Application of Systems-Approach in Modelling Complex City-Scale Transdisciplinary Knowledge Co-Production Process and Learning Patterns for Climate Resilience
Abstract
1. Introduction
1.1. Systems-Approach
1.2. Background and Context
- What city-region decision pathways can be identified for the uptake of increasingly detailed and complex climate information?
- How can the city decision makers leverage a multi-stakeholder participatory approach to mainstream climate information or science in policy and city development decision-making processes (and sub-questions: What are the first crucial steps for a successful transdisciplinary climate knowledge co-production; how can trust be inculcated among the partners)?
- What is the structure or form of the city regions’ water supply system and its associated regional dependencies?
- How does Blantyre City account for and deal with uncertainty in its medium-term decision-making or how can the city account for and deal with uncertainty, specifically relating to climate information, in its medium-term decision-making?
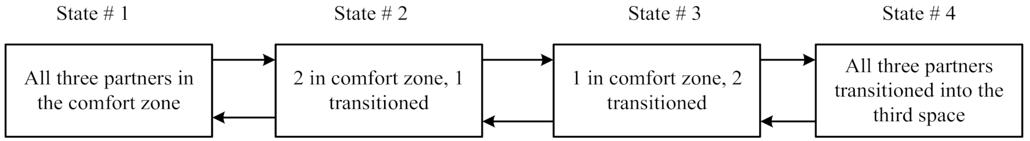
- How can the transitional behaviour from the disciplinary comfort-zone to third-space be modelled and simulated?
- How can the learnings be sustained and adapted to the best practices from the knowledge co-produced?
2. Materials and Methods
2.1. Overview of the Methodological Approach
- Systems approaches for Technical Complexity: Consisting of Hard Systems Thinking;
- Systems approaches for Process Complexity, e.g., the Vanguard Method;
- Systems approaches for Structural Complexity: Consisting of System Dynamics;
- Systems approaches for Organizational Complexity, namely: Socio-technical Systems Thinking, Organizational Cybernetics, and the Variable Systems Model;
- Systems approaches for People Complexity, which are often presented as Strategic Assumption Surfacing and Testing, Interactive Planning (aimed at tackling subjectivity), and Soft Systems Methodology; and
- Systems approaches for Coercive Complexity, which comprise Team Syntegrity and Critical Systems Heuristics; aimed at helping the disadvantaged in situations of conflict.
2.2. Systems Concept: Application to Decision Processes
2.3. Contextualization
2.4. Conceptual Framework for Transitional Behaviour Modelling
2.5. Case Study Lessons
2.5.1. Think-Tanks
2.5.2. Learning Labs and Seminar Series
- (1)
- City-region decision pathways for the uptake of increasingly detailed climate information;
- (2)
- City accountability for dealing with uncertainty, specifically relating to climate information, in its medium-term decision-making;
- (3)
- Decision-making processes in relation to water and climate change;
- (4)
- Governance response discourses of Blantyre City Council decision makers;
- (5)
- Collaboration around climate change information and decision-making; and
- (6)
- Principles for transformational climate change leadership.
2.5.3. Learning Labs and City Exchanges
2.5.4. Seminar Series on Climate Risk Narratives
2.6. State-Space Transitional Matrix Formulation, Assumptions, and Parameters
2.6.1. Transitional Matrix Formulation Using Markov
2.6.2. Assumptions and Parameters
3. Results and Discussion
3.1. Crucial First Steps for the Success of Transdisciplinary Co-Production
3.2. Trust and Relationship Building
3.3. Analysis and Ranking of Plausibility of Decisions
3.4. Simulation of the Third-Space Transitional Learning Behaviour
3.5. The Third-Space Legacy: Challenges and Opportunities
3.6. Sustaining the Learnings
- (1)
- Deepen and seek to institutionalize existing unearthed/engaged/initiated relationships and partnerships, so that they are not solely based on personal relationships;
- (2)
- Expand to stakeholders not engaged with regularly, e.g., the private sector, communities/civil society;
- (3)
- Enable better coordination and collaboration between local and national government; and
- (4)
- Establish a regional footprint of knowledge sharing between cities.
- (1)
- City-specific dialogues on climate change relevant to Blantyre with regard to up-scaling the climate risk narratives (see, e.g., Section 2.5.4);
- (2)
- City-specific dialogues on climate change relevant to Blantyre with respect to the waste-to-energy value chain; and
- (3)
- Developing sustainable decision pathways for mainstreaming climate resilience strategies into policies.
