Next Article in Journal
How Does the Digitalization Strategy Affect Bank Efficiency in Industry 4.0? A Bibliometric Analysis
Previous Article in Journal
An Inspiration Recommendation System for Automotive Styling Design Based on User Behavior Data and Group Preferences
Previous Article in Special Issue
AI-Enabled Multi-Mode Electronic Information Innovation Practice Teaching Reform Prediction and Exploration in Application-Oriented Universities
 
 
Font Type:
Arial Georgia Verdana
Font Size:
Aa Aa Aa
Line Spacing:
Column Width:
Background:
Article

Improving Elementary Students’ Geometric Understanding Through Augmented Reality and Its Performance Evaluation

by
Wernhuar Tarng
,
Jen-Kai Huang
and
Kuo-Liang Ou
*
Institute of Learning Sciences and Technologies, National Tsing Hua University, Hsinchu 300044, Taiwan
*
Author to whom correspondence should be addressed.
Systems 2024, 12(11), 493; https://doi.org/10.3390/systems12110493
Submission received: 14 October 2024 / Revised: 7 November 2024 / Accepted: 13 November 2024 / Published: 15 November 2024
(This article belongs to the Special Issue Information Systems: Discipline, Critical Research and Education)

Abstract

Augmented reality (AR) technology provides context-aware experiences by overlaying digital information onto the real world to enhance learning effectiveness and reduce cognitive load. This study aimed to develop an AR Mobile Learning System (ARMLS) to address the limitations of traditional teaching materials and help elementary-school students learn geometric concepts. The ARMLS was designed based on the fifth-grade mathematics curriculum, covering topics such as definitions, geometric properties, different views of prisms and pyramids, and their relationships. A teaching experiment was conducted to compare students’ learning achievement, motivation, and cognitive load when using the ARMLS versus traditional teaching materials. This study adopted a quasi-experimental design, where four fifth-grade classes were selected from an elementary school in northern Taiwan as experimental subjects. A total of 66 students participated in the experiment, divided into two groups: 32 students from two classes as the experimental group (using the ARMLS) and 34 students from the other two classes as the control group (using traditional teaching materials). In the teaching experiment, data were collected through pre-tests, post-tests, and questionnaires. Achievement tests assessed learning effectiveness, while learning motivation and cognitive load were measured with standardized scales. System satisfaction was evaluated using a questionnaire. The Johnson–Neyman method determined the regions of significance in the analysis of covariance. Independent-sample t-tests evaluated differences in learning motivation and cognitive load between the groups, and descriptive statistics summarized system satisfaction responses. The results indicated that (1) the ARMLS enhanced the learning achievement among low- and moderate-achieving students, (2) there was no significant difference in learning motivation between the two groups, (3) the ARMLS helped reduce students’ cognitive load, and (4) most students expressed satisfaction with the ARMLS according to the questionnaire results. The ARMLS enhances engagement and deepens understanding by making abstract geometry topics more accessible. It effectively overcomes the limitations of traditional teaching materials, providing elementary students with an interactive, hands-on approach to learning geometric concepts.

1. Introduction

Learning geometry is essential for children’s cognitive development of spatial abilities. Clements and Battista [1] noted in their study that geometry offers an effective way to interpret and reflect on the physical environment, while also serving as a tool for learning other mathematical or scientific concepts. Learning geometry is recognized as an effective activity for improving visual–spatial cognition, which profoundly impacts the development of crucial abilities and skills in many STEM fields [2].
In elementary geometry instruction, the lower and middle grades primarily focus on plane geometry, emphasizing the understanding and manipulation of geometric shapes. In the upper grades, the focus shifts to solid geometry, with prisms and pyramids as the primary content, which focuses on calculating and reasoning about geometric quantities through the segmentation and manipulation of shapes, aiming to develop visual–spatial cognitive skills by observing solid geometric forms. However, the process of transforming a two-dimensional view into a three-dimensional form through imagination may be challenging for students at this stage, leading to misconceptions when they struggle to effectively and correctly connect different representations [3].
Although traditional teaching materials and tools, such as geometric blocks, aim to help students overcome challenges with form conversion, they are often inconvenient to carry and store. Moreover, these teaching tools can be difficult to visualize effectively and often require extensive time for assembly and preparation before being used in educational activities. The additional tasks not only increase students’ cognitive load but also reduce the available time for instructional activities within the curriculum.
Advancements in augmented reality (AR) technology are revolutionizing the way geometry is taught and learned, offering new pathways for interactive and immersive education. AR overlays virtual elements on the real world, allowing students to manipulate and examine geometric shapes in three-dimensional (3D) space. This hands-on experience can enhance spatial understanding and reduce the cognitive load associated with abstract visualization, which has traditionally been a barrier in geometry education. A study by Atit et al. [4] found that spatial skills and motivation interact to significantly predict students’ mathematics performance, suggesting that AR can bridge the gap between theoretical and practical understanding of geometric concepts.
One of the specific advantages of AR in geometry education is its ability to provide real-time feedback, which is crucial for fostering deeper comprehension. AR platforms can instantly respond to students’ actions—such as rotating, resizing, or dissecting 3D shapes—allowing learners to quickly grasp concepts like congruency, symmetry, and transformations. For instance, studies demonstrate the effectiveness of integrating spatial visualization tools in mathematics education to enhance spatial reasoning skills and mathematics understanding [5]. This interactive feedback loop encourages active exploration, which is highly beneficial for conceptual learning in mathematics.
Moreover, AR can create collaborative learning environments where students interact with both virtual and physical elements in shared spaces, promoting peer learning. For example, an AR-enabled classroom can allow students to work on the same geometric models from different angles, fostering discussions and collaborative problem solving. This aspect of AR was highlighted by Nadzeri et al. [6], who observed that students engaged in AR-based group activities demonstrated improved spatial visualization skills for geometry compared to the control group. As AR technology continues to advance, it holds the potential to make geometry learning more accessible, engaging, and effective, creating lasting benefits in mathematical education.
This study aimed to develop an AR Mobile Learning System (ARMLS) that combines virtual and real elements to provide a more effective tool for learning geometric concepts. The ARMLS operates on mobile devices and incorporates AR cards, worksheets, and textbooks to overcome the limitations of traditional teaching materials while enhancing the portability of teaching tools. This study explores the impact of using the ARMLS to teach elementary geometry on students’ learning achievement, learning motivation, cognitive load, and technology acceptance. The research results can also be used to improve the system. The research questions for the above objectives are listed as follows:
  • Learning Achievement: What differences in learning achievement are observed among elementary students using the ARMLS for geometry instruction compared to those using traditional teaching materials?
  • Learning Motivation: How does the use of the ARMLS impact students’ learning motivation relative to the motivation levels observed in students using conventional teaching methods?
  • Cognitive Load: What variations in cognitive load are reported by students when engaging with the ARMLS versus traditional instructional strategies during geometry lessons?
  • Technology Acceptance: To what extent do students accept and endorse the technology of the ARMLS after experiencing it as a learning tool for geometry, and how does this acceptance relate to their overall learning experience?

2. Literature Review

This section presents a literature review covering topics related to this study, including augmented reality in education, the development of geometric concepts, cognitive load theory, and learning motivation. The aim of this review is to situate the current study within the broader context of the existing literature, linking it to established findings and identifying areas for investigation.

2.1. Augmented Reality in Education

Augmented reality is a technology that provides context-aware experiences by overlaying digital information onto the real world through image recognition or location identification. This allows for seamless integration and real-time interaction between virtual and real worlds with the goal of enhancing user engagement and motivation.
According to the definition proposed by Azuma [7], augmented reality consists of three elements: (1) the combination of real and virtual worlds, (2) real-time interactivity, and (3) registration in three-dimensional space. Milgram and Kishino [8] conceptualized augmented reality as a continuum between the real and virtual worlds, with both ends being real and virtual environments, to represent distinct but interconnected aspects of the user experience. The closest concept to the virtual environment is augmented virtuality (AV), while the closest to the real environment is augmented reality. The combination of AR and AV is referred to as mixed reality (MR).
With the development of immersive technologies, AR has been applied across various fields. It is an emerging technology in education, healthcare, architecture, industrial training, etc., allowing for virtual information to be placed in the user’s surroundings to enhance perception of and interaction with the real world [9]. Sung et al. [10] utilized AR technology to develop an educational tool for learning chemistry, where students could observe virtual molecular structures by scanning AR cards and interacting with the tool through rotation, translation, and zooming operations, allowing them to visualize 3D potassium channels and reinforce biochemical concepts of macromolecular structures. Fidan and Tuncel [11] designed an AR system to help students understand the concepts of mass and friction through interactive manipulation, and the results showed that their learning achievements and attitudes were significantly improved. Augmented reality provides students with more manipulative experiences and visual feedback through superimposition of and interaction with virtual objects and digital information, helping them construct mathematical and scientific concepts.
Recent investigation revealed that the application of augmented reality in mathematics education has received considerable attention in recent years [12]. Teaching geometry remains a significant focus within educational research, and many studies have shown that augmented reality can effectively enhance students’ learning achievement and motivation [13]. Additional studies have shown that using augmented reality to assist the learning of geometric concepts can also enhance computational thinking and visualization [14]. The new generation of AR systems provides smoother and more realistic experiences with interactive and pedagogical features by incorporating gamification elements [15], creating more opportunities for the application of AR in learning geometric concepts.

