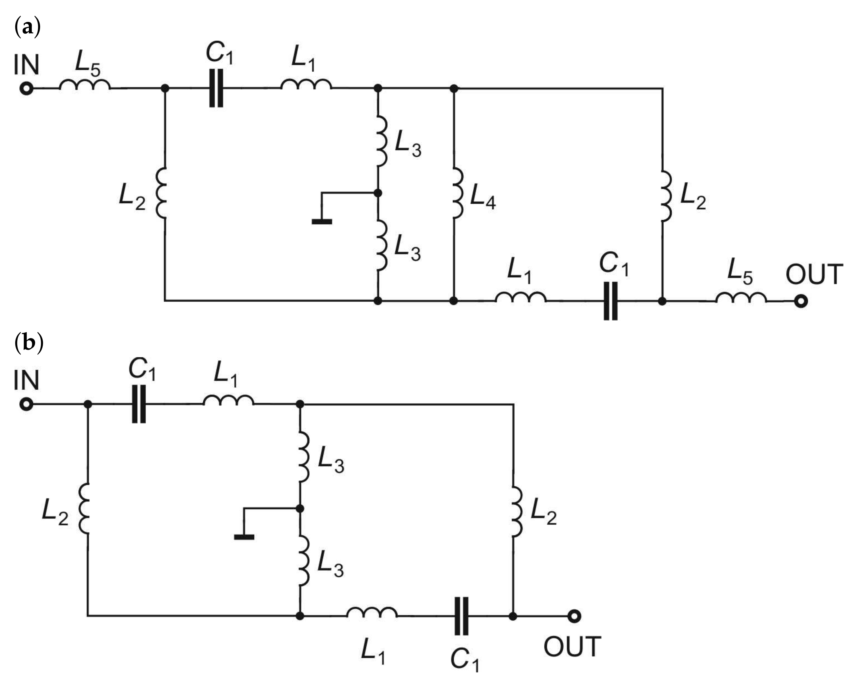
2. Lumped Element Prototype
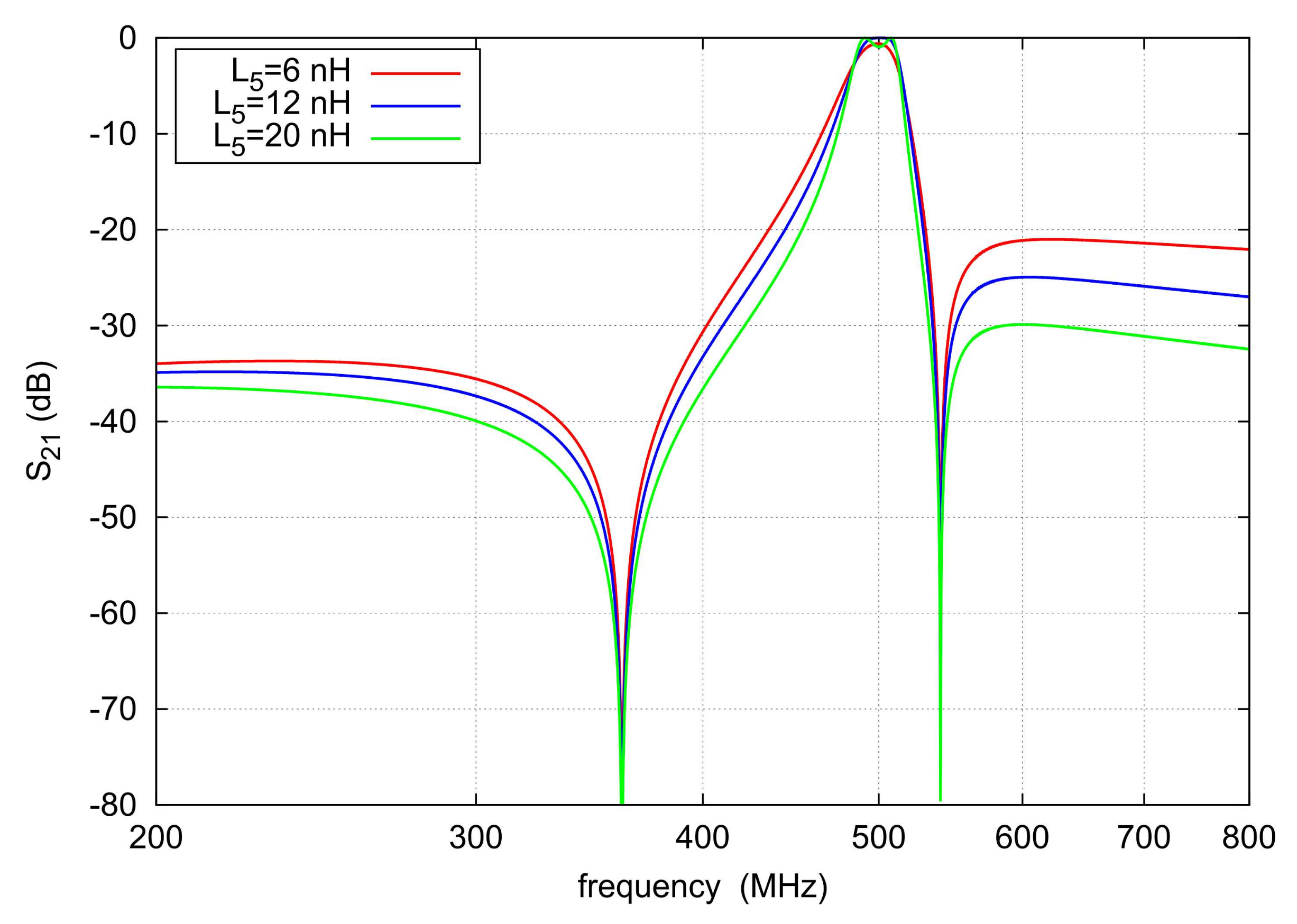
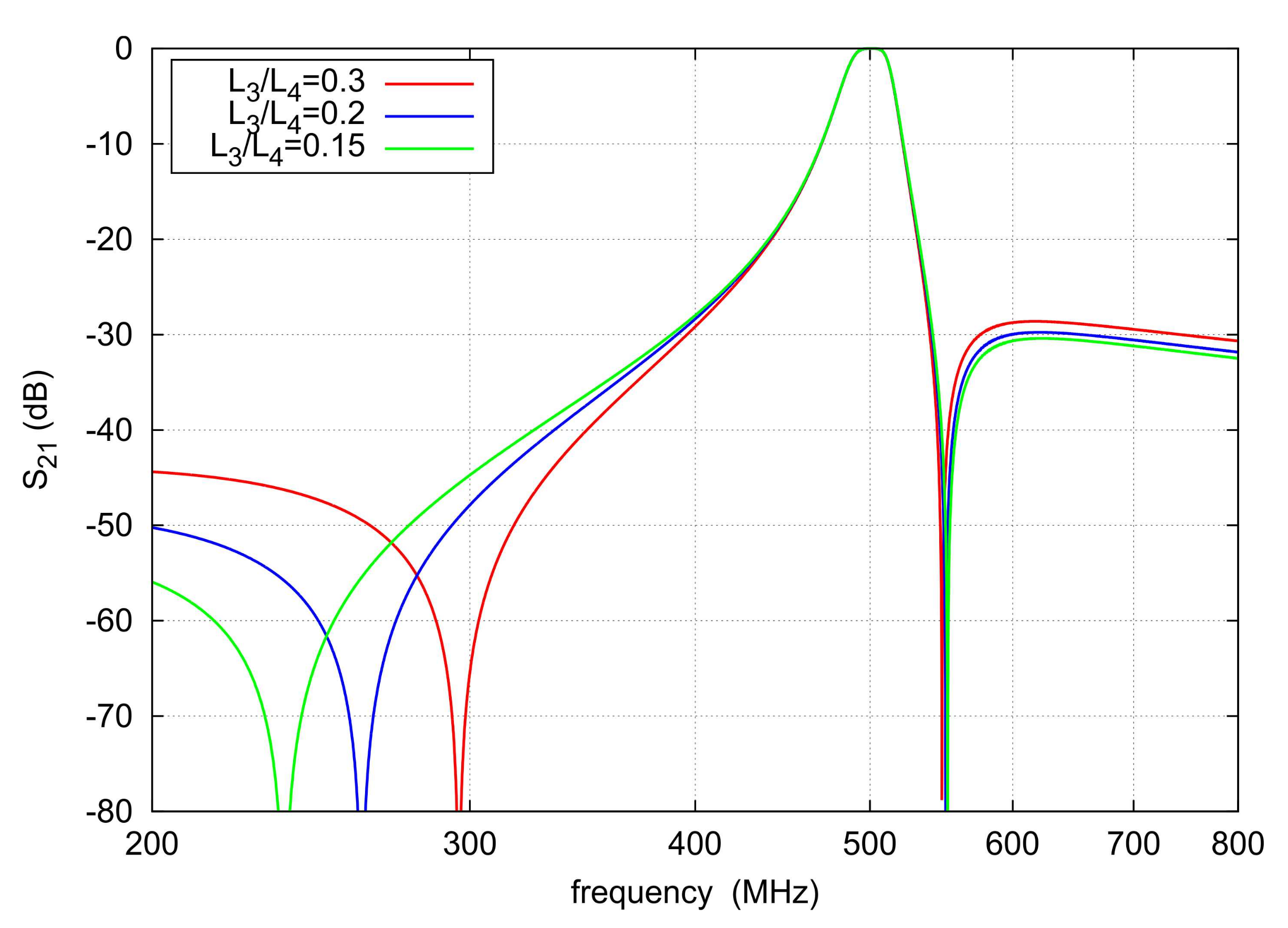
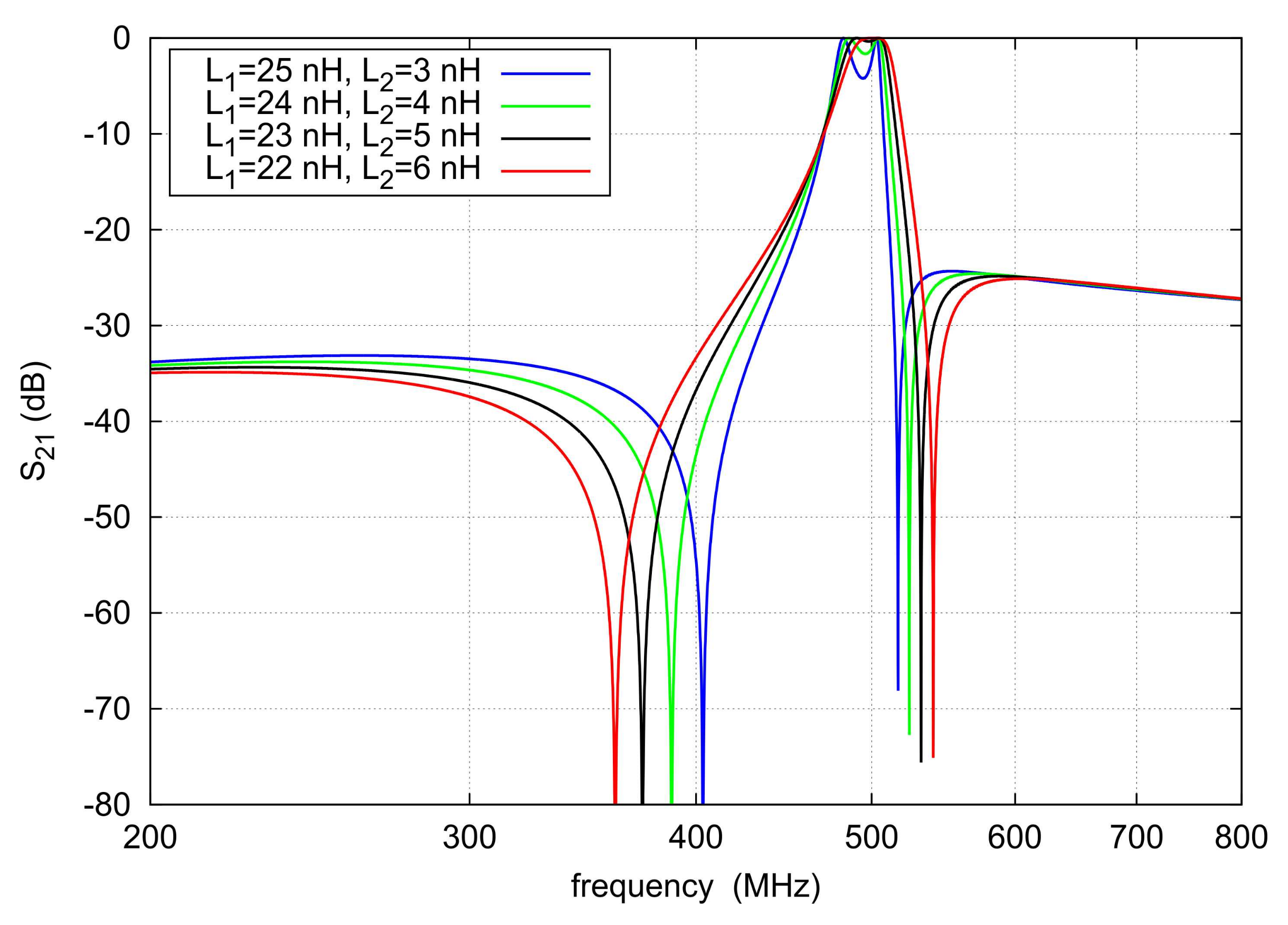
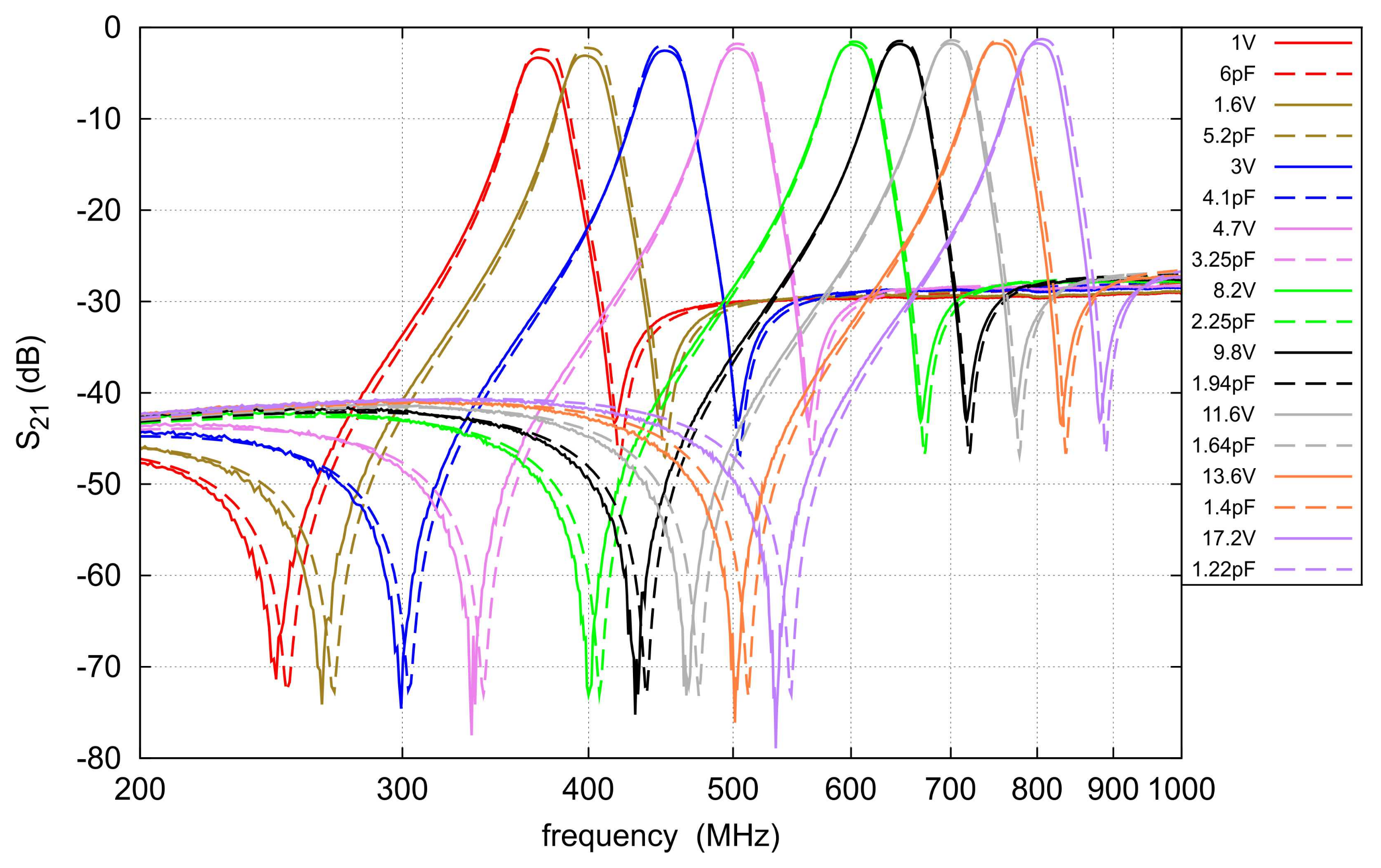
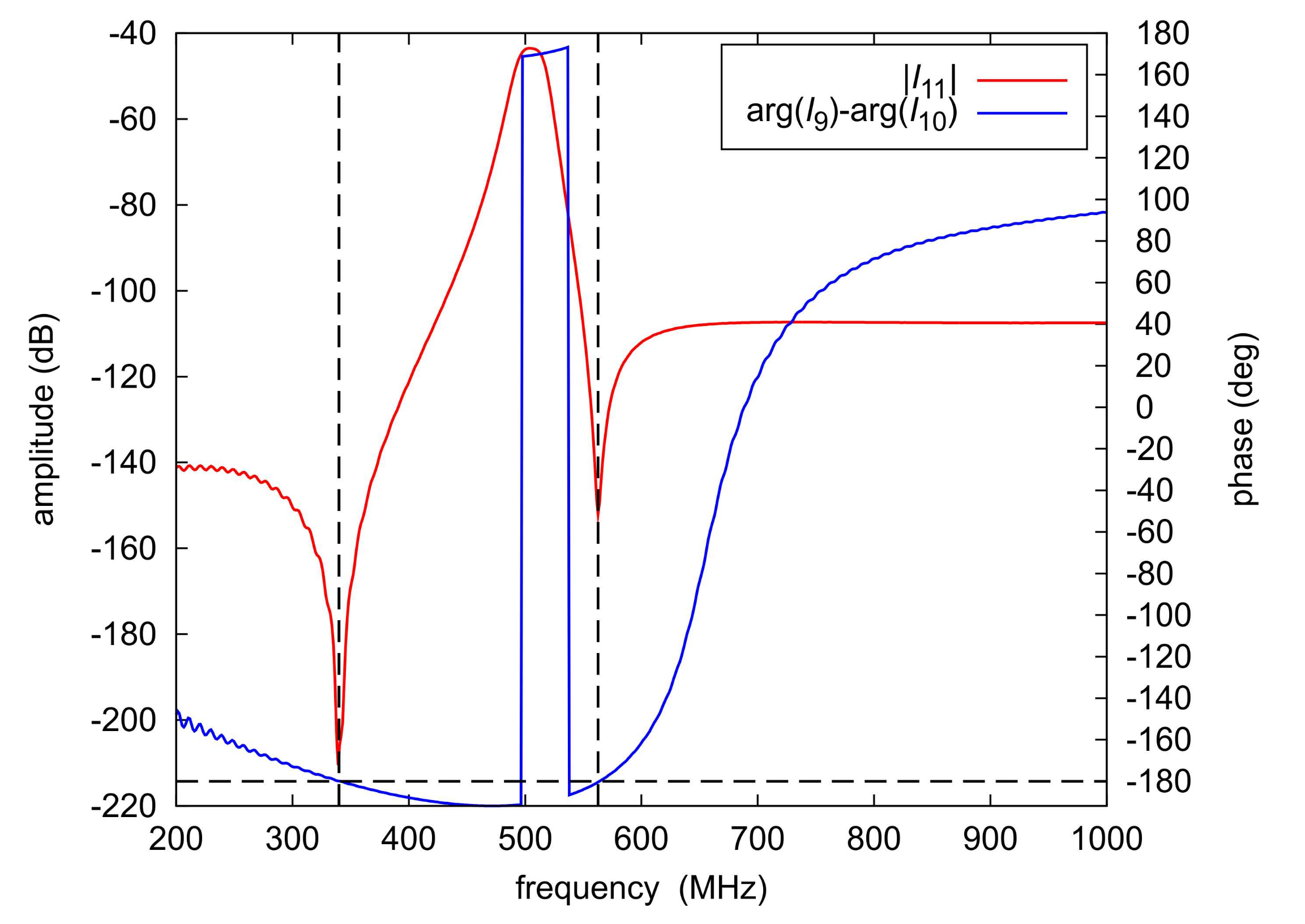
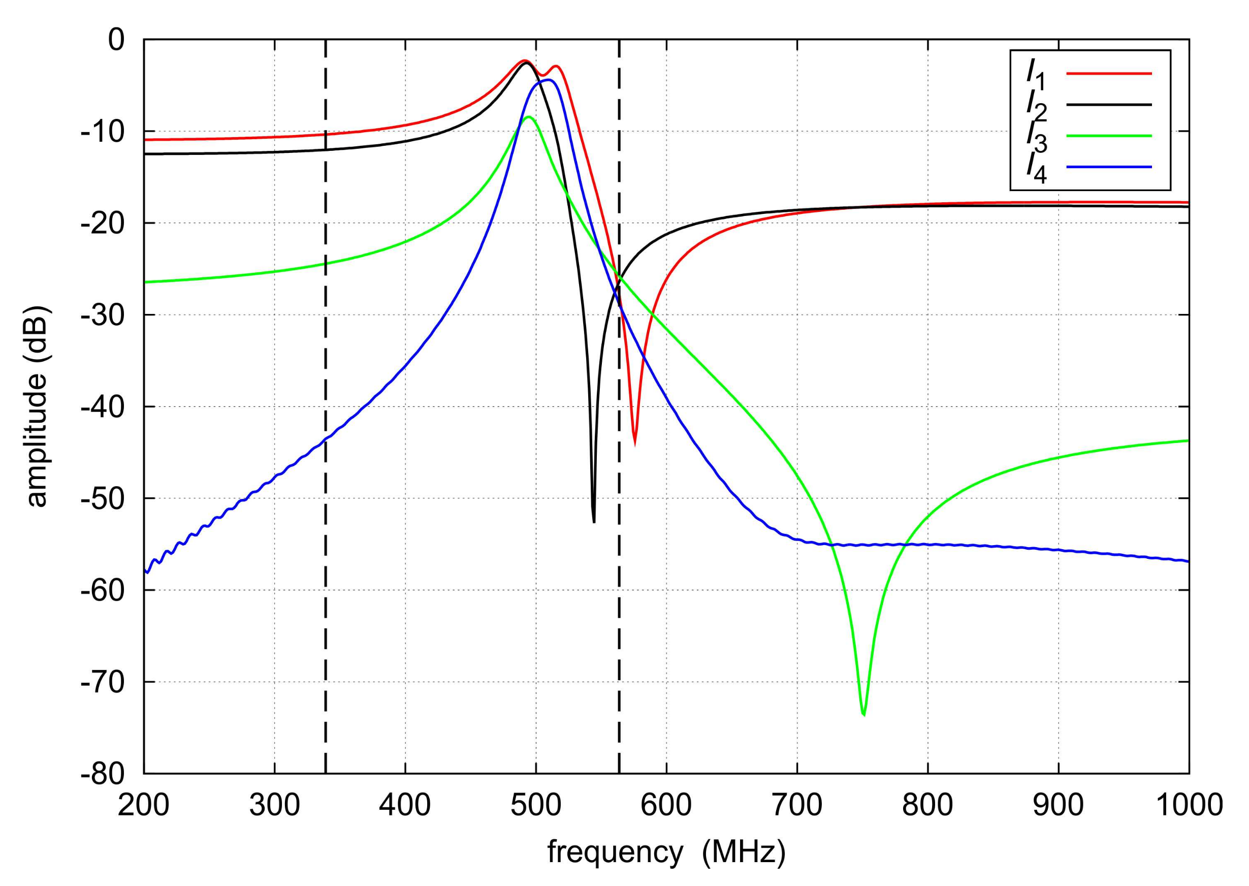
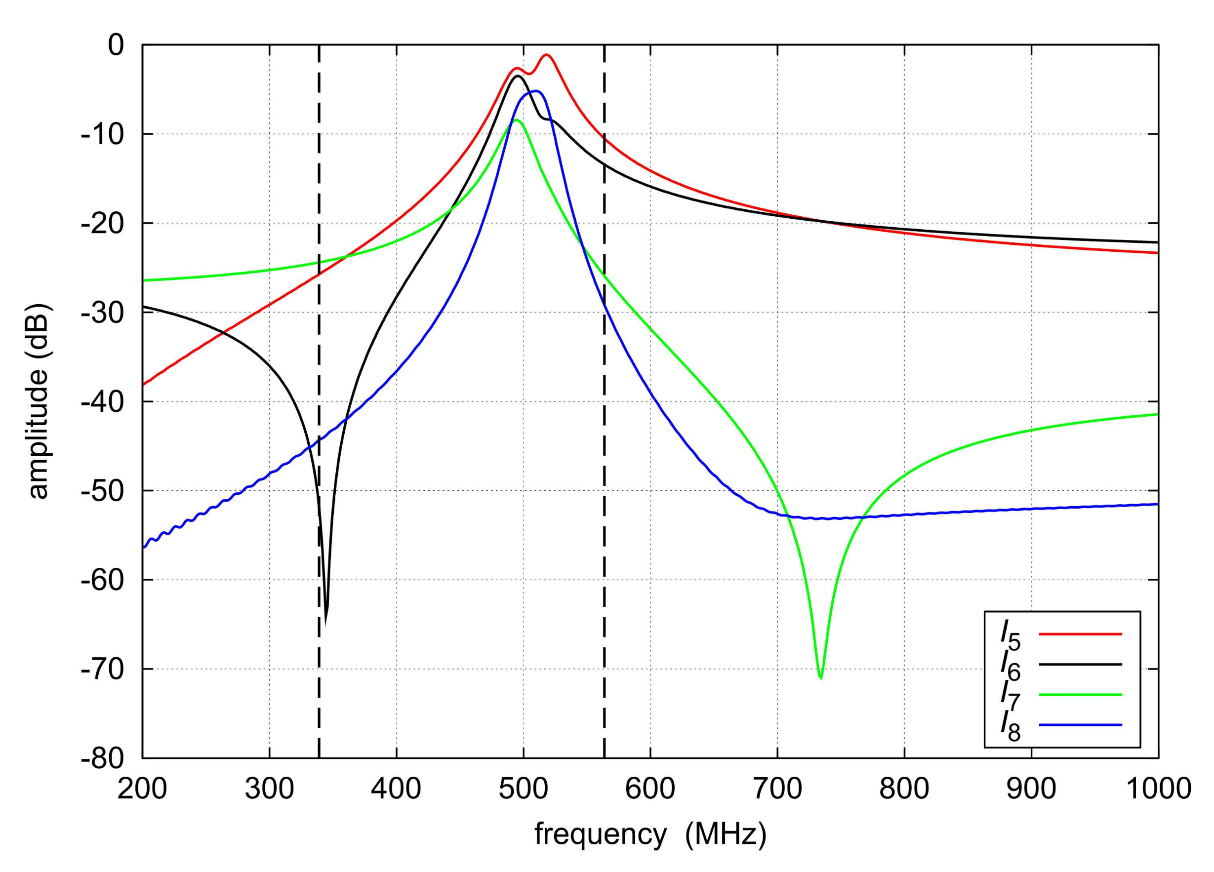
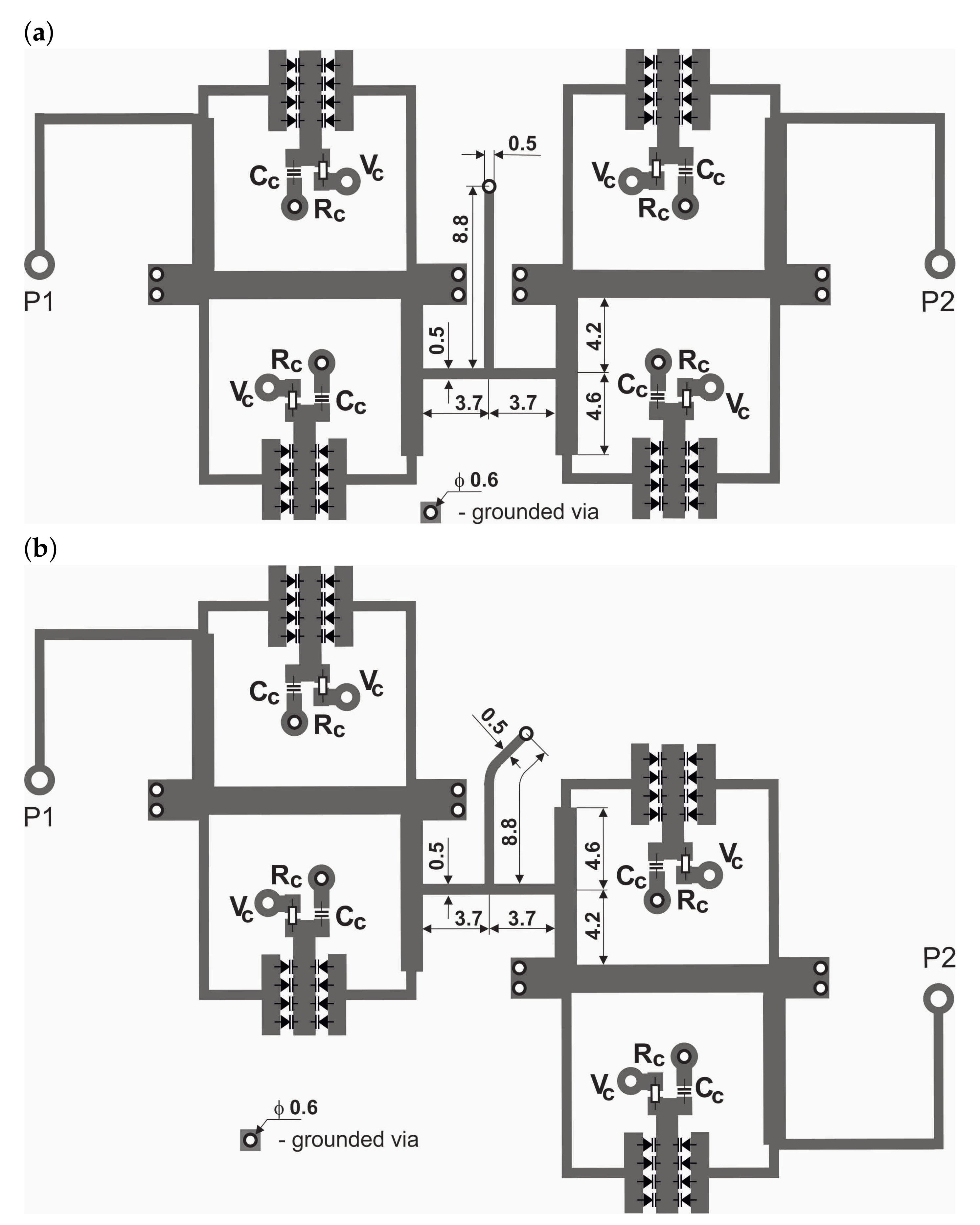
3. Tunable Microstrip Filter
4. Two-Section Filter
5. Discussion
6. Conclusions
Author Contributions
Funding
Institutional Review Board Statement
Conflicts of Interest
Abbreviations
| BPF | Bandpass filter |
| BW | Bandwidth |
| DCDTF | Double-coupled double-tuned filter |
| IL | Insertion loss |
| IL | Insertion loss in bandstop |
| RF | Radio frequency |
| TCDTF | Triple-coupled double-tuned filter |
| TZ | Transmission zero |
References
- Hong, J.-S.; Lancaster, M.J. Microstrip Filters for RF/Microwave Applications, 1st ed.; John Wiley & Sons: New York, NY, USA, 2001. [Google Scholar]
- Wu, Y.; Cui, L.; Zhuang, Z.; Wang, W.; Liu, Y.T. A simple planar dual-band bandpass filter with multiple transmission poles and zeros. IEEE Trans. Circuits Syst. II Exp. Briefs 2018, 65, 56–60. [Google Scholar] [CrossRef]
- Lu, D.; Barker, N.S.; Tang, X. A Simple frequency-agile bandpass filter with predefined bandwidth and stopband using synchronously tuned dual-mode resonator. IEEE Microw. Wirel. Compon. Lett. 2017, 27, 983–985. [Google Scholar] [CrossRef]
- Qiao, H.; Guo, D.; Mou, J.; Li, M.; Ma, Z.; Lv, X. HIS-based bandpass filter with improved upper-stopband performance. Electron. Lett. 2018, 54, 363–364. [Google Scholar] [CrossRef]
