Impact of Hair Damage on the Penetration Profile of Coconut, Avocado, and Argan Oils into Caucasian Hair Fibers
Abstract
1. Introduction
2. Materials and Methods
2.1. Vegetable Oils
2.2. Triacylglycerols Compositions of Vegetable Oils
2.3. Hair
2.4. Bleaching Process
2.5. Vegetable Oil Application
2.6. Tensile Test
2.7. Fatigue Test
2.8. Raman Spectroscopy Analysis
3. Results
3.1. Triacylglycerols Compositions of Vegetable Oils
3.2. Tensile Test
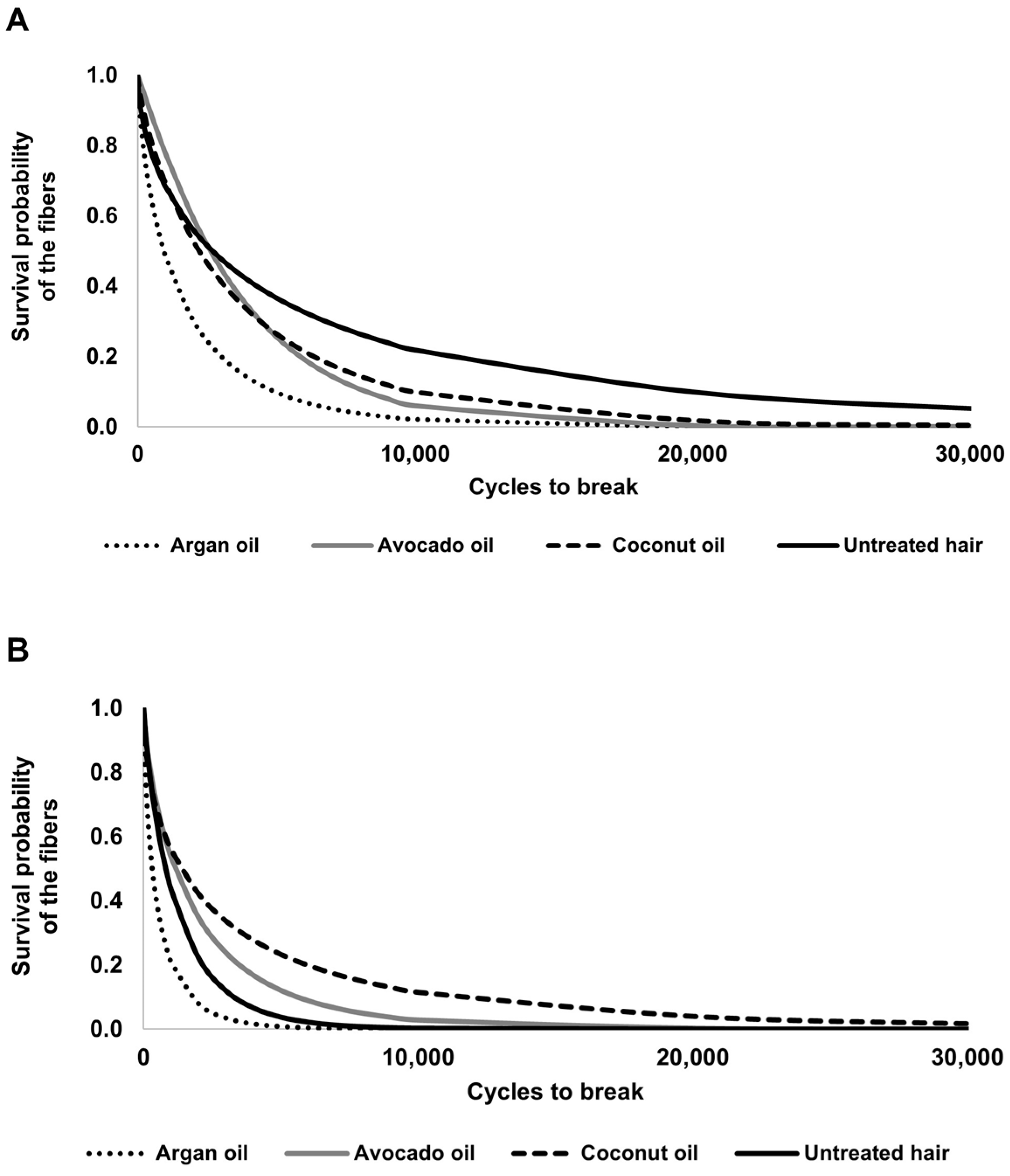
3.3. Fatigue Test
3.4. Raman Spectroscopy
4. Discussion
5. Conclusions
Author Contributions
Funding
Institutional Review Board Statement
Informed Consent Statement
Data Availability Statement
Conflicts of Interest
References
- Tate, M.L.; Kamath, Y.K.; Ruetsch, S.B. Quantification and prevention of hair damage. J. Soc. Cosmet. Chem. 1993, 44, 347–371. [Google Scholar]
- Wortmann, F.-J.; Springob, C.; Sendelbach, G. Investigations of Cosmetically Treated Human Hair by Differential Scanning Calorimetry in Water. J. Cosmet. Sci 2002, 53, 219–228. [Google Scholar] [PubMed]
- Wortmann, F.-J.; Sendelbach, G.; Popescu, C. Fundamental DSC Investigations of A-Keratinous Materials as Basis for the Interpretation of Specific Effects of Chemical, Cosmetic Treatments on Human Hair. J. Cosmet. Sci. 2007, 58, 311–317. [Google Scholar] [PubMed]
- Fujii, T.; Ito, Y.; Watanabe, T.; Kawasoe, T. Effects of Oxidative Treatments on Human Hair Keratin Films. J. Cosmet. Sci. 2012, 63, 15–25. [Google Scholar] [PubMed]
- Grosvenor, A.J.; Deb-Choudhury, S.; Middlewood, P.G.; Thomas, A.; Lee, E.; Vernon, J.A.; Woods, J.L.; Taylor, C.; Bell, F.I.; Clerens, S. The physical and chemical disruption of human hair after bleaching—Studies by transmission electron microscopy and redox proteomics. Int. J. Cosmet. Sci. 2018, 40, 536–548. [Google Scholar] [CrossRef] [PubMed]
- Ruetsch, S.B.; Kamath, Y.K. Penetration of cationic conditioning compounds into hair fibers: A TOF-SIMS approach. J. Cosmet. Sci. 2005, 56, 323–330. [Google Scholar] [CrossRef] [PubMed]
- Marsh, J.M.; Huangb, S.; Whitakera, S.; Guagliardob, P.; Lucasa, R.L.; Arcaa, H.C.; Jiangb, H. High-resolution visualization of cosmetic active compounds in hair using nanoscale secondary ion mass spectrometry. Colloids Surf. B Biointerfaces 2019, 174, 563–568. [Google Scholar] [CrossRef] [PubMed]
