Straightforward Analysis of Sulfated Glycosaminoglycans by MALDI-TOF Mass Spectrometry from Biological Samples
Abstract
:Simple Summary
Abstract
1. Introduction
2. Materials and Methods
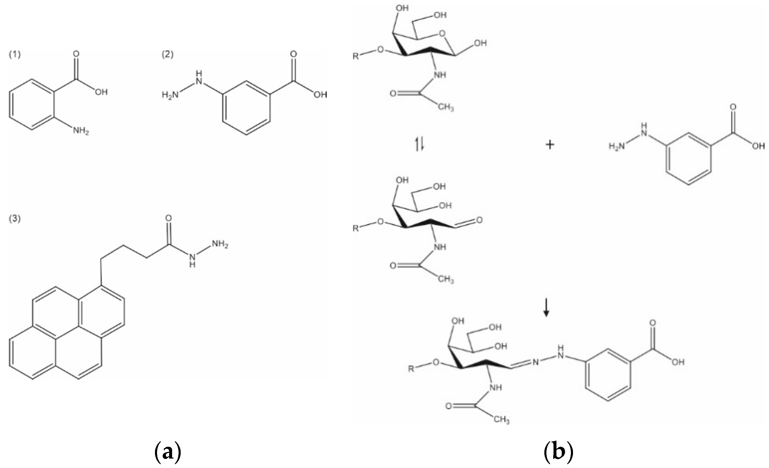
2.1. Chemicals, Reagents and General Considerations
2.2. Patient Sample
2.3. On-Target Derivatization with 2-AA
2.4. On-Target Derivatization with PBH
2.5. On-Target Derivatization with 3-HBA
2.6. Preparation of GAG Disaccharides from Chondroitin Sulfate
2.7. Preparation of GAG Disaccharides from Atherosclerotic Tissues
2.8. Mass Spectrometry
3. Results and Discussion
4. Conclusions
Author Contributions
Funding
Institutional Review Board Statement
Informed Consent Statement
Data Availability Statement
Acknowledgments
Conflicts of Interest
References
- Lindahl, U.; Couchman, J.; Kimata, K.; Esko, J.D. Proteoglycans and Sulfated Glycosaminoglycans. In Essentials of Glycobiology, 3rd ed.; Varki, A., Cummings, R.D., Esko, J.D., Stanley, P., Hart, G.W., Aebi, M., Darvill, A.G., Kinoshita, T., Packer, N.H., Prestegard, J.H., et al., Eds.; Cold Spring: Harbor, NY, USA, 2015; pp. 207–221. [Google Scholar]
- Esko, J.D.; Prestegard, J.H.; Linhardt, R.J. Proteins That Bind Sulfated Glycosaminoglycans. In Essentials of Glycobiology, 3rd ed.; Varki, A., Cummings, R.D., Esko, J.D., Stanley, P., Hart, G.W., Aebi, M., Darvill, A.G., Kinoshita, T., Packer, N.H., Prestegard, J.H., et al., Eds.; Cold Spring: Harbor, NY, USA, 2015; pp. 493–502. [Google Scholar]
- Soares da Costa, D.; Reis, R.L.; Pashkuleva, I. Sulfation of Glycosaminoglycans and Its Implications in Human Health and Disorders. Annu Rev. Biomed. Eng. 2017, 19, 1–26. [Google Scholar] [CrossRef] [PubMed] [Green Version]
- Biskup, K.; Stellmach, C.; Braicu, E.I.; Sehouli, J.; Blanchard, V. Chondroitin Sulfate Disaccharides, a Serum Marker for Primary Serous Epithelial Ovarian Cancer. Diagnostics 2021, 11, 1143. [Google Scholar] [CrossRef] [PubMed]
- Caon, I.; Bartolini, B.; Parnigoni, A.; Carava, E.; Moretto, P.; Viola, M.; Karousou, E.; Vigetti, D.; Passi, A. Revisiting the hallmarks of cancer: The role of hyaluronan. Semin. Cancer Biol. 2020, 62, 9–19. [Google Scholar] [CrossRef] [PubMed]
- Hampe, C.S.; Eisengart, J.B.; Lund, T.C.; Orchard, P.J.; Swietlicka, M.; Wesley, J.; McIvor, R.S. Mucopolysaccharidosis Type I: A Review of the Natural History and Molecular Pathology. Cells 2020, 9, 1838. [Google Scholar] [CrossRef] [PubMed]
- Wei, J.; Hu, M.; Huang, K.; Lin, S.; Du, H. Roles of Proteoglycans and Glycosaminoglycans in Cancer Development and Progression. Int. J. Mol. Sci. 2020, 21, 5983. [Google Scholar] [CrossRef] [PubMed]
- Laremore, T.N.; Zhang, F.; Linhardt, R.J. Ionic liquid matrix for direct UV-MALDI-TOF-MS analysis of dermatan sulfate and chondroitin sulfate oligosaccharides. Anal. Chem. 2007, 79, 1604–1610. [Google Scholar] [CrossRef] [Green Version]
