Next Article in Journal
Hydrological Model Performance in the Verde River Basin, Minas Gerais, Brazil
Next Article in Special Issue
A Pilot Project Using Sensors in the Municipal Solid Waste Collection of a Medium-Sized City
Previous Article in Journal
Co-Hydrothermal Carbonization of Grass and Olive Stone as a Means to Lower Water Input to HTC
Previous Article in Special Issue
Diversification as a Method of Ensuring the Sustainability of Energy Supply within the Energy Transition
 
 
Font Type:
Arial Georgia Verdana
Font Size:
Aa Aa Aa
Line Spacing:
Column Width:
Background:
Article

Methodology for the Formation of a Digital Model of the Life Cycle of an Offshore Oil and Gas Platform

by
Nikolay Didenko
1,*,
Djamilia Skripnuk
1,
Viktor Merkulov
1,
Kseniia N. Kikkas
1 and
Konstantin Skripniuk
2
1
Institute of Industrial Management, Economics and Trade, Peter the Great St. Petersburg Polytechnic University, 195251 St. Petersburg, Russia
2
Institute of Advanced Manufacturing Technologies, Peter the Great St. Petersburg Polytechnic University, 195251 St. Petersburg, Russia
*
Author to whom correspondence should be addressed.
Resources 2023, 12(8), 86; https://doi.org/10.3390/resources12080086
Submission received: 17 May 2023 / Revised: 20 July 2023 / Accepted: 24 July 2023 / Published: 26 July 2023

Abstract

This article systematizes scientific views on the problems associated with the conditions and patterns of creating a digital model of a sophisticated engineering and technical complex. The main elements of a digital model of the life cycle of an offshore oil and gas platform are considered. An interdisciplinary approach to the study of the essence of the subject space of the life cycle of an offshore oil and gas platform is substantiated on the basis of modeling the subject space of the life cycle of an offshore oil and gas platform using alternative graphs and information technologies. New concepts have been introduced into scientific circulation that reveal the essence of a digital model of the life cycle of an offshore oil and gas platform: life cycle cost, life cycle duration, and the scientific and technical level of the offshore oil and gas platform. The main provisions of the concept of the virtual life cycle of an offshore oil and gas platform are considered. Based on modeling the subject area of the life cycle of an offshore oil and gas platform by alternative graphs, is shown the relationship between the stages of the life cycle. The technology of model-based design of the virtual life cycle of an offshore oil and gas platform is proposed. The developed model of the life cycle of an offshore oil and gas platform based on the display of the life cycle by alternative graphs makes it possible to choose solutions for each stage based on criteria common to the life cycle of an offshore oil and gas platform. A cyclic procedure for managing a virtual life cycle model of an offshore oil and gas platform has been developed. The digital model of the life cycle of an offshore oil and gas platform is constantly updated following the change in physical prototypes, which increases the accuracy of decisions based on it. The application of the model in practice will significantly reduce the number of full-scale tests of everything related to the manufacture of the real material part of a platform.

