Sensorless Control of PMSM Based on Backstepping-PSO-Type Controller and ESO-Type Observer Using Real-Time Hardware
Abstract
:1. Introduction
- Design of a backstepping-type controller, optimization of its tuning parameters using a PSO optimization method, and synthesis of an ESO-type observer to estimate the speed and position of the PMSM rotor and the load torque;
- Validation of the superior performance of the proposed sensorless PMSM control system through numerical simulations, based on the backstepping-PSO-type controller and ESO-type observer under the conditions of parametric variations and high-dynamic of the load torque;
- Presentation of all the steps for the real-time implementation in the embedded system, covering the SIL, PIL, and HIL steps. Moreover, the real-time implementation demonstrates the superiority of the backstepping-PSO-type controller over the PI-PSO-type controller.
2. Description of the Mathematical Model of the PMSM and the FOC-Type Strategy
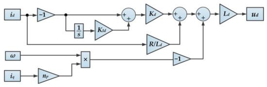
3. Backstepping-Type Control Law
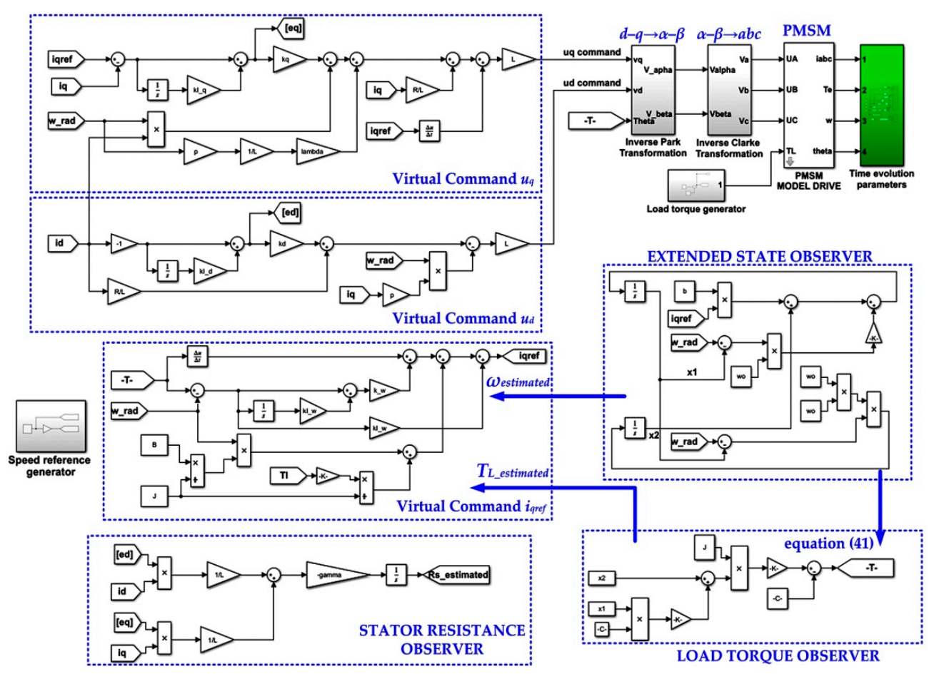
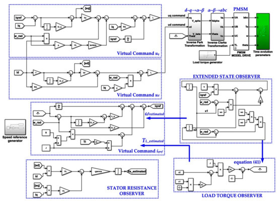
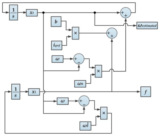
4. Resistance Estimation and Rotor Speed Estimation Based on the ESO-Type Observer
5. Numerical Simulations for the Sensorless Control of the PMSM
6. PIL and HIL Stages for Real-Time Implementation and Experimental Results
6.1. PIL Stage
- Checking the execution code by comparing the algorithms of the SIL stage with those used for the download to the hardware target module;
- Determining the execution times of the main routines in the algorithm for the implementation in the hardware target model, for the purpose of using the application.
- The main tasks described above are performed by several steps as described below:
- Selecting the hardware settings panel;
- Selecting the development board (TI Delphino F28379D LaunchPad, Texas Instruments, Dallas, USA) and choosing the build, load and run options for the tested software application subsystem of the global control of the PMSM (Figure 25);
- Configuring the main hardware elements: SCI and External mode (serial communication);
- The control algorithm testing is performed in the MATLAB, (MathWorks, Natick, Massachusetts, USA) SIL/PIL manager application (Figure 28).