2.2. Development of Geometric Concepts

In Taiwan, the planning of geometry curricula in elementary schools is closely related to the theory of geometric cognitive development proposed by Van Hiele [16]. In fact, it is the most frequently utilized theoretical foundation in curriculum design and pedagogy within the realm of geometry education globally. The theory emphasizes that the development of students’ geometric concepts is a cognitive process from concrete to abstract and from visual senses to mental thinking, which is further subdivided into five levels: visualization, analysis, abstraction, deduction, and rigor.
Based on the above theoretical framework, Van de Walle [17] explained the relationship between the five levels of geometric cognitive development. He believed that the cognitive development of geometry is sequential and hierarchical, like climbing a staircase, where each step is the foundation of the next one. Before moving to the next level of development, students must fully master the knowledge and skills of the current level. In addition, each level has its own “symbolic language” and “context”, which cannot be skipped or omitted. This is why a lot of students may encounter bottlenecks if the sequential and hierarchical process of cognitive development is not followed.
In summary, the key aspects of teaching geometry involve tailoring learning activities to match students’ cognitive development at various stages by introducing geometric concepts using symbolic language and relatable contexts they can understand. For example, fifth-grade students typically operate at the cognitive levels of visualization and analysis. Therefore, teachers can facilitate learning by planning categorization activities according to geometric properties or by providing opportunities for students to explore geometric elements using AR technology. These approaches will help students develop their cognitive abilities and construct comprehensive geometric concepts.

2.3. Cognitive Load Theory

The development of cognitive load theory originated from the research field of cognitive psychology, which believes that the human memory system consists of long-term memory, sensory memory, and working memory [18]. Working memory is like a computer’s random-access memory, which has a limited capacity but plays a vital role in making decisions. Meanwhile, some researchers have pointed out that messages need to be processed by working memory before they are converted into long-term memory for storage [19]. When the working memory is overloaded, this causes an extraneous cognitive load, hindering the conversion of information into long-term memory.
Cognitive load can be categorized into intrinsic cognitive load, extraneous cognitive load, and germane cognitive load [20]. Teachers can reduce students’ extraneous cognitive load through effective instructional design and by adjusting teaching materials, such as incorporating AR tools to help students comprehend abstract geometric concepts. They can connect students’ prior experiences and introduce appropriate challenges to reduce intrinsic load and increase germane load, ultimately leading to more effective learning. By carefully managing these types of cognitive load, educators can create a more efficient learning environment that promotes deeper understanding.
While the terms “mental load” and “cognitive load” are sometimes used interchangeably, cognitive load is not seen as a unidimensional construct based solely on task-induced affordances. It also includes the effort learners assign to task processing [21]. The experienced mental load and invested mental effort are often measured using subjective rating scales during a learning process [22,23]. In this study, mental load and mental effort scales were used to compare the cognitive load of students when learning elementary geometry through ARMLS and traditional teaching materials.

2.4. Learning Motivation Theory

Learning motivation theory suggests that individuals are driven to engage in learning activities by various intrinsic and extrinsic factors. One prominent theory in this field is Self-Determination Theory (SDT), proposed by the psychologists Ryan and Deci [24]. SDT posits that motivation is influenced by three innate psychological needs: autonomy, competence, and relatedness. According to SDT, when these needs are fulfilled, individuals are more likely to be intrinsically motivated and demonstrate higher levels of engagement and persistence in learning tasks. In this study, several factors can influence elementary-school students’ motivation in learning geometry:
  • Relevance: Students are more motivated when they perceive the subject matter as relevant to their lives or future goals. Therefore, making connections between geometric concepts and real-world applications can enhance motivation.
  • Engagement: Interactive and hands-on learning experiences, such as using manipulatives, can increase student engagement and motivation.
  • Challenge: Providing tasks that are appropriately challenging, but not overwhelming, can foster intrinsic motivation by promoting a sense of accomplishment and mastery.
  • Feedback: Timely and constructive feedback on students’ progress and performance can enhance motivation by helping them track their growth.
  • Interest: Presenting geometry topics in an engaging and captivating manner through multimedia presentations can boost motivation by sparking students’ curiosity.
Instructors can design learning experiences to enhance motivation and engagement in elementary geometry education. Augmented reality provides unique opportunities to enhance students’ motivation in learning geometry through immersive and interactive experiences, allowing them to visualize abstract geometric concepts in a tangible and intuitive way by overlaying virtual objects onto the real world.
Rossano et al. [13] developed an AR application, aiming to improve understanding and motivation to support elementary-school students in learning solid geometry. Chao and Chang [25] used augmented reality to enhance and engage students in learning geometry, with research results showing that the interactive AR model effectively enhanced students’ understanding of volume and 3D composition. Elsayed and Al-Najrani [26] discovered that augmented reality can enhance students’ motivation by creating a fun and interactive learning environment to arouse their interest.
The above studies provide valuable insights into the potential benefits and challenges of integrating AR into geometry education, paving the way for future research and innovation in this field. Educators can harness the power of augmented reality to significantly enhance students’ motivation and engagement in learning geometry. By providing immersive, interactive, and personalized learning experiences, augmented reality can make abstract geometric concepts more tangible and comprehensible. This approach not only captures students’ interest but also fosters a deeper understanding and appreciation for geometry, leading to improved educational outcomes. Thus, this study integrated AR technology to create an effective learning environment that motivates and inspires students in their exploration of geometric concepts while reducing cognitive load.

3. The AR Mobile Learning System

This study utilized augmented reality technology to develop the AR Mobile Learning System (ARMLS) to assist elementary-school students in learning geometric concepts. To ensure that the ARMLS is both innovative and practical, the researchers conducted a requirements analysis prior to its development. Through this analysis, three limitations of traditional teaching materials were identified:
  • Limited Interactivity: Traditional teaching materials often lack interactivity, providing only static representations that fail to engage students in the learning process.
  • Portability Issues: Traditional teaching materials, such as textbooks, physical models, and geometric blocks, are cumbersome to transport, hindering flexibility in various teaching and learning environments.
  • Cognitive Load: Traditional teaching materials may overwhelm students’ cognitive capacity, especially when complex concepts are presented in abstract or static formats, leading to difficulties in comprehension and retention.
To enhance learning achievement and reduce cognitive load, the ARMLS integrates AR technology with elementary geometry, allowing for swift navigation between different views of geometric shapes via touchscreen interaction. Additionally, users can manipulate 3D shapes through gestures such as rotation and zooming on mobile devices. Learners can observe the components of various solid geometric shapes, such as vertices, surfaces, and edges, without spending additional time crafting teaching tools. The VR system also eliminates the drawbacks associated with assembling paper attachments, thereby streamlining the learning process. Teachers can also share their screens as needed for safer and more efficient presentations. As a result, the ARMLS addresses the shortcomings of traditional teaching materials, which are difficult to manipulate and lack somatosensory interaction. When using the ARMLS for learning geometry, it meets students’ demands for convenience and practicality, resulting in an enhanced learning experience.

3.1. System Development

The ARMLS was developed using Unity 3D, a cross-platform game engine. The user interface was first built with Unity 3D 2021.3.4, and the Vuforia Engine 10.12 AR Kit was used for geometric object recognition and spatial tracking (Figure 1), enabling the interactive functions of the ARMLS. The 3D models, animations, and AR cards were created using Cinema 4D and Adobe Illustrator (see Appendix A and Appendix B) and integrated with Visual Studio 2019 for C# programming to support interactive functionality. Upon completion, the ARMLS project was exported as an Android Package (APK) file and installed on mobile devices, such as tablets and smartphones, running Android Oreo or later versions. The ARMLS utilizes marker-based AR technology, which employs specific markers or QR codes as trigger switches. When a user’s mobile device detects these markers, it displays the corresponding virtual content on the screen, providing augmented information and creating an interactive learning experience. For instance, by scanning an AR card featuring a plane geometric shape using a tablet, the ARMLS will display the associated 3D prism or pyramid on the screen. Users can adjust the viewing direction by pressing a button or zoom in/out using touch gestures. The content of the ARMLS is further described in the following section.

