Next Issue
Volume 13, November
Previous Issue
Volume 13, September
 
 

Fibers, Volume 13, Issue 10 (October 2025) – 14 articles

Cover Story (view full-size image): The combined use of macro-synthetic fibers and steel reinforcement in structural concrete shows promise for enhancing shear behavior, particularly with respect to crack control, ductility, and strength. This study contributes essential experimental data on such systems for elements subjected to pure in-plane shear, where the interaction between fibers and conventional reinforcement is not well understood. The results show that a fiber volume ratio of 0.52% was highly effective at reducing both maximum and average crack widths at low reinforcement levels but provided minimal strength improvements across the reinforcement levels tested (0.00–0.91%). These findings highlight the potential of macro-synthetic fibers to enhance the performance of shear-critical elements and also illustrate the need for further experimental and numerical work. View this paper
  • Issues are regarded as officially published after their release is announced to the table of contents alert mailing list.
  • You may sign up for e-mail alerts to receive table of contents of newly released issues.
  • PDF is the official format for papers published in both, html and pdf forms. To view the papers in pdf format, click on the "PDF Full-text" link, and use the free Adobe Reader to open them.
Order results
Result details
Select all
Export citation of selected articles as:
17 pages, 22780 KB  
Article
Experimental Investigation on the Frost Resistance and Service Life Prediction of Basalt Fiber-Reinforced Concrete
by Chuan Zhao, Guoxin Jiang, Junli Guo, Xin Zhang, Zelong Ma, Chunyi Zhuang, Wenbing Zhang and Shuyang Yu
Fibers 2025, 13(10), 143; https://doi.org/10.3390/fib13100143 - 21 Oct 2025
Viewed by 646
Abstract
To evaluate the frost resistance of basalt fiber-reinforced concrete (BFRC) and predict its service life, this study conducted 225 quick freeze–thaw (F-T) cycle tests. Specifically, it systematically investigated how basalt fiber (BF) volume content (0.1%, 0.2%, 0.3%) and the incorporation method (single-doped 18 [...] Read more.
To evaluate the frost resistance of basalt fiber-reinforced concrete (BFRC) and predict its service life, this study conducted 225 quick freeze–thaw (F-T) cycle tests. Specifically, it systematically investigated how basalt fiber (BF) volume content (0.1%, 0.2%, 0.3%) and the incorporation method (single-doped 18 mm, mixed-doped 6 mm/12 mm/18 mm) affect concrete frost resistance. Meanwhile, a two-parameter Weibull distribution model was established to quantitatively predict the service life of BFRC. The results showed that BF significantly improved the frost resistance of concrete: the reference group without BF had a relative dynamic elastic modulus (RDEM) of less than 60% after 25 F-T cycles, while the group with 0.3% volume content of single-doped 18 mm BF still maintained structural integrity after 225 F-T cycles, with a frost resistance grade exceeding F225. Furthermore, within the scope of this study, the frost resistance effect of single-doped 18 mm BF was better than that of mixed-doped BF, and the frost resistance of concrete gradually improved with the increase in BF volume content. In high-altitude cold regions (e.g., Songpan County, Sichuan Province) with 85 annual F-T cycles, the predicted service life of BFRC with 0.3% single-doped BF reached 49 years, which was approximately 25 times that of the reference group (2 years). This study delivers a systematic comparison of the frost resistance between single-doped long and mixed-doped BF, along with a targeted life prediction model for high-altitude cold regions (85 annual F-T cycles, annual temperatures below 6 °C), which collectively offer a theoretical and technical basis for BFRC durability design in freeze–thaw environments. Full article
Show Figures