1. Introduction

An offshore oil and gas platform is a sophisticated engineering complex designed for drilling wells and extracting hydrocarbons located under the seabed. The creation of offshore oil and gas platforms, offshore drilling, and hydrocarbon production are associated with environmental problems due to technologies used for creating platforms, extracted hydrocarbons, and materials used during drilling operations [1,2,3,4].
The last fifty years can be characterized as a process of transfer by oil companies of their main interest in hydrocarbon production from reserves located on land to offshore hydrocarbon reserves. This is due to the fact that traditional onshore reserves are depleted, while sea and ocean shelves have huge reserves of oil and gas. The extraction of different hydrocarbons, of course, requires different methods of development. The main influencing factors include the level of occurrence of hydrocarbons, as well as the technological features of the equipment necessary for their excavation. Most often, hydrocarbon reserves lie deeper than 500 m from the earth’s surface.
The oil upstream value chain consists of several stages, including exploration and production. The exploration stage includes the following activities: (a) regional geological and geophysical studies, where possible oil and gas zones are identified, deposits are evaluated, and the order of development of reserves is specified; (b) more detailed analysis and preparatory work for drilling to maximum depth; (c) directly drilling and search for deposits “bottom-up”. The purpose of the exploration stage is to prepare deposits for development. The drilling process itself is technologically complex due to its characteristics. It begins with a deepening operation of rock destruction with drilling tools, then, using a fluid or airflow, the drilled rock remains are taken from the wells, the well is cased with pipes, the production pipe is lowered into the productive compartment, and separated from the unproductive horizon by cementing.
For oil-producing processes, it is necessary to build special oil platforms, structures, and wells with round sections and casing them with pipes. Drilling rigs include a complex of drilling machines, mechanisms, and equipment built at the drilling site and creating an independent implementation of the process of drilling and well construction. The oil platform is designed for a large number of production cycles and must have a large margin of production capacity, reliability, and durability [5].
The drilling rig includes four complexes: an execution complex, an energy complex, a complex for the prevention and elimination of incidents, and a complex for managing and controlling technological processes [6].
The execution complex includes equipment for performing operations: tripping; pipe work; solution circulation; installation and transportation; mechanization of labor-intensive processes; ensuring environmentally friendly drilling. Equipment related to the energy complex: power supply; providing hydropower; for the preparation and supply of compressed air; for heating; to provide technical water; to ensure the vital activity of workers. The complex for the prevention and liquidation of incidents includes equipment for the prevention of oil and gas emissions; equipment for the prevention of accidents of mechanisms. The complex for managing and controlling technological processes consists of a system for technological control of drilling parameters, telephone and loud-speaking communication systems, and video surveillance.
All elements of the drilling rig are placed on offshore platforms. If the field is located at shallow sea depths (4.0 m), an artificial island construction option is possible. Drilling rigs are installed on the island. The plant equipment is placed in modules of maximum factory readiness.
The type of structures required for the production of oil and gas on the shelves depends on the depth of hydrocarbons. Some concepts of offshore oil platforms are presented in [6,7,8].
Figure 1 shows a schematic representation of the types of offshore oil and gas platforms.
The concentration of interest of leading oil companies in oil production on the sea and ocean shelf has led to the fact that the sector of offshore oil and gas production today is a high-tech industry that requires high-tech applied knowledge, as well as work with complex technical systems. All stages of oil production, processing, and transportation require complex technical systems and equipment, which in turn require specialized integration and maintenance. The period for which oil reserves can be extracted from an oil field is 15–30 years, and in some cases, it can reach 50 years or more (for giant fields). An oil field has a rather long life cycle, and, therefore, the life cycle of an oil platform, compared to other complex engineering systems, has a longer life cycle.
The life cycle of a modern offshore oil platform, as a complex organizational and engineering complex, takes several decades and covers the stage of design, formation of technical requirements, architecture design and development of the necessary documentation, creation, and production, subsequent integration and commissioning, operation, improvement, and disposal [10]. Offshore oil platforms are expensive and have a long life cycle, a number of climatic obstacles during operation, and high environmental risks. The main competitive advantage of a sophisticated engineering complex, such as an offshore oil platform, is the cost of its life cycle [11].
Projects for the development, commissioning, and subsequent operation of offshore platforms are associated with unique technical, organizational, and investment solutions in conditions of uncertainty and high capital intensity [12,13].
Offshore oil and gas complexes are environmentally hazardous facilities associated with environmental risks and require high costs for environmental study and project support [14,15,16,17,18].
At each stage of the life cycle of an oil-producing platform, from conception to platform decommissioning, there is a need to make technical, economic, organizational decisions: to substantiate the concept of offshore field development; take into account the provisions of the “Circular Economy” in the early stages of platform design; compare options for design projects, equipment manufacturing, testing of elements of offshore oil platforms; choose from alternative concepts the design of the offshore oil platform; structure the goals of systems and equipment; take into account environmental conditions in the design; confirm the correctness of the project; make a decision on putting the platform into operation; develop and improve methods to ensure the reliability of the projected indicators of offshore platforms; monitor the operation process and make improvements in the operation process; compare options and find the best options for decommissioning an offshore oil platform; decommission the platform.
Based on the foregoing, it is necessary to provide an analysis of the problems encountered at all stages of the life cycle of real oil platforms and make decisions. These are qualitatively new tasks that require a revision of most of the approaches that have been formed to date in the design, construction, and operation of complex engineering and technical complexes in the conditions of the continental shelf.
The modern paradigm of research and development of complex engineering systems, including offshore oil and gas platforms, shows that the main tool for solving qualitatively new problems can be a digital model of the life cycle of an offshore oil and gas platform, which digitally represents the characteristics of an oil and gas platform [19,20,21,22,23].
In other words, the digital life cycle model of an offshore oil and gas platform is a virtual offshore oil and gas complex. The creation of a virtual offshore oil complex using information modeling technologies makes it possible to calculate the indicators of a real offshore oil and gas complex and determine many characteristics of the complex even before the actual start of the creation of a real platform, to create 3D models of platform elements, including all related structures and communications for a visual presentation of the project. The development of a digital model of the life cycle stages of an offshore oil and gas platform shows the physical and architectural characteristics and simulates the life cycle of an object, covering the stages of the life cycle of the platform, namely: planning, preparation of technical specifications, design and analysis, issuance of working documentation, construction, operation and repair, re-equipment, decommissioning.
A digital model of the stages of the life cycle of an offshore oil and gas platform is an analog of the life cycle of a real offshore oil and gas platform and consists of the stages of a digital process that affects the moments and states of the digital model from conception to the termination of its use.
The development of a digital model of the stages of the life cycle of an offshore oil and gas platform is based on system engineering, which is a set of fundamental scientific principles, approaches, terms, research methods, postulates, and standards, in accordance with which constructions, generalizations and modeling are carried out in the field of creation and use of a digital model of the stages of the life cycle of sophisticated engineering objects [24,25,26].
Systems engineering is an interdisciplinary approach and a means to create successful systems of any kind. It is an interdisciplinary approach that encompasses all efforts to develop and verify integrated and balanced in the life cycle of a set of system solutions regarding people, products, and processes that satisfy the needs of the customer [27].
In this article, system engineering is understood as an approach to the creation and operation of a digital model as a system that includes the digital life cycle of an offshore platform, the digital architecture of the platform, and the system information model of the platform.
The life cycle of both a real offshore oil and gas platform and a digital model of an oil and gas platform is understood as the stages of the process that affect the moments and states of the platform and the digital model from conception to decommissioning.
Concepts for the development of the life cycle of offshore oil and gas facilities in the information environment are reflected in the literature. The papers present the management of the design of an offshore oil platform in the information modeling environment, as well as the problems that arise during this modeling. The paper [28] presents a view of the management of the life cycle of a product (system, object, service) through the management of cooperation between enterprises that provide support for the life cycle of the product. The management of cooperation between enterprises is considered from a system engineering and economic point of view. It is determined that the main objectives of management at the level of the life cycle are the cooperation of participating enterprises, the project program, and the complete information model of the final product. The contour of the life cycle management and the issues of the effectiveness of the life cycle management system are considered.
The life cycle concepts and processes of Product Lifecycle Management (PLM), including requirements, configuration, change management, and Decision Gates, are described in [29,30,31]. Methods for planning and controlling resources, costs, financial results, and risks at all stages of the product life cycle, for example, Total Ownership Cost and Total Cost Management, can be found in [32,33].
Further development of product life cycle management in production systems follows within the framework of initiatives for the development of industrial intelligent systems and approaches (for example, Industry 4.0 [34], globalization of cooperation (Global Product Development [35])), and development of alliances [36].
The experience of implementing the concept of life cycle management of offshore oil and gas facilities at the company level is described in [37].
The methodology for supporting information modeling of capital construction objects is described in [38]. This book explores the essence Building Information Modeling (BIM) process: BIM and Preconstruction, BIM and Construction, BIM and Close Out. When it comes to BIM and technology, project planning is critical to a construction project and is often the driver for a successful project.
An analysis of the literature shows that the importance of the information model created in parallel with the object, product, and service is increasing. The information model, unlike the material product itself, exists at all stages of the life cycle, from concept to disposal. However, in recent decades, the role of the information model in production has changed significantly.
Previously, an information model was created in a single development center, and production could be in cooperation with contractors-manufacturers. Now both the product development process and the process of creating an information model are carried out in branched cooperation [26]. For example, it is known that the development of Boeing CA aircraft is carried out by several engineering centers in the USA, Australia, and Russia. Similarly, the development of Airbus is carried out.
In the past, information models in the form of blueprints, specifications, and other technical documentation were used only for production, but this is no longer the case. For example, almost from the very beginning of the development of nuclear energy, the confirmation of the safety requirements of power units is based on calculations, that is, on the basis of an information model. In recent years, information models have also been used to certify cars, aircraft, and other technical objects.
To manage the life cycle of products, as a rule, production design programs are used. Production programs are sets of projects and other activities aimed at achieving certain goals [39]—they are almost always systems consisting of systems, as well as enterprise systems [25].
The trend is the dependence of the cost of a sophisticated engineering complex on the cost of its life cycle. The paper [29] shows an increase in the cost of a complex energy complex through the cost of its life cycle. The paper quite clearly presents a comparison of the cost of making a change at various stages of the life cycle of a facility. The paper also identified various changes and ways to eliminate them.
The paper [11] considers three floating wind platforms (which, according to the authors, are the future of the electric power industry), their life cycles, and the costs in different life cycles. The article presents a methodology for estimating the life cycle cost of a complex energy facility in terms of its main costs.
At all stages of the life cycle of an offshore oil and gas platform, it is important to take into account the environmental aspect. The requirements for assessing the impact of the life cycle of a product on the environment are established in the [40].
The analysis shows that there are problems little touched upon by research. These include the lack of developed mathematical models that make it possible to find options for an offshore oil and gas platform with different characteristics, allowing the stage of the concept of an offshore oil and gas platform to take into account not only manufacturing technologies but also the provisions of the “Circular Economy” during operation and decommissioning of an offshore oil and gas platform.
This article touches upon problematic tasks solved by means of information modeling of the life cycle of complex engineering facilities, and in particular offshore oil and gas facilities.
The purpose of the article is to propose a methodology for the formation of a digital model of the life cycle of an offshore oil and gas platform based on the systematic development of the model, refinement of the model, and use of the model at all stages of the life cycle of a real offshore oil and gas platform.
To achieve the goal of the study, the following research objectives are defined:
Analysis of problems of the life cycle of offshore oil and gas platforms.
Development of a virtual life cycle of an offshore oil and gas platform based on life cycle modeling by alternative graphs.
Development of a cyclic procedure for managing a virtual life cycle model of an offshore oil and gas platform.
Development of a procedure for finding a set of virtual effective options for the platform lifecycle.
The process associated with the creation, operation, and decommissioning of an offshore oil and gas platform consists of two parallel processes: (a) the creation and maintenance of a digital model of the life cycle of an offshore oil and gas platform and (b) the creation of a real platform and ensuring the viability of the platform life cycle.
The proposed methodology for the formation of a digital model of the life cycle of an offshore oil and gas platform has the following advantages: (a) a digital model of the life cycle of an offshore oil and gas platform is based on an alternative graph, which allows to choose solutions for each stage based on criteria common to the life cycle of an offshore oil and gas platform; (b) it is possible to significantly reduce the number of full-scale tests of everything that is connected with the manufacture of a real material part of a platform; (c) a digital model of the life cycle of an offshore oil and gas platform is constantly updated following the change in physical prototypes, which increases the accuracy of decisions based on it.

2. Materials and Methods

A digital model of the life cycle of an offshore oil and gas platform is an object-oriented parametric 3D model that digitally represents the physical, functional, and other characteristics of the stages of the life cycle of an offshore oil and gas platform, consisting of separate parts of the stages, in the form of a set of information-rich elements. The creation of the life cycle of an offshore oil and gas platform in the form of a digital model provides for the automation of the work of specialists of the design organization both at the stage of creating three-dimensional models (3D models) of individual elements of the stage and at the stage of issuing graphic design documents and drawings.
A digital model of the life cycle of an offshore oil and gas platform, from the standpoint of materialized perception, is an interconnected set of mathematical models and methods, parametric 3D models, software tools, and technologies used to store, process and consume information, hardware, and personnel.
The processes and life cycle stages of such a system are covered by ISO/IEC 15288, a systems engineering technical standard developed by the International Organization for Standardization (ISO) and the International Electrotechnical Commission (IEC) [41]. The ISO/IEC 15288 standard is applicable to the complete life cycle of systems, such as the digital life cycle model, including conception, development, production, operation, and decommissioning. A system similar to the digital life cycle model is referred to as an enabling system in ISO/IEC 15288. Enabling system is a system that serves as an addition to a real system throughout the stages of its life cycle but does not necessarily directly contribute to its functioning. The real system in our article is an offshore oil and gas platform, and an analysis of the life cycle of a real offshore oil and gas platform. Life cycle assessment (LCA) and life cycle inventory (LCI) of a real offshore oil and gas platform are covered by ISO 14040:2006. It does not describe the LCA technique in detail, nor does it specify methodologies for the individual phases of the LCA [40].
The article outlines the provisions of the methodology and methods for the formation of a digital model.

