Content-Aware Proactive VR Video Caching for Cache-Enabled AP over Edge Networks
Abstract
:1. Introduction
- First, the characteristics of the framework and its cache structure are analyzed, a system model based on VR user cache placement is designed, and cache management is designed and analyzed.
- Then, the user throughput is analyzed based on a bidirectional Markov model and the problem of maximizing the quantised system throughput is given. The active edge caching strategies of “content popularity awareness” and “joint content popularity and video saliency awareness” are proposed to guarantee the symmetry of information, and the specific flow of the algorithm is given.
- Finally, the performance of the proposed caching algorithm is evaluated in simulation, and the proposed approach effectively improves the throughput of the entire network and also improves the hit rate of VR caching.
2. Related Work
2.1. Quality Assurance Strategy Based on Cache Enablement
2.2. Content-Aware Optimisation-Based Approach
3. System Model
3.1. Network Model
3.2. Cache Placement Model
4. Problem Modeling
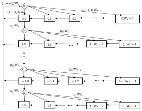
4.1. Throughput Analysis
4.2. Problem Formulation
5. VR Content-Aware Caching Strategy
5.1. Active Caching Strategy for Content Popularity
| Algorithm 1 Content cache placement algorithm based on content popularity |
| Input:
Output:
|
5.2. Content-Aware Cache Replacement Strategy
| Algorithm 2 Content-aware content cache placement algorithm |
| Input: Output:
|
6. Experimental Analysiss
6.1. Simulation Experiments
6.2. Baseline Algorithm
- Random caching algorithm: This algorithm performs random placement for cached resources under the assumption that there is no complete prior knowledge of user requests.
- Content popularity caching algorithm: Based on content popularity, it is currently the most commonly used caching algorithm. The algorithm only keeps a sorted list of the number of user requests for content over a period of time to obtain the popularity of user-requested content.
- Content-aware caching algorithm: This algorithm is a comparison algorithm given in this paper. The basic idea is to use big data to analyze user attributes such as the relevance and continuity of user-requested content, and to analyze the degree of preference of content with the salience characteristics of VR videos, and to guide the caching strategy based on the analysis results.
6.3. Performance Evaluation
6.3.1. Network Throughput Analysis
6.3.2. AP Cache Hit Rate Analysis
7. Conclusions
Author Contributions
Funding
Acknowledgments
Conflicts of Interest
References
- Wei, H. White Paper on the VR-Oriented Bearer Network Requirement. Available online: http://www.huawei.com/cn/news/2016/11/WhitePaper-VR-Oriented-Bearer-Network-Requirements (accessed on 1 March 2022).
- Chakareski, J. Vr/Ar immersive communication: Caching, edge computing, and transmission trade-offs. In Proceedings of the Workshop on Virtual Reality and Augmented Reality Network, Los Angeles, CA, USA, 25 August 2017; pp. 36–41. [Google Scholar]
- Chen, M.; Saad, W.; Yin, C. Echo-liquid state deep learning for 360 content transmission and caching in wireless vr networks with cellular-connected uavs. IEEE Trans. Commun. 2019, 67, 6386–6400. [Google Scholar] [CrossRef]
- Elbamby, M.S.; Perfecto, C.; Bennis, M.; Doppler, K. Edge computing meets millimeter-wave enabled vr: Paving the way to cutting the cord. In Proceedings of the 2018 IEEE Wireless Communications and Networking Conference (WCNC), Barcelona, Spain, 15–18 April 2018; pp. 1–6. [Google Scholar]
- Ozcinar, C.; Abreu, A.D.; Knorr, S.; Smolic, A. Estimation of optimal encoding ladders for tiled 360 vr video in adaptive streaming systems. In Proceedings of the 2017 IEEE International Symposium on Multimedia (ISM), Taichung, Taiwan, 11–13 December 2017; IEEE: New York, NY, USA, 2017; pp. 45–52. [Google Scholar]