- Saeedi, S.; Lee, J.; Sigmarsson, H.H. Tunable, high-Q, substrate-integrated, evanescent-mode cavity bandpass-bandstop filter cascade. IEEE Microw. Wirel. Compon. Lett. 2016, 26, 240–242. [Google Scholar] [CrossRef]
- Sigmarsson, H.H.; Naglich, E.; Lee, J.; Peroulis, D.; Chappell, W. Tunable bandpass and bandstop filter cascade for dynamic pole allocation. In Proceedings of the 2012 IEEE International Symposium on Antennas and Propagation, Chicago, IL, USA, 8–14 July 2012. [Google Scholar]
- Yang, W.; Allen, W.N.; Psychogiou, D.; Peroulis, D. Tunable bandpass-bandstop filter cascade for VHF applications. In Proceedings of the 2016 IEEE 17th Annual Wireless and Microwave Technology Conference (WAMICON), Clearwater, FL, USA, 11–13 April 2016. [Google Scholar]
- Wei, Z.; Yang, T.; Chi, P.-L.; Zhang, X.; Xu, R. A 10.23–15.7-GHz varactor-tuned microstrip bandpass filter with highly flexible reconfigurability. IEEE Trans. Microw. Theory Technol. 2021, 69, 4499–4509. [Google Scholar] [CrossRef]
- Du, T.; Guan, B.; Zhang, P.; Gu, Y.; Wei, D. An intrinsically switched tunable CABW/CFBW bandpass filter. Electronics 2021, 10, 1318. [Google Scholar]
- Lin, W.; Zhou, K.; Wu, K. Tunable bandpass filters with one switchable transmission zero by only tuning resonances. IEEE Microw. Wirel. Compon. Lett. 2021, 31, 105–108. [Google Scholar] [CrossRef]
- Yildirim, N.; Sen, O.A.; Karaaslan, M.; Pelz, D. A revision of cascade synthesis theory Covering cross-coupled filters. IEEE Trans. Microw. Theory Technol. 2002, 50, 1536–1543. [Google Scholar] [CrossRef]