2.1. Basic Provisions for the Formation of a Digital Model of the Life Cycle of an Offshore Oil and Gas Platform

The “digital life cycle model of an offshore oil and gas platform”, in other words, the “digital twin of the life cycle of an offshore oil and gas platform”, consists of digital models of the stages of the life cycle. The digital models of the stages are as follows: (a) digital model of scientific research and design of the oil and gas production platform; (b) digital model of production and construction of an oil and gas production platform; (c) digital model of operation and modernization of the oil and gas production platform; (d) digital model for the decommissioning of an oil and gas production platform. The basis of the digital model of each stage of the life cycle of an offshore oil and gas platform is an alternative graph, which is a mathematical model of the stage and contains information about the modeling object. Computer modeling is performed on the basis of an alternative graph with data obtained from real-life stages of the life cycle or is the results of simulation modeling.
There are three activities that need to be completed to make this happen:
(a)
Modeling the subject area of the life cycle of an offshore oil and gas platform with alternative graphs.
(b)
Parallel processes: creation/operation of a real offshore oil and gas platform and a digital model of the life cycle of an offshore oil and gas platform.
(c)
Continuous development of a digital model of the life cycle of an offshore oil and gas platform.

2.2. Cyclic Procedure for the Process of Analysis and Discussion of the Concepts of the Virtual Life Cycle of an Offshore Oil and Gas Platform

A digital model of the life cycle of an offshore oil and gas platform is formed in accordance with the developed “cyclic procedure for the process of analyzing and discussing the concepts of a virtual life cycle of an offshore oil and gas platform” (Figure 2). The “Cyclic procedure for the process of analyzing and discussing the concepts of the virtual life cycle of an offshore oil and gas platform” was developed both to form a digital model of the life cycle of an offshore oil and gas platform and to create a real offshore oil and gas platform.

2.3. Using the Graph Theory Apparatus for Modeling the Virtual Life Cycle of an Offshore Oil and Gas Platform

To simulate the virtual life cycle of an offshore oil and gas platform, the mathematical apparatus of graph theory is used. A hierarchical graph, the so-called goal tree, depicts the subordination of various goals of the life cycle stages. The model of the entire life cycle of an offshore oil and gas platform is based on an alternative graph. Alternatives at each stage are selected in terms of offshore oil and gas platform life cycle criteria. The model of each stage of the life cycle is also based on an alternative graph. The general sequence of using the apparatus of graph theory can be represented as steps:
(a)
Representation of the structure of the generalized architecture of the digital model of the life cycle of an offshore oil and gas platform as a result of the decomposition of the goal of creating a digital model of the life cycle.
(b)
Building an integrated structure of the virtual life cycle of an offshore oil and gas platform in the form of an alternative graph.
(c)
Representation of the relationship between the duration of the life cycle and the costs of completing the stages of the life cycle and the scientific and technical level of the offshore oil and gas platform.

3. Results

3.1. The Concept of a Virtual Life Cycle of an Offshore Oil and Gas Platform Based on the Use of Alternative Graphs and Information Modeling Technology

Basic provisions of the concept.
(a)
An integrated information model of the life cycle of an offshore oil and gas platform is created, constantly developed, refined, and used at all stages of the life cycle of a real offshore oil and gas platform.
(b)
Takes into account, at the stage of the concept of an offshore oil and gas platform, not only manufacturing technology but also service issues during operation and disposal, “Circular Economy” trends in the disposal of the complex.
(c)
The construction of a digital model of the life cycle of an offshore oil and gas platform is carried out on the basis of modeling the subject area of the life cycle of an offshore oil and gas platform by alternative graphs. The subject area of the life cycle of an offshore oil and gas platform is a certain set of concepts, real objects, and relationships between them in their entirety that make up the object of management throughout the life cycle. Each object has a certain set of properties (attributes).
The subject area of the life cycle of an offshore oil and gas platform is characterized by a variety of used data, knowledge, the complexity of the tasks to be solved, and the relationships between them at the stages of the life cycle.
(d)
The digital model is a virtual offshore oil and gas complex. The stages of the life cycle of a virtual offshore oil and gas platform are temporary complexes of tools, including specialists, technical means, technologies, raw materials, information resources, and software designed to solve specific problems in a certain time interval.
Existing design institutes, enterprises, and construction companies can be used as virtual ones. The formation and functioning of the stages of the life cycle of a virtual offshore oil and gas platform should be carried out on the basis of a single set of mathematical methods for network modeling of the stages of the life cycle. In its activities, such a platform should be based on modern means of communication, on network software and hardware, as well as on the coordination center for the functioning of virtual enterprises, which includes a subsystem for analyzing and managing information, which provides, in particular, solving the problems of control and security when working with information. The basis for solving communication problems for virtual enterprises are the Internet and Intranet networks. The core of the offshore oil and gas platform life cycle subject model is an alternative graph. Based on this core, all other interrelated models are built and developed, which together will make up the required adequate model of the subject area.
(e)
Subject area and life cycle of an offshore oil and gas platform. The subject area covers the tasks of the entire life cycle of an offshore oil and gas platform (tasks solved in the course of scientific research, design, manufacture, testing, operation, development, and disposal). The tasks of the subject area are modeled by means of informatics and artificial intelligence. There is a transition from the traditional staging of life cycle stages to a constant transformation of the subject model as a result of parallel processes.
(f)
Subject model in the form of an alternative graph. Graph theory tools are used as a modeling base to describe the stages of the life cycle of an offshore oil and gas platform, data, and subject knowledge. Deterministic graphs, alternative graphs, graphs with return arcs, directed graphs, tree graphs, and probabilistic graph models are used. A single set of methods for describing the subject area is used, which should be based on network mathematical models. Throughout the life cycle of an offshore oil and gas platform, it is necessary to maintain the integrity of the model of an offshore oil and gas platform, the entire situation that has developed at the stages of the life cycle of an offshore oil and gas platform. The subject network model covers all tasks of the traditional life cycle of an offshore oil and gas platform: design, construction, manufacturing, etc. In order to build an adequate subject network model, classes of network nodes should be distinguished (which, in turn, are network nodes and are included in the network model of the subject area).
(g)
Assessment system. During the life cycle of the platform, the network model of the subject area must constantly evolve, which requires a system of assessments to ensure. The following classes of necessary assessments can be distinguished: ♦ assessments for making a decision on the need for further development of the network; ♦ assessments of network models-solutions of various performers; ♦ resource assessments; ♦ assessments used for self-monitoring of the system. It should be noted that all resources (human, time, financial), technical means, standard procedures used in solving various problems of the life cycle of an offshore oil and gas platform, and others are also represented as network models and are included in the network model of the subject area.
(h)
Basic software of the informatization system. Among the existing ready-made software tools, the EUCLID QUANTUM system from MATRA DATAVISION can be considered a basic tool for creating a network model of the subject area of the complex informatization system [37]. This system has the means to start systematic work on solving the problem of creating an adequate network model of the subject area, as well as the means to use the capabilities of Intranet technology.

3.2. Cyclic Procedure for the Process of Analysis and Discussion of the Concepts of the Virtual Life Cycle of an Offshore Oil and Gas Platform

The process of reviewing and discussing concepts includes the following activities:
(a)
Formulation of general tasks and restrictions.
(b)
Requirements and needs assessment.
(c)
Definition of alternative concepts.
(d)
Characterization of concepts and architectures.
(e)
Identification of critical requirements.
(f)
Assessment of the unity of the life cycle of an offshore oil and gas platform.
(g)
Formulation of initial data.
(h)
Determination of requirements for the life cycle of an offshore oil and gas platform.
(i)
Correlation of requirements with elements of the life cycle of an offshore oil and gas platform.
The analysis and discussion of concepts is an iterative process, gradually concretized both by the requirements and the methods for their implementation. Therefore, we must repeat all the procedures many times for the life cycle of an offshore oil and gas platform as we move through the stages of the life cycle and details at each stage.
Figure 2 presents a cyclic procedure for the process of analysis and discussion of the concepts of the virtual life cycle of an offshore oil and gas platform.
The proposed dynamic cycle of the process of analyzing and discussing the concepts of the virtual life cycle of an offshore oil and gas platform begins with the formulation of the general tasks and constraints of the life cycle model. The development of a life cycle model of an offshore oil and gas platform includes the analysis of influencing factors, the generation of target indicators, the design of the architecture of the life cycle model of an offshore oil and gas platform in the form of a tree graph, the construction of an integrated model based on an alternative graph of the stages of the life cycle of an offshore oil platform, which combines various components and subsystems.