3.2. System Framework

The framework of the ARMLS is shown in Figure 2, consisting of three types of pages: the learning page, the observation page, and the quiz page. The learning page introduces the basic concepts of prisms and pyramids, including their composition and naming rules. It helps learners identify the constituent elements of a solid shape, such as the base, side faces, edges, and vertices, to ensure smooth observation and accurate manipulation in subsequent learning activities. The observation page allows learners to scan AR cards, observe the elements of a prism or pyramid interactively, and record their results in worksheets. Finally, the quiz page contains five questions about prisms and pyramids, covering naming rules, constituent elements, and visual concepts. This provides learners with an opportunity for conceptual review and self-assessment.
Taking the prism as an example, after clicking the “Prism” button on the main page, the user is directed to the learning page (Figure 3) to study its geometric properties and naming rules, as well as concepts of the base, sides, vertices, and edges. Clicking the button in the upper left corner returns to the main page; the button in the lower right corner moves to the next page; and the button in the upper right corner exits the system. After entering the operation page, users can scan an AR card to observe the corresponding geometric shape on the screen.
During the interactive operation, they can use buttons to switch between the unfolded figure, the perspective figure, the skeleton figure, and the animation display. Users can rotate and scale the geometric shape using touch gestures to observe its constituent elements and record their observations in worksheets (Figure 4). Teachers can also enable the function for counting vertices in the skeleton figure based on instructional needs. When a vertex is touched, its color changes, and the number of vertices already counted is increased and displayed on the screen (Figure 5).
After completing the learning and observation tasks, users can return to the main page and click the “Quiz” button to enter the quiz page (Figure 6). Before starting the quiz, they must first read the test instructions. After each question is answered, the system checks its correctness and displays the response page. However, the correct answers and detailed explanations will not be provided; users must revisit the learning or observation page to find the correct answer and then return to the quiz page to try again. Upon completing all questions, the system displays the reward page, showing the number of correct answers and corresponding trophies earned. Once the test is finished, users can click the “Exit” button to leave the system.

4. Research Method

In this study, four fifth-grade classes from two elementary schools in Taichung and Taoyuan cities, Taiwan, were selected as research subjects. A total of 66 students participated in the teaching experiment, divided into two groups, each consisting of two classes. The experimental group, comprising 32 students, learned geometric concepts using the ARMLS, while the control group, comprising 34 students, learned the same concepts using traditional teaching materials (Figure 7). All students had prior knowledge of plane geometry before the experiment, the procedure for which is described as follows. In this study, the data were gathered through pre-tests, post-tests, questionnaires, and interviews. The pre-tests and post-tests assessed learning achievement, while the questionnaires measured learning motivation, cognitive load, and system satisfaction. Selected students were also interviewed after the experiment to gain more detailed feedback on their experience with the augmented reality system.
This study employed a quasi-experimental design, with the research variables illustrated in Figure 8. Students were divided into experimental and control groups, learning through the ARMLS and traditional teaching materials, respectively. The independent variable was the teaching method, affecting the dependent variables: learning achievement, learning motivation, and cognitive load. Control variables included learning content, learning time, and the instructor, which helped ensure that differences in results were due to the teaching method rather than other factors. This structured approach provided clear insights into the AR system’s educational impact and potential for future instructional design. The data were then analyzed using SPSS 28.0 statistical software, with the Johnson–Neyman method accounting for learning achievement, and independent-sample t-tests comparing motivation and cognitive load between groups.

4.1. Teaching Experiment

In the teaching experiment, both the experimental and control groups completed a pre-test (20 min) before engaging in the learning activities, which included: (1) classification of plane geometric shapes (10 min); (2) instructions on perspective, skeleton, and unfolded figures of solid geometric shapes (20 min); and (3) instructions on the elements and relationships of solid geometric shapes (30 min). After that, both groups completed the post-test and filled out the cognitive load and motivation scales as well as the system satisfaction questionnaire (40 min). During the teaching activities, the experimental group utilized worksheets, tablets (with the ARMLS), and AR card-based attachments for learning. In contrast, the control group used worksheets, geometric blocks, and textbook attachments. For both groups, the teacher played a central role in imparting knowledge through lectures and demonstrations (Figure 9).

4.2. Research Instruments

The research instruments used in this study included worksheets, learning achievement tests on elementary geometry, scales for measuring learning motivation and cognitive load, and a system satisfaction questionnaire, all of which are described below.
  • Worksheets
During the cognitive process, comprehension and analysis are essential for developing geometric concepts. The worksheets for classroom activities were designed to assist students in recording the elements of geometric shapes after observation and deducing the relationships between geometric properties through guided questions. Two copies of the worksheets were provided: one for prisms and the other for pyramids.
  • Learning Achievement Test
The learning achievement test was designed to assess students’ comprehension of solid geometric shapes. To ensure the reliability and validity of the test items, the researchers invited two elementary-school teachers to collaborate on their design, ensuring the content was suitable for fifth-grade students. The achievement test (see Appendix C) was divided into two parts: a pre-test and a post-test, each primarily consisting of multiple-choice questions and filler items with slight variations in numbers and shapes. Additionally, a few questions required participants to draw representations of geometric shapes. Both tests were scored out of 100, with higher scores indicating a better understanding of the geometric concepts related to prisms and pyramids.
  • Learning Motivation Scale
In this study, the scale of learning motivation was adapted from the research instrument used by Wang and Chen [27]. This scale was initially developed by Pintrich et al. [28]. It was revised as a five-point Likert scale comprising six questions, three related to “intrinsic motivation” and three related to “extrinsic motivation” (see Appendix D). The scale has good internal consistency. In the scoring section, “strongly agree” is rated 5 points and “strongly disagree” is rated 1 point, with a total score of 30 points. The higher the score, the higher the students’ learning motivation.
  • Cognitive Load Scale
In this study, the cognitive load scale was designed to explore the differences in cognitive load between the experimental and control groups after using different teaching materials for learning. The scale was adapted from the research instrument developed by Hwang et al. [29] based on the findings of Sweller et al. [30]. Originally a six-point Likert scale, it was adjusted to a five-point scale after consultation with experts in the field. The scale includes five questions related to “mental load” and three questions pertaining to “mental effort” (see Appendix E). In the scoring system, “strongly agree” is rated 5 points and “strongly disagree” is rated 1 point, resulting in a total score of 40 points. A higher score indicates a greater cognitive load experienced by the students.
The scales for learning motivation and cognitive load were combined into a questionnaire consisting of 14 checkbox questions and 3 short-answer questions. The checkbox questions aimed to identify differences in learning motivation and cognitive load between the experimental and control groups after utilizing different teaching materials for learning geometry. Meanwhile, the short-answer questions sought to capture students’ perspectives on challenging concepts, teaching methods, and overall impressions, providing valuable qualitative data for more in-depth analysis.
  • System Satisfaction Questionnaire
The system satisfaction questionnaire was designed to explore students’ attitudes in the experimental group after using the ARMLS to learn geometric concepts. Adapted from the research instrument of Hwang et al. [29], the questionnaire was initially designed as a six-point Likert scale and revised to a five-point scale in this study, following consultations with experts in the field. The questionnaire consists of 13 checkbox items, including 6 questions on “usefulness” and 7 questions on “ease of use”, as well as 3 short-answer questions. In the scoring section, “strongly agree” is assigned 5 points and “strongly disagree” is assigned 1 point, resulting in a total score of 65 points. A higher score indicates greater satisfaction with the ARMLS.
To ensure the reliability and validity of the research instruments, Cronbach’s alpha was used to assess internal consistency across all scales. The alpha values indicate how closely related the items within each scale are, with values above 0.70 generally reflecting acceptable reliability. In this study, the learning motivation scale and cognitive load scale reported Cronbach’s alpha values of 0.79 and 0.85, respectively, supporting their high reliability. In addition, a higher alpha value for the system satisfaction questionnaire (0.94) suggests strong internal consistency, meaning that items within each scale reliably measure the same construct. These measures provide confidence that the instruments used are consistent and well-suited to assess the intended outcomes.

