Abstract
To address the problem that the accuracy of traditional intelligent algorithms in distribution network fault location decreases with the expansion of distribution network scale, a regionalized fault location method for distribution networks containing distributed power sources based on the improved manta ray foraging optimization (IMRFO) algorithm is proposed. First, the global convergence property of the basic manta ray foraging optimization (MRFO) algorithm is improved by fusing the restart strategy and the opposition-based learning strategy. Then, based on the two-port equivalence principle, a topological model for regionalized fault hierarchical localization in distribution networks is constructed. Finally, the algorithm is improved by binary discretization using the Sigmoid function to output the fault vector and complete the fault location of the distribution network. Simulation experiments are conducted using MATLAB for IEEE-33 node distribution networks and the simulation results show that the IMRFO algorithm combined with the regionalization of complex distribution networks has a better effect of dimensionality reduction. Compared with the traditional distribution network simulation model, the fault location fault tolerance is greatly improved and its accuracy rate is increased by 1.8% and the location speed is improved by 15.537 ms.
1. Introduction
Distribution network fault location, as a prerequisite for fault isolation and self-healing, plays an important role in improving the safety and stability of power systems [1,2]. Since the goal of carbon peaking and carbon neutrality has been proposed, distributed generation (DG) such as photovoltaic and wind power has been connected to the distribution network on a large scale, making the distribution network structure more and more complex [3,4]. In the field of distribution network fault location, scholars at home and abroad have proposed various methods such as fault routing, fault ranging and fault zone location [5]. Among them, the fault ranging method mainly includes the injection method [6,7], the impedance method [8,9,10] and the traveling wave method [11,12,13,14]. Fault zone location methods mainly include the zero sequence current comparison method [15,16], the harmonic component method [17,18], the medium resistance method [19,20], the matrix method [21,22,23,24] and the artificial intelligence method [25,26,27,28,29].
With the rapid development of distribution network automation technology, the fault zone location method based on the feeder terminal unit (FTU) has become a research hotspot. X. Gong et al. (2021) [30]. pointed out that the data communication volume is small and the location speed is fast by using the multi-point FTU telematics information received from the master station for fault segment location. The FTU can determine both the fault current flow and the fault current direction after assembling the fault current detection element and the direction element. The development of fault location based on FTU telematics data mainly divides into two stages. The first stage is the fault zone location based on the matrix idea. The matrix method is fast and simple in principle, but when the fault information uploaded by the FTU is distorted, the matrix method is prone to miscalculation or omission. T. Zheng et al. (2021) [31]. used telemetry information to correct the key node information to improve the fault tolerance of the matrix method. Q. Q. Zhang et al. (2018) [32]. established a dynamic network description matrix and proposed an improved matrix algorithm for distribution network fault location. The algorithm can update the network description matrix in real time according to the communication status of the FTU and the simple structure of the criterion, uniform form and small computation can realize the accurate location of the fault section of the distribution network. However, it is not applicable to complex multi-power distribution networks. The second stage is to use artificial intelligence techniques for fault segment location to find the fault feeder that best explains the information reported by the FTU [33]. Such as neural networks [34], Bayesian networks [35] and intelligent optimization algorithms. Wu Han et al. (2020) [27]. introduced time-varying inertia weighting factors and empirical factors to speed up the convergence of the algorithm and improve its stability. The advantages of the algorithm in terms of solution speed and accuracy were demonstrated and it is also fault tolerant when a small amount of fault information is distorted. To address the limitations of the existing algorithm, Z. D. Sun et al. (2021) [28]. introduced the low-voltage side information based on the genetic algorithm and constructed a highly robust fault location model. This method has higher accuracy and is more suitable for practical engineering. X. Q. Ji et al. (2021) [29]. optimized the traditional fault location method based on hierarchical processing and the idea of global optimization search. This novel optimization method has the advantages of high accuracy and fast location speed in the face of different structures and sizes of distribution networks. In conclusion, the intelligent optimization algorithm has the advantages of high fault tolerance and high applicability, but has the disadvantage of falling into local optimum. The characteristics of distribution network fault location methods are summarized in Table 1.
Table 1.
Characteristics of various fault location methods.
The MRFO algorithm is an intelligent optimization algorithm proposed by Zhao et al. (2020) [36]. It has gained popularity among scholars because of its significant improvement in solution accuracy and robustness compared to traditional population intelligence affine algorithms. Houssein et al. (2021) used location-based learning to improve the original MRFO algorithm’s tendency to fall into local optima [37]. Tang et al. (2021) created an elite search pool to extend the MRFO initial search excellence [38]. Micev et al. (2021) proposed to combine the simulated annealing algorithm with the manta ray foraging optimization algorithm, which led to a significant improvement in the convergence speed of the algorithm [39]. Wang et al. (2022) performed a discrete advection of the MRFO algorithm using the Sigmoid function. Then, a binary spiral foraging was performed near the global optimal solution using the XOR operator and the speed adjustment factor to avoid the algorithm from falling into a local optimum [40]. Nevertheless, most scholars have adopted the strategy of fusing multiple algorithms to improve the original algorithm. This approach tends to increase the running time of the algorithm itself while improving the convergence performance of the algorithm.
In summary, many achievements have been made in the distribution network fault location method based on swarm intelligence algorithms, but the modeling idea of the method is mainly based on the construction of logical value model of fault diagnosis minimum set theory. It will face the following two problems: on the one hand, because logical relations need to be modeled in the model, which will increase the complexity of model construction in a large-scale distribution network. On the other hand, because the logical relation operation exists in the fault location model, it needs to be solved by using swarm intelligence algorithm with random search feature, which will cause problems such as computation time consuming and unstable fault location results when the scale of distribution network is large. Therefore, optimizing the fault location model and improving the algorithm search performance are the main breakthroughs to solve the fault location of the current large-scale distribution network system. In this paper, we propose a method that combines the regionalization of large-scale distribution networks with the improvement of the optimization performance of intelligent algorithms. The MRFO algorithm is selected for improvement, which effectively reduces the time of distribution network fault location and improves the fault tolerance and accuracy of fault location.
2. Materials and Methods
This section describes the improved way of fault information encoding, switching functions and the construction of adaptation functions for the current complex multi-source distribution network structure. The intelligent algorithm-based distribution network fault location is based on the fault information vector reported by each FTU on the node switch and the topology of the multi-source distribution network to form the evaluation function. Various optimization algorithms are then used to search for the optimal solution of the evaluation function to achieve fault location [41,42]. The simple multi-power distribution network model is shown in Figure 1.
Figure 1.
Multi-power distribution network model.