- Cameron, R.J. General coupling matrix synthesis methods for Chebyshev filtering functions. IEEE Trans. Microw. Theory Technol. 1999, 47, 433–442. [Google Scholar] [CrossRef]
- Schuster, C.; Kamrath, F.; Miek, D.; Polat, E.; Boe, P.; Frank, L.; Kienemund, C.; Jakoby, R.; Maune, H.; Hoft, M. Fully reconfigurable bandpass with continuously tunable center frequency and bandwidth featuring a constant filter characteristic. In Proceedings of the 2020 German Microwave Conference (GeMiC), Cottbus, Germany, 9–11 March 2020; pp. 236–239. [Google Scholar]
- Tian, D.; Feng, Q.; Xiang, Q. Synthesis applied 4th-order constant absolute bandwidth frequency-agile bandpass filter with cross-coupling. IEEE Access 2018, 6, 72287–72294. [Google Scholar] [CrossRef]
- Amari, S. Direct synthesis of folded symmetric resonator filters with source-load coupling. IEEE Microw. Wirel. Compon. Lett. 2001, 11, 264–266. [Google Scholar] [CrossRef]
- Gao, L.; Rebeiz, G.M. A 0.97–1.53-GHz tunable four-pole bandpass filter with four transmission zeroes. IEEE Microw. Wirel. Compon. Lett. 2019, 29, 195–197. [Google Scholar] [CrossRef]
- Zhou, W.-J.; Chen, J.-X. High-selectivity tunable balanced bandpass filter with constant absolute bandwidth. IEEE Trans. Circuits Syst. II Exp. Briefs 2017, 64, 917–921. [Google Scholar] [CrossRef]
- Chu, Q.-X.; Wang, H. A compact open-loop filter with mixed electric and magnetic coupling. IEEE Trans. Microw. Theory Technol. 2008, 56, 431–439. [Google Scholar] [CrossRef]
