The Early Growth of Maize Under Waterlogging Stress, as Measured by Growth, Biochemical, and Molecular Characteristics
Simple Summary
Abstract
1. Introduction
2. Materials and Methods
2.1. Plant Material and Experimental Design
2.2. Growth Parameter Assessment
2.3. Physiological Parameter Assessment
2.3.1. Measurement of Lipid Peroxidation
2.3.2. Antioxidative Enzyme Activity Analysis
2.4. Gene Expression Assays
2.5. Statistical Analysis
3. Results
3.1. Analysis of Morphological Traits for Assessing Tolerance to Waterlogging
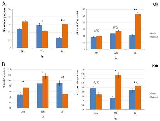
3.2. Analysis of Physiological Traits for Assessing Tolerance to Waterlogging
3.3. Assessment of Waterlogging Tolerance Through Gene Expression Analysis
4. Discussion
5. Conclusions
Author Contributions
Funding
Institutional Review Board Statement
Informed Consent Statement
Data Availability Statement
Acknowledgments
Conflicts of Interest
Correction Statement
References
- Benďáková, V.; Nagy, H.; Turčeková, N.; Adamičková, I.; Bielik, P. Assessing the Climate Change Impacts on Maize Production in the Slovak Republic and Their Relevance to Sustainability: A Case Study. Sustainability 2024, 16, 5573. [Google Scholar] [CrossRef]
- Manghwar, H.; Hussain, A.; Alam, I.; Khoso, M.A.; Ali, Q.; Liu, F. Waterlogging stress in plants: Unraveling the mechanisms and impacts on growth, development, and productivity. Environ. Exp. Bot. 2024, 224, 105824. [Google Scholar] [CrossRef]
- Arduini, I.; Orlandi, C.; Pampana, S.; Masoni, A. Waterlogging at tillering affects spike and spikelet formation in wheat. Crop Pasture Sci. 2016, 67, 703–711. [Google Scholar] [CrossRef]
- Ding, J.; Liang, P.; Wu, P.; Zhu, M.; Li, C.; Zhu, X.; Gao, D.; Chen, Y.; Guo, W. Effects of waterlogging on grain yield and associated traits of historic wheat cultivars in the middle and lower reaches of the Yangtze River, China. Field Crops Res. 2020, 246, 107695. [Google Scholar] [CrossRef]
- Sun, Q.; Gu, X.; Sun, L.; Yang, G.; Zhou, L.; Guo, W. Dynamic change in rice leaf area index and spectral response under flooding stress. Paddy Water Environ. 2020, 18, 223–233. [Google Scholar] [CrossRef]
- Liang, K.; Tang, K.; Fang, T.; Qiu, F. Waterlogging tolerance in maize: Genetic and molecular basis. Mol. Breed. 2020, 40, 111. [Google Scholar] [CrossRef]
- Zaidi, P.H.; Vinayan, M.T.; Seetharam, K. Phenotyping for Abiotic Stress Tolerance in Maize: Waterlogging Stress. A Field Manual; CIMMYT: Hyderabad, India, 2016. [Google Scholar]
- Tian, L.; Li, J.; Bi, W.; Zuo, S.; Li, L.; Li, W.; Sun, L. Effects of Waterlogging Stress at Different Growth Stages on the Photosynthetic Characteristics and Grain Yield of Spring Maize (Zea mays L.) Under Field Conditions. Agric. Water Manag. 2019, 218, 250–258. [Google Scholar] [CrossRef]
- Zhang, J.-Y.; Huang, S.-N.; Wang, G.; Xuan, J.-P.; Guo, Z.-R. Overexpression of Actinidia deliciosa pyruvate decarboxylase 1 Gene Enhances Waterlogging Stress in Transgenic Arabidopsis thaliana. Plant Physiol. Biochem. 2016, 106, 244–252. [Google Scholar] [CrossRef]
- Tian, G.; Qi, D.; Zhu, J.; Xu, Y. Effects of nitrogen fertilizer rates and waterlogging on leaf physiological characteristics and grain yield of maize. Arch. Agron. Soil Sci. 2020, 67, 863–875. [Google Scholar] [CrossRef]