2.1. Fault Message Code
The segment switches are defined as switch nodes in the distribution network model equipped with FTU devices, which are denoted by in the constructed distribution network model, respectively. These switch nodes divide the entire distribution network into a number of segments , linking the switch nodes to the line segments [43]. In case of a fault in a line segment, the fault current originates only from the upstream node close to the power source. and are the fault current directions. The indicates a fault in the zone. In a multi-power distribution network, the tidal current direction is not in unique. Therefore, the direction of the system power flow to the fault point is defined as the reference direction. Let be the actual measured value of the state of switch node . The coding rules are shown in Table 2.
Table 2.
Fault message coding rules.
2.2. Construction of Switching Functions
The relationship between the fault information of the switch node and the state of the line segment can be expressed by the switching function. The fault information of the switch node is encoded and then uploaded to the data acquisition and monitoring system by the FTU. Therefore, the fault zone location based on the intelligent algorithm to analyze the fault information of the switch node requires the establishment of a switching function to link the operation of each line with the working state of each switch [44]. Considering that the original switching function is not applicable in a multi-source distribution network, a new way of constructing the switching function is used. Let be the switching function and be the expected value of the switch node state. The switching function is shown in Equation (1).
where represents the superposition operation of logic “or”, and represent the number of all zones above and downstream of node, respectively, is the throwing and cutting of distributed power supply . represents the power supply into the distribution network operation, represents the power supply removed from the distribution network. The is the number of distributed power supplies, and are the fault states of the upstream and downstream lines of switch node respectively. The value of “1” means there is a fault and “0” means no fault.
Assuming that a failure occurs in zone . Then, the zone state is assumed to be and the actual node information detected by the FTU is . To check the effectiveness of the adopted switching function, the expected value of each node in the network is solved. The expected value of all switching nodes in the network can be obtained as , which is consistent with the actual fault information uploaded by the FTU. Therefore, the new switching function construction method is applicable to multi-source distribution network fault location. The solution process is shown in Equation (2).
2.3. Fitness Function Construct and Validation
The accuracy of the operation of the fitness function is the key to ensure that the accurate location of the faulty section of the distribution network is achieved. It represents the difference between the actual measured value uploaded by the feeder terminal unit (FTU) to the system terminal and the expected value calculated by the constructed switching function when a fault occurs in the distribution network [45,46]. The process of distribution network fault location based on intelligent arithmetic is the process of finding the minimum value of the adaptation degree function. In order to avoid multiple solutions of the function, which can lead to misclassification of the fault location, the “minimum set” theory is introduced [47]. This minimizes the solution and ensures the uniqueness of the solution. The expression of the fitness function is shown in Equation (3).
where denotes the number of all switching nodes in the distribution network, is a weight factor between 0 and 1, usually taking the value of 0.5 and is the sum of the number of all lines in the distribution network. The right half of the plus sign is the number of segments in the system where faults occur.
Assume that a fault occurs in zone and the actual fault information is . To check the validity and accuracy of the adopted fitness function, the expected value and the value of fitness function are solved for each zone in the network when a fault occurs. The results of the solution are shown in Table 3.
Table 3.
Solution results of fitness value of each section.
From the solved data in Table 3, it can be seen that the adaptation value of zone is the smallest. This lays the foundation for accurate fault zone location by means of intelligent algorithm seeking at a later stage. The “minimum set” theory is introduced to find the minimum value of all possible solutions to avoid the possibility of misclassification due to the existence of multiple solutions.
2.4. Distribution Network Regionalization
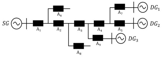
The number of nodes in the grid system increases with the massive access of distributed power sources. This leads to an increase in the fault search dimension and makes it difficult for intelligent algorithms to quickly and accurately calculate the location of faults occurring in the distribution grid system. To solve this problem, this section introduces a method to reduce the dimensionality of the solution space by regionalizing the distribution grid. First, the external equivalence principle is used to regionalize the single branch in the distribution network. Second, when a fault occurs, the IMRFO algorithm is used to locate the region where the fault is located first. Finally, in order to speed up the running time of the algorithm and avoid the instability of the algorithm, the basic MRFO algorithm is used to complete the fault zone location. Taking the multi-branch distribution network model in Figure 2 as an example, the principle and model of distribution network fault regionalization localization are analyzed and constructed.
Figure 2.
Multi-branch distribution network model.
The principle of distribution network regionalization is analyzed by the logic construction law of the switching function. The system power supply and distributed power supplies and are operated in parallel. Assuming that a single fault occurs in , and , respectively, the switching function of each node is solved according to Equation (1) and the solution results are shown in Table 4.
Table 4.
Solution result of switch function.
As can be seen from Table 4, comparing the three fault cases, only the node switching function values of , and change, while the node switching functions of other non-faulty branches are not affected by them. According to the equivalence external principle, it is known that the zones on each single branch can be equated into a large area. For the multi-branch distribution network system shown in Figure 2, the single-branch equivalent area is divided and the equivalent area model is shown in Figure 3, which equates the 10-node distribution system into a 5-area system.
Figure 3.
Single-branch equivalent area model. (a) Area division schematic; (b) Regional division model.
As shown in Figure 3a, the principle of distribution network regionalization is to divide the nodes and on a single branch into a region . As shown in Figure 3b, region includes nodes and . Region includes node . Region includes nodes and . Region includes nodes and . Region includes nodes , and . By regionalizing the large-scale distribution network system, the complexity of the system is largely simplified and the search dimension of fault points is reduced. When a fault occurs in any zone of the original branch, a fault is detected in the equivalent post-region, i.e., the operation state of the original branch is the state of the equivalent post-region. When a fault occurs, the region where the faulty zone is located is first located and the next step is to complete the location of the specific faulty zone . The specific positioning process is shown in Figure 4.
Figure 4.
Distribution network regionalized fault location flowchart.
3. Fault Location Principle Based on IMRFO
This section mainly addresses the problems of slow convergence and insufficient exploration ability of the MRFO algorithm in the process of finding the optimum and proposes improvement strategies. It also describes the fault location process based on IMRFO. First, the restart strategy is invoked to control the number of iterations of the algorithm to reduce the possibility of the algorithm falling into local optimum. Then, the opposition-based learning strategy is integrated in the late stage of individual position update to speed up the convergence of the worst position of manta ray population to the optimal position. Finally, the Sigmoid function is used to transform the continuous solution problem into a 0–1 non-linear integer optimization problem.