- Lu, D.; Tang, X.; Barker, N.S.; Feng, Y. Single-band and switchable dual-/single-band tunable BPFs with predefined tuning range, bandwidth, and selectivity. IEEE Trans. Microw. Theory Technol. 2018, 66, 1215–1227. [Google Scholar] [CrossRef]
- Li, X.; Zou, C.; Xiang, Q. Fourth-order electrical tunable microstrip LC cross-coupled bandpass filter. In Proceedings of the Photonics & Electromagnetics Research Symposium, Rome, Italy, 17–20 June 2019; pp. 2076–2079. [Google Scholar]
- Shen, G.; Che, W.; Feng, W.; Wang, C. Realization of multiple transmission zeroes for bandpass filters with simple inline topology. IEEE Trans. Circuits Syst. II Exp. Briefs 2020, 67, 1029–1033. [Google Scholar] [CrossRef]
- Ohira, M.; Hashimoto, S.; Ma, Z.; Wang, X. Coupling-matrix-based systematic design of single-DC-bias-controlled microstrip higher order tunable bandpass filters with constant absolute bandwidth and transmission zeros. IEEE Trans. Microw. Theory Technol. 2019, 67, 118–128. [Google Scholar] [CrossRef]
- Cai, J.; Chen, J.-X.; Zhang, X.-F.; Yang, Y.-J.; Bao, Z.-H. Electrically varactor-tuned bandpass filter with constant bandwidth and self-adaptive transmission zeros. IET Microw. Antennas Propag. 2017, 11, 1542–1548. [Google Scholar] [CrossRef] [Green Version]
- Gao, L.; Lin, T.-W.; Rebeiz, G.M. Design of tunable multi-pole multi-zero bandpass filters and diplexer with high selectivity and isolation. IEEE Trans. Circuits Syst. I Reg. Pap. 2019, 66, 3831–3842. [Google Scholar] [CrossRef]