3.3. Generalized Architecture of the Virtual Life Cycle Model of the Oil and Gas Platform

A digital model of the life cycle of an offshore oil and gas platform is developed on the basis of a generalized architecture of a digital model of the life cycle of an offshore oil and gas platform. The generalized architecture of the digital model consists of large blocks: database, subject area, data management system, model management system, knowledge block, and user interface.
The structure of the generalized architecture of the digital model of the life cycle of an offshore oil and gas platform is formed as a result of the decomposition procedure for the purpose of creating a digital model of the life cycle. Figure 3 shows the structure of the generalized architecture of the digital model of the life cycle of an offshore oil and gas platform.
Large blocks and concepts of a digital model of the life cycle of an offshore oil and gas platform are highlighted in green: architecture, data storage, concepts, software, and support subsystems (methodological, software, mathematical).
Subsets of large blocks and concepts of the digital model are highlighted in blue.
Types of subsets of large blocks and concepts of the digital model are highlighted in yellow.
The red color shows variants of types of subsets of blocks of the digital model.
Decomposition is a top-down process, i.e., from the level of the entire life cycle to the lowest level of components.

3.4. Integrated Structure of the Virtual Life Cycle of an Offshore Oil and Gas Platform in the Form of an Alternative Graph

With the complication of production facilities and the expansion of the scope of use of information models, the models themselves become more complex and expensive. Information models contain not only the geometric description and structure of the product, materials and technological maps, and logistics information but also complex models of functioning, movement, and others. Information models are a sophisticated hierarchical multidisciplinary complex.
The virtual life cycle of an offshore oil and gas platform is displayed as an alternative graph. An information model in the form of a graph can be used to visually represent the relationships that exist between the elements of the structure of the virtual life cycle of an offshore oil and gas platform. The alternative graph is the most convenient form for modeling the structure of the virtual life cycle of an offshore oil and gas platform. In the form of an alternative graph, it is also possible to model the relationship between the stages of the life cycle. A conditional general view of the life cycle of an offshore oil and gas platform in the form of a graph of an alternative structure is shown in Figure A1 (Appendix A).
The network G is a set of nodes mi,…, mj, …, mr, connected by the precedence relation m i   m j   m k   m r . An alternative network is a directed acyclic network G(J, A), in which the set of nodes J = M   D and M   D =   is   given , where M is the set of nodes of program activities without alternatives; D is a set of decision nodes and program activities that have alternatives.
The formulation and development of the phases of the virtual life cycle is divided into successive parts in time. The development team, using a cyclic procedure of the analysis and discussion process, presents each phase of the virtual life cycle of an offshore oil and gas platform in the form of an alternative structure graph. The initial information for the development of the phases of the virtual life cycle is the results of studies carried out with the phases of the life cycle of real offshore oil and gas platforms.
The final phase of the life cycle of an oil and gas platform—the decommissioning of an oil and gas platform and the development of a hydrocarbon field is represented by several alternative columns. Each alternative graph corresponds to the form of decommissioning of the oil and gas platform and the development of hydrocarbon fields.
The complex decommissioning process requires taking into account a significant number of risks and actions, taking into account national and international legislation. In the literature, one can find a discussion of the following activities consistent with the principles of the Circular Economy: reuse, recycling, and disposal of end-of-life blocks and their parts of the platform; the cessation of offshore oil operations in the offshore field and the return of the ocean and seabed to its original state; creation of artificial reefs; formation of a new built environment in the sea after the decommissioning of the platform. The scientific literature outlines studies demonstrating the impact of offshore oil and gas platforms and some forms of decommissioning on the marine environment. The reference [42] provides an overview of reefing practices and options for decommissioning oil and gas platforms around the world, ref. [43] provides decommissioning methodology and cost estimates, and ref. [44] describes the implications of alternative decommissioning options for reef fish aggregations and the consequences of decommissioning policy; the paper [45] analyzes the environmental issues associated with the decommissioning of offshore platforms in California and ref. [46] analyzes the environmental and political issues associated with the decommissioning of offshore oil facilities in the South Gulf of California, ref. [47] describes the Case Study: Brent Spar and the environmental conflict associated with the decommissioning of Brent Spar.
A fairly large number of articles are devoted to the ecological role of oil and gas production platforms and natural reefs for fish. Are oil and gas platforms an important habitat for fish [48] and can oil and gas platforms replace natural reefs for fish [49], such as oil and gas facilities in the Gulf of Mexico [50]? The formation of a new environment on the basis of decommissioned offshore oil and gas platforms is also reflected in publications. Artificial reefs as tools for fisheries preservation are analyzed, and the role of offshore structures between the Gulf of Mexico and the Southern California bight is compared [51]. Coral growth on oil platforms is analyzed in the North Sea [52], in the Gulf of California [53], and the long-term evolution of coral growth and prospects for decommissioning are analyzed in [54]. Specific studies have been carried out on the impact of artificial reefs on fisheries [55,56,57]. Analysis of the results of the study of real offshore oil and gas platforms makes it possible to develop models of the virtual phase of the life cycle—the process of decommissioning an oil and gas platform.
At the next stages, the digital model of the life cycle of an offshore oil and gas platform is systematically developed, refined, and used at all stages of the life cycle of a real offshore oil and gas platform.

3.5. Analysis of a Variety of Virtual Life Cycle Options for an Offshore Oil and Gas Platform

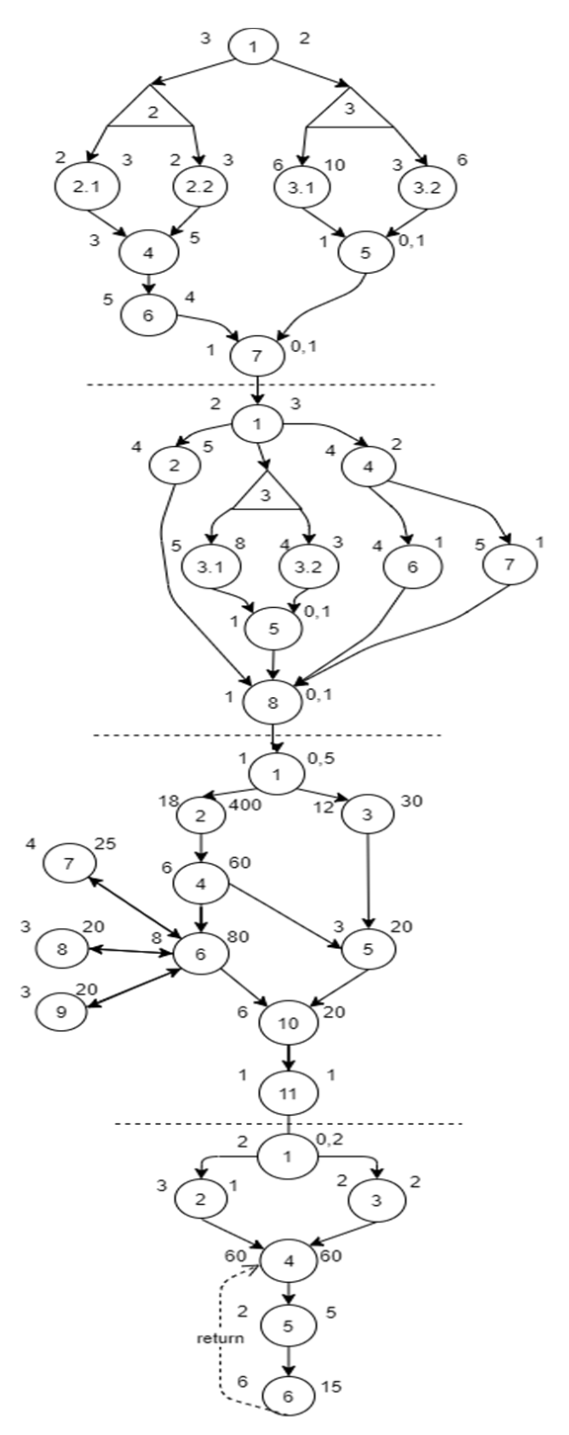
The digital model of the life cycle of an offshore oil and gas platform, presented in the form of an alternative graph, includes many virtual options for the life cycle of an offshore oil and gas platform. Each virtual life cycle option has its own life cycle duration, life cycle cost, and scientific and technical level of the digital life cycle model. The number of options for the life cycle of a digital model depends on the number of alternatives at each vertex. On the graphical representation of the digital life cycle model (Figure 4), this is the number of circles in a triangle.
The representation of the life cycle of an offshore oil and gas platform in the form of an alternative graph allows for solving various problems at different phases of the life cycle. These include: determining the cost of the life cycle and determining the duration of the life cycle. At each stage of the life cycle, tasks specific to the stage are solved for the design and construction stage. A characteristic task is the task of choosing a variant of an oil and gas platform both according to one of the criteria—minimum costs, the minimum duration of creation, maximum scientific and technical level and according to several criteria.
Let us briefly show the problem of choosing a platform variant at the design and construction stage. The design and construction stage is modeled by an alternative graph (Figure 4).
Explanation of Figure 4.
An enlarged view of the stages of the life cycle of an oil and gas production platform is shown in the form of an alternative graph. The stages are separated by dotted lines. An alternative graph is shown as triangles and circles in the figure. The circle represents a certain activity characterized by the duration of execution and costs. The number to the left of the circle is the duration of the activity, and the number to the right of the circle is the cost of doing the activity. The number inside the circle is the job number. The triangle in the alternative graph shows the availability of options for performing the activity. The number inside the triangle is the number of activities that can be completed in different ways.
The main enlarged stages of the life cycle of an oil and gas production platform (from top to bottom in Figure 4):
The stage of scientific research and design of an oil and gas production platform includes activities 1, 2, 3, 4, 5, 6, 7. Activities 2 and 3 can be completed in two ways. The activities of the stage can include seismic surveys, the drilling of exploration wells, and the creation of a digital geological model.
The stage of production and construction of an oil and gas production platform includes activities 1, 2, 3, 4, 5, 6, 7, 8. Activity 3 can be performed in two ways.
The stage of operation and modernization of an oil and gas production platform includes activities 1, 2, 3, 4, 5, 6, 7, 8, 9, 10, 11.
The stage of decommissioning of the oil and gas production platform includes activities 1, 2, 3, 4, 5, 6. The activities of the stage could include conservation of the field, optimization of the state of the environment, and re-profiling of the offshore platform.
In the process of research, several options for the layout of the platform are considered. Therefore, there are options for using a diesel propulsion system or a small modular reactor. There are two options for the material from which the case can be made: the first is the use of composite materials, and the second is the use of metal alloys.
However, in order to match the platform under consideration with the declared characteristics and conditions in which it will be operated, the option of using a small modular reactor and a metal case is preferable. Thus, according to the proposed graph of the design and construction stages, there are various options (Figure 5).
The graph shows design and construction options for an offshore oil and gas platform. Each option is characterized by the duration of design and construction, costs, and scientific and technical levels. On the graph in the two-dimensional space “cost-duration”, each option is represented by a dot. At the same time, there are three scientific and technical levels of the offshore oil and gas platform. The presence of alternatives in an alternative graph allows us to obtain such a number of options.
All options for program execution are divided into two sets. Options framed by a blue line (28, 23, 24, 35, 30, 2, 3, 16, 17) satisfying the conditions:
T 28 < T 23 < < T 17
C 28 > C 23 > C 17
These will be called the set of effective options, and all the rest—the set of inefficient options. Each option of the set of inefficient ones is worse than an option from the set of efficient options when compared in pairs. For example, let us compare options 28 and 26/27. Option 28 is better than option 26/27, because T 28 < T 26 / 27 ,   a   C 26 / 27 > C 28 . Similarly, option 24 is better than option 14 because:
T 24 < T 14   ,   a   C 14 > C 24 .
Therefore, to select one option, it makes sense to consider only a set of effective options.
Option ( T 28 , C 28 ) has a minimum duration, maximum costs, the third, that is, the highest scientific and technical level.
With the large size of the alternative graph, finding a set of efficient options is based on the ideas of dynamic programming using a system of recurrent equalities.
Because, in our case, the alternative graph has a small number of options, the algorithm for finding the set of efficient options is not given.
As a result, the decision maker is faced with the task: there are nine options and three criteria, so it is necessary to choose one option.
The choice of one option from the set is carried out using the Analytic Hierarchy Process [58]. The Analysis Hierarchy Process does not prescribe any “correct” decision to the decision maker (DM) but allows them to interactively find such a variant (alternative) that best fits his understanding of the problem and the requirements for solving it.