5. Data Analysis

This section presents the analysis results and discusses the findings from the teaching experiment, comparing students’ learning achievement, motivation, and cognitive load in both groups after learning geometric concepts using different materials. Additionally, it addresses the satisfaction of the experimental group with the ARMLS.

5.1. Learning Achievement

To compare the learning achievement of the two groups, this study first analyzed their pre-test scores to ensure that both groups had similar background knowledge. Table 1 shows the means and standard deviations of the pre-test scores as 48.06 and 27.54 for the experimental group and 51.68 and 30.16 for the control group. The pre-test results indicate that the control group performed slightly better than the experimental group, and the scores in the control group were more widely dispersed.
An independent-sample t-test was conducted to determine if there was a significant difference in the pre-test scores between the two groups. As shown in the above table, Levene’s test for the homogeneity of variances was not significant (F = 0.311, p = 0.567 > 0.05), indicating no significant difference in variance between the two groups. The t-test results (t = −0.507, p = 0.614) also show no significant difference in the pre-test scores. Therefore, both groups had similar background knowledge prior to the teaching experiment.
The researchers analyzed the post-test scores to assess the impact of different teaching methods on students’ learning achievement. Table 2 shows that the experimental group had a mean score of 78.25 with a standard deviation of 18.43, while the control group had a mean score of 68.59 with a standard deviation of 30.61. These results indicate that the experimental group performed better than the control group after learning, and their score distribution was more concentrated.
To further compare the learning effectiveness between the two groups, a one-way analysis of covariance (ANCOVA) was conducted with pre-test scores as the covariate, teaching methods as the independent variable, and post-test scores as the dependent variable. Before performing the ANCOVA, it was necessary to check the homogeneity of within-group regression coefficients to ensure that the relationship between the covariates and the dependent variable was consistent across groups. However, as shown in Table 3, the interaction between groups and pre-test scores reached statistical significance (F = 13.73, p < 0.05), leading to the rejection of the null hypothesis. This indicates that the effect of the covariate on post-test scores differed across groups. These differences may be attributed to variations in the progress of underachieving students in each group.
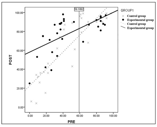
The above results showed that regression equations between the covariates and dependent variables had different regression coefficients within each group, which could have led to inaccuracies in the results of intergroup comparisons. Therefore, it was not appropriate to proceed with the analysis of covariance. Following the approach outlined by D’Alonzo [31], the analysis of covariance was replaced with the Johnson–Neyman method, the results of which are summarized in Table 4 and illustrated in Figure 10.
According to the above results, when students’ pre-test scores were lower than 59.19, there was a significant difference in learning achievement between the experimental and control groups. However, for students with pre-test scores higher than 59.19, no significant difference was observed between the two groups. This suggests that students with moderate to low initial achievement showed significant progress when different teaching methods were applied. In contrast, students with higher initial achievement exhibited no significant differences, likely due to limited room for improvement. As shown in Figure 11, lower-achieving students in the experimental group, who used the ARMLS for learning, performed better in the post-test compared to their counterparts in the control group, who used traditional teaching materials.
There was no significant difference in learning achievement among high-achieving students between the two groups. This result aligns with the findings of Ibáñez et al. [12], who used augmented reality to teach volume in public and private schools in Mexico. Their study showed that augmented reality was more effective in improving the learning achievement of public-school students, who were generally low- and moderate-achieving, but less effective for private-school students, who were typically high-achieving. Ibáñez et al. suggested that future research could explore this phenomenon with larger sample sizes and more diverse research designs. The above findings can be summarized as follows: When learning geometric concepts related to prisms and pyramids, the ARMLS provided greater scaffolding for low- and moderate-achieving students compared to traditional teaching materials. This support enhanced their ability to observe geometric properties, constructions, and relationships of prisms and pyramids, helping to break down learning barriers, reduce cognitive load, and improve learning achievement. This makes the ARMLS a suitable tool for teaching elementary geometry.

5.2. Learning Motivation

In this study, the researchers calculated the mean scores of the learning motivation scale for both groups and performed an independent-sample t-test to determine whether there was a significant difference between using the ARMLS and traditional teaching materials. Table 5 shows that the mean score and standard deviation for the experimental group were 20.09 and 7.47, respectively, while the control group had a mean score of 20.56 and a standard deviation of 4.72. Although the control group had a slightly higher mean score than the experimental group, its score distribution was more concentrated.
According to the above results, Levene’s test for homogeneity of variances reached a significant level (F = 9.092, p = 0.004 < 0.01), indicating a significant difference in variance between the two groups. Additionally, the independent-sample t-test results indicate no significant difference in learning motivation between the experimental and control groups (t = −0.304, p = 0.765 > 0.05), suggesting that the ARMLS did not enhance students’ learning motivation. It is inferred that the absence of gamification elements in the AR teaching materials led to a mismatch in students’ expectations, as reflected in the experimental group’s questionnaire responses. For example, Student A commented, “Make it like a Roblox game and integrate it into the curriculum”, while Student B remarked, “It would be more fun if the AR system were designed as a game!” These responses highlight the strong appeal of game-based learning for elementary students, especially when mobile devices are involved. Games can make learning more engaging and enjoyable, tapping into students’ curiosity and enthusiasm. Therefore, integrating gamification elements into the AR system could potentially increase students’ learning motivation.
The findings of this study indicate that the ARMLS did not significantly improve students’ learning motivation compared to traditional teaching methods. This suggests a potential mismatch between the expectations of students and the AR experience, particularly due to the absence of engaging gamification elements that could enhance overall student engagement. Previous research highlights the positive impact of gamified learning environments on motivation, especially among elementary students, as these features can foster a sense of enjoyment and curiosity [27,32]. Future versions of the ARMLS may consider integrating more game-like elements to better align with students’ interests and enhance their overall learning experience effectively.
The interactive features inherent in AR technology play a vital role in motivating students to engage with the learning materials. Feedback from students revealed a strong desire for more engaging and collaborative learning experiences, suggesting that the ARMLS might not fully utilize the interactive potential of augmented reality effectively. Studies have shown that active participation and interactive tasks are essential for boosting engagement and motivation [33]. By incorporating these interactive elements into the ARMLS, future iterations could not only significantly enhance motivation but also improve learning outcomes in complex subjects [34]. Additionally, fostering a more dynamic learning environment could significantly influence students’ attitudes toward learning and their ability to grasp challenging concepts and skills.

5.3. Cognitive Load

In this study, the researchers calculated the mean scores of the cognitive load scale for both groups and performed an independent-sample t-test to analyze whether there was a significant difference in students’ cognitive load between using the ARMLS and traditional teaching materials. Table 6 shows that the mean score and standard deviation for the experimental group were 12.94 and 5.82, respectively, while for the control group, they were 16.38 and 7.62. The results indicate that the experimental group had a lower mean score for cognitive load than the control group, with a more concentrated distribution. The results suggest that the experimental group experienced a lower and more consistent cognitive load during the learning process.
To further compare cognitive load between the two groups, this study conducted an independent-sample t-test. The above results show that Levene’s test for homogeneity of variances was not significant (F = 1.405, Sig > 0.05), indicating no significant difference in variance between the two groups. However, the t-test results reached a significant difference between the two groups (t = −2.119, p = 0.038 < 0.05). These results suggest that the ARMLS could reduce students’ cognitive load when learning geometric concepts, leading to better learning outcomes. This supports using AR tools in teaching complex concepts, which is common in mathematics and science education [10,11].
Augmented reality, with its ability to integrate real environments with digital information, offers a promising solution to the challenges faced by students who struggle to visualize and comprehend geometric concepts. Specifically, augmented reality can help students in visualizing the transformation of plane figures into solid shapes, thereby enhancing their understanding and facilitating a more effective learning process. VR technology helps students establish connections between various geometric representations, ultimately reducing cognitive load. For instance, Student C noted in the questionnaire response: “Originally, the marker on the AR cards was flat, but it transformed into a three-dimensional shape when I used the tablet (the ARMLS) to scan the cards. This made it easier to understand, and I didn’t need to memorize the content”. Similarly, Student D commented: “Using a tablet to observe prisms and pyramids is convenient, as the digital device allows for the rotation and unfolding of geometric shapes”.
The ARMLS’s functions enable users to visualize aspects that may not be obvious through conventional methods, helping their understanding of abstract concepts. Specifically, augmented reality provides learning experiences that exceed those provided by traditional teaching materials. This approach not only alleviates the challenges in learning but also transforms the process from memorization to the construction of sensory experiences. The results of this study highlight the significance of applying augmented reality in elementary geometry education. Using the AR system, teachers can explain abstract concepts to students in a more intuitive and interactive manner.