3.1. Principle of Basic MRFO
MRFO is an intelligent optimization algorithm proposed by ZHAO Weiguo et al. in 2020, which has the advantages of fast optimization, strong local search ability and few parameters. Derived from three foraging strategies, manta ray chain foraging, cyclone foraging and somersault foraging, the optimization ability of MRFO is effectively improved from different aspects.
3.1.1. Chain Foraging
The chain foraging stage is when the first and last individuals of a manta ray group are arranged in an orderly foraging chain. Except for the front individual, other individuals not only move towards the optimal position, but also follow the individual in front of it. In other words, the plankton missed by the previous individual will be foraged by the subsequent individuals. In each iteration, each individual is updated by the optimal position found so far and by the position in front of it. The mathematical model of this position updating method is shown in Equations (4) and (5).
where denotes the position of the generation, manta ray individual in the dimension denotes a random number within (0, 1), denotes the weight factor, is the position of the best individual in the generation in the dimension, and is the number of individuals. When manta rays find high densities of plankton in deep water, they will swim towards their food in a spatially spiraling feeding chain with each other at the head and tail.
3.1.2. Cyclone Foraging
The plankton are swept into the center of the vortex and enter a cyclonic feeding phase. When , all individuals perform the search with food as the reference position, which is updated as shown in Equations (6) and (7).
where is the weighting factor, is the total number of iterations and is a random number within (0, 1).
When , a new random position in the whole search space is used as a reference. This mechanism focuses mainly on exploration and enables MRFO to perform a wide range of global searches. The mathematical equations describing the spiral motion of the manta ray are shown in Equations (8) and (9).
where is the random position in the search space in the generation and the dimensional space, and are the upper and lower bounds of the dimensional space, respectively.
3.1.3. Somersault Foraging
Individual manta rays can move to any new position within the somersault range. Therefore, they always update their position around the optimal position. In tumble predation, manta individuals use the current optimal solution as the tumble fulcrum and tumble to the other side in a mirror relationship with their current position. The mathematical model is expressed as shown in Equation (10).
where . is the somersault factor that determines the somersault range and the value of is 2 in this paper. and are random numbers within (0, 1).
3.2. IMRFO Improvement Strategies
The three improvement strategies are as follows.
3.2.1. Restart Policy Principle
The restart strategy is a cyclic iteration by observing whether the number of stalls of feasible solutions reaches a predetermined limit value. If the position of an individual does not change within the set restart value, the current solution is discarded and the evolution of the next generation continues to regenerate a new solution [48,49]. During the algorithm’s search for superiority, the manta ray individuals will slowly move closer to the prey position. The possibility of falling into local optimum would increase as the population diversity decreases. Therefore, a restart strategy is introduced to avoid the MRFO algorithm falling into local extremes, so that the global optimization capability of the algorithm is optimized. The optimization ability of the improved algorithm depends on the restart value. Too large restart value would cause the algorithm to be updated frequently and weaken the local search ability. The population parameter is set to 50, the total number of iterations is 50 and the restart value is set to 3 after several experiments.
3.2.2. Opposition-Based Learning
Opposition-based learning (OBL) was proposed by Tizhoosh in 2005 [50]. Many population intelligence algorithms use random operators to generate the initial population, which will lead to slow convergence. Thus, the concept of pairwise points was proposed in OBL to replace the random search with a pairwise search. Assuming that is a point in the dimensional space, the inverse point expression of point is shown in Equation (11).
where , , and are the minimum and maximum values of the point in the dimension.
Unlike the ordinary reversal point, the Cauchy reversal point is selected in this paper, which is randomly generated between the midpoint and the ordinary reversal point. Then, the expression of the Cauchy inverse point of point P is shown in Equation (12).
3.2.3. Discretization Transformation of Sigmoid Function
MRFO is mainly used for function solving problems in continuous space. If we want to solve the distribution network fault location problem in engineering, we need to discretize the original algorithm. From the encoding of the line state above, it is known that there is no fault in the line by {1,0}. Therefore, the MRFO algorithm needs to be discretized into an optimization algorithm in binary space [51,52,53]. In this paper, a probabilistic mapping is used to variant the manta ray individual position update algorithm. The position change of the next generation of manta ray individuals is determined by the probability that the Sigmoid function translates the individual position to the interval [0,1]. The update equations are shown in Equations (13) and (14).
where is the position of the individual manta ray, is a random number within (0, 1), and is the vector element obtained by binary conversion.
3.3. Fault Location Principle Based on IMRFO
The specific steps to improve the foraging algorithm for manta rays are as follows:
- Step1: Set the population size , the solution dimension , the maximum number of iterations , the current number of iterations and the restart value .
- Step2: Initialize the population and generate a random population of manta rays .
- Step3: Generate new populations by opposition-based learning strategy according to Equations (11) and (12).
- Step4: Calculate the current fitness value of the manta ray population and get the location of the optimal manta ray and its corresponding global optimal fit-ness value .
- Step5: Enter the main loop of MRFO according to Equations (5)–(10).
- Step6: Determine whether the current individual is better than the previous generation, if it is satisfied, proceed to Step7, otherwise record the number of iterations of the current solution .
- Step7: Update the position around the optimal position according to Equation (10).
- Step8: Calculate the fitness value of each individual manta ray to obtain the individual optimal solution and the global optimal solution according to the new fitness.
- Step9: Determine whether is smaller than and if it is, execute Step11, otherwise execute Step10.
- Step10: Determine whether the restart value () is reached, if it is satisfied, Step2 is executed, otherwise Step11 is executed.
- Step11: Determine whether the maximum number of iterations is reached, if it is satisfied, terminate the iteration and output the current optimal solution, otherwise execute Step2.
- Step12: Convert real vector to binary vector using Sigmoid function.
The specific flow of the IMRFO-based distribution network fault location method is shown in Figure 5.
Figure 5.
Flowchart of fault location based on IMRFO.
4. Experiments and Analysis
This section contains two main contents: one is the simulation analysis of IMRFO improvement experiments to analyze the effectiveness of the improvement strategy; the other is the simulation analysis of IMRFO-based distribution network fault location experiments to analyze the engineering applicability of IMRFO. The simulation experiment environment in this paper is based on an Intel(R) Core (TM) i7-7660U processor with a 2.50 GHz CPU and 8.00 G of memory with a Windows 10 (64-bit) operating system.
4.1. IMRFO Performance Text
This section mainly verifies the rationality and superiority of the improvement strategy proposed in this paper, as well as compares and analyzes the performance of the improved IMRFO with other intelligent algorithms for finding the best performance. The selected algorithms include the butterfly optimization algorithm (BOA), the whale optimization algorithm (WOA), the aquila optimizer (AO), the sparrow search algorithm (SSA) and MRFO. 10 test functions are randomly selected to test the computational performance of each of these algorithms. Among them, F1-F4 are single-peaked functions, F5-F7 are multi-peaked functions and F8-F10 are fixed-dimension functions and the test functions are shown in Table 5. The parameter sets of all algorithms in this paper were obtained through practical experience. The specific parameter settings of various algorithms are shown in Table 6.