3.7. Synthesis of the Systems-Approach to Co-Production
- The situational analysis, mess-mapping, and stakeholder mapping ensure that emergent matters are flashed out and considered when developing and refining research questions, establishing the context and designing effective engagements, thereby making it holistic;
- The co-production process is clearly illustrated, making it possible for other researchers to replicate the learning process, thus making it systematic;
- The systemic nature of the co-production process is portrayed by how various aspects feed into the core knowledge production system, including feedback and feed forward.
- The risk-based component is incorporated in the form of the process of identifying challenges, since these pose a risk to the success of the co-production process;
- By advocating for tackling of issues that cut down on cost and time, namely: paying attention to the initial first steps at the study planning phase and taking a shared approach (through transdisciplinary co-production in Learning Labs), the method ensures that the process is optimal; and
- Sustainability is guaranteed through the documentation of specific actions and transferable practices and networks developed for a possible up-scalability of learnings, as well as the incorporation of mentorship mechanisms in the form of the Early Career Researchers (ECRs) and Embedded Researchers (ERs).
4. Conclusions and Recommendations
Author Contributions
Funding
Data Availability Statement
Conflicts of Interest
References
- Kirchhoff, C.; Lemos, C.M.; Dessai, S. Actionable knowledge for environmental decision making: Broadening the usability of climate science. Annu. Rev. Environ. Resour. 2013, 38, 393–414. [Google Scholar] [CrossRef]
- Muñoz-Erickson, T. Coproduction of knowledge-action systems in urban sustainable governance: The KASA approach. Environ. Sci. Policy 2014, 37, 182–191. [Google Scholar] [CrossRef]
- Meadow, A.; Ferguson, D.; Guido, Z.; Horangic, A.; Owen, G. Moving toward the Deliberate Coproduction of Climate Science Knowledge. Am Meteorol. Soc. 2015, 7, 179–191. [Google Scholar] [CrossRef]
- Briley, L.; Brown, D.; Kalafatis, S. Overcoming barriers during the co-production of climate information for decision-making. Clim. Risk Manag. 2015, 9, 41–49. [Google Scholar] [CrossRef]
- Lemos, M.; Moorehouse, B. The co-production of science and policy in integrated climate assessments. Glob. Environ. Chang. 2005, 15, 57–68. [Google Scholar] [CrossRef]
- Skyttner, L. General Systems Theory: Problems, Perspective, Practice; World Scientific: Singapore, 2006. [Google Scholar]
- Mkandawire, B.; Ijumba, N.; Whitehead, H. Asset Management Optimisation through Integrated Systems Thinking and N-1 Contingency Capability for Refurbishment. IEEE Syst. J. 2011, 5, 321–331. [Google Scholar] [CrossRef]
- Mkandawire, B.; Ijumba, N.; Saha, A. Component Risk Trending Based on Systems Thinking Incorporating Markov and Weibull Inferences. IEEE Syst. J. 2014, 9, 1185–1196. [Google Scholar] [CrossRef]
- ESCOM. Electricity Supply Corporation of Malawi (ESCOM) Limited. 2017. Available online: http://www.escom.mw/rainfall-effect-waterlevels.php (accessed on 16 September 2020).
- UN-HABITAT. Malawi Blantyre Urban Profile. Nairobi: UN-HABITAT. 2011. Available online: https://unhabitat.org/sites/default/files/download-manager-files/Malawi%20Blantyre%20Urban%20Profile.pdf (accessed on 20 December 2020).
- Kambewa, P.; Mataya, B.; Sichinga, W.; Johnson, T. Charcoal: The Reality-A Study of Charcoal Consumption, Trade and Production in Malawi; Small and Medium Forestry Enterprise Series No. 21; Russell Press: London, UK, 2007. [Google Scholar]
- World Press. WorldPress.com. 2020. Available online: https://agnesmizere80.files.wordpress.com/2016/04/long-live-kamuzu.jpg (accessed on 22 December 2020).
- Future Climate for Africa. 2020. Available online: www.futureclimateafrica (accessed on 14 December 2020).
- Carbone, G.; Dow, K. Water resources and drought forecasts in South Carolina. J. Am. Water Resour. Assoc. 2005, 41, 145–155. [Google Scholar] [CrossRef]
- Anderson, P.; Brown-Luthango, M.; Cartwright, A.; Smit, W. Brokering communities of knowledge and practice: Reflections on the African Centre for Cities’ CityLab programme. Cities 2013, 32, 1–10. [Google Scholar] [CrossRef]
- Biggs, S. Resource-Poor Farmer Participation in Research: A Synthesis of Experiences from Nine National Agricultural Research Systems; International Service for National Agricultural Research (ISNAR): The Hague, The Netherlands, 1989. [Google Scholar]
- Yin, R. Case Study Research: Design and Methods, 5th ed.; Sage Publications: Thousand Oaks, CA, USA, 2014. [Google Scholar]
- Sanders, M.; Lewis, P.; Thornhill, A. Research Methods for Business Students, 5th ed.; Pearson Education: London, UK, 2009. [Google Scholar]
- Knowles, M. The Modern Practice of Adult Education; Association Press: New York, NY, USA, 1970. [Google Scholar]
- Arrighi, J.; Koelle, B.; Coll Besa, M.; Spires, M.; Kavonic, J.; Scott, D.; Kadihasanoglu, A.; Bharwani, S.; Jack, C. Dialogue for Decision-Making: Unpacking the ‘City Learning Lab’ Approach. Cape Town: FRACTAL. 2016. Available online: www.fractal.org.za/wp-content/uploads/2017/03/RCCC-FRACTAL_wps-7-City-Learning-Lab-V4.pdf (accessed on 9 September 2020).