3.6. Representation of the Life Cycle of an Offshore Oil and Gas Platform in the Form of a Digital Model

In accordance with the methodology presented, a digital information model of the life cycle of an offshore oil and gas platform is an object-oriented parametric 3D model that digitally represents the physical, functional, and other characteristics of the life cycle stages of an offshore oil and gas platform (or individual parts of a stage) in the form of a set of information-rich elements.
The project for the development of digital models of the stages of the life cycle consists of the fact that each digital object is based on an information model that determines its structure. The digital model is also the basis for the decomposition of all information on the object, including the construction of a 3D model. It includes the amount of necessary data and documents. Digital objects at various stages are different. At the first stage of the life cycle, digital twins of real wells are created. The digital object is an oil platform consisting of four main components: hull, anchor system, deck, drilling rig and drill. The hull is a pontoon with a deck. Drill pipes, cranes, and a helipad are placed on the deck.
The main application of models is the search for the necessary information and visualization of the search result in a 3D model, preparation for subsequent modernization, and technical re-equipment of objects.
The presented methodology for creating the life cycle of an offshore oil and gas platform in the form of a digital model provides for the automation of the work of specialists of a design organization both at the stage of creating three-dimensional models (3D models) of an object and at the stage of issuing graphic design documents-drawings. There are graphics systems that have libraries of standard components and unified designs. This simplifies the process of creating elements, a modeled object and makes it possible to automate the creation of a 3D model of a designed object.

4. Discussion

This article proposes a methodology for the formation of a digital model of the life cycle of an offshore oil and gas platform based on the systematic development of a digital model, refinement of the digital model, and the use of a digital model to find solutions for all stages of the life cycle of a real offshore oil and gas platform. In other words, a methodology for the formation of a digital twin of the stages of the life cycle of an offshore oil and gas platform is proposed. The digital twin stores the life cycle parameters of an offshore oil and gas platform in real-time, then interprets and processes big data in order to find and use the most effective solutions for both the stages of the life cycle of a real offshore oil and gas platform and for the life cycle of a real offshore oil and gas platform as a whole.
Figure 4 shows the enlarged stages of the life cycle of an offshore oil and gas platform: the stage of scientific research and design; the stage of production and construction; the stage of operation and modernization; and the decommissioning stage.
At the stage of scientific research and design of a real platform using a digital twin, it is possible to create variations of the system model of the platform being developed for evaluation and selection from various versions of technical solutions. Further, at the stage of production and construction of an offshore oil and gas platform, the model obtained at the previous stage can be refined and specified using more accurate system models of elements, which in turn can be obtained through numerical simulation. This system model allows taking into account and optimizing the interaction of all elements, taking into account the operating modes and environmental influences.
Analysis of work in the field of creating digital twins shows that approximately 20% of the analyzed projects of digital twins are focused on the visualization of the system at the stage of its operation. Among the most common types of visualizations used are three-dimensional elements that help to obtain an idea of the work of an object.
The idea of a digital twin is not new; the modern concept is different in obtaining data and inputs for the digital twin from the real world of the life cycle stages of offshore oil and gas platforms. IoT-connected devices are the building blocks of the digital twin, and sensors are the key to making data accessible.
It is important to understand what the creation of a digital model of the life cycle of an offshore oil and gas platform gives for an oil and gas company and the oil and gas industry. Digital twins of the life cycle of an offshore oil and gas platform are especially important for the oil and gas industry for the following reasons:
(a)
The digital twin is built on the basis of alternative graphs and contains options for system models of the offshore oil and gas platform being developed. Evaluation and selection of different versions of life cycle options and technical solutions for individual stages of the life cycle is possible at the stage of scientific research and design using a digital twin.
(b)
Offshore oil and gas platforms are remote from the company’s head office and are located in hard-to-reach places. Virtual twins help you monitor their work from anywhere.
(c)
Oil production is associated with a high level of risk; accidents at facilities can lead to huge costs and environmental disasters. Digital twins help to make decisions and avoid many complications, equipment downtime, and increase work efficiency. Digital twins collect data on the operation of equipment using IoT sensor technology and calculate the likelihood of wear or failure. Data is collected using individual sensors and control systems based on the Internet of Things and analyzed using artificial intelligence and machine learning.
The tool for implementing the methodology for the formation of a digital model of the life cycle of an offshore oil and gas platform is a cyclic procedure for the systematic use of the life cycle model of an offshore oil and gas platform (Figure 2). The cyclic procedure for managing the virtual life cycle model of an offshore oil and gas platform covers all stages of the life cycle. The process of forming a digital model of the life cycle of an offshore oil and gas platform is carried out in parallel with the “existing physical processes” of the life cycle. “Existing physical processes” is the established practice of performing life cycle stages and using the results: the stage of scientific research and design of an oil and gas production platform (seismic surveys, drilling of exploratory wells, creation of a digital geological model); stage of production and construction of an oil and gas production platform; stage of operation and modernization of the oil and gas production platform; stage of decommissioning of an oil and gas production platform (preservation of the field, optimization of the state of the environment, conversion of the offshore platform).
The process of the physical world and the process of the digital world of an offshore oil and gas platform are connected by technologies for transferring information from a physical object to a digital model. Data Communications Technologies are used to collect information in the early stages of creating a digital model of an offshore oil and gas platform. Industrial IoT technology is used to continuously collect real-time data from offshore platform sensors and plays the role of an information and communication bridge between a real offshore platform and a digital model.
The cyclic procedure allows the decision maker to track the process of creating an offshore oil and gas platform, analyze the initial state of the problem, generate alternatives for each stage, analyze the program as a whole, and select options for each stage and the life cycle as a whole.