- Fan, M.; Song, K.; Zhu, Y.; Fan, Y. Compact bandpass-to-bandstop reconfigurable filter with wide tuning range. IEEE Microw. Wirel. Compon. Lett. 2019, 29, 198–200. [Google Scholar] [CrossRef]
- Chen, C.-F.; Wang, G.-Y.; Li, J.-J. Microstrip switchable and fully tunable bandpass filter with continuous frequency tuning range. IEEE Microw. Wirel. Compon. Lett. 2018, 28, 500–502. [Google Scholar] [CrossRef]
- Lee, T.-C.; Lee, J.; Peroulis, D. Dynamic bandpass filter shape and interference cancellation control utilizing bandpass–bandstop filter cascade. IEEE Trans. Microw. Theory Technol. 2015, 63, 2526–2539. [Google Scholar] [CrossRef]
- Kingsly, S.; Kanagasabai, M.; Alsath, M.G.N.; Shrivastav, A.K.; Subbaraj, S.; Selvam, Y.P.; Sivasamy, R.; Ramanarao, Y.V. Compact frequency and bandwidth tunable bandpass–bandstop microstrip filter. IEEE Microw. Wirel. Compon. Lett. 2018, 28, 786–788. [Google Scholar] [CrossRef]
- Chen, X.; Wu, Y.; Yang, Y.; Wang, W. Simple coupled-line tunable bandpass filter with wide tuning range. IEEE Access 2020, 8, 82286–82293. [Google Scholar] [CrossRef]
- Chi, P.-L.; Yang, T.; Tsai, T.-Y. A fully tunable two-pole bandpass filter. IEEE Microw. Wirel. Compon. Lett. 2015, 25, 292–294. [Google Scholar] [CrossRef]
- Gomez-Garcia, R.; Munoz-Ferreras, J.-M.; Psychogiou, D. Fully-reconfigurable bandpass filter with static couplings and intrinsic-switching capabilities. In Proceedings of the 2017 IEEE MTT-S International Microwave Symposium (IMS), Honololu, HI, USA, 4–9 June 2017; pp. 914–917. [Google Scholar]