- Malinauskyte, E.; Shrestha, R.; Cornwell, P.A.; Gourion-Arsiquaud, S.; Hindley, M. Penetration of different molecular weight hydrolysed keratins into hair fibres and their effects on the physical properties of textured hair. Int. J. Cosmet. Sci. 2021, 43, 26–37. [Google Scholar] [CrossRef]
- Manoel, I. Manual dos Cabelos: O Poder dos Óleos; Laços: Sao Paulo, Brazil, 2003. [Google Scholar]
- Gode, V.; Bhalla, N.; Shirhatti, V.; Mhaskar, S.; Kamath, Y. Quantitative measurement of the penetration of coconut oil into human hair using radiolabeled coconut oil. J. Cosmet. Sci. 2005, 63, 27–31. [Google Scholar]
- Hornby, S.B.; Appa, Y.; Ruetsch, S.; Kamath, Y. Mapping penetration of cosmetic compounds into hair fibers using time-of-flight secondary ion mass spectroscopy (TOF-SIMS). IFSCC Mag. 2005, 8, 99–104. [Google Scholar]
- Rele, A.S.; Mohile, R. Effect of coconut oil on prevention of hair damage. Part I. J. Cosmet. Sci. 1999, 50, 327–339. [Google Scholar]
- Ruetsch, S.B.; Kamath, Y.; Rele, A.S.; Mohile, R.B. Secondary ion mass spectrometric investigation of penetration of coconut and mineral oils into human hair fibers: Relevance to hair damage. J. Cosmet. Sci. 2001, 52, 169–184. [Google Scholar] [PubMed]
- Srivastav, A.; Dandekar, P.; Jain, R. Penetration study of oils and its formulations into the human hair using confocal microscopy. J. Cosmet. Dermatol. 2019, 18, 1947–1954. [Google Scholar] [CrossRef]
- Leite, M.G.A.; Campos, P.M.B.G.M. Development and efficacy evaluation of hair care formulations containing vegetable oils and silicone. Int. J. Phytocosmet. Nat. Ingred. 2018, 5, 9. [Google Scholar] [CrossRef]
- Keis, K.; Persaud, D.; Kamath, Y.K.; Rele, A.S. Investigation of penetration abilities of various oils into human hair fibers. J. Cosmet. Sci. 2005, 56, 283–295. [Google Scholar] [CrossRef] [PubMed]
- Fregonesi, A.; Scanavez, C.; Santos, L.; Oliveira, A.; Roesler, R.; Escudeiro, C.; Moncayo, P.; Sanctis, D.; Gesztesi, J.L. Brazilian oils and butters: The effecr of different fatty acid chain composition on human hair physiochemical properties. J. Cosmet. Sci. 2009, 60, 273–280. [Google Scholar] [CrossRef]
- Lourenco, C.B.; Fava, A.L.M.; Santos, E.M.; Macedo, L.M.; Tundisi, L.L.; Ataide, J.A.; Mazzola, P.G. Brief descriptions of the principles of prominent methods used to study the penetration of materials into human hair and a review of examples of their use. Int. J. Cosmet. Sci. 2021, 43, 113–122. [Google Scholar] [CrossRef]
- Zimmerley, M.; Lin, C.-Y.; Oertel, D.C.; Marsh, J.M.; Ward, J.L.; Potma, E.O. Quantitative detection of chemical compounds in human hair with coherent anti-Stokes Raman scattering microscopy. J. Biomed. Opt. 2009, 14, 044019. [Google Scholar] [CrossRef][Green Version]