Figure 1

19 pages, 4508 KB  
Article
Recycled PET Sandwich Cores, Waste-Derived Carbon Additive, and Cure-Rate Control: FTIR/SEM Study of Flexural Performance in Flax Fiber-Reinforced Composites
by Veena Phunpeng, Kitsana Khodcharad and Wipada Boransan
Fibers 2025, 13(10), 142; https://doi.org/10.3390/fib13100142 - 20 Oct 2025
Cited by 1 | Viewed by 790
Abstract
To address circularity and resource recovery in modern structural applications, industry is seeking materials that are sustainable and lightweight. Although natural fiber-reinforced composites offer sustainability advantages, their mechanical properties remain inferior to those of synthetic fiber systems, limiting practical deployment. Flax fibers were [...] Read more.
To address circularity and resource recovery in modern structural applications, industry is seeking materials that are sustainable and lightweight. Although natural fiber-reinforced composites offer sustainability advantages, their mechanical properties remain inferior to those of synthetic fiber systems, limiting practical deployment. Flax fibers were selected as reinforcement due to their high specific stiffness, biodegradability, and wide availability. This study implements a three-level strategy to enhance the flexural performance of flax fiber-reinforced composites: at the process level, curing under distinct heating rates to promote a more uniform polymer network; at the material level, incorporation of a carbonaceous additive derived from fuel–oil furnace waste to strengthen interfacial adhesion; and at the structural level, adoption of a sandwich configuration with a recycled PET core to increase section bending inertia. Specimens were fabricated via vacuum-assisted resin transfer molding (VARTM) and tested using a three-point bending method. Mechanical testing shows clear improvements in flexural performance, with the sandwich architecture yielding the highest values and increasing flexural strength by up to 4.52× relative to the other conditions. For the curing series, FTIR indicates greater reaction extent, evidenced by lower intensities of the epoxide ring at 915 cm−1 and glycidyl/oxirane band near 972 cm−1, together with a more pronounced C–O–C stretching region, consistent with the higher flexural response. While SEM observations revealed interfacial debonding at 5% FCB, a hybrid mechanism with crack deflection appeared at 10%. This transition created tortuous crack paths, consistent with the higher flexural strength and modulus at 10% FCB. A distinctive feature of this work is the integration of three reinforcement strategies—controlled curing, waste-derived carbon additive, and recycled PET sandwich design. This integration not only enhances the performance of natural fiber composites but also emphasizes sustainability by valorizing recycled and waste-derived resources, thereby supporting the development of greener composite materials. Full article
Show Figures

Figure 1

19 pages, 4267 KB  
Article
Hydration and Water Vapor Transport in Films Based on Cassava Starch Reinforced with Topinambur Fiber (Helianthus tuberosus)
by Luisa F. Sierra Montes, María C. Lorenzo, Maria A. García, Andrés G. Salvay and Laura Ribba
Fibers 2025, 13(10), 141; https://doi.org/10.3390/fib13100141 - 15 Oct 2025
Viewed by 865
Abstract
Biodegradable composites obtained by reinforcing thermoplastic starch (TPS) with lignocellulosic fibers show great potential, but their strong sensitivity to water still limits practical applications. Among possible reinforcements, Helianthus tuberosus (topinambur) represents an underutilized agricultural residue that has been scarcely explored in this context. [...] Read more.
Biodegradable composites obtained by reinforcing thermoplastic starch (TPS) with lignocellulosic fibers show great potential, but their strong sensitivity to water still limits practical applications. Among possible reinforcements, Helianthus tuberosus (topinambur) represents an underutilized agricultural residue that has been scarcely explored in this context. In this work, we demonstrate for the first time that topinambur fiber can improve the water vapor barrier properties of cassava starch films, while also providing a detailed analysis of sorption isotherms and the humidity-dependent relationship between surface roughness and contact angle, aspects rarely addressed in previous studies. SEM revealed uniform fiber dispersion and integration. Water sorption kinetics showed that fiber addition reduces both hydration and sorption time constant, indicating lower water affinity and greater water mobility. Water sorption isotherms confirmed that fiber incorporation significantly alters overall hydration and water–matrix interactions, revealing reduced effective water solubility in films. Water vapor permeability also decreased with fiber addition, mainly due to decreased water solubility, rather than changes in water diffusivity. While fiber addition enhanced surface-water repellency across all humidity levels, roughness exhibited a humidity-dependent response FTIR analysis confirmed fiber–matrix compatibility and suggested new hydrogen bonding. Overall, these findings identify topinambur fiber as a novel reinforcement for designing biodegradable films with improved humidity resistance for agroecological applications. Full article
Show Figures