- Tissot, B.; Gasiunas, N.; Powell, A.K.; Ahmed, Y.; Zhi, Z.L.; Haslam, S.M.; Morris, H.R.; Turnbull, J.E.; Gallagher, J.T.; Dell, A. Towards GAG glycomics: Analysis of highly sulfated heparins by MALDI-TOF mass spectrometry. Glycobiology 2007, 17, 972–982. [Google Scholar] [CrossRef] [Green Version]
- Hascall, V.C. The journey of hyaluronan research in the Journal of Biological Chemistry. J. Biol. Chem. 2019, 294, 1690–1696. [Google Scholar] [CrossRef] [Green Version]
- Lauder, R.M.; Huckerby, T.N.; Nieduszynski, I.A. The structure of the keratan sulphate chains attached to fibromodulin from human articular cartilage. Glycoconj. J. 1997, 14, 651–660. [Google Scholar] [CrossRef]
- Miller, R.L.; Guimond, S.E.; Prescott, M.; Turnbull, J.E.; Karlsson, N. Versatile Separation and Analysis of Heparan Sulfate Oligosaccharides Using Graphitized Carbon Liquid Chromatography and Electrospray Mass Spectrometry. Anal. Chem. 2017, 89, 8942–8950. [Google Scholar] [CrossRef]
- Song, Y.; Zhang, F.; Linhardt, R.J. Analysis of the Glycosaminoglycan Chains of Proteoglycans. J. Histochem. Cytochem. 2021, 69, 121–135. [Google Scholar] [CrossRef] [PubMed]
- Miller, R.L.; Guimond, S.E.; Schworer, R.; Zubkova, O.V.; Tyler, P.C.; Xu, Y.; Liu, J.; Chopra, P.; Boons, G.J.; Grabarics, M.; et al. Shotgun ion mobility mass spectrometry sequencing of heparan sulfate saccharides. Nat. Commun. 2020, 11, 1481. [Google Scholar] [CrossRef] [PubMed]
- Volpi, N.; Galeotti, F.; Yang, B.; Linhardt, R.J. Analysis of glycosaminoglycan-derived, precolumn, 2-aminoacridone-labeled disaccharides with LC-fluorescence and LC-MS detection. Nat. Protoc. 2014, 9, 541–558. [Google Scholar] [CrossRef] [PubMed]
- Zaia, J. Glycosaminoglycan glycomics using mass spectrometry. Mol. Cell. Proteom. 2013, 12, 885–892. [Google Scholar] [CrossRef] [Green Version]
- Raghunathan, R.; Sethi, M.K.; Zaia, J. On-slide tissue digestion for mass spectrometry based glycomic and proteomic profiling. MethodsX 2019, 6, 2329–2347. [Google Scholar] [CrossRef]
- Turiak, L.; Toth, G.; Ozohanics, O.; Revesz, A.; Acs, A.; Vekey, K.; Zaia, J.; Drahos, L. Sensitive method for glycosaminoglycan analysis of tissue sections. J. Chromatogr. A 2018, 1544, 41–48. [Google Scholar] [CrossRef] [Green Version]
- Huang, R.; Liu, J.; Sharp, J.S. An approach for separation and complete structural sequencing of heparin/heparan sulfate-like oligosaccharides. Anal. Chem. 2013, 85, 5787–5795. [Google Scholar] [CrossRef] [Green Version]
- Huang, R.; Pomin, V.H.; Sharp, J.S. LC-MS(n) analysis of isomeric chondroitin sulfate oligosaccharides using a chemical derivatization strategy. J. Am. Soc. Mass Spectrom. 2011, 22, 1577–1587. [Google Scholar] [CrossRef] [Green Version]
- Wei, M.; Huang, L.; Liu, Y.; Jin, W.; Yao, X.; Rong, J.; Bai, F.; Song, X.; Wang, Z. Strategy for Isolation, Preparation, and Structural Analysis of Chondroitin Sulfate Oligosaccharides from Natural Sources. Anal. Chem. 2020, 92, 11644–11653. [Google Scholar] [CrossRef]