- Li, C.; Bian, Y.; Li, G.; Wu, Y.; Wang, J.; Wang, X.; Zhang, X.; Xia, F.; Bai, D.; Sun, L.; et al. A tunable high temperature superconducting bandpass filter realized using semiconductor varactors. IEEE Trans. Appl. Supercond. 2014, 24, 1–5. [Google Scholar]
- Gomez-Garcia, R.; Munoz-Ferreras, J.-M.; Psychogiou, D. Dual-behavior resonator-based fully reconfigurable input reflectionless bandpass filters. IEEE Microw. Wirel. Compon. Lett. 2019, 29, 35–37. [Google Scholar] [CrossRef]
- Hsieh, L.-H.; Chang, K. Tunable microstrip bandpass filters with two transmission zeros. IEEE Trans. Microw. Theory Technol. 2003, 51, 520–525. [Google Scholar] [CrossRef]
- Cho, Y.-H.; Rebeiz, G.M. Tunable 4-pole noncontiguous 0.7–2.1-GHz bandpass filters based on dual zero-value couplings. IEEE Trans. Microw. Theory Technol. 2015, 63, 1579–1586. [Google Scholar] [CrossRef]
- Psychogiou, D.; Gomez-Garcia, R. Multi-mode-cavity-resonator-based bandpass filters with multiple levels of transfer-function adaptivity. IEEE Access 2019, 7, 24759–24765. [Google Scholar] [CrossRef]
- Lee, T.-C.; Yang, W.; Peroulis, D. Reconfigurable filter design using resonators as coupling structures. In Proceedings of the 2015 IEEE MTT-S International Microwave Symposium, Phoenix, AZ, USA, 17–22 May 2015. [Google Scholar]
- Zhao, K.; Gomez-Garcia, R.; Psychogiou, D. Tunable quasi-reflectionless bandpass filters using substrate integrated coaxial resonators. IEEE Trans. Circuits Syst. II Exp. Briefs 2022, 69, 379–383. [Google Scholar] [CrossRef]
- Dishal, M. Design of dissipative band-pass filters producing desired exact amplitude-frequency characteristics. Proc. IRE 1949, 37, 1050–1069. [Google Scholar] [CrossRef]