Table 5.
Benchmark test functions.
Table 6.
Parameter settings of each algorithm.
4.1.1. Convergence Speed
In order to visualize the superiority of IMRFO seeking, 6 of the above 10 test functions are randomly selected. Additionally, the convergence curves of each algorithm in the process of finding the superiority are drawn using MATLAB. The comparative convergence curves of various algorithms are shown in Figure 6.
Figure 6.
Convergence curve comparison chart.
As can be seen from Figure 6, IMRFO has the highest computational accuracy and the least fluctuation of the convergence curve with good robustness. From the convergence curves of F4 and F9, it can be seen that the restart strategy effectively prevents the algorithm from falling into a local optimum during the optimization search. The restart value is effectively set to improve the ability of IMRFO to jump out of the local optimum. It can be seen from the convergence curves of F2, F4, F7 and F10 that IMRFO has significantly improved the optimization-seeking accuracy compared to MRFO. Thus, it is demonstrated that the opposition-based learning strategy effectively improves the global optimal finding ability of IMRFO. The convergence curves of F4, F7 and F9 show that SSA converges faster in the early stage, but the final optimization-seeking accuracy is inferior to IMRFO. From the overall view of the convergence curves, SSA and AO are more volatile and less robust in the optimization-seeking process. In conclusion, the analysis of the experimental data shows that the improved IMRFO has a strong optimization-seeking ability no matter solving single-peak functions or solving multi-peak functions.
4.1.2. Optimization Accuracy
To avoid data bias due to chance, the algorithms are run 20 times independently on each function. The simulation software is MATLAB and uniform parameters are set for each algorithm. The population size is set to 30, the dimensionality is set to 30 dimensions and the maximum number of iterations is set to 300 to reduce the random error. After recording the results of each calculation, the best value, the worst value, the mean and the standard deviation of each algorithm when solving different functions are listed. These four-test metrics are used to analyze the algorithm’s search accuracy and stability. The experimental results are shown in Table 7. As can be seen from Table 7, among the algorithms compared above, the improved IMRFO has the highest computational accuracy and the best finding stability. During the solving process, the IMRFO finding result is closest to the theoretical optimal value. In solving the functions F1, F2, F3, F5 and F9, IMRFO solves the theoretical optimal value. The standard deviation of IMRFO is 0 for solving functions F1-F6, which shows that IMRFO is more accurate and has better development capability. It is proved that IMRFO has good robustness, especially in solving the single-peaked function. In solving the multi-peaked functions F7, F9 and F10, the performance of the base MRFO is inferior to that of WOA, AO and SSA; however, the IMRFO outperforms them all. It is demonstrated that the improved IMRFO has improved global search capability compared with the base MRFO.
Table 7.
Optimization search results of various algorithms.
4.2. Distribution Network Fault Location
This section focuses on establishing a simulation platform for distribution network fault location experiments using MATLAB. The specific experimental parameters are set as follows. Population size , maximum number of iterations , and restart value . In order to verify the effectiveness as well as the accuracy of IMRFO in distribution network fault location, a variety of algorithms are selected to perform simulation experiments for single-fault and multi-fault distribution network fault location with and without fault information distortion, respectively.
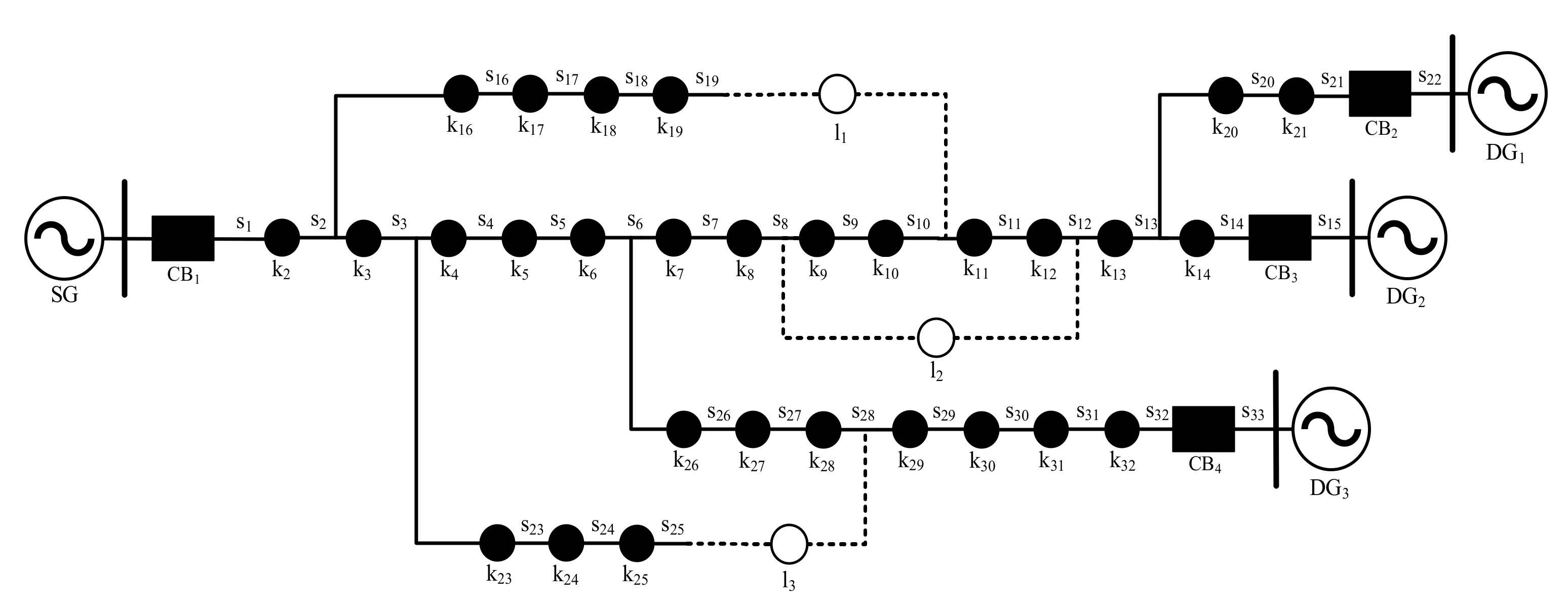
The selected algorithms include the classical matrix algorithm (MA), the whale optimization algorithm (WOA) [54], the chaotic feedback adaptive whale optimization algorithm (CFAWOA), the binary particle swarm optimization (BPSO), the genetic algorithm (GA), MRFO and IMRFO. The objective function shown in Equation (3) in this paper is solved using the seven selected optimization algorithms. A simple transformation of the standard IEEE-33 distribution network topology diagram is performed. Where is the system power supply, , and denote switching nodes that all contain FTU devices. denote distributed power sources and selectively put them into operation. They correspond to the feeder segments of , respectively. The simulation topology model of the 33-node distribution network containing multiple power sources for fault location is constructed as shown in Figure 7.