5. Conclusions

Our research indicates the possibility of using a new model of the virtual life cycle of an offshore oil and gas platform using graph theory and information modeling tools, which provides goals for empirically effective research by introducing new mathematical models that can provide a new frontier.
The developed model of the life cycle of an offshore oil and gas platform based on the display of the life cycle by alternative graphs allows you to choose solutions for each stage based on the criteria common to the life cycle of an offshore oil and gas platform. A cyclic procedure for managing a virtual life cycle model of an offshore oil and gas platform has been developed.
The application of the model in practice will significantly reduce the number of full-scale tests of everything related to the manufacture of a real material part of a platform.
This technology allows at the concept stage of an offshore oil and gas platform to take into account not only manufacturing technologies, but also issues of service during operation and disposal, “Circular Economy” trends in the disposal of an oil and gas platform.
This new approach provides an opportunity to find variants of an offshore oil and gas platform with different characteristics.
It is noted in the literature that modern offshore oil platforms usually do not have solutions for the final stages of the life cycle, or they are very outdated, unlike some complex technical systems. This is due to the fact that the oil field has a rather long life cycle and, therefore, the life cycle of an offshore oil platform has a longer life cycle compared to other complex engineering systems. This new approach provides an opportunity to bridge this gap.
To explore this possibility, it is necessary to conduct additional research and develop procedures for the formation of life cycle stages in conditions of probabilistic and incomplete information.
Design, construction, and decommissioning of offshore oil and gas facilities is an expensive, time-consuming, and complex process that requires advanced planning, taking into account a significant number of risks.
Information about each event of the life cycle model of an offshore oil and gas platform can be deterministic, under risk, and under uncertainty.
Deterministic information about the event means that with a probability of one at the stage of compiling the life cycle model of an offshore oil and gas platform, the duration of the event, the costs of various resources (including in total monetary terms), the results that will be obtained when performing the event (technical level, reliability, etc.) are known for an event.
Information about an event under risk means that the law of distribution of duration, costs, and results is known.
Information about the event under uncertainty means that the law of distribution of the duration and costs of the event is unknown.
The development of a methodology for the formation of a digital model of the life cycle of an offshore oil and gas platform, therefore, must be carried out in conditions of probabilistic information and conditions of uncertainty.
The methodology for assessing the indicators of a digital model of the life cycle of an offshore oil and gas platform under conditions of probabilistic information and uncertainty will be a deepening of the methodology for choosing the best alternatives in conditions of certainty. A graphic representation of the alternative structure program under conditions of probabilistic information is shown in Figure 6.
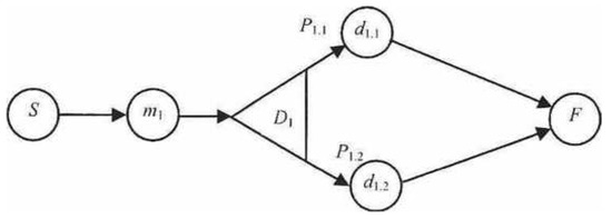
Let us assume that when forming the life cycle model of an offshore oil and gas platform, we know exactly the parameters of the event m 1 . However, after the end of the program event m 1 (see Figure 6), it is necessary to perform a stochastic program event, information about which (duration and costs) are subject to some distribution law. Since it is necessary to take into account the probabilistic nature of information, this also determines a certain degree of risk. We will assume that the degree of this risk can be estimated by the probability. The probabilities p 1.1 and p 1.2 ,  n in this case, show the risk of determining indicators at the stage of formation of the life cycle model of an offshore oil and gas platform. In contrast to certainty, when it is known for sure that after the execution of m 1 п a certain event is carried out, and its parameters are precisely known; under risk conditions, this cannot be asserted.
To make a decision when using the life cycle model of an offshore oil and gas platform in terms of probabilistic information, the most important information is the following information about the indicators of the model:
The extreme life cycle of an offshore oil and gas platform; extreme costs for the life cycle of an offshore oil and gas platform; the expected duration of the program; the expected costs of the program; probability (degree of risk) of program implementation; the most probable structure of the life cycle of an offshore oil and gas platform and the corresponding duration of its implementation and the costs of its implementation.

Author Contributions

Conceptualization, N.D. and D.S.; methodology, N.D. and D.S.; software, V.M. and K.S.; formal analysis, N.D., D.S., V.M., K.N.K. and K.S.; investigation, N.D., D.S., V.M., K.N.K. and K.S.; resources, N.D.; data curation, N.D. and D.S.; writing—original, N.D., D.S., V.M., K.N.K. and K.S.; writing—review and editing, N.D. and D.S.; visualization, D.S. and V.M.; supervision, N.D.; project administration, D.S. All authors have read and agreed to the published version of the manuscript.

Funding

This study was performed as a part of the project entitled “Study of statistical patterns of ice loads on engineering structures and development of a new method for their stochastic modeling (FSEG-2020-0021), No. 0784-2020-0021”, supported by the Ministry of Science and Higher Education of the Russian Federation.

Data Availability Statement

The data presented in this study are available on request from the corresponding author.

Conflicts of Interest

The authors declare no conflict of interest.

Appendix A

Figure A1. Life cycle of an offshore oil and gas platform in the form of an alternative structure graph.
Figure A1. Life cycle of an offshore oil and gas platform in the form of an alternative structure graph.
Resources 12 00086 g0a1