Graphical abstract

15 pages, 6224 KB  
Article
Classification of Embroidered Conductive Stitches Using a Structural Neural Network
by Jiseon Kim, Sangun Kim and Jooyong Kim
Fibers 2025, 13(10), 140; https://doi.org/10.3390/fib13100140 - 13 Oct 2025
Viewed by 826
Abstract
This study presents a machine learning-based framework for classifying five embroidered stitch patterns—straight, zigzag, joining, satin, and wave—under 10% tensile strain, aiming to enhance their utility in smart textile circuits. Electrical conductivity was derived from resistance data and standardized using Z-score normalization. Conductivity [...] Read more.
This study presents a machine learning-based framework for classifying five embroidered stitch patterns—straight, zigzag, joining, satin, and wave—under 10% tensile strain, aiming to enhance their utility in smart textile circuits. Electrical conductivity was derived from resistance data and standardized using Z-score normalization. Conductivity sequences were first analyzed with PCA and Random Forest classifiers, then classified using a structural artificial neural network model. The model employed a structurally informed filter design, reflecting stitch-wise signal periodicity to capture time-varying electrical patterns under cyclic strain. It achieved a test accuracy of 97.33%, with F1-scores above 0.83 for all classes and perfect scores in three. Partial confusion between wave and zigzag patterns was observed due to their similar curved geometry and signal profiles. These results validate the discriminative power of conductivity-based features and demonstrate the potential of structure-aware neural networks for identifying dynamic stitched circuits in smart textiles. Full article
Show Figures

Figure 1

17 pages, 10686 KB  
Article
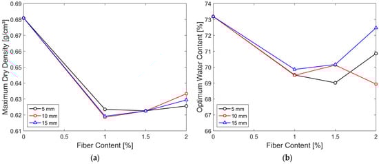
Influence of Abacá Fiber Treated with Sodium Hydroxide on Undrained Shear Strength in Organic Silt
by Jorge Albuja-Sánchez, Doménica Romero and Carlos Solórzano-Blacio
Fibers 2025, 13(10), 139; https://doi.org/10.3390/fib13100139 - 13 Oct 2025
Viewed by 702
Abstract
Highly decomposed organic soils exhibit low strength and stability, which pose challenges for geotechnical engineering. This study evaluates the effectiveness of abacá natural fibers treated with 5% NaOH to prevent biodegradation and reinforce organic silt. An experimental program was conducted to investigate the [...] Read more.
Highly decomposed organic soils exhibit low strength and stability, which pose challenges for geotechnical engineering. This study evaluates the effectiveness of abacá natural fibers treated with 5% NaOH to prevent biodegradation and reinforce organic silt. An experimental program was conducted to investigate the effects of fiber content (1, 1.5, and 2%) and length (5, 10, and 15 mm) on the undrained shear strength (Su), elastic modulus (E50), maximum dry density (MDD), and optimum water content (OWC). The results revealed a slight reduction in MDD and OWC, while Su increased significantly, reaching 104.13% for 1.5% fiber content and 15 mm fiber length. E50 decreased by up to 52.61%, indicating a transition toward more ductile behavior and variability due to the inherent heterogeneity of the soil. ANOVA and post hoc Tukey analyses confirmed the statistical significance of fiber content and length on Su, with optimal performance observed at 1.5% content and 15 mm length. These findings demonstrate that chemically treated abacá fibers provide effective and sustainable soil reinforcement and that chemical treatment is essential to maintain short-term durability in biologically active organic soils. Full article
Show Figures

Graphical abstract

20 pages, 3756 KB  
Article
Comparative Analysis of Sisal–Cement Composite Properties After Chemical and Thermal Fiber Treatments
by Daniele Oliveira Justo dos Santos, Romildo Dias Toledo Filho and Paulo Roberto Lopes Lima
Fibers 2025, 13(10), 138; https://doi.org/10.3390/fib13100138 - 11 Oct 2025
Cited by 3 | Viewed by 758
Abstract
The use of sisal fibers to reinforce concrete and mortar enables the development of sustainable cement-based materials suitable for various construction elements. However, the high-water absorption of natural fibers can cause dimensional instability and poor fiber–matrix bonding, which reduces strength over time. Physical [...] Read more.
The use of sisal fibers to reinforce concrete and mortar enables the development of sustainable cement-based materials suitable for various construction elements. However, the high-water absorption of natural fibers can cause dimensional instability and poor fiber–matrix bonding, which reduces strength over time. Physical and chemical treatments can decrease water absorption and enhance the dimensional stability and bonding properties of fibers, but their effects on composite performance require further clarification. This study produced composites with 2%, 3%, and 4% by mass of sisal fibers subjected to different treatments, including hornification, washed alkaline treatment, and unwashed alkaline treatment. Fibers were characterized through water absorption, dimensional variation, scanning electron microscopy (SEM), X-ray diffraction, thermogravimetric analysis and direct tensile testing. Composites were evaluated by water absorption, capillarity, drying shrinkage, direct tensile and four-point bending tests to assess the influence of fiber treatment and content. Results showed that alkaline treatment significantly improved the physical and mechanical properties of sisal fibers. Consequently, composites reinforced with alkaline-treated fibers achieved superior performance compared to those reinforced with hornified fibers, with the best results observed at the highest fiber mass fraction (4%). These findings demonstrate the potential of treated sisal fibers to enhance the durability and mechanical behavior of natural fiber-reinforced cementitious composites. Full article
Show Figures