Figure 7.
33-node distribution network simulation model.
4.2.1. Objective Function Solving and Analysis
Accurately solving the optimal value of the objective function is the key to locating faults in the distribution network. In this part, the selected optimization algorithms are used to solve the objective function for different types of faults in the distribution network. Each optimization algorithm is run 30 times to find the minimum value of the objective function, and the accuracy of the optimization algorithm for fault location is judged by the minimum average value of the solved objective function. The experimental results are shown in Table 8.
Table 8.
Optimal value solving result.
As shown in Table 8, IMRFO has the highest average solving accuracy. When a single fault occurs in the distribution network, IMRFO is able to find the optimal value of the objective function and thus achieve accurate fault location. When multiple faults occur in the distribution network with distorted node information, IMRFO cannot ensure the optimal value for each calculation, but it has the highest average solution accuracy.
4.2.2. Single Faults Analysis
Eight zones are randomly selected for single-fault hypothetical experiments. The system power supply and the three distributed power supplies are put into operation in the distribution system. Each algorithm is run 50 times in cycles with and without distortion of fault information, respectively. The accuracy of fault location is described by the ratio of the number of correct locations to the total number of runs. When , , and have a single fault, no node has information distortion. When , , and have a single fault, information distortion occurs in , , and , respectively. The localization results when a single fault occurred are shown in Table 9.
Table 9.
Single fault location result.
As can be seen from Table 9, IMRFO achieves 100% localization accuracy in the case of a single fault in the distribution network regardless of whether the fault information is distorted or not. WOA, CFAWOA and MRFO have approximately 5% possibility of mislocution during fault localization. BPSO and GA have an average localization accuracy of approximately 88%. In the case that the fault information is not distorted, MA can all correctly locate the faulted segment. However, in case of distortion of fault information, it will directly locate the result with error.
4.2.3. Multiple Faults Analysis
Multiple zones are randomly selected for multiple fault hypothesis experiments. All power supplies in the system are run normally and each algorithm is cycled 50 times. For the solution results of each algorithm, their localization accuracy and fault tolerance are analyzed. When multiple faults occur in , and , no node experiences information distortion. When , and have a multiple faults, information distortion occurs in , , and , respectively. The localization results when multiple faults occur are shown in Table 10.
Table 10.
Multiple fault location result.
As can be seen from Table 10, IMRFO has two false positives in the case of multiple faults in the distribution network with accompanying distortion of fault information and the positioning accuracy is approximately 99%. The fault positioning accuracy of WOA, CFAWOA, BPSO and MRFO is approximately 93%, the fault positioning accuracy of GA is approximately 86% on average, the fault tolerance of MA is very poor and only when the fault information is not the matrix algorithm can make a correct location of the faulted zone, if the distortion of the fault information has not occurred. MA will no longer be applicable when the node information uploaded by the FTU is distorted or missing. In conclusion, when the number of faults in the distribution system increases, it will reduce the fault location accuracy of the intelligent algorithm.
4.2.4. Rapidity of Fault Location
This section focuses on analyzing the rate and stability of IMRFO in fault location process. Since MA is not applicable to multi-power distribution networks, only the remaining intelligent algorithms are selected here for locating the 14 faults in Table 7 and Table 8 above. Each fault is simulated 10 times independently and the average localization time is obtained. The time consumption comparison curves of various algorithms are shown in Figure 8.
Figure 8.
Comparison of fault location time consumption.
The average time consumption of the IMRFO algorithm is the lowest, approximately 27.48 ms. The average time consumption of the MRFO algorithm before the improvement is 30.06 ms. After the improvement, the fault location rate is increased by 29.15%. In order to further verify the rate and fault tolerance of IMRFO in distribution network fault location, four different fault cases are selected from the above-mentioned fault conditions, respectively. Additionally, the convergence curve plots of various algorithms for fault location under different fault conditions are analyzed. The convergence curve plots are shown in Figure 9.
Figure 9.
Fault location convergence curve. (a) Single fault without information distortion. (b) Single fault with information distortion. (c) Multiple failures without information distortion. (d) Multiple failures with information distortion.
Suppose a fault occurs in in the distribution network and the 33 nodes vector uploaded by the FTU to the system terminal is [1111111 − 1 − 1 − 1 − 1 − 1 − 1− 10000 − 1 − 1 − 1 − 1 − 1 − 1 − 1 − 1 − 1 − 1 − 1]. The minimum fitness value of 0.5 can be obtained by the algorithm seeking operation and the convergence curve of fault location is shown in Figure 9a. The output result vector is [000000010000000000000000000000000], thus accurately locating the single fault occurred in . Assuming that a fault occurs in in the distribution network, the 33 nodes uploaded by the FTU to the system terminal vector is [111 − 1 − 1 − 1 − 1 − 1 − 1 − 11 − 1 − 1 − 1 − 10000 − 1 − 1 − 1 − 1110 − 1− 1 − 1 − 1 − 1 − 1 − 1]. At this time, the fault information of node 11 uploaded by the FTU is distorted from “−1” to “1”. The minimum adaptation value of 2.5 can be obtained after calculation by the algorithm and the convergence curve of fault location is shown in Figure 9b. Additionally, the localization result is consistent with the assumption. Thus, it can be seen that when there is a small amount of fault information distortion, the distribution network fault location based on intelligent algorithms can still accurately locate the fault zone. In Figure 9a,b, a single fault occurs in the distribution network system and each algorithm eventually completes fault location accurately.