5.4. System Satisfaction

In this study, the researchers utilized a system satisfaction questionnaire to evaluate students’ acceptance of AR technology in learning geometry. Table 7 shows that the average system satisfaction score is 4.51 (SD = 0.78), which falls between “strongly agree” and “agree”, indicating that most students had positive experiences using the ARMLS. The mean score for the “usefulness” dimension is 4.49, suggesting that the ARMLS effectively provides learning content that aids students in acquiring geometric knowledge. Additionally, the mean score for the “ease of use” dimension is 4.53, demonstrating that the ARMLS interface is straightforward and easy to navigate, allowing most students to quickly learn how to operate it during learning activities.
It is noteworthy that the mean score for the third question, “I think the system makes my learning process smoother”, is 4.31, which is lower than the scores for the other questions. This suggests that students may not have been fully familiar with using mobile devices, as they had to simultaneously manage AR cards, worksheets, and tablets during learning activities. As a result, they may have felt rushed under time constraints. Conversely, the mean score for the sixth question, “I think the system is more effective than traditional teaching methods”, is the highest at 4.72. This aligns with the findings regarding learning achievement, indicating that the AR system is particularly effective for low- and moderate-achieving students. Overall, the ARMLS emphasizes simplicity, practicality, and easy operation, enabling students to engage with it effectively and enhance their experience in learning elementary geometry.

6. Discussion

The integration of the ARMLS into the geometry curriculum for elementary students has yielded significant insights regarding learning effectiveness, motivation, cognitive load, and system satisfaction, which are described as follows.
  • Learning Effectiveness
The findings indicate that the ARMLS significantly enhances learning achievement, particularly benefiting students with low to moderate performance levels. Statistical analyses reveal that the experimental group exhibited significant improvements in post-test scores compared to those using traditional teaching methods. This outcome is consistent with the literature [12], indicating that augmented reality can facilitate deeper learning by providing immersive and interactive experiences that make abstract concepts more tangible. For example, students were able to visualize geometric concepts like prisms and pyramids through dynamic representations, leading to improved comprehension and retention. This is particularly relevant in mathematics education, where visualization tools are crucial for understanding complex spatial relationships.
  • Learning Motivation
The ARMLS did not yield a significant increase in overall learning motivation, as evidenced by the independent-sample t-tests. While the system was perceived as effective, student feedback highlighted a desire for more engaging elements, such as gamification, to enhance their motivational levels. Many students expressed a preference for interactive, game-like features that align with their experiences in popular digital environments, suggesting a potential mismatch between their expectations and the system’s design. For instance, comments from students indicated that integrating gamified elements could enhance engagement and enjoyment during lessons. Research supports this notion, demonstrating that gamification can significantly increase student motivation and participation in educational activities. Thus, while the ARMLS is effective, incorporating gamification strategies may better align with students’ preferences and needs.
  • Cognitive Load
The ARMLS effectively reduced cognitive load compared to traditional teaching methods, with significant differences in cognitive load scores observed between the experimental and control groups. The interactive nature of the AR technology allows students to manipulate and visualize geometric shapes, which can enhance their understanding while alleviating the mental effort required to memorize abstract concepts [29]. This reduction in cognitive load is particularly crucial in subjects like mathematics and science, where students often struggle with conceptualizing and retaining complex information. Feedback from students revealed that visualizing transformations of 2D shapes into 3D forms using AR helped them grasp these concepts more easily, thus enabling them to focus on understanding rather than simply recalling information. This aligns with cognitive load theory, which posits that minimizing extraneous cognitive load allows for greater capacity for germane cognitive processing, ultimately fostering deeper learning [21].
  • System Satisfaction
The system satisfaction questionnaire results indicated a high level of student satisfaction with the ARMLS, particularly in terms of its effectiveness compared to traditional teaching methods. Students acknowledged the AR system’s ability to enhance their understanding of geometric concepts and facilitate more engaging learning experiences. However, it is noteworthy that the mean score for the question regarding the system’s ability to streamline the learning process was lower than anticipated. This suggests that some students encountered challenges in managing multiple tools, such as AR cards, worksheets, and tablets, simultaneously during learning activities. Many students expressed feeling rushed due to time constraints, which may have hindered their overall learning experience. This reflects a need for improved user interface design to accommodate the learning context. While students generally appreciated the AR system’s potential, enhancing usability could significantly improve their satisfaction and the overall effectiveness of the ARMLS.
In summary, while the ARMLS proves to be an effective tool for enhancing learning achievement and reducing cognitive load among elementary students, particularly those with lower initial performance, further enhancements are needed to optimize motivation and system usability. Future research should explore incorporating gamification elements and improving the system’s interface to better meet the diverse needs and preferences of students. Additionally, examining long-term effects of AR integration on student learning outcomes could provide valuable insights for educational practice and policy in geometry instruction. Overall, the findings highlight the potential of augmented reality as a transformative tool in elementary geometry education, capable of facilitating deeper understanding and engagement in learners.
The AR technology used in this study may create a technical threshold that impacts students’ engagement and learning outcomes. Students with limited experience in handling digital tools might struggle initially, increasing cognitive load and detracting from the intended educational benefits. Teachers may face a learning curve when incorporating AR into lesson plans if they lack training or confidence with new technologies. This could lead to inconsistent implementation, affecting experimental results and the technology’s perceived effectiveness. To address these challenges, future studies should focus on simplifying AR interfaces and enhancing user-friendliness, enabling students and teachers to focus more on content and less on technical operations. Integrating straightforward tutorials, intuitive controls, and resources for troubleshooting could empower teachers to independently manage AR resources in classrooms. Additionally, offering training sessions and instructional support could help bridge the technical gap, making AR applications more accessible and practical in educational settings.

7. Conclusions and Suggestions

This study developed an AR Mobile Learning System (ARMLS) to address the limitations of traditional teaching materials and assist elementary-school students in learning geometric concepts. The system is aligned with the fifth-grade mathematics curriculum, covering topics such as definitions, geometric properties, various views of prisms and pyramids, and their relationships. A teaching experiment was conducted to compare students’ learning achievement, learning motivation, and cognitive load between those using the ARMLS and those using traditional teaching materials.

7.1. Conclusions

This section addresses the research questions outlined in Section 1, formulated based on the study’s objectives. Drawing on the statistical analysis of the experimental results, the researchers’ interpretation of the learning activities, and feedback from the student questionnaire, the following conclusions are presented:
  • The ARMLS can significantly enhance the learning achievements of low- and moderate-achieving students in elementary geometry education.
The analysis results indicate a significant difference in progress for low- and moderate-achieving students between the two groups, with those using the ARMLS showing greater improvement compared to those using traditional teaching materials. This suggests that the ARMLS provides more effective scaffolding for low- and moderate-achieving students, enabling them to better observe geometric properties, constructions, and relationships of prisms and pyramids. As a result, the VR system helps reduce learning obstacles for underachieving students and enhances their learning achievements.
  • There is no significant difference in learning motivation between using the ARMLS and using traditional teaching materials for learning geometric concepts.
The results of the statistical analysis reveal no significant difference in learning motivation between the two groups, meaning that the ARMLS could not enhance students’ learning motivation when compared to traditional teaching materials. Based on the results of previous studies and the feedback from the experimental group, it is inferred that the lack of gamification elements and the serious content of teaching materials might be the reasons for the discrepancy in students’ expectations.
  • The ARMLS can significantly reduce students’ cognitive load.
The analysis results show a significant difference in cognitive load between the two groups, indicating that the ARMLS effectively reduces cognitive load when learning geometric concepts, leading to better learning outcomes. Previous studies and student feedback suggest that augmented reality provides context-aware learning experiences to help students connect different representations of geometric shapes effectively, which results in higher learning achievement compared to traditional teaching materials.
  • Students had high satisfaction after using the ARMLS for learning geometry.
The descriptive statistics analysis indicates that overall satisfaction with the ARMLS fell between “strongly agree” and “agree”, suggesting that the students had a positive experience using the system. High satisfaction in the areas of “usefulness” and “ease of use” further suggests that the ARMLS provides more effective content for helping students acquire geometric knowledge compared to traditional teaching materials and that most students were able to quickly learn how to operate it with ease.