- Krauskopf, J. Effect of retinal image stabilization on the appearance of heterochromatic targets. J. Opt. Soc. Am. 1963, 53, 741–744. [Google Scholar] [CrossRef] [PubMed]
- Baştuǧ, E.; Bennis, M.; Kountouris, M.; Debbah, M. Cache-enabled small cell networks: Modeling and tradeoffs. EURASIP J. Wirel. Commun. Netw. 2015, 2015, 1–11. [Google Scholar] [CrossRef] [PubMed]
- Erman, J.; Gerber, A.; Hajiaghayi, M.; Pei, D.; Sen, S.; Spatscheck, O. To cache or not to cache: The 3g case. IEEE Internet Comput. 2011, 15, 27–34. [Google Scholar] [CrossRef]
- Ahlehagh, H.; Dey, S. Video caching in radio access network: Impact on delay and capacity. In Proceedings of the 2012 IEEE Wireless Communications andNetworking Conference (WCNC), Paris, France, 1–4 April 2012; IEEE: New York, NY, USA, 2012; pp. 2276–2281. [Google Scholar]
- Karamchandani, N.; Niesen, U.; Maddah-Ali, M.A.; Diggavi, S.N. Hierarchical coded caching. IEEE Trans. Inf. Theory 2016, 62, 3212–3229. [Google Scholar] [CrossRef]
- Maddah-Ali, M.A.; Niesen, U. Fundamental limits of caching. IEEE Trans. Inf. Theory 2014, 60, 2856–2867. [Google Scholar] [CrossRef]
- Sukhmani, S.; Sadeghi, M.; Erol-Kantarci, M.; Saddik, A.E. Edge caching and computing in 5g for mobile ar/vr and tactile internet. IEEE Multimed. 2018, 26, 21–30. [Google Scholar] [CrossRef]
- Borji, A.; Cheng, M.-M.; Hou, Q.; Jiang, H.; Li, J. Salient object detection: A survey. Comput. Vis. Media 2019, 5, 117–150. [Google Scholar] [CrossRef]
- Alshawi, T.; Long, Z.; AlRegib, G. Understanding spatial correlation in eye-fixation maps for visual attention in videos. In Proceedings of the 2016 IEEE International Conference on Multimedia and Expo (ICME), Seattle, WA, USA, 1–15 July 2016; IEEE: New York, NY, USA, 2016; pp. 1–6. [Google Scholar]
- Nguyen, T.V.; Xu, M.; Gao, G.; Kankanhalli, M.; Tian, Q.; Yan, S. Static saliency vs. dynamic saliency: A comparative study. In Proceedings of the 21st ACM International Conference on Multimedia, Barcelona, Spain, 21–25 October 2013; pp. 987–996. [Google Scholar]
- Bilal, M.; Kang, S.-G. Time aware least recent used (tlru) cache management policy in icn. In Proceedings of the 16th International Conference on Advanced Communication Technology, Pyeongchang, Korea, 16–19 February 2014; IEEE: New York, NY, USA, 2014; pp. 528–532. [Google Scholar]
- Bilal, M.; Kang, S.-G. A cache management scheme for efficient content eviction and replication in cache networks. IEEE Access 2017, 5, 1692–1701. [Google Scholar] [CrossRef]
- Hong, M.; Garcia, A.; Barrera, J. Joint distributed access point selection and power allocation in cognitive radio networks. In Proceedings of the 2011 Proceedings IEEE INFOCOM, Shanghai, China, 10–15 April 2011; IEEE: New York, NY, USA, 2011; pp. 2516–2524. [Google Scholar]
- Wu, C.; Tan, Z.; Wang, Z.; Yang, S. A dataset for exploring user behaviors in vr spherical video streaming. In Proceedings of the 8th ACM on Multimedia Systems Conference, Taipei, Taiwan, 20–23 June 2017; pp. 193–198. [Google Scholar]
- De Abreu, A.; Ozcinar, C.; Smolic, A. Look around you: Saliency maps for omnidirectional images in vr applications. In Proceedings of the 2017 Ninth International Conference on Quality of Multimedia Experience (QoMEX), Erfurt, Germany, 31 May–2 June 2017; pp. 1–6. [Google Scholar]
- David, E.J.; Gutiérrez, J.; Coutrot, A.; Da Silva, M.P.; Callet, P.L. A dataset of head and eye movements for 360 videos. In Proceedings of the 9th ACM Multimedia Systems Conference, Amsterdam, The Netherlands, 12–15 June 2018; pp. 432–437. [Google Scholar]
- Yu, M.; Lakshman, H.; Girod, B. A framework to evaluate omnidirectional video coding schemes. In Proceedings of the 2015 IEEE International Symposium on Mixed and Augmented Reality, Fukuoka, Japan, 29 September–3 October 2015; pp. 31–36. [Google Scholar]