- Huang, C.; Gao, Y.; Qin, A.; Liu, Z.; Zhao, B.; Ning, D.; Ma, S.; Duan, A.; Liu, Z. Effects of waterlogging at different stages and durations on maize growth and grain yields. Agric. Water Manag. 2022, 261, 107334. [Google Scholar] [CrossRef]
- Ren, B.; Zhang, J.; Dong, S.; Liu, P.; Zhao, B. Root and Shoot Responses of Summer Maize to Waterlogging at Different Stages. Agron. J. 2016, 108, 1060–1069. [Google Scholar] [CrossRef]
- Pan, J.; Sharif, R.; Xu, X.; Chen, X. Mechanisms of Waterlogging Tolerance in Plants: Research Progress and Prospects. Front. Plant Sci. 2021, 11, 627331. [Google Scholar] [CrossRef]
- Abiko, T.; Kotula, L.; Shiono, K.; Malik, A.I.; Colmer, T.D.; Nakazono, M. Enhanced formation of aerenchyma and induction of a barrier to radial oxygen loss in adventitious roots of Zea nicaraguensis contribute to its waterlogging tolerance as compared with maize (Zea mays ssp. mays). Plant Cell Environ. 2012, 35, 1618–1630. [Google Scholar] [CrossRef]
- Herzog, M.; Striker, G.G.; Colmer, T.D.; Pedersen, O. Mechanisms of waterlogging tolerance in wheat--a review of root and shoot physiology. Plant Cell Environ. 2016, 39, 1068–1086. [Google Scholar] [CrossRef]
- Sachdev, S.; Ansari, S.A.; Ansari, M.I.; Fujita, M.; Hasanuzzaman, M. Abiotic Stress and Reactive Oxygen Species: Generation, Signaling, and Defense Mechanisms. Antioxidants 2021, 10, 277. [Google Scholar] [CrossRef]
- Li, Y.; Shi, L.C.; Yang, J.; Qian, Z.H.; He, Y.X.; Li, M.W. Physiological and transcriptional changes provide insights into the effect of root waterlogging on the aboveground part of Pterocarya stenoptera. Genomics 2021, 113, 2583–2590. [Google Scholar] [CrossRef]
- Tyagi, A.; Ali, S.; Park, S.; Bae, H. Exploring the Potential of Multiomics and Other Integrative Approaches for Improving Waterlogging Tolerance in Plants. Plants 2023, 12, 1544. [Google Scholar] [CrossRef]
- Mithran, M.; Paparelli, E.; Novi, G.; Perata, P.; Loreti, E. Analysis of the role of the pyruvate decarboxylase gene family in Arabidopsis thaliana under low-oxygen conditions. Plant Biol. 2014, 16, 28–34. [Google Scholar] [CrossRef]
- Arora, K.; Panda, K.K.; Mittal, S.; Mallikarjuna, M.G.; Thirunavukkarasu, N. In Silico Characterization and Functional Validation of Cell Wall Modification Genes Imparting Waterlogging Tolerance in Maize. Bioinform. Biol. Insights 2017, 11, 1177932217747277. [Google Scholar] [CrossRef]
- Jackson, M.B.; Armstrong, W. Formation of aerenchyma and the processes of plant ventilation in relation to soil flooding and submergence. Plant Biol. 1999, 1, 274–287. [Google Scholar] [CrossRef]
- Anjum, N.A.; Gill, R.; Kaushik, M.; Hasanuzzaman, M.; Pereira, E.; Ahmad, I.; Tuteja, N.; Gill, S.S. ATP-sulfurylase, sulfur-compounds, and plant stress tolerance. Front. Plant Sci. 2015, 6, 210. [Google Scholar] [CrossRef]
- Zeng, R.; Chen, T.; Wang, X.; Cao, J.; Li, X.; Xu, X.; Chen, L.; Xia, Q.; Dong, Y.; Huang, L.; et al. Physiological and Expressional Regulation on Photosynthesis, Starch and Sucrose Metabolism Response to Waterlogging Stress in Peanut. Front. Plant Sci. 2021, 12, 601771. [Google Scholar]