- Zhang, Y.; Iwamoto, T.; Radke, G.; Kariya, Y.; Suzuki, K.; Conrad, A.H.; Tomich, J.M.; Conrad, G.W. On-target derivatization of keratan sulfate oligosaccharides with pyrenebutyric acid hydrazide for MALDI-TOF/TOF-MS. J. Mass Spectrom. 2008, 43, 765–772. [Google Scholar] [CrossRef]
- Zhao, X.; Huang, Y.; Ma, G.; Liu, Y.; Guo, C.; He, Q.; Wang, H.; Liao, J.; Pan, Y. Parallel On-Target Derivatization for Mass Calibration and Rapid Profiling of N-Glycans by MALDI-TOF MS. Anal. Chem. 2020, 92, 991–998. [Google Scholar] [CrossRef] [PubMed]
- Le, H.T.; Park, K.H.; Jung, W.; Park, H.S.; Kim, T.W. Combination of Microwave-Assisted Girard Derivatization with Ionic Liquid Matrix for Sensitive MALDI-TOF MS Analysis of Human Serum N-Glycans. J. Anal. Methods Chem. 2018, 2018, 7832987. [Google Scholar] [CrossRef] [PubMed]
- Zhang, H.; Shi, X.; Vu, N.Q.; Li, G.; Li, Z.; Shi, Y.; Li, M.; Wang, B.; Welham, N.V.; Patankar, M.S.; et al. On-Tissue Derivatization with Girard’s Reagent P Enhances N-Glycan Signals for Formalin-Fixed Paraffin-Embedded Tissue Sections in MALDI Mass Spectrometry Imaging. Anal. Chem. 2020, 92, 13361–13368. [Google Scholar] [CrossRef] [PubMed]
- Zhang, Y.; Wang, B.; Jin, W.; Wen, Y.; Nan, L.; Yang, M.; Liu, R.; Zhu, Y.; Wang, C.; Huang, L.; et al. Sensitive and robust MALDI-TOF-MS glycomics analysis enabled by Girard’s reagent T on-target derivatization (GTOD) of reducing glycans. Anal. Chim. Acta 2019, 1048, 105–114. [Google Scholar] [CrossRef]
- Ceroni, A.; Maass, K.; Geyer, H.; Geyer, R.; Dell, A.; Haslam, S.M. GlycoWorkbench: A tool for the computer-assisted annotation of mass spectra of glycans. J. Proteome Res. 2008, 7, 1650–1659. [Google Scholar] [CrossRef] [Green Version]
- Damerell, D.; Ceroni, A.; Maass, K.; Ranzinger, R.; Dell, A.; Haslam, S.M. The GlycanBuilder and GlycoWorkbench glycoin-formatics tools: Updates and new developments. Biol. Chem. 2012, 393, 1357–1362. [Google Scholar] [CrossRef]
- Damerell, D.; Ceroni, A.; Maass, K.; Ranzinger, R.; Dell, A.; Haslam, S.M. Annotation of glycomics MS and MS/MS spectra using the GlycoWorkbench software tool. Methods Mol. Biol. 2015, 1273, 3–15. [Google Scholar] [CrossRef]
- Domon, B.; Costello, C.E. A systematic nomenclature for carbohydrate fragmentations in FAB-MS/MS spectra of glycocon-jugates. Glycoconj. J. 1988, 5, 397–409. [Google Scholar] [CrossRef]
- Minamisawa, T.; Suzuki, K.; Hirabayashi, J. Multistage mass spectrometric sequencing of keratan sulfate-related oligosac-charides. Anal. Chem. 2006, 78, 891–900. [Google Scholar] [CrossRef]
- Wolff, J.J.; Amster, I.J.; Chi, L.; Linhardt, R.J. Electron detachment dissociation of glycosaminoglycan tetrasaccharides. J. Am. Soc. Mass Spectrom. 2007, 18, 234–244. [Google Scholar] [CrossRef] [Green Version]
- Wolff, J.J.; Laremore, T.N.; Aslam, H.; Linhardt, R.J.; Amster, I.J. Electron-induced dissociation of glycosaminoglycan tetra-saccharides. J. Am. Soc. Mass Spectrom. 2008, 19, 1449–1458. [Google Scholar] [CrossRef] [PubMed] [Green Version]

, GalNAc;
, ΔHexA; S, sulfate. The digit preceding S indicates the sulfation position. Black dots correspond to non-GAG contaminants.