- Colthup, N.B.; Daly, L.H.; Wiberley, S.E. Introduction to Infrared and Raman Spectroscopy, 3rd ed.; Academic Press: San Diego, CA, USA, 1990. [Google Scholar]
- Kuzuhara, A. Raman Spectroscopic Analysis of L-Phenylalanine and Hydrolyzed Eggwhite Protein Penetration into Keratin Fibers. J. Appl. Polym. Sci. 2011, 122, 2680–2689. [Google Scholar] [CrossRef]
- Kuzuhara, A. A Raman spectroscopic investigation of the mechanism of the reduction in hair with thioglycerol and the accompanying disulphide conformational changes. Int. J. Cosmet. Sci. 2018, 40, 34–43. [Google Scholar] [CrossRef]
- Kojima, T.; Tsuji, S.; Niwa, M.; Saito, K.; Matsushita, Y.; Fukushima, K. Distribution Analysis of Triglyceride Having Repair Effect on Damaged Human Hair by TOF-SIMS. Int. J. Polym. Anal. 2012, 17, 21–28. [Google Scholar] [CrossRef]
- Brunelle, A.; Touboul, D.; Laprévote, O. Biological tissue imaging with time-of-flight secondary ion mass spectrometry and cluster ion sources. J. Mass Spectrom. 2005, 40, 985–999. [Google Scholar] [CrossRef] [PubMed]
- Saleem, M.; Galla, H.-J. Surface view of the lateral organization of lipids and proteins in lung surfactant model systems—A ToF-SIMS approach. BBA-Biomembr. 2010, 1798, 730–740. [Google Scholar] [CrossRef] [PubMed]
- Tsugita, T.; Iwai, T. Optical coherence tomography using images of hair structure and dyes penetrating into the hair. Skin Res. Technol. 2014, 20, 389–398. [Google Scholar] [CrossRef] [PubMed]
- Evans, T. Fatigue testing of hair—A statistical approach to hair breakage. J. Cosmet. Sci. 2009, 60, 599–616. [Google Scholar] [CrossRef] [PubMed]
- Evans, T. A unifying theory for visualizing the causes of hair breakage and subsequent strategies for mitigation. J. Cosmet. Sci. 2017, 68, 137–140. [Google Scholar] [PubMed]
- Wortmann, F.-J.; Zahnt, H. The Stress Strain Curve of alpha-Keratin Fibers and the Structure of Intermediate Filaments. Text. Res. J. 1994, 64, 737–743. [Google Scholar] [CrossRef]
- Evans, T. Measuring hair strength—Part 1: Stress-Strain Curves. Cosmet. Toilet. 2013, 128, 591–594. [Google Scholar]
- American Oil Chemists’ Society. Official Methods and Recommended Practices of the American Oil Chemists’ Society, 5th ed.; AOCS: Champaign, IL, USA, 2009. [Google Scholar]
- Raman, C.V.; Krishnan, K.S. A new type of Secondary Radiation. Nature 1928, 21, 501. [Google Scholar] [CrossRef]