6.2. HIL Stage
6.3. Experimental Results
7. Conclusions
Author Contributions
Funding
Conflicts of Interest
References
- Prabhakaran, K.K.; Karthikeyan, A.; Varsha, S.; Perumal, B.V.; Mishra, S. Standalone single stage PV fed reduced switch inverter based PMSM for water pumping application. IEEE Trans. Ind. Appl. 2020, 56, 6526–6535. [Google Scholar] [CrossRef]
- Zhang, Z.; Ma, R.; Wang, L.; Zhang, J. Novel PMSM control for anti-lock braking considering transmission properties of the electric vehicle. IEEE Trans. Veh. Technol. 2018, 67, 10378–10386. [Google Scholar] [CrossRef]
- Choo, K.M.; Won, C.Y. Design and analysis of electrical braking torque limit trajectory for regenerative braking in electric vehicles with PMSM drive systems. IEEE Trans. Power Electron. 2020, 35, 13308–13321. [Google Scholar] [CrossRef]
- Bose, B.K. Modern Power Electronics and AC Drives; Prentice Hall: Upper Saddle River, NJ, USA, 2002; pp. 439–534. [Google Scholar]
- Wang, H.; Leng, J. Summary on development of permanent magnet synchronous motor. In Proceedings of the Chinese Control and Decision Conference (CCDC), Shenyang, China, 9–11 June 2018; pp. 689–693. [Google Scholar]
- Aqil, M.; Im, J.-H.; Hur, J. Application of Perovskite Layer to Rotor for Enhanced Stator-Rotor Capacitance for PMSM Shaft Voltage Reduction. Energies 2020, 13, 5762. [Google Scholar] [CrossRef]
- Liu, S.-M.; Tu, C.-H.; Lin, C.-L.; Liu, V.-T. Field-Oriented Driving/Braking Control for Electric Vehicles. Electronics 2020, 9, 1484. [Google Scholar] [CrossRef]
- Liu, X.; Zhang, Q. Robust Current Predictive Control-Based Equivalent Input Disturbance Approach for PMSM Drive. Electronics 2019, 8, 1034. [Google Scholar] [CrossRef] [Green Version]
- Zhang, G.; Chen, C.; Gu, X.; Wang, Z.; Li, X. An Improved Model Predictive Torque Control for a Two-Level Inverter Fed Interior Permanent Magnet Synchronous Motor. Electronics 2019, 8, 769. [Google Scholar] [CrossRef] [Green Version]
- Wang, Q.; Yu, H.; Wang, M.; Qi, X. A Novel Adaptive Neuro-Control Approach for Permanent Magnet Synchronous Motor Speed Control. Energies 2018, 11, 2355. [Google Scholar] [CrossRef] [Green Version]
- Lu, S.; Tang, X.; Song, B. Adaptive PIF Control for Permanent Magnet Synchronous Motors Based on GPC. Sensors 2013, 13, 175–192. [Google Scholar] [CrossRef]
- Wang, M.-S.; Hsieh, M.-F.; Lin, H.-Y. Operational Improvement of Interior Permanent Magnet Synchronous Motor Using Fuzzy Field-Weakening Control. Electronics 2018, 7, 452. [Google Scholar] [CrossRef] [Green Version]
- Hicham, F.; Yousfi, D.; Youness, A.D.; Larbi, E.M.; Rahim, N.A. Sliding-Mode Speed Control of PMSM with Fuzzy-Logic Chattering Minimization—Design and Implementation. Information 2015, 6, 432–442. [Google Scholar] [CrossRef] [Green Version]
- Hoai, H.-K.; Chen, S.-C.; Chang, C.-F. Realization of the Neural Fuzzy Controller for the Sensorless PMSM Drive Control System. Electronics 2020, 9, 1371. [Google Scholar] [CrossRef]
- Hoai, H.-K.; Chen, S.-C.; Than, H. Realization of the Sensorless Permanent Magnet Synchronous Motor Drive Control System with an Intelligent Controller. Electronics 2020, 9, 365. [Google Scholar] [CrossRef] [Green Version]
- Nicola, M.; Nicola, C.-I. Sensorless Fractional Order Control of PMSM Based on Synergetic and Sliding Mode Controllers. Electronics 2020, 9, 1494. [Google Scholar] [CrossRef]
- Nicola, M.; Nicola, C.-I. Fractional-Order Control of Grid-Connected Photovoltaic System Based on Synergetic and Sliding Mode Controllers. Energies 2021, 14, 510. [Google Scholar] [CrossRef]
- Zhu, Y.; Tao, B.; Xiao, M.; Yang, G.; Zhang, X.; Lu, K. Luenberger Position Observer Based on Deadbeat-Current Predictive Control for Sensorless PMSM. Electronics 2020, 9, 1325. [Google Scholar] [CrossRef]
- Comanescu, M.; Xu, L. Sliding-mode MRAS speed estimators for sensorless vector control of induction Machine. IEEE Trans. Ind. Electron. 2006, 53, 146–153. [Google Scholar] [CrossRef]
- Gao, W.; Zhang, G.; Hang, M.; Cheng, S.; Li, P. Sensorless Control Strategy of a Permanent Magnet Synchronous Motor Based on an Improved Sliding Mode Observer. World Electr. Veh. J. 2021, 12, 74. [Google Scholar] [CrossRef]