References

  1. Daan, R.; Mulder, M. On the short-term and long-term impact of drilling activities in the Dutch sector of the North Sea. ICES J. Mar. Sci. 1996, 53, 1036–1044. [Google Scholar] [CrossRef]
  2. Fakhru’l-Razi, A.; Pendashteh, A.; Abdullah, L.C.; Biak, D.R.A.; Madaeni, S.S.; Abidin, Z.Z. Review of technologies for oil and gas produced water treatment. J. Hazard. Mater. 2009, 170, 530–551. [Google Scholar] [CrossRef] [PubMed]
  3. Neff, J.M. Composition, Environmental Fates, and Biological Effects of Water Based Drilling Muds and Cuttings Discharged to the Marine Environment: A Synthesis and Annotated Bibliography; Petroleum Environmental Research; Forum and API; Platform Science: San Diego, CA, USA, 2005. Available online: http://rodadas.anp.gov.br (accessed on 25 October 2021).
  4. Cordes, E.E.; Jones, D.O.; Schlacher, T.A.; Amon, D.J.; Bernardino, A.F.; Brooke, S.; Carney, R.; DeLeo, D.M.; Dunlop, K.M.; Escobar-Briones, E.G.; et al. Environmental Impacts of the Deep-Water Oil and Gas Industry: A Review to Guide Management Strategies. Front. Environ. Sci. 2016, 4, 58. [Google Scholar] [CrossRef]
  5. Ahmed, M.; Rezaei-Gomari, S. Economic Feasibility Analysis of Shale Gas Extraction from UK’s Carboniferous Bowland-Hodder Shale Unit. Resources 2019, 8, 5. [Google Scholar] [CrossRef]
  6. Liu, S.N.; Jose, J.; Ong, M.C.; Gudmestad, O.T. Characteristics of higher-harmonic breaking wave forces and secondary load cycles on a single vertical circular cylinder at different Froude numbers. Mar. Struct. 2019, 64, 54–77. [Google Scholar] [CrossRef]
  7. Orimolade, A.P.; Larsen, S.; Gudmestad, O.T. Vessel stability in polar low situations: Case study for semisubmersible drilling rigs. Ships Offshore Struct. 2017, 13, 303–309. [Google Scholar] [CrossRef]
  8. Bourmistrov, A.; Mellemvik, F.; Bambulyak, A.; Gudmestad, O.T.; Øverland, I.; Zolotukhin, A. International Arctic Petroleum Cooperation: Barents Sea Scenarios; Routledge: Abingdon, UK; Taylor & Francis: London, UK, 2015; p. 320. ISBN 978-1-13-878326-3. 320 s. [Google Scholar]
  9. Oil and Gas Industry Forum. Available online: https://rengm.ru/forum/thread115.html (accessed on 21 November 2022).
  10. Avellán, T.; Hahn, A.; Kirschke, S.; Müller, A.; Benavides, L.; Caucci, S. Co-Generating Knowledge in Nexus Research for Sustainable Wastewater Treatment. Resources 2022, 11, 93. [Google Scholar] [CrossRef]
  11. Castro-Santos, L.; Diaz-Casas, V. Life-cycle cost analysis of floating offshore wind farms. Renew. Energy 2014, 1, 41–48. [Google Scholar]
  12. Sedlar, K.D.; Vulin, D.; Jukić, L. Offshore gas production infrastructure reutilisation for blue energy production. Renew. Sustain. Energy Rev. 2019, 108, 159–174. [Google Scholar] [CrossRef]
  13. Alkhalidi, A.; Kaylani, H.; Alawawdeh, N. Technology Assessment of offshore wind turbines: Floating platforms—Validated by case study. Results Eng. 2023, 17, 100831. [Google Scholar] [CrossRef]
  14. Eckle, P.; Burgherr, P.; Michaux, E. Risk of large oil spills: A statistical analysis in the aftermath of Deepwater Horizon. Environ. Sci. Technol. 2012, 46, 13002–13008. [Google Scholar] [CrossRef] [PubMed]
  15. Sun, S.; Hu, C.; Tunnell, J.W., Jr. Surface oil footprint and trajectory of the Ixtoc-I oil spill determined from Landsat/MSS and CZCS observations. Mar. Pollut. Bull. 2015, 101, 632–641. [Google Scholar] [CrossRef]
  16. Joye, S.B.; Bracco, A.; Özgökmen, T.M.; Chanton, J.P.; Grosell, M.; MacDonald, I.R.; Cordes, E.E.; Montoya, J.P.; Passow, U. The Gulf of Mexico ecosystem, six years after the Macondo Oil Well Blowout. Deep Sea Res. Part II Top. Stud. Oceanogr. 2016, 129, 4–19. [Google Scholar] [CrossRef]
  17. White, H.K.; Hsing, P.Y.; Cho, W.; Shank, T.M.; Cordes, E.E.; Quattrini, A.M.; Nelson, R.K.; Camilli, R.; Demopoulos, A.W.; German, C.R.; et al. Impact of the Deepwater Horizon oil spill on a deep-water coral community in the Gulf of Mexico. Proc. Natl. Acad. Sci. USA 2012, 109, 20303–20308. [Google Scholar] [CrossRef] [PubMed]
  18. DeCola, E. Oil Spill Contingency Planning in the Twenty-First Century; Cutter Information Corporation: Arlington, MA, USA, 2000; Available online: https://docs2.cer-rec.gc.ca/ll-eng/llisapi.dll/fetch/2000/90464/90552/548311/956726/2392873/2449925/2450831/2871929/C77-55-10_-_Revised_Nuka_Report_-_Clean_-_Part_9_-_A4W1Q2.pdf?nodeid=2871805&vernum=-2 (accessed on 25 November 2022).
  19. Mio, A.; Bertagna, S.; Fermeglia, M. Multiscale modelling techniques in life cycle assessment: Application to nanostructured polymer systems in the maritime industry. Sustain. Mater. Technol. 2021, 29, e00327. [Google Scholar] [CrossRef]
  20. Infographics: How to Build an Offshore Oil Platform. Available online: https://www.offshore-energy.biz/infographics-how-to-build-an-offshore-oil-platform/ (accessed on 30 June 2022).
  21. Elginoz, N.; Bas, B. Life Cycle Assessment of a multi-use offshore platform: Combining wind and wave energy production. Ocean Eng. 2017, 145, 430–443. [Google Scholar] [CrossRef]
  22. Crivellari, A.; Bonvicini, S.; Cozzani, V. Multi-target Inherent Safety Indices for the Early Design of Offshore Oil&Gas Facilities. Process Saf. Environ. Prot. 2021, 148, 256–272. [Google Scholar] [CrossRef]
  23. Li, Y.; Hu, Z. Application of Hierarchical Analyst Domino Evaluation System (HADES) in offshore oil and gas facilities’ decommissioning: A case study. Ocean Eng. 2023, 272, 113741. [Google Scholar] [CrossRef]
  24. Melo, S.P.; Cerdas, F.; Herrmann, C. Life Cycle Engineering of future aircraft systems: The case of eVTOL vehicles. Procedia CIRP 2020, 90, 297–302. [Google Scholar] [CrossRef]
  25. Blanchard, B.S.; Fabrycky, W.J. Systems Engineering and Analysis (Prentice Hall International Series in Industrial & Systems Engineering); Prentice Hall: London, UK, 2010; p. 800. [Google Scholar]
  26. Vidal, P.C.J.; González, M.O.A.; Silva, D.R. Decommissioning of offshore oil and gas platforms: A systematic literature review of factors involved in the process. Ocean Eng. 2022, 255, 111428. [Google Scholar] [CrossRef]
  27. ISO/IEC TR 19760:2003. Systems Engineering—A Guide for the Application of ISO/IEC 15288 (System Life Cycle Processes). ISO: Geneva, Switzerland, 2008. Available online: https://www.iso.org/standard/33898.html (accessed on 25 November 2022).
  28. Wang, J.; Li, R.; Cai, C. Product-service system engineering characteristics design for life cycle cost based on constraint satisfaction problem and Bayesian network. Adv. Eng. Inform. 2022, 52, 101573. [Google Scholar] [CrossRef]
  29. Mennenga, M.; Cerdas, F.; Herrmann, C. Exploring the Opportunities of System of Systems Engineering to Complement Sustainable Manufacturing and Life Cycle Engineering. Procedia CIRP 2018, 80, 637–642. [Google Scholar] [CrossRef]
  30. Kumar, R.; Gardoni, P. Renewal theory-based life-cycle analysis of deteriorating engineering systems. Struct. Saf. 2014, 50, 94–102. [Google Scholar] [CrossRef]
  31. Flores, R.F.; Montoliu, C.M.P.; Bustamante, E.G. Life Cycle Engineering for Roads (LCE4ROADS), The New Sustainability Certification System for Roads from the LCE4ROADS FP7 Project. Transp. Res. Procedia 2016, 14, 896–905. [Google Scholar] [CrossRef]
  32. Smol, M.; Koneczna, R. Economic Indicators in Water and Wastewater Sector Contributing to a Circular Economy (CE). Resources 2021, 10, 129. [Google Scholar] [CrossRef]
  33. Hallack, L.N.; Szklo, A.S.; Júnior, A.O.P.; Schmidt, J. Curve-fitting variants to model Brazil’s crude oil offshore post-salt production. J. Pet. Sci. Eng. 2017, 159, 230–243. [Google Scholar] [CrossRef]
  34. Khayrutdinov, M.M.; Golik, V.I.; Aleksakhin, A.V.; Trushina, E.V.; Lazareva, N.V.; Aleksakhina, Y.V. Proposal of an Algorithm for Choice of a Development System for Operational and Environmental Safety in Mining. Resources 2022, 11, 88. [Google Scholar] [CrossRef]
  35. Dér, A.; Hingst, L.; Herrmann, C. A review of frameworks, methods and models for the evaluation and engineering of factory life cycles. Adv. Ind. Manuf. Eng. 2022, 4, 100083. [Google Scholar] [CrossRef]
  36. Main, C.E.; Ruhl, H.A.; Jones, D.O.B.; Yool, A.; Thornton, B.; Mayor, D.J. Hydrocarbon contamination affects deep-sea benthic oxygen uptake and microbial community composition. Deep Sea Res. Part I Oceanogr. Res. Pap. 2015, 100, 79–87. [Google Scholar] [CrossRef]
  37. Lei, G.; Stanko, M.; Silva, T.L. Formulations for automatic optimization of decommissioning timing in offshore oil and gas field development planning. Comput. Chem. Eng. 2022, 165, 107910. [Google Scholar] [CrossRef]
  38. Hardin, B.; McCool, D. BIM and Construction Management: Proven Tools, Methods, and Workflows, 2nd ed.; John Wiley & Sons: New York, NY, USA, 2015; p. 416. [Google Scholar]
  39. Didenko, N.I.; Klochkov, Y.S.; Skripnuk, D.F. Ecological Criteria for Comparing Linear and Circular Economies. Resources 2018, 7, 48. [Google Scholar] [CrossRef]
  40. ISO 14040:2006. Environmental Management—Life Cycle Assessment—Principles and Framework. IDT: Coralville, IA, USA; ISO: Geneva, Switzerland, 2006. Available online: https://www.iso.org/standard/37456.html (accessed on 27 November 2022).
  41. ISO/IEC 15288-2008. ISO/IEC/IEEE International Standard-Systems and Software Engineering System Life Cycle Processes. IEEE: Piscataway, NJ, USA; ISO: Geneva, Switzerland, 2008. Available online: https://ieeexplore.ieee.org/document/4475828 (accessed on 27 November 2022).
  42. Bull, A.S.; Love, M.S. Worldwide oil and gas platform decommissioning: A review of practices and reefing options. Marine Science Institute, University of California. Ocean Coastral Manag. 2019, 168, 274–306. [Google Scholar] [CrossRef]
  43. Decommissioning Methodology and Cost Evaluation. ICF Incorporated, LLC in Collaboration with the Bureau of Safety and Environmental Enforcement. Available online: https://www.bsee.gov/sites/bsee.gov/files/tap-technical-assessment-program/738aa.pdf (accessed on 4 November 2021).
  44. Fowler, A.M.; Macreadie, P.I.; Jones, D.O.B.; Booth, D.J. A multi-criteria decision approach to decommissioning of offshore oil and gas infrastructure. Ocean Coast. Manag. 2014, 87, 20–29. [Google Scholar] [CrossRef]
  45. Holbrook, S.J.; Ambrose, R.F.; Botsford, L.; Carr, M.H.; Raimondi, P.T.; Tegner, M.J. Ecological Issues Related to Decommissioning of California’s Offshore Production Platforms; A Report to the University of California Marine Council by the Select Scientific Advisory Committee on Decommissioning; University of California: Los Angeles, CA, USA, 2000; Available online: https://www.coastalresearchcenter.ucsb.edu/cmi/files/decommreport.pdf (accessed on 25 October 2022).
  46. Schroeder, D.M.; Love, M.S. Ecological and political issues surrounding decommissioning of off- shore oil facilities in the Southern California Bight. Ocean Coast. Manag. 2004, 47, 21–48. [Google Scholar] [CrossRef]
  47. Osmundsen, P.; Tveterås, R. Decommissioning of petroleum installations—Major policy issues. Energy Policy 2003, 31, 1579–1588. [Google Scholar] [CrossRef]
  48. Helvey, M. Are southern California oil and gas platforms essential fish habitat? ICES J. Mar. Sci. 2002, 59, S266–S271. [Google Scholar] [CrossRef]
  49. Love, M.S.; Schroeder, D.M.; Nishimoto, M.M. The Ecological Role of Oil and Gas Production Platforms and Natural Outcrops on Fishes in Southern and Central California: A Synthesis of Information; U.S. Department of the Interior, United States Geological Survey, Biological Resources Division: Washington, DC, USA, 2003. [Google Scholar]
  50. Mora, F. The use of ecological integrity indicators within the natural capital index framework: The ecological and economic value of the remnant natural capital of México. J. Nat. Conserv. 2019, 47, 77–92. [Google Scholar] [CrossRef]
  51. Bull, A.S.; Love, M.S.; Schroeder, D.M. Artificial reefs as fishery conservation tools: Contrasting the roles of offshore structures between the Gulf of Mexico and the Southern California Bight. Am. Fish. Soc. Symp. 2008, 49, 899–915. [Google Scholar]
  52. Bell, N.; Smith, J. Coral growing on North Sea oil rigs. Nature 1999, 402, 601–602. [Google Scholar] [CrossRef]
  53. Carlisle, J.G.; Turner, C.H.; Ebert, E.E. Artificial habitat in the marine environment. Calif. Dep. Fish Game Fish Bull 1964, 124, 93. [Google Scholar]
  54. Whomersley, P.; Picken, G.B. Long-term dynamics of fouling communities found on offshore installations in the North Sea. J. Mar. Biol. Assoc. UK 2003, 83, 897–901. [Google Scholar] [CrossRef]
  55. Pickering, H.; Whitmarsh, D. Artificial reefs and fisheries exploitation: A review of the ‘attraction versus production’ debate, the influence of design and its significance for policy. Fish. Res. 1997, 31, 39–59. [Google Scholar] [CrossRef]
  56. Løkkeborg, S.; Humborstad, O.-B.; Jørgensen, T.; Soldal, A.V. Spatio-temporal variations in gillnet catch rates in the vicinity of North Sea oil platforms. ICES J. Mar. Sci. 2002, 59, 294–299. [Google Scholar] [CrossRef]
  57. Macreadie, P.I.; Fowler, A.M.; Booth, D.J. Will the deep sea benefit from the addition of artificial habitat through the rigs-to-reef program? Front. Ecol. Environ. 2011, 9, 455–461. [Google Scholar] [CrossRef]
  58. Saaty, T.L. The Analytic Hierarchy Process: Planning, Priority Setting, Resource Allocation; McGraw-Hill Press: New York, NY, USA, 1980; 287p, ISBN 0-07-054371-2. [Google Scholar]
Figure 1. Schematic representation of the types of offshore oil and gas platforms. Types of offshore oil and gas platforms: 1, 2—stationary platforms; 3—stationary platform on a truss supporting structure and with braces; 4, 5—platform with stretched supports (floating base with tension vertical anchorage); 6—platform type SPAR; 7, 8—semisubmersible oil drilling platforms; 9—FSPO (Floating Production, Storage, and Offloading Vessel); 10—well completed with subsea wellhead equipment [9].
Figure 1. Schematic representation of the types of offshore oil and gas platforms. Types of offshore oil and gas platforms: 1, 2—stationary platforms; 3—stationary platform on a truss supporting structure and with braces; 4, 5—platform with stretched supports (floating base with tension vertical anchorage); 6—platform type SPAR; 7, 8—semisubmersible oil drilling platforms; 9—FSPO (Floating Production, Storage, and Offloading Vessel); 10—well completed with subsea wellhead equipment [9].
Resources 12 00086 g001
Figure 2. A cyclic procedure for the systematic use of an offshore oil and gas platform life cycle model that is developed, refined, and used at all stages of the platform life cycle.
Figure 2. A cyclic procedure for the systematic use of an offshore oil and gas platform life cycle model that is developed, refined, and used at all stages of the platform life cycle.
Resources 12 00086 g002
Figure 3. The structure of the generalized architecture of the digital model of the life cycle of an offshore oil and gas platform.
Figure 3. The structure of the generalized architecture of the digital model of the life cycle of an offshore oil and gas platform.
Resources 12 00086 g003
Figure 4. Stage of design and construction of a platform displayed as an alternative graph.
Figure 4. Stage of design and construction of a platform displayed as an alternative graph.
Resources 12 00086 g004
Figure 5. The relationship between life cycle cost and life cycle duration and scientific and technological level of the digital model of the life cycle of an offshore oil and gas platform: on the ordinate axis—the costs of creating a variant of the life cycle of an offshore oil and gas platform, monetary units; on the abscissa axis—the duration of creating a variant of the life cycle of an offshore oil and gas platform, years.
Figure 5. The relationship between life cycle cost and life cycle duration and scientific and technological level of the digital model of the life cycle of an offshore oil and gas platform: on the ordinate axis—the costs of creating a variant of the life cycle of an offshore oil and gas platform, monetary units; on the abscissa axis—the duration of creating a variant of the life cycle of an offshore oil and gas platform, years.
Resources 12 00086 g005
Figure 6. Alternative structure of the life cycle of an offshore oil and gas platform under risk conditions.
Figure 6. Alternative structure of the life cycle of an offshore oil and gas platform under risk conditions.
Resources 12 00086 g006
Disclaimer/Publisher’s Note: The statements, opinions and data contained in all publications are solely those of the individual author(s) and contributor(s) and not of MDPI and/or the editor(s). MDPI and/or the editor(s) disclaim responsibility for any injury to people or property resulting from any ideas, methods, instructions or products referred to in the content.