- Magnuski, M.; Wójcik, D.; Surma, M.; Noga, A. A compact widely tunable bandpass filter dedicated to preselectors. Electronics 2021, 10, 2315. [Google Scholar] [CrossRef]
























| Line | () | (deg) |
|---|---|---|
| TL1a | 138 | 3.25 |
| TL1b | 138 | 7.75 |
| TL2 | 101 | 4.8 |
| TL3 | 75 | 1.7 |
| TL4 | 91 | 6.6 |
| TL5 | 138 | 10.1 |
| Ref. | f (GHz) | BW | IL (dB) | Size () | NTZs | IL (dB) | NV | |
|---|---|---|---|---|---|---|---|---|
| [3] | 1.15–2 | 1.74 | 115 ± 4 MHz (5.9–9.6%) | 2.4–3.6 | 0.06 × 0.24 | 2 | <25 | 1 |
| [16] | 0.97–1.53 | 1.57 | - | 2–4.2 | 0.09 × 0.1 | 4 | <30 | 1 |
| [17] | 1.6–2.27 | 1.41 | 137 ± 2 MHz (6–8.5%) | 1.99–4.17 | 0.5 × 0.4 | 2 | <30 | 1 |
| [19] | 0.75–1.87 | 2.49 | 75–285 MHz (10–15.2%) | 1.2–4.2 | 0.38 × 0.13 | 2 | <24 | 1 |
| [22] | 0.89–1.13 | 1.27 | 39–54 MHz (4.4–4.8%) | 3.2–4.3 | 0.5 × 0.35 | 2 | <40 | 1 |
| [23] | 0.89–1.13 | 1.67 | 12–23 MHz (2.75–3.2%) | 1.34–2.92 | 0.16 × 0.14 | 2 | <40 | 1 |
| [24] | 1.22–1.72 | 1.41 | 61–103 MHz (5–6%) | 3–4.9 | 0.05 × 0.12 | 3 | <35 | 1 |
| [25] | 0.79–1.59 | 2.01 | 55–111 MHz (7%) | 1.3–2.1 | 0.16 × 0.11 | 2 | <20 | 3 |
| [26] | 1.1–2.1 | 1.9 | 40 MHz (1.9–3.6%) | 4.4–6.1 | 0.06 × 0.27 | 2 | <25 | 5 |
| This work | 0.37–0.8 | 2.16 | 23–48 MHz (6%) | 1.9–3.4 | 0.05 × 0.06 | 2 | <26 | 1 |
| Ref. | f (GHz) | BW | IL (dB) | Size () | IL (dB) | |
|---|---|---|---|---|---|---|
| [35] | 0.7–1 | 1.42 | 39–68 MHz (5.5–6.8%) | 4.4–6.4 | 0.5 × 0.56 | <40 |