- Jackson, M. Critical Systems Thinking and the Management of Complexity; John Willy & Sons Ltd.: Chichester, UK, 2019. [Google Scholar]
- Bolton, J.; Allen, P.M.; Bowman, C. Embracing Complexity: Strategic Perspectives for an Age of Turbulence; Oxford University Press: Oxford, UK, 2015. [Google Scholar]
- Dooley, K. Complexity Science Models of Organizational Change and Innovation. In Handbook of Organizational Change and Innovation; Poole, M.S., Van de Ven, A., Eds.; Oxford University Press: Oxford, UK, 2004. [Google Scholar]
- Senge, P. The Fifth Discipline: The Art & Practice of the Learning Organization; Century Business: London, UK, 1993. [Google Scholar]
- Williams, B.; Hummerlbrinner, R. Systems Concept in Action: A Practitioner’s Toolkit; Stanford University Press: Stanford, CA, USA, 2011. [Google Scholar]
- General System Theory. Available online: https://www.sciencedirect.com/topics/computer-science/general-system-theory (accessed on 22 November 2020).
- Bammer, G.; Scholar, F.N.C. Embedding Critical Systems Thinking in the Academy. 2003. Available online: http://citeseerx.ist.psu.edu/viewdoc/download?doi=10.1.1.737.5436&rep=rep1&type=pdf (accessed on 22 December 2020).
- Jackson, M. Critical systems thinking and practice. Eur. J. Oper. Res. 2001, 128, 233–244. [Google Scholar] [CrossRef]
- Fillieule, R. System: Social. In International Encyclopedia of the Social and Behavioral Science; Smelser, N.J., Baltes, P.B., Eds.; Elsevier: Amsterdam, The Netherlands, 2001; pp. 15418–15423. [Google Scholar]
- Zhang, H.; Dai, H.; Lai, H.; Wang, W.U.S. withdrawal from the Paris Agreement: Reasons, impacts, and China’s response. Adv. Clim. Chang. Res. 2017, 8, 220–225. [Google Scholar] [CrossRef]
- The National Sanitation Policy; Ministry of Irrigation and Water Development: Lilongwe, Malawi, 2006.
- The National Water Policy; Ministry of Irrigation and Water Development: Lilongwe, Malawi, 2005.
- The National Environment Policy; Ministry of Natural Resources and Environmental Affairs: Lilongwe, Malawi, 2004.
- Ministry of Lands, Housing and Surveys; Ministry of Lands, Housing and Surveys: Lilongwe, Malawi, 2002.
- Malawi Economic Growth Strategy; Ministry of Economic Planning and Development: Lilongwe, Malawi, 2003.
- Malawi National Transport Master Plan—Urban Transport Sub-Sectoral Plan; Ministry of Transport and Public Works: Lilongwe, Malawi, 2019.
- The National Agricultural Policy; Ministry of Agriculture and Food Security: Lilongwe, Malawi, 2010.
- Food Security Policy; Ministry of Agriculture and Food Security: Lilongwe, Malawi, 2006.
- National Disaster Risk Management Act of Parliament; Office of the Vice President: Lilongwe, Malawi, 2015.
- Town & Country Planning Act of Parliament; Ministry of Lands, Housing and Urban Development: Lilongwe, Malawi, 2016.
- Local Government Amendment Act of Parliament; Ministry of Local Government: Lilongwe, Malawi, 2017.
- National Gender Policy; Government of Malawi: Lilongwe, Malawi, 2015.