Among them, IMRFO completes fault location most quickly and does not fall into local optimum during the iterations. MRFO is a little slower than IMRFO and requires approximately 2 more iterations. WOA, BPSO and GA all appear to have local extremes, which leads to long location time. Assuming that a fault occurs simultaneously in and in the distribution network. The algorithm operation can find the minimum adaptation value of 3. The convergence curve of fault location is shown in Figure 9c. The output result vector is [00010000000000000000000000000000000000000]. Thus, multiple faults occurring in the distribution network can be accurately located. Assuming that s9, s19 and s29 in the distribution netwo rk fail at the same time. At this point, the fault information of node 4 uploaded by the FTU is distorted from “1” to “−1”. The minimum adaptation value of 3.5 can be obtained after calculation by the algorithm and the convergence curve of fault location is shown in Figure 9d. Additionally, the localization result is consistent with the assumption. In Figure 9c,d, multiple faults occur in the distribution network system and local optima appear in each algorithm during the iterative process. Among them, IMRFO completes fault localization at the earliest and can successfully jump out of the local optimum and find the global optimum after an average of 2 iterations when it falls into the local optimum. The IMRFO has greatly improved the fault localization speed and accuracy compared to the basic MRFO. In Figure 9d, MRFO falls into a local state after the 8th iteration, which finally leads to a localization error. However, after IMRFO fuses the restart strategy with the backward learning strategy, the global optimization finding capability is significantly improved.
4.2.5. Analysis of Regionalized Fault Location in Distribution Networks
To verify the superiority of the regionalized fault location method for distribution networks proposed in this paper, this section applies the improved IMRFO algorithm to the traditional fault location model and the regionalized fault location model, respectively. The localization speed and accuracy of the two fault location models are analyzed. The regionalized equivalent transformation of the distribution network simulation model in Figure 7 results in the regionalized simulation model of the distribution network shown in Figure 10.
Figure 10.
Distribution network regionalization simulation model.
The conventional simulation model is “Model 1” and the regionalized equivalent simulation model is “Model 2”. The simulation is cycled 50 times for each fault state and the average time of fault location is taken. The localization results of the two simulation models are shown in Table 11 and the time comparison of the two fault localization models is shown in Figure 11. As shown in Table 10, the average fault location accuracy of Model 1 is 98.2% and the average fault location time is 27.288 ms. The average fault location accuracy of Model 2 is 100% and the average fault location time is 11.691 ms. The accuracy of both fault location simulation models reaches 100% in the , single-fault case. While in , multiple fault cases, the localization accuracy of Model 1 decreases as the number of fault points and nodes with information distortion increases. The difference between the fault location accuracy of Model 2 and that of Model 1 is not significant, with an improvement of 1.8%. However, as can be seen from Figure 11, the fault location time of Model 2 is much lower than that of Model 1 and the location speed is improved by an average of 15.537 ms. The fluctuation of the curves shows that the increase of fault points in the distribution network has less impact on the fault location time, but more impact on the fault location accuracy.
Table 11.
Fault location results under different simulation models.
Figure 11.
Comparison of fault location time consumption.
5. Conclusions
In the context of distributed generation being put into the distribution network in large quantities, this paper proposes a method to improve the combination of an intelligent algorithm and optimized distribution network structure. The improvement strategy is proposed to address the shortcomings of the basic MRFO algorithm. Additionally, through simulation experiments on the IEEE 33-node multi-power distribution network and the 9-node distribution network model after regionalization equivalent, the following conclusions can be drawn.
- The convergence speed of the IMRFO-based distribution network fault location algorithm is governed by the restart value, which affects whether the algorithm can jump out of the local optimum. Through several simulation experiments, it can be obtained that the restart value can effectively control the number of local iterations of the algorithm when it is 5% of the total number of iterations. This can effectively improve the speed of the MRFO algorithm.
- By incorporating the opposition-based learning strategy, the algorithm tends to be closer to the global optimal position during the optimization search, thus speeding up the convergence of the algorithm. It effectively improves the solution accuracy and robustness of the MRFO algorithm.
- The dimensionality reduction strategy for regionalization of complex distribution networks reduces the dimensionality of the solution space and facilitates the global optimization search of intelligent algorithms. Compared with the traditional simulation model, it can effectively improve the accuracy, fault tolerance and efficiency of fault zone location.
At the same time, the shortcomings of the IMRFO algorithm were identified during the experimental simulation. When there are multiple faults in the distribution network and there is distortion in the fault information, IMRFO has the defect of falling into local extremes in the localization process. However, in the improved distribution network regionalization simulation experiment, its fault location accuracy is 100%. In practice, the chance of multiple faults occurring simultaneously in the distribution network are small. Therefore, distribution network fault location based on intelligent algorithms has more practical engineering significance. In the future, the size and complexity of distribution grids will undoubtedly continue to increase. Efficient fault location in distribution networks cannot be achieved without continuous optimization and improvement of the grid structure and intelligent algorithms. The regionalized simulation model of the distribution network proposed in this paper is more promising in large-scale distribution networks. We are looking forward to proposing a more concise and effective fault location method in the future.
Author Contributions
Conceptualization, R.Z. and L.L.; methodology, R.Z.; software, R.Z.; validation, R.Z. and L.L.; formal analysis, R.Z.; investigation, R.Z.; resources, R.Z.; data curation, R.Z.; writing—original draft preparation, R.Z.; writing—review and editing, L.L.; visualization, L.L.; supervision, L.L.; project administration, L.L.; funding acquisition, L.L. All authors have read and agreed to the published version of the manuscript.
Funding
This research was funded by the Natural Science Foundation of Fujian Province under Grant 2022H6005, in part by the Initial Scientific Research Fund of FJUT under Grant GY-Z12079, Grant GY-Z21036 and Grant GY-Z20067.
Institutional Review Board Statement
Not applicable.
Informed Consent Statement
Not applicable.
Data Availability Statement
The data presented in this study are available upon reasonable request from the corresponding author.
Acknowledgments
We acknowledge the anonymous reviewers for their constructive comments.
Conflicts of Interest
The authors declare no conflict of interest.