Figure 1

29 pages, 11644 KB  
Article
Machine Learning-Driven Optimization for Evaluating the Durability of Basalt Fibers in Alkaline Environments
by Aamir Mahmood, Miroslava Pechočiaková, Blanka Tomková, Muhammad Tayyab Noman, Mohammad Gheibi, Kourosh Behzadian, Jakub Wiener and Luboš Hes
Fibers 2025, 13(10), 137; https://doi.org/10.3390/fib13100137 - 11 Oct 2025
Viewed by 991
Abstract
Basalt fiber-reinforced composites are increasingly utilized in sustainable construction due to their high strength, environmental benefits, and durability. However, the long-term tensile performance of these composites in alkaline environments remains a critical concern. This study investigates the degradation performance of basalt fibers exposed [...] Read more.
Basalt fiber-reinforced composites are increasingly utilized in sustainable construction due to their high strength, environmental benefits, and durability. However, the long-term tensile performance of these composites in alkaline environments remains a critical concern. This study investigates the degradation performance of basalt fibers exposed to different alkaline solutions (NaOH, KOH, and Ca(OH)2) with varying concentrations (5 g/L, 15 g/L, and 30 g/L) over various exposure periods (7, 14, and 28 days). The performance assessment is carried out by mechanical properties, including tensile strength and modulus of elasticity, using experimental techniques and Response Surface Methodology (RSM) to find influential factors on tensile performance. The findings indicate that tensile strength degradation is highly dependent on alkali type and concentration, with Ca(OH)2-treated fibers exhibiting superior mechanical retention (max tensile strength: 938.94 MPa) compared to NaOH-treated samples, which showed the highest degradation rate. Five machine learning (ML) models, including Tree Random Forest (TRF), Function Multilayer Perceptron (FMP), Lazy IBK, Meta Bagging, and Function SMOreg (FSMOreg), were also implemented to predict tensile strength based on exposure parameters. FSMOreg demonstrated the highest prediction accuracy with a correlation coefficient of 0.928 and the lowest error metrics (RMSE 181.94). The analysis boosts basalt fiber durability evaluations in cement-based composites. Full article
Show Figures

Figure 1

19 pages, 4970 KB  
Article
Experimental Shear Behavior of Macro-Synthetic Fiber-Reinforced Concrete Panels
by John P. Gaston, Benedikt F. Farag, Travis Thonstad and Paolo M. Calvi
Fibers 2025, 13(10), 136; https://doi.org/10.3390/fib13100136 - 10 Oct 2025
Viewed by 682
Abstract
The combined use of macro-synthetic fibers and traditional steel reinforcement in structural concrete shows promise for enhancing shear behavior, particularly with respect to crack control, ductility, and potentially strength. However, experimental data on such systems remain scarce, especially for elements subjected to pure [...] Read more.
The combined use of macro-synthetic fibers and traditional steel reinforcement in structural concrete shows promise for enhancing shear behavior, particularly with respect to crack control, ductility, and potentially strength. However, experimental data on such systems remain scarce, especially for elements subjected to pure in-plane shear, where the interaction between fibers and conventional reinforcement is not well understood. This study contributes essential experimental evidence toward addressing this gap. Nine reinforced concrete panels were tested under monotonic in-plane shear, with transverse reinforcement ratios ranging from ρv = 0% to 0.91%, and macro-synthetic fiber contents from Vf = 0% to 0.52% by volume. Results showed that fibers were highly effective in reducing crack widths at low reinforcement levels. For specimens with ρv = 0.34%, increasing Vf from 0% to 0.52% halved the maximum crack width (from 0.6 mm to 0.3 mm) and reduced the average crack width by 22% (from 0.32 mm to 0.25 mm). Potential ductility improvements were also detected at low reinforcement ratios, with increased shear strain capacities observed as fiber content increased. In contrast, the influence of fibers on shear strength was minimal across all reinforcement levels. These findings highlight the potential of macro-synthetic fibers to enhance the performance of shear-critical elements, particularly in lightly reinforced systems, while also illustrating the need for further experimental and numerical work. The results presented here provide a fundamental dataset that can support future efforts to develop reliable assessment and design approaches accounting for the simultaneous presence of steel reinforcement and synthetic fibers in concrete elements subjected to shear. Full article
Show Figures