- Robbins, C.R.; Crawford, R. Cuticle damage and the tensile properties of human hair. J. Soc. Cosmet. Chem. 1991, 42, 59–67. [Google Scholar]
- Robbins, C.R. Chemical and Physical Behavior of Human Hair, 5th ed.; Springer: New York, NY, USA; Berlin/Heidelberg, Germany, 2012. [Google Scholar]
- Marsh, J.M.; Clarke, C.J.; Meinert, M.; Dahlgren, R.M. Investigations of cosmetic treatments on high-pressure differential scanning calorimetry. J. Cosmet. Sci. 2007, 58, 319–327. [Google Scholar] [PubMed]
- Keis, K.; Huemmer, C.L.; Kamath, Y. Effect of oil films on moisture vapor absorption on human hair. J. Cosmet. Sci. 2007, 58, 135–145. [Google Scholar] [CrossRef] [PubMed]
- Potsch, L.; Moeller, M.R. On Pathways for Small Molecules into and Out of Human Hair Fibers. J. Forensic Sci. 1996, 41, 121–125. [Google Scholar] [CrossRef] [PubMed]
- Kelch, A.; Wessel, S.; Will, T.; Hintze, U.; Wepf, R.; Wiesendanger, R. Penetration Pathways of Fluorescent Dyes in Human Hair Fibres Investigated by Scanning Near-Field Optical Microscopy. J. Microsc. 2000, 200, 179–186. [Google Scholar] [CrossRef]
- Gummer, C.L. Elucidating penetration pathways into the hair fiber using novel microscopic techniques. J. Cosmet. Sci. 2007, 52, 265–280. [Google Scholar]





| Number of Carbons | Triacylglycerol | % | ||
|---|---|---|---|---|
| Coconut Oil | Argan Oil | Avocado Oil | ||
| C28 | Cy-La-Cy | 0.50 | - | - |
| C30 | Cy-La-C | 2.71 | - | - |
| C32 | Cy-La-La | 10.66 | - | - |
| Cy-M-C | 1.05 | - | - | |
| C34 | Cy-La-M/C-La-La | 15.92 | - | - |
| C36 | La-La-La | 18.85 | - | - |
| C-La-M | 0.50 | - | - | |
| C38 | M-La-La | 14.12 | - | - |
| Cy-O-La | 6.11 | - | - | |
| C40 | P-La-La/M-La-M | 9.92 | - | - |
| C-M-P | 1.21 | - | - | |
| C42 | P-La-M | 5.34 | - | - |
| La-O-La | 2.09 | - | - | |
| La-L-La | 0.89 | - | - | |
| C44 | S-La-M/P-La-P/P-M-M | 1.98 | - | - |
| M-O-La | 1.76 | - | - | |
| M-L-La | 0.54 | - | - | |
| C46 | S-M-M/S-La-P | 0.64 | - | - |
| P-O-La/M-O-M | 1.52 | - | - | |
| P-L-La | 0.53 | - | - | |
| C48 | S-M-P | 0.22 | - | - |
| S-O-La/P-O-M | 1.49 | - | - | |
| La-O-O | 0.31 | - | - | |
| C50 | S-O-M/P-O-P/M-O-O | 0.72 | - | - |
| P-O-P | 3.31 | 3.31 | 3.04 | |
| P-L-P | 1.72 | 1.72 | - | |
| P-O-Po/P-L-P | - | - | 2.34 | |
| P-L-Po/Po-O-Po | - | - | 0.26 | |
| C52 | P-O-S | 0.25 | 2.73 | 0.73 |
| P-O-O | 0.18 | 14.75 | 22.51 | |
| P-L-S | - | 1.46 | - | |
| P-O-L | - | 11.98 | - | |
| P-L-L | - | 5.27 | - | |