7.2. Limitations and Insights for Future Research

This study has some limitations that may affect the generalizability and interpretation of the findings. First, the duration of the teaching experiment was relatively short, such that it might not have captured the full, long-term effects of using AR on learning achievement, motivation, and cognitive load. Longer interventions could provide a more comprehensive view of how sustained use of AR influences these outcomes. Additionally, the study relied on a specific AR technology that may require a baseline level of technical skill. This might pose challenges for students and teachers who lack experience with digital tools. The technical threshold could affect both engagement and learning effectiveness, introducing variability in results based on participants’ prior familiarity with AR technology.
Future research could address these limitations by implementing extended study periods to observe the long-term impact of AR in educational settings. Furthermore, exploring ways to simplify AR interfaces and incorporating training sessions for both students and teachers could make AR tools more accessible and reduce technical barriers. Investigating AR applications with varying levels of interactivity and gamification elements may also reveal how these features influence learning motivation, particularly for younger or digitally unskilled students. Suggestions are provided below for improving the ARMLS and instructional design, as well as directions for future research, which can serve as a reference for those interested in applying augmented reality in related fields.
  • Suggestions for subsequent system improvements
System improvements could include adding gamification elements, such as level design, peer competition or collaboration, story plots, and reward mechanisms, to enhance student engagement and motivation in learning elementary geometry. Additionally, the compatibility and adaptability of the VR application could be further optimized to ensure smoother functionality and a more seamless user experience.
  • Suggestions for instructional design
For instructional design, future efforts should focus on concepts that are difficult for students to grasp. It is important to maximize the system’s potential by designing scaffolds that support learning. Additionally, exploring effective tools to enhance students’ understanding and encourage independent exploration is crucial. This approach allows them to uncover the relationships between principles and geometric concepts, rather than simply awaiting answers from their teachers. When implementing cooperative learning in small groups, it is essential to plan the distribution of learning tasks carefully to prevent unequal division of labor. Teachers should also intervene as necessary to ensure that all group members actively engage in cooperative learning activities.

7.3. Future Works

The related studies in the literature review show that using augmented reality in teaching geometric concepts has positive effects and can help students understand abstract and complex concepts. However, most researchers focused their studies on elementary-school applications. Therefore, future research can be established upon the existing foundation of this study by integrating augmented reality with advanced geometry in high-school curricula. A longitudinal tracking study could be conducted to assess long-term effects of augmented reality on students’ learning outcomes over time. In the future, researchers may also focus on exploring the specific effects of augmented reality and its influences on learning geometry, for example, the impact of teachers’ roles, instructional strategies, and AR designs on students’ learning achievement. In addition, increasing the sample size and conducting long-term studies could provide a more comprehensive assessment in learning geometry. The related studies in the literature review indicate that using augmented reality in teaching geometry yields positive effects and helps students grasp abstract and complex concepts.
To gain a comprehensive understanding of the long-term educational benefits of the AR system, future research could consider extending the duration of interventions. The short duration of the current study may have limited its ability to observe sustained changes in learning outcomes, such as retention and skill transfer, both of which are critical for evaluating educational tools. A longer-term study would allow researchers to examine if the AR system consistently aids in reducing cognitive load and sustaining motivation over time, particularly as the novelty of the technology wears off. This extended approach would also reveal if the AR system’s enhancements in geometry learning could be adapted to other subjects, providing more robust insights into its effectiveness as a versatile educational resource.
The ARMLS offers diverse applications across various contexts, enhancing engagement and interactivity in learning. In educational settings, the ARMLS can transform traditional lessons by overlaying digital content onto the real world, allowing students to visualize complex concepts in subjects such as science, mathematics, and history. For instance, students can explore 3D models of molecular structures or historical events, making abstract ideas more tangible. In healthcare, the ARMLS can play a vital role in training medical professionals, offering simulations of surgical procedures or anatomical studies, which help in mastering practical skills. In corporate training, the ARMLS can facilitate immersive onboarding experiences, allowing employees to practice real-world scenarios in a safe environment. Additionally, in the tourism sector, the ARMLS can enhance visitor experiences by providing interactive information about landmarks and historical sites. Overall, the ARMLS serves as a versatile tool that can significantly enrich learning and training across multiple disciplines and industries.

Author Contributions

Investigation and formal analysis: J.-K.H.; methodology and investigation: K.-L.O.; methodology and writing—review and editing: W.T. All authors have read and agreed to the published version of the manuscript.

Funding

This research was funded by the National Science and Technology Council (NSTC), Taiwan, under the grant numbers 112-2410-H-007-043-MY2 and 113-2410-H-007-010-MY2.

Informed Consent Statement

Informed consent was obtained from all subjects involved in the study.

Data Availability Statement

Data are available on request due to restrictions.

Conflicts of Interest

The authors declare no conflicts of interest.

Appendix A. Three-Dimensional Models of Pyramids and Prisms

Systems 12 00493 i021
Systems 12 00493 i022
Systems 12 00493 i023

Appendix B. AR Cards of Pyramids and Prisms

Systems 12 00493 i024

Appendix C. Achievement Test

I. Multiple-Choice Questions (2 points per question, 14 points in total)
1. What is the base shape of a pentagonal pyramid?
(A) Pentagon (B) Square (C) Rectangle (D) Triangle
2. What is the shape of the sides of a triangular prism?
(A) Circle
(B) Rectangle
(C) Triangle
(D) Equilateral triangle
3. The following is a polyhedron. It is formed by
(A) a combination of a heptagon and 7 triangles.Systems 12 00493 i001
(B) a combination of an octagon and 8 rectangles.
(C) a combination of a hexagon and 7 triangles.
(D) a combination of an octagon and 8 triangles.
4. The total number of vertices and faces in the hexagonal prism is:
(A) 20Systems 12 00493 i002
(B) 18
(C) 17
(D)12
5. How many vertices does a triangular pyramid have?Systems 12 00493 i003
(A) 1 (B) 2 (C) 3 (D) 4
6. The total number of vertices and faces in this shape is:
(A) 12 (B) 18 (C) 17 (D) 14
7. Regarding the new name for a regular hexagonal prism, which description is correct?
(A) A is the vertexSystems 12 00493 i004
(B) B is the face
(C) C is the vertex
(D) D is the edge
 
II. Multiple-Choice Questions (6 points in total)
1. Which of the following flat layouts of a 3D shape has a rectangular surface?
☐ Triangular prism
☐ Pentagonal prism
☐ Sphere
☐ Octagonal prism
 
III. Drawing Questions (2 points per question, 10 points in total)
1. What are the names of the following 3D shapes?
(1) (    )(2) (    )
Systems 12 00493 i005Systems 12 00493 i006
(3) (    )(4) (    )
Systems 12 00493 i007Systems 12 00493 i008
2. ( ) Which of the following descriptions about pyramids is correct? Fill in the blank with the correct answer:
(A) It has three triangular faces.Systems 12 00493 i009
(B) It has only one base.
(C) It consists of three triangles.
(D) Its faces are triangles.
 
IV. Multiple-Choice Questions (2 points per question, 12 points in total)
1. ( ) Which of the following polyhedral does not have a curved surface? Mark the correct answer.
(A) Triangular prism
(B) Triangular pyramid
(C) Cylinder
(D) Sphere
2. A polyhedron has 12 vertices and 20 faces. It has:
( ) edges
3. A decagonal prism has:
( ) faces
( ) edges
4. A hidden line that connects unseen vertices and faces is called a ( ) line.
5. A triangular prism has 18 vertices. It has:
( ) edges
( ) faces
V. Filler Questions (3 points per question, 30 points in total)
1. Complete the table below:
PropertiesSquare PrismPentagonal PyramidHexagonal PrismOctagonal Pyramid
1.Top/Bottom faces
2.No. of vertices
3.No. of faces
4.No. of edges
2. Choose the appropriate name for each shape. Place a checkmark (✓) in the correct box.
PropertiesSystems 12 00493 i010Systems 12 00493 i011Systems 12 00493 i012Systems 12 00493 i013Systems 12 00493 i014Systems 12 00493 i015
1.Has two congruent bases
2.Has only one base
3.Lateral faces are triangles
4.Base is circular
VI. Filler Questions (2 points per question, 20 points in total)
1. Linda is making the frame of a triangular prism (as shown in the diagram). She needs ( ) pieces of clay, 6 straws of 4 cm length, and ( ) straws of 6 cm length. The base of the prism is a triangle with each side measuring ( ) cm.
2. When the following net is folded into a cube, which faces will be opposite to each other?
(1) ( ) is opposite to ( )Systems 12 00493 i016
(2) ( ) is opposite to ( )
(3) ( ) is opposite to ( )
3. The number of sides of the shape below is ( ).4. (1) This shape is called a ( ).
(2) It has ( ) faces and is a ( ) shape.
Systems 12 00493 i017Systems 12 00493 i018
VII. Drawing and Sketching (2 points per question, 8 points in total)
1. Complete the drawing of the following shapes:
Systems 12 00493 i019Systems 12 00493 i020
2. Draw the followings of the triangular pyramid.
(1) Flat layout of a 3D shape(2) Perspective view

Appendix D. Learning Motivation Scale

Evaluation ItemsStrongly AgreeAgreeNormalDisagreeStrongly Disagree
Intrinsic Motivation
1.
In this learning activity, I preferred challenging materials because I can learn new things.
2.
In this learning activity, I preferred materials that arouse my curiosity, even if they were difficult.
3.
If possible, I would choose courses where I can learn, regardless of the grades.
Extrinsic Motivation
4.
Achieving good grades in this learning activity was the most satisfying thing for me.
5.
If possible, I hope to achieve better grades than most students in this activity.
6.
I want to perform well in this learning activity because showing my abilities to family, friends, teachers, or others is important to me.