Figure 1

13 pages, 1940 KB  
Article
A Comparative Investigation of Cotton Yarn Properties with Various Twist Factors During Yarn-Steaming Treatment
by Wenqing Zhang, Bin Chen, Ruicheng Zhang and Keshuai Liu
Fibers 2025, 13(10), 135; https://doi.org/10.3390/fib13100135 - 1 Oct 2025
Viewed by 1257
Abstract
In this investigation, C20S (29.5 tex) and C30S (19.7 tex) ring-spun cotton yarns with different twist factors were produced using the same technological parameters for the yarn steaming process. The experimental results for yarn snarling, tensile strength, hairiness, fineness, and unevenness [...] Read more.
In this investigation, C20S (29.5 tex) and C30S (19.7 tex) ring-spun cotton yarns with different twist factors were produced using the same technological parameters for the yarn steaming process. The experimental results for yarn snarling, tensile strength, hairiness, fineness, and unevenness were compared before and after steaming. Yarn snarling was clearly reduced in the spun yarn with a higher twist factor due to the elimination of internal stress imbalances. The fineness of the yarn increased slightly after the steaming treatment. Importantly, the tensile strength of the yarn was greatly enhanced due to the adjusted fibre internal stress resulting from the steaming treatment, especially for twist factors of less than 320. The rate of increase in tensile properties decreased as the twist factor increased. Furthermore, the yarn-steaming process was beneficial for hairiness, but generally detrimental to yarn irregularity. Notably, C20S ring-spun cotton yarns exhibited a slightly higher hairiness reduction ratio and unevenness than C30S ring-spun cotton yarns at the same twist factor. Ultimately, the influence of steaming on yarn properties was thoroughly studied to improve yarn quality with reduced snarling and enhanced tensile strength. Full article
Show Figures

Figure 1

17 pages, 3098 KB  
Article
Life Cycle Carbon Footprint Assessment of a Typical Bamboo-Based Fiber Composite Material
by Yu’an Hu, Hui Huang, Meiling Chen, Chunyu Pan, Amsalu Nigatu Alamerew, Jiacheng Zhang and Mei He
Fibers 2025, 13(10), 134; https://doi.org/10.3390/fib13100134 - 1 Oct 2025
Cited by 1 | Viewed by 3262
Abstract
To quantitatively assess the environmental impact of producing a typical bamboo-based fiber composite material—bamboo scrimber (BS)—and to explore pathways for low-carbon optimization, this study adopts the Life Cycle Assessment (LCA) method with a focus on carbon footprint analysis. Using the actual production process [...] Read more.
To quantitatively assess the environmental impact of producing a typical bamboo-based fiber composite material—bamboo scrimber (BS)—and to explore pathways for low-carbon optimization, this study adopts the Life Cycle Assessment (LCA) method with a focus on carbon footprint analysis. Using the actual production process of an enterprise as a case study, field data were collected and analyzed for bamboo scrimber with a nominal thickness of 1.5 cm. The results show that the carbon footprint of 1 m2 of this product is 3.11 kg CO2-eq, with the manufacturing stage contributing the highest emissions at 1.45 kg CO2-eq. The primary source of carbon emissions is steam consumption, mainly occurring during the carbonization and drying of bamboo bundles. Therefore, optimizing these stages is crucial for reducing the overall carbon footprint of the product. This study provides a scientific basis for the sustainable development of bamboo-based fiber composite materials and offers practical recommendations for improving their environmental performance in production. Full article
Show Figures