- Božić, M.; Ignjatović Micić, D.; Delić, N.; Nikolić, A. Maize miRNAs and Their Putative Target Genes Involved in Chilling Stress Response in 5-Day Old Seedlings. BMC Genom. 2024, 25, 479. [Google Scholar] [CrossRef]
- Kruger, N.J. The Bradford Method For Protein Quantitation. In The Protein Protocols Handbook; Walker, J.M., Ed.; Humana Press: Totowa, NJ, USA, 2009; pp. 17–24. [Google Scholar]
- Lin, Y.; Zhang, C.; Lan, H.; Gao, S.; Liu, H.; Liu, J.; Cao, M.; Pan, G.; Rong, T.; Zhang, S. Validation of Potential Reference Genes for qPCR in Maize across Abiotic Stresses, Hormone Treatments, and Tissue Types. PLoS ONE 2014, 9, e95445. [Google Scholar] [CrossRef]
- Brinton, E. Flooding Responses in Zea mays ssp. Mays: Genetic Variation and Molecular Characterization. Ph.D. Thesis, UC Riverside, Riverside, CA, USA, 2015. [Google Scholar]
- Rajhi, I.; Yamauchi, T.; Takahashi, H.; Nishiuchi, S.; Shiono, K.; Watanabe, R.; Mliki, A.; Nagamura, Y.; Tsutsumi, N.; Nishizawa, N.K.; et al. Identification of Genes Expressed in Maize Root Cortical Cells during Lysigenous Aerenchyma Formation Using Laser Microdissection and Microarray Analyses. New Phytol. 2011, 190, 351–368. [Google Scholar] [CrossRef]
- Banović Đeri, B.; Božić, M.; Dudić, D.; Vićić, I.; Milivojević, M.; Ignjatović-Micić, D.; Samardžić, J.; Vančetović, J.; Delić, N.; Nikolić, A. Leaf Transcriptome Analysis of Lancaster versus Other Heterotic Groups’ Maize Inbred Lines Revealed Different Regulation of Cold-Responsive Genes. J. Agron. Crop Sci. 2022, 208, 497–509. [Google Scholar] [CrossRef]
- Livak, K.J.; Schmittgen, T.D. Analysis of Relative Gene Expression Data Using Real-Time Quantitative PCR and the 2(-Delta Delta C(T)) Method. Methods 2001, 25, 402–408. [Google Scholar] [CrossRef]
- Pfaffl, M. Quantification Strategies in Real-Time PCR. In A-Z of Quantitative PCR; International University Line (IUL): La Jolla, CA, USA, 2003; pp. 87–112. [Google Scholar]
- R Core Team. R: A Language and Environment for Statistical Computing, Version: 4.3.3., 2024. Available online: https://www.r-project.org/ (accessed on 24 April 2024).
- Dickin, E.; Wright, D. The Effects of Winter Waterlogging and Summer Drought on the Growth and Yield of Winter Wheat (Triticum aestivum L.). Eur. J. Agron. 2008, 28, 234–244. [Google Scholar] [CrossRef]
- Hayashi, T.; Yoshida, T.; Fujii, K.; Mitsuya, S.; Tsuji, T.; Okada, Y.; Hayashi, E.; Yamauchi, A. Maintained Root Length Density Contributes to the Waterlogging Tolerance in Common Wheat (Triticum aestivum L.). Field Crops Res. 2013, 152, 27–35. [Google Scholar] [CrossRef]
- Qiu, F.; Zheng, Y.; Zhang, Z.; Xu, S. Mapping of QTL Associated with Waterlogging Tolerance during the Seedling Stage in Maize. Ann. Bot. 2007, 99, 1067–1081. [Google Scholar] [CrossRef]
- Visser, E.J.W.; Voesenek, L.A.C.J.; Vartapetian, B.B.; Jackson, M.B. Flooding and Plant Growth. Ann. Bot. 2003, 91, 107–109. [Google Scholar] [CrossRef]
- Araki, H. Water Uptake of Soybean (Glycine max L. Merr.) during Exposure to O2 Deficiency and Field Level CO2 Concentration in the Root Zone. Field Crops Res. 2006, 96, 98–105. [Google Scholar] [CrossRef]