References
- Guo, M.-F.; Gao, J.-H.; Shao, X.; Chen, D.-Y. Location of Single-Line-to-Ground Fault Using 1-D Convolutional Neural Network and Waveform Concatenation in Resonant Grounding Distribution Systems. IEEE Trans. Instrum. Meas. 2020, 70, 3501009. [Google Scholar] [CrossRef]
- Li, W.; Li, Y.; Zhang, M.; Deng, Y.; Li, J.; Zhu, Q.; Zhang, L.; Zhang, S. A Fully Decentralized Multi-Agent Fault Location and Isolation for Distribution Networks with DGs. IEEE Access 2021, 9, 27748–27757. [Google Scholar] [CrossRef]
- Galvez, C.; Abur, A. Fault Location in Active Distribution Networks Containing Distributed Energy Resources (DERs). IEEE Trans. Power Deliv. 2020, 36, 3128–3139. [Google Scholar] [CrossRef]
- Li, Z.Z.; Wang, Z.P.; Zhang, Y.X. An active distribution network fault zone location method based on ascending linear programming. Power Syst. Autom. 2021, 45, 122–132. [Google Scholar]
- Wang, J. Research on Fault Location Method of Distribution Network; Guizhou University: Guiyang, China, 2021. [Google Scholar]
- Yu, K.; Yu, Q.; Zeng, X.; Zeng, J.; Ni, Y.; Zou, H.; Liu, F. A novel method of high impedance fault detection and fault resistance calculation based on damping rate double-ended measurement for distribution network. Int. J. Electr. Power Energy Syst. 2022, 136, 107686. [Google Scholar] [CrossRef]
- Gao, M.; Qing, X. A strategy design of small current ground fault location device based on S injection method. Sci. Technol. Innov. Appl. 2015, 15, 13–14. [Google Scholar]
- Keshavarz, A.; Dashti, R.; Deljoo, M.; Shaker, H.R. Fault location in distribution networks based on SVM and impedance-based method using online databank generation. Neural Comput. Appl. 2022, 34, 2375–2391. [Google Scholar] [CrossRef]
- Personal, E.; García, A.; Parejo, A.; Larios, D.F.; Biscarri, F.; León, C. A Comparison of Impedance-Based Fault Location Methods for Power Underground Distribution Systems. Energies 2017, 9, 1022. [Google Scholar] [CrossRef] [Green Version]
- Alwash, S.F.; Ramachandaramurthy, V.K. New impedance-based fault location method for unbalanced power distribution systems. Int. Trans. Electr. Energy Syst. 2015, 25, 1008–1021. [Google Scholar] [CrossRef]
- De Oliveira, L.G.; Filomeno, M.D.L.; Poor, H.V.; Ribeiro, M.V. Fault detection and location in power distribution systems: The usefulness of the HS-OFDM scheme for time-domain reflectometry. Electr. Power Syst. Res. 2022, 203, 107600. [Google Scholar] [CrossRef]
- Shu, H.; Liu, X.; Tian, X. Single-Ended Fault Location for Hybrid Feeders Based on Characteristic Distribution of Traveling Wave Along a Line. IEEE Trans. Power Deliv. 2020, 15, 71–76. [Google Scholar] [CrossRef]
- Khavari, S.; Dashti, R.; Shaker, H.R.; Santos, A. High Impedance Fault Detection and Location in Combined Overhead Line and Underground Cable Distribution Networks Equipped with Data Loggers. Energies 2020, 5, 2331. [Google Scholar] [CrossRef]
- Song, Y.; Han, H.; Liu, M.; Wang, G. Fault location of hybrid distribution lines based on empirical mode decomposition. IOP Conf. Ser. Earth Environ. Sci. 2021, 687, 73–78. [Google Scholar] [CrossRef]
- Gaur, V.K.; Bhalja, B.R.; Saber, A. New ground fault location method for three-terminal transmission line using unsynchronized current measurements. Int. J. Electr. Power Energy Syst. 2022, 135, 107513. [Google Scholar] [CrossRef]
- Liu, Z.L.; Zeng, X.Y.; Yu, S. A new method for single-phase ground fault protection in resonant grounded distribution networks based on dynamic suppression of unbalanced overvoltage. Power Syst. Prot. Control 2021, 49, 41–49. [Google Scholar]
- Goodarzi, A.; Allahbakhshi, M. Online condition monitoring algorithm for element failure detection and fault location in double wye shunt capacitor banks. Int. J. Electr. Power Energy Syst. 2022, 137, 107864. [Google Scholar] [CrossRef]
- Feng, K.; Wang, S.H. Hybrid line fault ranging accounting for harmonic sub-natural frequency and VMD. Electr. Meas. Instrum. 2019, 56, 109–115. [Google Scholar]
- Zhang, Z.; Liu, J.; Shao, W.; Wang, Y. Fault line selection using multiple disturbance characteristics of fault phase active grounding in resonant grounded distribution networks. Int. J. Electr. Power Energy Syst. 2022, 138, 107931. [Google Scholar] [CrossRef]
- Shi, R.X. Research and Development of Fault Routing Technology for Small Current Grounding System Based on Medium Resistance Throwing; North China University of Electric Power: Beijing, China, 2015. [Google Scholar]
- Zhang, J.; Wu, D. A dual-threshold state analysis and fault location method for power system based on random matrix theory. Nonlinear Dyn. 2022, 107, 2469–2483. [Google Scholar] [CrossRef]
- Dashtdar, M. Fault location in the distribution network based on scattered measurement in the network. Energy Syst. 2022, 13, 539–562. [Google Scholar] [CrossRef]
- Zeng, H.R.; Yang, C. Distribution network fault location matrix algorithm based on voltage magnitude correction. Power Sci. Eng. 2020, 36, 41–46. [Google Scholar]
- Guo, L.S.; Li, F.T.; Zhao, X.L. Fault zone location in DG-containing distribution networks based on sub-network segmentation. Power Syst. Prot. Control 2020, 48, 76–84. [Google Scholar]
- Costa, G.B.; Damiani, J.S.; Marchesan, G.; Morais, A.P.; Bretas, A.S. A multi-agent approach to distribution system fault section estimation in smart grid environment. Electr. Power Syst. Res. 2022, 204, 107658. [Google Scholar] [CrossRef]
- Xu, B.; Yin, X.G.; Zhang, Z. Combination of matrix algorithm and optimization algorithm for distribution network fault location. Power Syst. Autom. 2019, 43, 152–161. [Google Scholar]
- Wu, H.; Sun, Y.Z.; Zhu, Y.W. Fault zone localization in DG-containing distribution networks based on improved bat algorithm. J. Wuhan Univ. 2020, 53, 653–658. [Google Scholar]
- Sun, Z.D.; Yang, T.; Wu, D.Z. Fault location model of distribution network based on multi-source information and genetic algorithm. Smart Power. 2021, 49, 104–110. [Google Scholar]