, GalNAc;
, ΔHexA; S, sulfate. The digit preceding S indicates the sulfation position. Black dots correspond to non-GAG contaminants.

, GalNAc;
, ΔHexA; S, sulfate. The digit preceding S indicates the sulfation position. Black dots correspond to non-carbohydrate contaminants.
, GalNAc;
, ΔHexA; S, sulfate. The digit preceding S indicates the sulfation position. Black dots correspond to non-carbohydrate contaminants.
, GalNAc;
, ΔHexA; S, sulfate; (S), absence of sulfate on the fragment. The digit preceding S indicates the sulfation position, • indicates contaminants. GlycoWorkbench software was used to represent and assign fragment ions.
, GalNAc;
, ΔHexA; S, sulfate; (S), absence of sulfate on the fragment. The digit preceding S indicates the sulfation position, • indicates contaminants. GlycoWorkbench software was used to represent and assign fragment ions.
, GalNAc;
, ΔHexA; S, sulfate; (S), absence of sulfate. The digit preceding S indicates the sulfation position; • indicates contaminants. GlycoWorkbench software was used to represent and assign fragment ions.
, GalNAc;
, ΔHexA; S, sulfate; (S), absence of sulfate. The digit preceding S indicates the sulfation position; • indicates contaminants. GlycoWorkbench software was used to represent and assign fragment ions.

, GalNAc;
, ΔHexA; S, sulfate; (S), absence of sulfate on the fragment. The digit preceding S indicates the sulfation position. GlycoWorkbench software was used to represent and assign fragment ions.
, GalNAc;
, ΔHexA; S, sulfate; (S), absence of sulfate on the fragment. The digit preceding S indicates the sulfation position. GlycoWorkbench software was used to represent and assign fragment ions.
| m/z | Fragment Type | CS-2S | CS-4S | CS-6S |
|---|---|---|---|---|
| 96.4 | HSO4− | X | X | X |
| 137.0 | B2,5X1 | X | ||
| 139.0 | 1,3A1 | X | ||
| 157.0 | B1 (S)/B1 | X | X | X |
| 175.0 | C1 | X | X | |
| 209.0 | 1,5A1 | X | ||
| 237.0 | B1 | X | ||
| 255.0 | C1 | X | X | X |
| 354.1 | Y1 | X | ||
| 416.1 | Z1 | X | X | |
| 434.0 | Y1 | X | X | |
| 452.1 | 1,3X1 | X | X | X |
| 476.1 | 0,2X1 | X | X | X |
| 492.0 | 2,5X1 | X | ||
| 512.1 | M (S) | X | X | X |
Publisher’s Note: MDPI stays neutral with regard to jurisdictional claims in published maps and institutional affiliations. |
© 2022 by the authors. Licensee MDPI, Basel, Switzerland. This article is an open access article distributed under the terms and conditions of the Creative Commons Attribution (CC BY) license (https://creativecommons.org/licenses/by/4.0/).
Share and Cite
Krüger, L.; Biskup, K.; Karampelas, V.; Ludwig, A.; Kasper, A.-S.; Poller, W.C.; Blanchard, V. Straightforward Analysis of Sulfated Glycosaminoglycans by MALDI-TOF Mass Spectrometry from Biological Samples. Biology 2022, 11, 506. https://doi.org/10.3390/biology11040506
Krüger L, Biskup K, Karampelas V, Ludwig A, Kasper A-S, Poller WC, Blanchard V. Straightforward Analysis of Sulfated Glycosaminoglycans by MALDI-TOF Mass Spectrometry from Biological Samples. Biology. 2022; 11(4):506. https://doi.org/10.3390/biology11040506
Chicago/Turabian StyleKrüger, Lynn, Karina Biskup, Vasileios Karampelas, Antje Ludwig, Antje-Susanne Kasper, Wolfram C. Poller, and Véronique Blanchard. 2022. "Straightforward Analysis of Sulfated Glycosaminoglycans by MALDI-TOF Mass Spectrometry from Biological Samples" Biology 11, no. 4: 506. https://doi.org/10.3390/biology11040506
APA StyleKrüger, L., Biskup, K., Karampelas, V., Ludwig, A., Kasper, A.-S., Poller, W. C., & Blanchard, V. (2022). Straightforward Analysis of Sulfated Glycosaminoglycans by MALDI-TOF Mass Spectrometry from Biological Samples. Biology, 11(4), 506. https://doi.org/10.3390/biology11040506