- Tang, B.; Xu, S.; Zou, X.; Zheng, Y.; Qiu, F. Changes of Antioxidative Enzymes and Lipid Peroxidation in Leaves and Roots of Waterlogging-Tolerant and Waterlogging-Sensitive Maize Genotypes at Seedling Stage. Agric. Sci. China 2010, 9, 651–661. [Google Scholar] [CrossRef]
- Xu, Q.T.; Yang, L.; Zhou, Z.Q.; Mei, F.Z.; Qu, L.H.; Zhou, G.S. Process of Aerenchyma Formation and Reactive Oxygen Species Induced by Waterlogging in Wheat Seminal Roots. Planta 2013, 238, 969–982. [Google Scholar] [CrossRef]
- Yao, Y.; He, R.J.; Xie, Q.L.; Zhao, X.h.; Deng, X.m.; He, J.b.; Song, L.; He, J.; Marchant, A.; Chen, X.-Y.; et al. ETHYLENE RESPONSE FACTOR 74 (ERF74) Plays an Essential Role in Controlling a Respiratory Burst Oxidase Homolog D (RbohD)-Dependent Mechanism in Response to Different Stresses in Arabidopsis. New Phytol. 2017, 213, 1667–1681. [Google Scholar] [CrossRef]
- Yu, F.; Liang, K.; Zhang, Z.; Du, D.; Zhang, X.; Zhao, H.; UI haq, B.; Qiu, F. Dissecting the Genetic Architecture of Waterlogging Stress-Related Traits Uncovers a Key Waterlogging Tolerance Gene in Maize. Theor. Appl. Genet. 2018, 131, 2299–2310. [Google Scholar] [CrossRef]
- Meisrimler, C.-N.; Buck, F.; Lüthje, S. Alterations in Soluble Class III Peroxidases of Maize Shoots by Flooding Stress. Proteomes 2014, 2, 303–322. [Google Scholar] [CrossRef]
- Chugh, V.; Kaur, N.; Gupta, A. Evaluation of oxidative stress tolerance in maize (Zea mays L.) seedlings in response to drought. Indian J. Biochem. Biophys. 2011, 48, 47–53. [Google Scholar]
- Xu, Z.; Ye, L.; Shen, Q.; Zhang, G. Advances in the Study of Waterlogging Tolerance in Plants. J. Integr. Agric. 2024, 23, 2877–2897. [Google Scholar] [CrossRef]
- Gibbs, D.J.; Lee, S.C.; Isa, N.M.; Gramuglia, S.; Fukao, T.; Bassel, G.W.; Correia, C.S.; Corbineau, F.; Theodoulou, F.L.; Bailey-Serres, J.; et al. Homeostatic Response to Hypoxia Is Regulated by the N-End Rule Pathway in Plants. Nature 2011, 479, 415–418. [Google Scholar] [CrossRef]
- Mustroph, A.; Barding, G.A., Jr.; Kaiser, K.A.; Larive, C.K.; Bailey-Serres, J. Characterization of Distinct Root and Shoot Responses to Low-Oxygen Stress in Arabidopsis with a Focus on Primary C- and N-Metabolism. Plant Cell Environ. 2014, 37, 2366–2380. [Google Scholar] [CrossRef] [PubMed]
- Van Sandt, V.S.T.; Suslov, D.; Verbelen, J.-P.; Vissenberg, K. Xyloglucan Endotransglucosylase Activity Loosens a Plant Cell Wall. Ann. Bot. 2007, 100, 1467–1473. [Google Scholar] [CrossRef] [PubMed]
- Xu, J.; Qiao, X.; Tian, Z.; Zhang, X.; Zou, X.; Cheng, Y.; Lu, G.; Zeng, L.; Fu, G.; Ding, X.; et al. Proteomic Analysis of Rapeseed Root Response to Waterlogging Stress. Plants 2018, 7, 71. [Google Scholar] [CrossRef]
- Kuai, J.; Chen, Y.; Wang, Y.; Meng, Y.; Chen, B.; Zhao, W.; Zhou, Z. Effect of Waterlogging on Carbohydrate Metabolism and the Quality of Fiber in Cotton (Gossypium hirsutum L.). Front. Plant Sci. 2016, 7, 877. [Google Scholar] [CrossRef]
- Xu, Z.; Shen, Q.; Zhang, G. The Mechanisms for the Difference in Waterlogging Tolerance among Sea Barley, Wheat and Barley. Plant Growth Regul. 2022, 96, 431–441. [Google Scholar] [CrossRef]