Appendix E. Cognitive Load Scale

Evaluation ItemsStrongly AgreeAgreeNormalDisagreeStrongly Disagree
Mental Load
1.
The learning content in this activity was challenging for me.
2.
Answering the questions in this activity required significant effort from me.
3.
Answering the questions in this activity bothered me.
4.
Answering the questions in this activity frustrated me.
5.
There was not enough time for me to answer the questions in this activity.
Mental Effort
6.
The teaching style and materials in this activity were challenging for me.
7.
I had to put in much effort to accomplish the goals of this learning activity.
8.
It was difficult for me to understand or keep up with the teacher’s progress in this activity.

References

  1. Clements, D.H.; Battista, M.T. Geometry and Spatial Reasoning. In Handbook of Research on Mathematics Teaching and Learning; Macmillan Library Reference: New York, NY, USA, 1992; pp. 420–464. [Google Scholar]
  2. Wai, J.; Lubinski, D.; Benbow, C.P. Spatial Ability for STEM Domains: Aligning Over 50 Years of Cumulative Psychological Knowledge Solidifies Its Importance. J. Educ. Psychol. 2009, 101, 817–835. [Google Scholar] [CrossRef]
  3. Gutiérrez, A. Visualization in 3-Dimensional Geometry: In Search of a Framework. In Proceedings of the 20th International Conference for the Psychology of Mathematics Education, Valencia, Spain, 8–12 July 1996; Puig, L., Gutiérrez, A., Eds.; 1996; Volume 1, pp. 3–19. [Google Scholar]
  4. Atit, K.; Power, J.R.; Veurink, N.; Uttal, D.H.; Sorby, S.; Panther, G.; Msall, C.; Fiorella, L.; Carr, M. Examining the Role of Spatial Skills and Mathematics Motivation on Middle School Mathematics Achievement. Int. J. STEM Educ. 2020, 7, 38. [Google Scholar] [CrossRef]
  5. Medina Herrera, L.M.; Juárez Ordóñez, S.; Ruiz-Loza, S. Enhancing Mathematical Education with Spatial Visualization Tools. Front. Educ. 2024, 9, 1229126. [Google Scholar] [CrossRef]
  6. Nadzeri, M.B.; Musa, M.; Meng, C.; Ismail, I. The Effects of Augmented Reality Geometry Learning Applications on Spatial Visualization Ability for Primary School Pupils. Int. J. Interact. Mobile Technol. 2024, 18, 104–118. [Google Scholar] [CrossRef]
  7. Azuma, R. A Survey of Augmented Reality. Presence Teleoper. Virtual Environ. 1997, 6, 355–385. [Google Scholar] [CrossRef]
  8. Milgram, P.; Kishino, F. A Taxonomy of Mixed Reality Visual Displays. IEICE Trans. Inf. Syst. 1994, 77, 1321–1329. [Google Scholar]
  9. Lai, J.W.; Cheong, K.H. Adoption of Virtual and Augmented Reality for Mathematics Education: A Scoping Review. IEEE Access 2022, 10, 13693–13703. [Google Scholar] [CrossRef]
  10. Sung, R.-J.; Wilson, A.T.; Lo, S.M.; Crowl, L.M.; Nardi, J.; St. Clair, K.; Liu, J.M. BiochemAR: An Augmented Reality Educational Tool for Teaching Macromolecular Structure and Function. J. Chem. Educ. 2020, 97, 147–153. [Google Scholar] [CrossRef]
  11. Fidan, M.; Tuncel, M. Integrating Augmented Reality into Problem-Based Learning: The Effects on Learning Achievement and Attitude in Physics Education. Comput. Educ. 2019, 142, 103635. [Google Scholar] [CrossRef]
  12. Ibáñez, M.B.; Uriarte Portillo, A.; Zatarain Cabada, R.; Barrón, M.L. Impact of Augmented Reality Technology on Academic Achievement and Motivation of Students from Public and Private Mexican Schools: A Case Study in a Middle-School Geometry Course. Comput. Educ. 2020, 145, 103734. [Google Scholar] [CrossRef]
  13. Rossano, V.; Lanzilotti, R.; Cazzolla, A.; Roselli, T. Augmented Reality to Support Geometry Learning. IEEE Access 2020, 8, 107772–107780. [Google Scholar] [CrossRef]
  14. Abdul Hanid, M.; Mohamad Said, M.; Yahaya, N.; Abdullah, Z. Effects of Augmented Reality Application Integration with Computational Thinking in Geometry Topics. Educ. Inf. Technol. 2022, 27, 9485–9521. [Google Scholar] [CrossRef]
  15. Sunandar, N.; Rahmawati, A.W.; Buchori, A. Development of Game Education Basic Virtual Augmented Reality in Geometry Learning. Test Eng. Manag. 2020, 82, 1471–1479. Available online: https://eprints.upgris.ac.id/1034/1/4.pdf (accessed on 10 June 2024).
  16. Van Hiele, P.M. The Problem of Insight, in Connection with Schoolchildren’s Insight into the Subject of Geometry. (F. David, Trans.) English Summary of De Problematiek van het Inzicht Gedemonstreed van het Inzicht von Schoolkindren in Meetkundeleerstof. Ph.D. Thesis, University of Utrecht, Utrecht, The Netherlands, 1957. [Google Scholar]
  17. Van de Walle, J.A. Elementary and Middle School Mathematics: Teaching Developmentally, 5th ed.; Longman: New York, NY, USA, 2004. [Google Scholar]
  18. Granholm, E.; Asarnow, R.F.; Sarkin, A.J.; Dykes, K.L. Pupillary Responses Index Cognitive Resource Limitations. Psychophysiology 1996, 33, 457–461. [Google Scholar] [CrossRef]
  19. Cowan, N. What Are the Differences Between Long-Term, Short-Term, and Working Memory? Prog. Brain Res. 2008, 169, 323–338. [Google Scholar] [CrossRef]
  20. Sweller, J. Cognitive Load Theory. Psychol. Learn. Motiv. 2011, 55, 37–76. [Google Scholar] [CrossRef]
  21. Paas, F.G.W.C.; Van Merriënboer, J.J.G. Instructional Control of Cognitive Load in the Training of Complex Cognitive Tasks. Educ. Psychol. Rev. 1994, 6, 351–371. [Google Scholar] [CrossRef]
  22. Ayres, P.; Youssef, A. Investigating the Influence of Transitory Information and Motivation During Instructional Animations. In Proceedings of the 8th International Conference of the Learning Sciences; Kirschner, P.A., Prins, F., Jonker, V., Kanselaaer, G., Eds.; International Society of the Learning Sciences: Utrecht, The Netherlands, 2008; Volume 1, pp. 68–75. [Google Scholar]
  23. Schmeck, A.; Opfermann, M.; van Gog, T.; Paas, F.; Leutner, D. Measuring Cognitive Load with Subjective Rating Scales During Problem Solving: Differences Between Immediate and Delayed Ratings. Instr. Sci. 2015, 43, 93–114. [Google Scholar] [CrossRef]
  24. Ryan, R.M.; Deci, E.L. On Happiness and Human Potentials: A Review of Research on Hedonic and Eudaimonic Well-Being. Annu. Rev. Psychol. 2001, 52, 141–166. [Google Scholar] [CrossRef]
  25. Chao, W.H.; Chang, R.C. Using Augmented Reality to Enhance and Engage Students in Learning Mathematics. Adv. Soc. Sci. Res. J. 2018, 5, 5900. [Google Scholar] [CrossRef]
  26. Elsayed, S.A.; Al-Najrani, H.I. Effectiveness of Augmented Reality on Improving Visual Thinking in Mathematics and Academic Motivation for Middle School Students. Eurasia J. Math. Sci. Technol. Educ. 2021, 17, em1991. [Google Scholar] [CrossRef] [PubMed]
  27. Wang, L.C.; Chen, M.P. The Effects of Game Strategy and Preference-Matching on Flow Experience and Programming Performance in Game-Based Learning. Innov. Educ. Teach. Int. 2010, 47, 39–52. [Google Scholar] [CrossRef]
  28. Pintrich, P.R.; Smith, D.A.F.; Garcia, T.; McKeachie, W.J. Motivated Strategies for Learning Questionnaire (MSLQ): Manual. National Center for Research to Improve Postsecondary Teaching and Learning; 1991. Available online: https://files.eric.ed.gov/fulltext/ED338122.pdf (accessed on 10 June 2024).