| [36] | 1.7–2.5 | 1.47 | 38–156 MHz (3.4–6.2%) | <3.3 | 1.29 × 0.51 | <21.5 |
| [37] | 0.119–0.239 | 2 | 23–42 MHz (17.5–19.3%) | <2.41 | - | <28 |
| [38] | 2.6–3.35 | 1.29 | 109–181 MHz (4.2-5.4%) | 3.1–3.7 | 1.35 × 0.9 | <39 |
| This work | 0.38-0.79 | 2.08 | 17.5–35.5 MHz (4.6%) | 3.5–6.9 | 0.075 × 0.1 | <52 |
Publisher’s Note: MDPI stays neutral with regard to jurisdictional claims in published maps and institutional affiliations. |
© 2022 by the authors. Licensee MDPI, Basel, Switzerland. This article is an open access article distributed under the terms and conditions of the Creative Commons Attribution (CC BY) license (https://creativecommons.org/licenses/by/4.0/).
Share and Cite
Magnuski, M.; Wójcik, D.; Surma, M.; Noga, A. A Tunable Microstrip Bandpass Filter with Two Concurrently Tuned Transmission Zeros. Electronics 2022, 11, 807. https://doi.org/10.3390/electronics11050807
Magnuski M, Wójcik D, Surma M, Noga A. A Tunable Microstrip Bandpass Filter with Two Concurrently Tuned Transmission Zeros. Electronics. 2022; 11(5):807. https://doi.org/10.3390/electronics11050807
Chicago/Turabian StyleMagnuski, Mirosław, Dariusz Wójcik, Maciej Surma, and Artur Noga. 2022. "A Tunable Microstrip Bandpass Filter with Two Concurrently Tuned Transmission Zeros" Electronics 11, no. 5: 807. https://doi.org/10.3390/electronics11050807
APA StyleMagnuski, M., Wójcik, D., Surma, M., & Noga, A. (2022). A Tunable Microstrip Bandpass Filter with Two Concurrently Tuned Transmission Zeros. Electronics, 11(5), 807. https://doi.org/10.3390/electronics11050807