- Ji, X.Q.; Zhang, S.; Zhang, Y.M. Fault zone location in distribution network based on IELM algorithm. Power Syst. Autom. 2021, 45, 157–166. [Google Scholar]
- Gong, X.; Ren, X.X.; Wang, Q.J. A method for locating zones in DG-containing distribution networks with high fault tolerance stability. High Volt. Technol. 2021, 47, 3992–4006. [Google Scholar]
- Zheng, T.; Ma, L.; Li, B.W. Active distribution network fault zone location based on information distortion correction of feeder terminal devices. Power Grid Technol. 2021, 45, 3926–3935. [Google Scholar]
- Zhang, Q.Q.; Mei, M.W. Improved matrix algorithm for fault zone location in distribution network. Shandong Electr. Power Technol. 2018, 45, 72–75. [Google Scholar]
- Wang, Q.J.; Jin, T.; Shen, T.; Zhu, S.; Liu, S. A complete analytic model of section location in distribution network based on multi-factor dimensionality deduction. Trans. China Electrotech. Soc. 2019, 34, 3012–3024. [Google Scholar]
- Wang, Y.S.; Zong, X.Y.; Yi, J.B. Fault-tolerant algorithm for fault location in distribution network. Electr. Power Autom. Equip. 2018, 38, 9–15. [Google Scholar]
- Zheng, C.L.; Zhu, G.L. Distribution network fault segment location algorithm based on Bayesian estimation in intelligent distributed control mode. Power Syst. Technol. 2020, 44, 1561–1567. [Google Scholar]
- Zhao, W.; Zhang, Z.; Wang, L. Manta ray foraging optimization: An effective bio-inspired optimizer for engineering applications. Eng. Appl. Artif. Intell. 2020, 87, 103300. [Google Scholar] [CrossRef]
- Houssein, E.H.; Emam, M.M.; Ali, A.A. Improved manta ray foraging optimization for multi-level thresholding using COVID-19 CT images. Neural Comput. Appl. 2021, 33, 16899–16919. [Google Scholar] [CrossRef]
- Tang, A.-D.; Zhou, H.; Han, T.; Xie, L. A Modified Manta Ray Foraging Optimization for Global Optimization Problems. IEEE Access 2021, 9, 128702–128721. [Google Scholar] [CrossRef]
- Micev, M.; Ćalasan, M.; Ali, Z.M.; Hasanien, H.M.; Aleem, S.H.A. Optimal design of automatic voltage regulation controller using hybrid simulated annealing–Manta ray foraging optimization algorithm. Ain Shams Eng. J. 2021, 12, 641–657. [Google Scholar] [CrossRef]
- Wang, D.W.; Liu, X.H.; Li, Z.; Lu, B.; Guo, A.; Chai, G. Discrete manta ray foraging optimization algorithm and its application in spectrum allocation. J. Comput. Appl. 2022, 42, 215. [Google Scholar]
- Siirto, O.K.; Safdarian, A.; Lehtonen, M.; Fotuhi-Firuzabad, M. Optimal Distribution Network Automation Considering Earth Fault Events. IEEE Trans. Smart Grid 2015, 6, 1010–1018. [Google Scholar] [CrossRef]
- Bush, S.F. Network Theory and Smart Grid Distribution Automation. IEEE J. Sel. Areas Commun. 2014, 32, 1451–1459. [Google Scholar] [CrossRef]
- Weng, J.; Liu, D.; Luo, N.; Tang, X. Distributed processing-based fault location, isolation and service restoration method for active distribution network. J. Mod. Power Syst. Clean Energy 2015, 3, 494–503. [Google Scholar] [CrossRef] [Green Version]
- Wei, Y.; Sun, P.; Song, Z.; Wang, P.; Zeng, Z.; Wang, X. Fault Location of VSC Based DC Distribution Network Based on Traveling Wave Differential Current with Harsdorf Distance and Cubic Spline Interpolation. IEEE Access 2021, 9, 31246–31255. [Google Scholar] [CrossRef]
- Diao, X.; Liu, F.; Song, Y.; Xu, M.; Zhuang, Y.; Zha, X. An Integral Fault Location Algorithm Based on a Modified T-Source Circuit Breaker for Flexible DC Distribution Networks. IEEE Trans. Power Deliv. 2021, 36, 2861–2871. [Google Scholar] [CrossRef]
- Dong, X.; Wu, Z.; Chen, L.; Liu, Z.; Xu, X. Study on Distribution Network Failure Positioning Algorithm based on Gaussian Variation Swarm Intelligence Optimization Algorithm. In Proceedings of the 2018 China International Conference on Electricity Distribution (CICED), Tianjin, China, 17–19 September 2018; pp. 157–161. [Google Scholar]
- Wei, B.; Ma, K.; Wang, M.; Wang, J.; Li, T.; Zhang, Y. Research on Fault Location Based on Improved Romp Algorithm for Compressed Sensing in Distribution Network. In Proceedings of the 2020 IEEE/IAS Industrial and Commercial Power System Asia (I&CPS Asia), Weihai, China, 13–16 June 2020; pp. 1029–1034. [Google Scholar]
- Zhang, Y.-X.; Gou, J. Adaptive Differential Evolution Algorithm Based on Restart Mechanism and Direction Information. IEEE Access 2019, 7, 166803–166814. [Google Scholar] [CrossRef]
- Tong, L.; Du, B.; Liu, R.; Zhang, L. An Improved Multi-Objective Discrete Particle Swarm Optimization for Hyperspectral Endmember Extraction. IEEE Trans. Geosci. Remote Sens. 2019, 57, 7872–7882. [Google Scholar] [CrossRef]
- Tizhoosh, H.R. Opposition-based learning: A new scheme for machine intelligence. In Proceedings of the International Conference on Computational Intelligence for Modelling, Control and Automation and International Conference on Intelligent Agents, Web Technologies and Internet Commerce (CIMCA-IAWTIC’06), Vienna, Austria, 28–30 November 2005; Volume 1, pp. 695–701. [Google Scholar]
- Lee, S.; Soak, S.; Oh, S.; Pedrycz, W.; Jeon, M. Modified binary particle swarm optimization. Prog. Nat. Sci. 2018, 18, 1161–1166. [Google Scholar] [CrossRef]
- Liu, L.S.; Zhang, R.S. Multi-strategy Improved Whale Optimization Algorithm and Its Application. Comput. Intell. Neurosci. 2022, 2022, 3418269. [Google Scholar] [PubMed]
- Seyedali, M.; Andrew, L. S-shaped versus V-shaped transfer functions for binary Particle Swarm Optimization. Swarm Evol. Comput. 2013, 9, 1–14. [Google Scholar]
- Zhang, R.S.; Liu, L.S. Fault zone location of distribution network based on whale optimization algorithm. J. Fujian Univ. Technol. 2021, 19, 378–384. [Google Scholar]
Publisher’s Note: MDPI stays neutral with regard to jurisdictional claims in published maps and institutional affiliations. |
© 2022 by the authors. Licensee MDPI, Basel, Switzerland. This article is an open access article distributed under the terms and conditions of the Creative Commons Attribution (CC BY) license (https://creativecommons.org/licenses/by/4.0/).