  29. Hwang, G.J.; Yang, L.H.; Wang, S.Y. A Concept Map-Embedded Educational Computer Game for Improving Students’ Learning Performance in Natural Science Courses. Comput. Educ. 2013, 69, 121–130. [Google Scholar] [CrossRef]
  30. Sweller, J. Cognitive Load During Problem Solving: Effects on Learning. Cogn. Sci. 1988, 12, 257–285. [Google Scholar] [CrossRef]
  31. D’Alonzo, K.T. The Johnson-Neyman Procedure as an Alternative to ANCOVA. West. J. Nurs. Res. 2004, 26, 804–812. [Google Scholar] [CrossRef]
  32. Kapp, K.M. Gamification: Separating Fact from Fiction. TD Mag. 2012, 66, 24–30. [Google Scholar]
  33. Petrov, P.D.; Atanasova, T.V. The Effect of Augmented Reality on Students’ Learning Performance in Stem Education. Information 2020, 11, 209. [Google Scholar] [CrossRef]
  34. Deterding, S.; Dixon, D.; Khaled, R.; Nacke, L. From Game Design Elements to Gamefulness: Defining “Gamification”. In Proceedings of the 15th International Academic MindTrek Conference: Envisioning Future Media Environments; Association for Computing Machinery: New York, NY, USA, 2011; pp. 9–15. [Google Scholar]
Figure 1. Using Unity 3D and Vuforia Engine to develop the ARMLS.
Figure 1. Using Unity 3D and Vuforia Engine to develop the ARMLS.
Systems 12 00493 g001
Figure 2. The framework of the ARMLS for learning elementary geometry.
Figure 2. The framework of the ARMLS for learning elementary geometry.
Systems 12 00493 g002
Figure 3. The learning page of a prism in the ARMLS.
Figure 3. The learning page of a prism in the ARMLS.
Systems 12 00493 g003
Figure 4. The operation page of a prism in the ARMLS.
Figure 4. The operation page of a prism in the ARMLS.
Systems 12 00493 g004
Figure 5. The operation page of a pyramid in the ARMLS.
Figure 5. The operation page of a pyramid in the ARMLS.
Systems 12 00493 g005
Figure 6. The quiz page of the ARMLS.
Figure 6. The quiz page of the ARMLS.
Systems 12 00493 g006
Figure 7. The experimental group (left: using the ARMLS) and the control group (right: using traditional teaching materials).
Figure 7. The experimental group (left: using the ARMLS) and the control group (right: using traditional teaching materials).
Systems 12 00493 g007
Figure 8. Research variables of the quasi-experimental design.
Figure 8. Research variables of the quasi-experimental design.
Systems 12 00493 g008
Figure 9. Flowchart of the teaching experiment for both groups.
Figure 9. Flowchart of the teaching experiment for both groups.
Systems 12 00493 g009
Figure 10. Significant area in the results of the Johnson–Neyman method.
Figure 10. Significant area in the results of the Johnson–Neyman method.
Systems 12 00493 g010
Figure 11. Regression lines and distribution of pre-test and post-test scores.
Figure 11. Regression lines and distribution of pre-test and post-test scores.
Systems 12 00493 g011
Table 1. Means and standard deviations of the pre-test scores for the two groups.
Table 1. Means and standard deviations of the pre-test scores for the two groups.
GroupNMSDtpFSig
Experimental group3248.06/10027.54−0.5070.6140.3110.567
Control group3451.68/10030.16
Table 2. Descriptive statistics results of the post-test for the two groups.
Table 2. Descriptive statistics results of the post-test for the two groups.
GroupNMSDSEM
Experimental group3278.25/10018.433.26
Control group3468.59/10030.615.25
Table 3. Homogeneity test of the within-group regression coefficients.
Table 3. Homogeneity test of the within-group regression coefficients.
SourceType I Sum of SquaresDFMSFp
Group*Pre-test2948.9912948.9913.73 ***<0.001
Error13,318.8662214.82
Total397,33466
*** p < 0.001.
Table 4. Analysis results obtained by the Johnson–Neyman method.
Table 4. Analysis results obtained by the Johnson–Neyman method.
Pre-TestEffectSEtp
16.7227.715.554.99 ***<0.001
41.5015.993.764.25 ***<0.001
59.197.633.812.000.050
85.28−4.715.81−0.8100.421
*** p < 0.001.
Table 5. Results of independent-sample t-test on learning motivation.
Table 5. Results of independent-sample t-test on learning motivation.
GroupNMSDtpFSig
Experimental group3220.09/307.47−0.3040.7659.092 **0.004
Control group3420.56/304.72
** p < 0.01.
Table 6. Results of independent-sample t-test on cognitive load.
Table 6. Results of independent-sample t-test on cognitive load.
GroupNMSDtpFSig
Experimental group3212.94/405.82−2.119 *0.0381.4050.240
Control group3416.38/407.26
* p < 0.05.
Table 7. Descriptive statistics of the system satisfaction questionnaire.
Table 7. Descriptive statistics of the system satisfaction questionnaire.
DimensionQuestionMSD
Usefulness
1.
I think the system enriches the learning content.
4.500.72
2.
I think the system is beneficial for me to acquire new knowledge.
4.440.72
3.
I think the system makes my learning process smoother.
4.310.85
4.
I think the system can help me get useful information when needed.
4.560.71
5.
I think the system can help me learn better.
4.410.98
6.
I think the system is more effective than normal teaching methods.
4.720.63
Satisfaction in this dimension4.490.77
Ease of use
7.
Learning how to use the system is not difficult for me.
4.380.94
8.
It takes only a few moments to learn how to use the system completely.
4.470.88
9.
I find the learning activity using the system easy to understand.
4.500.72
10.
I believe I have quickly learned how to use the system.
4.530.84
11.
I find it not difficult to use the system in this learning activity.
4.630.80
12.
I think the system interface is clear and easy to use.
4.590.67
13.
Overall, the system used in this learning activity is easy to learn and use.
4.590.71
Satisfaction in this dimension4.530.79
Overall satisfaction of the system4.510.78
Disclaimer/Publisher’s Note: The statements, opinions and data contained in all publications are solely those of the individual author(s) and contributor(s) and not of MDPI and/or the editor(s). MDPI and/or the editor(s) disclaim responsibility for any injury to people or property resulting from any ideas, methods, instructions or products referred to in the content.

Share and Cite

MDPI and ACS Style

Tarng, W.; Huang, J.-K.; Ou, K.-L. Improving Elementary Students’ Geometric Understanding Through Augmented Reality and Its Performance Evaluation. Systems 2024, 12, 493. https://doi.org/10.3390/systems12110493

AMA Style

Tarng W, Huang J-K, Ou K-L. Improving Elementary Students’ Geometric Understanding Through Augmented Reality and Its Performance Evaluation. Systems. 2024; 12(11):493. https://doi.org/10.3390/systems12110493

Chicago/Turabian Style

Tarng, Wernhuar, Jen-Kai Huang, and Kuo-Liang Ou. 2024. "Improving Elementary Students’ Geometric Understanding Through Augmented Reality and Its Performance Evaluation" Systems 12, no. 11: 493. https://doi.org/10.3390/systems12110493

APA Style

Tarng, W., Huang, J.-K., & Ou, K.-L. (2024). Improving Elementary Students’ Geometric Understanding Through Augmented Reality and Its Performance Evaluation. Systems, 12(11), 493. https://doi.org/10.3390/systems12110493

Note that from the first issue of 2016, this journal uses article numbers instead of page numbers. See further details here.

Article Metrics

Back to TopTop