Share and Cite

MDPI and ACS Style

Didenko, N.; Skripnuk, D.; Merkulov, V.; Kikkas, K.N.; Skripniuk, K. Methodology for the Formation of a Digital Model of the Life Cycle of an Offshore Oil and Gas Platform. Resources 2023, 12, 86. https://doi.org/10.3390/resources12080086

AMA Style

Didenko N, Skripnuk D, Merkulov V, Kikkas KN, Skripniuk K. Methodology for the Formation of a Digital Model of the Life Cycle of an Offshore Oil and Gas Platform. Resources. 2023; 12(8):86. https://doi.org/10.3390/resources12080086

Chicago/Turabian Style

Didenko, Nikolay, Djamilia Skripnuk, Viktor Merkulov, Kseniia N. Kikkas, and Konstantin Skripniuk. 2023. "Methodology for the Formation of a Digital Model of the Life Cycle of an Offshore Oil and Gas Platform" Resources 12, no. 8: 86. https://doi.org/10.3390/resources12080086

APA Style

Didenko, N., Skripnuk, D., Merkulov, V., Kikkas, K. N., & Skripniuk, K. (2023). Methodology for the Formation of a Digital Model of the Life Cycle of an Offshore Oil and Gas Platform. Resources, 12(8), 86. https://doi.org/10.3390/resources12080086

Note that from the first issue of 2016, this journal uses article numbers instead of page numbers. See further details here.

Article Metrics

Back to TopTop