| P-L-O/Po-O-O | - | - | 8.81 | |
| P-L-L/Po-L-O | - | - | 3.08 | |
| C54 | S-O-S/S-L-S | - | 0.71 | |
| S-O-O | - | 5.42 | 3.18 | |
| O-O-O | - | 14.83 | 38.10 | |
| S-O-L | - | 4.27 | ||
| O-L-O | - | 16.70 | 15.60 | |
| O-L-L | - | 11.27 | 2.35 | |
| L-L-L | - | 5.58 | ||
| Sample | Characteristic Life (α) | Shape Parameter (β) | ||
|---|---|---|---|---|
| Virgin | Bleached | Virgin | Bleached | |
| Untreated hair | 4974 | 1235 | 0.60 | 0.85 |
| Argan oil | 1569 | 526 | 0.73 | 0.70 |
| Avocado oil | 3720 | 1858 | 1.05 | 0.76 |
| Coconut oil | 3503 | 2585 | 0.80 | 0.57 |
Disclaimer/Publisher’s Note: The statements, opinions and data contained in all publications are solely those of the individual author(s) and contributor(s) and not of MDPI and/or the editor(s). MDPI and/or the editor(s) disclaim responsibility for any injury to people or property resulting from any ideas, methods, instructions or products referred to in the content. |
© 2024 by the authors. Licensee MDPI, Basel, Switzerland. This article is an open access article distributed under the terms and conditions of the Creative Commons Attribution (CC BY) license (https://creativecommons.org/licenses/by/4.0/).
Share and Cite
Lourenço, C.B.; Gasparin, R.M.; Thomaz, F.M.; da Silva, G.C.; Martin, A.A.; Paiva-Santos, A.C.; Mazzola, P.G. Impact of Hair Damage on the Penetration Profile of Coconut, Avocado, and Argan Oils into Caucasian Hair Fibers. Cosmetics 2024, 11, 64. https://doi.org/10.3390/cosmetics11020064
Lourenço CB, Gasparin RM, Thomaz FM, da Silva GC, Martin AA, Paiva-Santos AC, Mazzola PG. Impact of Hair Damage on the Penetration Profile of Coconut, Avocado, and Argan Oils into Caucasian Hair Fibers. Cosmetics. 2024; 11(2):64. https://doi.org/10.3390/cosmetics11020064
Chicago/Turabian StyleLourenço, Carolina Botelho, Rebeca Mantuan Gasparin, Fernanda Malanconi Thomaz, Gustavo Carlos da Silva, Airton Abrahao Martin, Ana Cláudia Paiva-Santos, and Priscila Gava Mazzola. 2024. "Impact of Hair Damage on the Penetration Profile of Coconut, Avocado, and Argan Oils into Caucasian Hair Fibers" Cosmetics 11, no. 2: 64. https://doi.org/10.3390/cosmetics11020064
APA StyleLourenço, C. B., Gasparin, R. M., Thomaz, F. M., da Silva, G. C., Martin, A. A., Paiva-Santos, A. C., & Mazzola, P. G. (2024). Impact of Hair Damage on the Penetration Profile of Coconut, Avocado, and Argan Oils into Caucasian Hair Fibers. Cosmetics, 11(2), 64. https://doi.org/10.3390/cosmetics11020064