- Mkandawire, B.; Ijumba, N.; Saha, A. Transformer Risk Modelling by Stochastic Augmentation of Reliability-centred Maintenance. J. Electr. Power Syst. Res. 2015, 119, 471–477. [Google Scholar] [CrossRef]
- Wilson, D.C.; Velis, C.A. Waste Management-Still a Global Challenge in the 21st Century: An Evidence-Based Call for Action; Waste Management and Research: London, UK, 2015; Volume 33. [Google Scholar] [CrossRef]
- Arias-Maldonado, M. Rethinking sustainability in the Anthropocene. Environ. Politics 2013, 22, 428–446. [Google Scholar] [CrossRef]
- Tyler, S.; Moench, M. A framework for urban climate resilience. Clim. Dev. 2012, 4, 311–326. [Google Scholar] [CrossRef]
- National Statistics Office. Malawi Population Projections 2008–2030; National Statistics Office: Zomba, Malawi, 2008.
- Magombo, P.; Kosamu, I. Challenges of water accessibility in the urban centres of Malawi: A case of Blantyre city. Afr. J. Environ. Sci. Technol. 2016, 10, 380–385. [Google Scholar] [CrossRef]
- Millenium Challenge Account. Concept Paper for the Energy Sector: Public Private Partnerships on Electricity Generation for Rural Areas; Millennium Challenge Account Malawi Country Office: Lilongwe, Malawi, 2011.
- Mzuza, M.; Chapola, L.; Kapute, F.; Chikopa, I.; Gondwe, J. Analysis of Impact of Aquatic Weeds in the Shire River on Generation of Electricity in Malawi: A Case of Nkula Falls Hydro Electric Power Station in Mwanza District, Southern Malawi. Int. J. Geosciences 2015, 6, 1–11. [Google Scholar] [CrossRef]
- McGee, B.; Richardson, V.; Johnson, G.; Thornton, A.; Johnson, C.; Yadrick, K.; Ndirangu, M.; Goolsby, S.; Watkins, D.; Simpson, P.M.; et al. Perceptions of Factors Influencing Healthful Food Consumption Behavior in the Lower Mississippi Delta. J. Nutr. Educ. Behav. 2008, 40, 102–109. [Google Scholar] [CrossRef] [PubMed]
- Norbert, S.; Daphna, D. Asking Questions about Behavior: Cognition, Communication, and Questionnaire Construction. Am. J. Eval. 2001, 22, 127–160. [Google Scholar]
- Pollock, A.; Coffman, J.; Lopez, M.E. Using Behavior Change Theory to Communicate Effectively. The case of Latino Parent Involvement. Eval. Exch. 2002, 8, 2–3. [Google Scholar]
- Abdelnour, Z. Economic Warfare: Secrets of Wealth Creation in the Age of Welfare Politics; John Wiley & Sons Inc.: Hoboken, NJ, USA, 2011. [Google Scholar]
| 1 | The local government in Malawi consists of 28 administrative districts which are divided into 35 councils, whereas, the national government comprises the line ministry, the Ministry of Local Government. The Local Government Act 1998 (amended in 2017) provides the governance structure for both the local and national government. |















Publisher’s Note: MDPI stays neutral with regard to jurisdictional claims in published maps and institutional affiliations. |
© 2021 by the authors. Licensee MDPI, Basel, Switzerland. This article is an open access article distributed under the terms and conditions of the Creative Commons Attribution (CC BY) license (http://creativecommons.org/licenses/by/4.0/).
Share and Cite
Mkandawire, B.; Thole, B.; Mamiwa, D.; Mlowa, T.; McClure, A.; Kavonic, J.; Jack, C. Application of Systems-Approach in Modelling Complex City-Scale Transdisciplinary Knowledge Co-Production Process and Learning Patterns for Climate Resilience. Systems 2021, 9, 7. https://doi.org/10.3390/systems9010007
Mkandawire B, Thole B, Mamiwa D, Mlowa T, McClure A, Kavonic J, Jack C. Application of Systems-Approach in Modelling Complex City-Scale Transdisciplinary Knowledge Co-Production Process and Learning Patterns for Climate Resilience. Systems. 2021; 9(1):7. https://doi.org/10.3390/systems9010007
Chicago/Turabian StyleMkandawire, Burnet, Bernard Thole, Dereck Mamiwa, Tawina Mlowa, Alice McClure, Jessica Kavonic, and Christopher Jack. 2021. "Application of Systems-Approach in Modelling Complex City-Scale Transdisciplinary Knowledge Co-Production Process and Learning Patterns for Climate Resilience" Systems 9, no. 1: 7. https://doi.org/10.3390/systems9010007
APA StyleMkandawire, B., Thole, B., Mamiwa, D., Mlowa, T., McClure, A., Kavonic, J., & Jack, C. (2021). Application of Systems-Approach in Modelling Complex City-Scale Transdisciplinary Knowledge Co-Production Process and Learning Patterns for Climate Resilience. Systems, 9(1), 7. https://doi.org/10.3390/systems9010007