- Haque, M.E.; Abe, F.; Kawaguchi, K. 2010 Formation and extension of lysigenous aerenchyma in seminal root cortex of spring wheat (Triticum aestivum cv. Bobwhite line SH 98 26) seedlings under different strengths of waterlogging. Plant Root 2010, 4, 31–39. [Google Scholar] [CrossRef]
- Pagliano, C.; Saracco, G.; Barber, J. Structural, functional and auxiliary proteins of photosystem II. Photosynth. Res. 2013, 116, 167–188. [Google Scholar] [CrossRef]
- Arbona, V.; Hossain, Z.; López-Climent, M.F.; Pérez-Clemente, R.M.; Gómez-Cadenas, A. Antioxidant Enzymatic Activity Is Linked to Waterlogging Stress Tolerance in Citrus. Physiol. Plant. 2008, 132, 452–466. [Google Scholar] [CrossRef]





| Gene | ID Primer | Sequence |
|---|---|---|
| Pyruvate Decarboxylase1 (Pdc1) | Zmpdc1 | F: 5′-CAACTGC TGGACCA TGAAG-3′R: 5′-GCTCGTG TCGTCCTT GTG-3′ |
| Pyruvate Decarboxylase 3 (Pdc3) | Zmpdc3 | F: 5′-GAGCTTC CAGGTTA CAGCAC-3′R: 5′-GATTTCCA CCTCAAT CGTGTAC-3′ |
| Xyloglucan endotransglucosylase | XET | F: 5′-ACTACTGCGACGACCGCAAG-3′R: 5′-CCA ACA ATC AGC CCG GTT TT-3′ |
| Chloroplast ATP-sulfurylase | ATPS | F: 5′-ACGTTTGATGTGCTCCAGTG-3′R: 5′-CTTAGCAAGCGGTTCTTTGC-3′ |
| Photosystem II cytochrome b559 alpha subunit | psbE | F: 5′-TCGGTTTTCTACTGGCTGCT-3′R: 5′-ACCCACGAATCTCAATGACC-3′ |
| Photosystem II reaction center protein I | psbI | F: 5′-AGTGGATCCGTGTGGTAAGG-3′R: 5′-CAGGATTACGTCCTGGGTCA-3′ |
Disclaimer/Publisher’s Note: The statements, opinions and data contained in all publications are solely those of the individual author(s) and contributor(s) and not of MDPI and/or the editor(s). MDPI and/or the editor(s) disclaim responsibility for any injury to people or property resulting from any ideas, methods, instructions or products referred to in the content. |
© 2025 by the authors. Licensee MDPI, Basel, Switzerland. This article is an open access article distributed under the terms and conditions of the Creative Commons Attribution (CC BY) license (https://creativecommons.org/licenses/by/4.0/).
Share and Cite
Nikolić, A.; Božić, M.; Delić, N.; Marković, K.; Milivojević, M.; Čamdžija, Z.; Ignjatović Micić, D. The Early Growth of Maize Under Waterlogging Stress, as Measured by Growth, Biochemical, and Molecular Characteristics. Biology 2025, 14, 111. https://doi.org/10.3390/biology14020111
Nikolić A, Božić M, Delić N, Marković K, Milivojević M, Čamdžija Z, Ignjatović Micić D. The Early Growth of Maize Under Waterlogging Stress, as Measured by Growth, Biochemical, and Molecular Characteristics. Biology. 2025; 14(2):111. https://doi.org/10.3390/biology14020111
Chicago/Turabian StyleNikolić, Ana, Manja Božić, Nikola Delić, Ksenija Marković, Marija Milivojević, Zoran Čamdžija, and Dragana Ignjatović Micić. 2025. "The Early Growth of Maize Under Waterlogging Stress, as Measured by Growth, Biochemical, and Molecular Characteristics" Biology 14, no. 2: 111. https://doi.org/10.3390/biology14020111
APA StyleNikolić, A., Božić, M., Delić, N., Marković, K., Milivojević, M., Čamdžija, Z., & Ignjatović Micić, D. (2025). The Early Growth of Maize Under Waterlogging Stress, as Measured by Growth, Biochemical, and Molecular Characteristics. Biology, 14(2), 111. https://doi.org/10.3390/biology14020111