- Kamel, T.; Abdelkader, D.; Said, B.; Padmanaban, S.; Iqbal, A. Extended Kalman Filter Based Sliding Mode Control of Parallel-Connected Two Five-Phase PMSM Drive System. Electronics 2018, 7, 14. [Google Scholar] [CrossRef] [Green Version]
- Humaidi, A.J.; Badr, H.-M.; Ajil, A.R. Design of Active Disturbance Rejection Control for Single-Link Flexible Joint Robot Manipulator. In Proceedings of the 22nd International Conference on System Theory, Control and Computing (ICSTCC), Sinaia, Romania, 10–12 October 2018; pp. 452–457. [Google Scholar]
- Zhao, Y. Applications of Sliding Mode Controller and Linear Active Disturbance Rejection Controller to a PMSM Speed System. Ph.D. Thesis, Master of Science in Electrical Engineering, Cleveland State University, Cleveland, OH, USA, 2013. [Google Scholar]
- Chen, W.-H.; Yang, J.; Guo, L.; Li, S. Disturbance-Observer-Based Control and Related Methods—An Overview. IEEE Trans. Ind. Electron. 2016, 63, 1083–1096. [Google Scholar] [CrossRef] [Green Version]
- Yang, J.; Chen, W.; Li, S.; Guo, L.; Yan, Y. Disturbance/Uncertainty Estimation and Attenuation Techniques in PMSM Drives—A Survey. IEEE Trans. Ind. Electron. 2017, 64, 3273–3285. [Google Scholar] [CrossRef] [Green Version]
- Nicola, M.; Nicola, C.-I. Sensorless Control of PMSM using Backstepping Control and ESO-type Observer. In Proceedings of the 12th International Conference on Electronics, Computers and Artificial Intelligence (ECAI), Bucharest, Romania, 25–27 June 2020; pp. 1–6. [Google Scholar]
- Simscape Electrical. Available online: https://www.mathworks.com/getting-started-with-simscape-electrical.html (accessed on 4 May 2020).
- LAUNCHXL-F28379D C2000 Delfino MCU F28379D LaunchPad™ Development Kit. Available online: https://www.ti.com/tool/LAUNCHXL-F28379D (accessed on 10 August 2020).
- Engelbrecht, A.-P. Computational Swarm Intelligence in Computational Intelligence: An Introduction, 2nd ed.; John Wiley & Sons Ltd.: Chichester, UK, 2007; pp. 289–357. [Google Scholar]
- Motor Control Blockset. Available online: https://www.mathworks.com/help/mcb/index.html (accessed on 1 October 2020).
















































| PMSM Parameters | Value | Unit |
|---|---|---|
| The stator resistance—Rs | 2.875 | Ω |
| The d-axis and q-axis inductances—Ld and Lq | 0.0085 | H |
| The combined rotor inertia coefficient—J | 0.8 × 10−3 | kg·m2 |
| The combined viscous friction coefficient—B | 0.005 | N·m·s/rad |
| The flux induced by the rotor in the stator phases—λ0 | 0.175 | Wb |
| The pole pairs number—np | 4 | - |
| Performance Indices | PI-PSO Controller | Backstepping Controller |
|---|---|---|
| Response time (ms) | 85 | 55 |
| Overshoot (%) | 0 | 0 |
| Steady-state error (%) | 0.35 | 0.15 |
| Speed ripple (rpm) | 32.49 | 25.17 |
| Currents THD (%) | 40.32 | 24.21 |
Publisher’s Note: MDPI stays neutral with regard to jurisdictional claims in published maps and institutional affiliations. |
© 2021 by the authors. Licensee MDPI, Basel, Switzerland. This article is an open access article distributed under the terms and conditions of the Creative Commons Attribution (CC BY) license (https://creativecommons.org/licenses/by/4.0/).
Share and Cite
Nicola, C.-I.; Nicola, M.; Selișteanu, D. Sensorless Control of PMSM Based on Backstepping-PSO-Type Controller and ESO-Type Observer Using Real-Time Hardware. Electronics 2021, 10, 2080. https://doi.org/10.3390/electronics10172080
Nicola C-I, Nicola M, Selișteanu D. Sensorless Control of PMSM Based on Backstepping-PSO-Type Controller and ESO-Type Observer Using Real-Time Hardware. Electronics. 2021; 10(17):2080. https://doi.org/10.3390/electronics10172080
Chicago/Turabian StyleNicola, Claudiu-Ionel, Marcel Nicola, and Dan Selișteanu. 2021. "Sensorless Control of PMSM Based on Backstepping-PSO-Type Controller and ESO-Type Observer Using Real-Time Hardware" Electronics 10, no. 17: 2080. https://doi.org/10.3390/electronics10172080
APA StyleNicola, C.-I., Nicola, M., & Selișteanu, D. (2021). Sensorless Control of PMSM Based on Backstepping-PSO-Type Controller and ESO-Type Observer Using Real-Time Hardware. Electronics, 10(17), 2080. https://doi.org/10.3390/electronics10172080