- Rai, Y.; Le Callet, P.; Guillotel, P. Which saliency weighting for omni directional image quality assessment? In Proceedings of the 2017 Ninth International Conference on Quality of Multimedia Experience (QoMEX), Erfurt, Germany, 31 May–2 June 2017; pp. 1–6. [Google Scholar]
- Marmitt, G.; Duchowski, A.T. Modeling Visual Attention in vr: Measuring the Accuracy of Predicted Scanpaths. Ph.D. Thesis, Clemson University, Clemson, SC, USA, 2002. [Google Scholar]
- Upenik, E.; Ebrahimi, T. A simple method to obtain visual attention data in head mounted virtual reality. In Proceedings of the 2017 IEEE International Conference on Multimedia & Expo Workshops (ICMEW), Hong Kong, China, 10–14 July 2017; pp. 73–78. [Google Scholar]
- Sitzmann, V.; Serrano, A.; Pavel, A.; Agrawala, M.; Gutierrez, D.; Masia, B.; Wetzstein, G. Saliency in vr: How do people explore virtual environments? IEEE Trans. Vis. Comput. Graph. 2018, 24, 1633–1642. [Google Scholar] [CrossRef] [PubMed] [Green Version]
- Chen, J.; Chiang, M.; Erman, J.; Li, G.; Ramakrishnan, K.; Sinha, R.K. Fair and optimal resource allocation for lte multicast (embms): Group partitioning and dynamics. In Proceedings of the 2015 IEEE Conference on Computer Communications (INFOCOM), Hong Kong, China, 26 April–1 May 2015; pp. 1266–1274. [Google Scholar]
- Xu, M.; Li, C.; Liu, Y.; Deng, X.; Lu, J. A subjective visual quality assessment method of panoramic videos. In Proceedings of the 2017 IEEE International Conference on Multimedia and Expo (ICME), Hong Kong, China, 10–14 July 2017; pp. 517–522. [Google Scholar]
- Xu, M.; Song, Y.; Wang, J.; Qiao, M.; Huo, L.; Wang, Z. Predicting head movement in panoramic video: A deep reinforcement learning approach. IEEE Trans. Pattern Anal. Mach. Intell. 2018, 41, 2693–2708. [Google Scholar] [CrossRef] [PubMed]
- Xu, Y.; Dong, Y.; Wu, J.; Sun, Z.; Shi, Z.; Yu, J.; Gao, S. Gaze prediction in dynamic 360 immersive videos. In Proceedings of the IEEE Conference on Computer Vision and Pattern Recognition, Salt Lake City, UT, USA, 18–23 June 2018; pp. 5333–5342. [Google Scholar]
- Cha, M.; Kwak, H.; Rodriguez, P.; Ahn, Y.-Y.; Moon, S. I tube, you tube, everybody tubes: Analyzing the world’s largest user generated content video system. In Proceedings of the 7th ACM SIGCOMM Conference on Internet Measurement, San Diego, CA, USA, 24–26 October 2007; pp. 1–14. [Google Scholar]
- Bertsekas, D.; Gallager, R. Data Networks; Athena Scientific: Nashua, NH, USA, 2021. [Google Scholar]
- Little, J.D.; Graves, S.C. Little’s law. In Building Intuition; Springer: Berlin/Heidelberg, Germany, 2008; pp. 81–100. [Google Scholar]
- Ahlehagh, H.; Dey, S. Video-aware scheduling and caching in the radio access network. IEEE/ACM Trans. Netw. 2014, 22, 1444–1462. [Google Scholar] [CrossRef]







Publisher’s Note: MDPI stays neutral with regard to jurisdictional claims in published maps and institutional affiliations. |
© 2022 by the authors. Licensee MDPI, Basel, Switzerland. This article is an open access article distributed under the terms and conditions of the Creative Commons Attribution (CC BY) license (https://creativecommons.org/licenses/by/4.0/).
Share and Cite
Ruan, J.; Xie, D. Content-Aware Proactive VR Video Caching for Cache-Enabled AP over Edge Networks. Electronics 2022, 11, 2824. https://doi.org/10.3390/electronics11182824
Ruan J, Xie D. Content-Aware Proactive VR Video Caching for Cache-Enabled AP over Edge Networks. Electronics. 2022; 11(18):2824. https://doi.org/10.3390/electronics11182824
Chicago/Turabian StyleRuan, Jinjia, and Dongliang Xie. 2022. "Content-Aware Proactive VR Video Caching for Cache-Enabled AP over Edge Networks" Electronics 11, no. 18: 2824. https://doi.org/10.3390/electronics11182824
APA StyleRuan, J., & Xie, D. (2022). Content-Aware Proactive VR Video Caching for Cache-Enabled AP over Edge Networks. Electronics, 11(18), 2824. https://doi.org/10.3390/electronics11182824