Figure 1

24 pages, 11426 KB  
Article
Structural Behaviour of Slab-on-Grade Constructed Using High-Ductility Fiber-Reinforced Cement Composite: Experimental and Analytical Investigation
by Su-Tae Kang, Nilam Adsul and Bang Yeon Lee
Fibers 2025, 13(10), 133; https://doi.org/10.3390/fib13100133 - 29 Sep 2025
Viewed by 1207
Abstract
This study investigated the structural behavior of slab-on-grade (SOG) specimens constructed using two materials: conventional concrete reinforced with steel mesh and high-ductility fiber-reinforced cement composites (HDFRCC) containing 1.2% polyethylene (PE) fiber without steel reinforcement. The compressive strengths of conventional concrete and HDFRCC were [...] Read more.
This study investigated the structural behavior of slab-on-grade (SOG) specimens constructed using two materials: conventional concrete reinforced with steel mesh and high-ductility fiber-reinforced cement composites (HDFRCC) containing 1.2% polyethylene (PE) fiber without steel reinforcement. The compressive strengths of conventional concrete and HDFRCC were 37 MPa and 54 MPa, respectively. The average flexural tensile strength of HDFRCC was 3.9 MPa at first cracking and 9.7 MPa at peak load. Punching shear tests were performed under three loading configurations: internal (center), edge, and corner loading. Crack patterns and load–displacement responses were analyzed for both material types. Under center loading, the experimentally measured load-bearing capacities were 174.52 kN for conventional concrete and 380.82 kN for HDFRCC, with both materials exhibiting reduced capacities under edge and corner loading. Analytical predictions demonstrated close agreement with the experimental results for conventional concrete but significantly underestimated the load capacity of HDFRCC SOG. This discrepancy is attributed to the strain-hardening and crack-bridging mechanisms inherent in HDFRCC, which contribute to enhanced strength beyond conventional analytical predictions. In terms of failure mode, the conventional concrete SOG exhibited the expected flexural failure. In contrast, the HDFRCC SOG experienced either flexural failure or a combination of flexural and punching failure, in contradiction to the analytical prediction of exclusive punching shear failure. These findings indicate that the punching shear resistance of the HDFRCC SOG is substantially higher than predicted. Full article
Show Figures

Figure 1

32 pages, 4213 KB  
Article
Numerical Analysis of Reinforced Concrete Frame Structures with Graphene Oxide and Study of the Earthquake-Resistant Behavior of the Structures Considering the Earthquake in Turkey and Syria (2023)
by D. Domínguez-Santos
Fibers 2025, 13(10), 132; https://doi.org/10.3390/fib13100132 - 26 Sep 2025
Viewed by 1104
Abstract
The earthquake of 6 February 2023, in Turkey and Syria, was catastrophic for many existing buildings. Various reasons have been given to try to understand what happened, since after 2000, changes in construction methods were introduced in this area, with the aim of [...] Read more.
The earthquake of 6 February 2023, in Turkey and Syria, was catastrophic for many existing buildings. Various reasons have been given to try to understand what happened, since after 2000, changes in construction methods were introduced in this area, with the aim of improving buildings. In this research, the behavior of frame buildings with a concrete structure is analyzed. To do this, graphene oxide (GO) is introduced into traditional mixtures to improve the most deficient mechanical characteristics of traditional concrete. Laboratory tests performed with GO in traditional concrete mixtures produce improvements in the mechanical analyses performed, essential characteristics for improving the structural behavior of the frame models analyzed in this research. The mechanical results show increases of 13% in the modulus of elasticity, 22% in compression strength tests, 72% in flexural-tensile strength tests, and 14% in ductility, in addition to a 4% reduction in the density of the mixture. These characteristics are essential to understand the structural improvement of the models, helping to reduce the seismic vulnerability of the structures. To reach these conclusions, static and dynamic analyses (using records of the most intense seismic activity that occurred in Turkey in 2023) are performed on three frames of 5, 10, and 20 stories in height, considering the mechanical properties of the new mixtures (traditional and GO) obtained in the laboratory. The results obtained in the analyses of the frame models using GO in the new mixtures show improvements in the structural performance of the frames, improvements that increase with increasing height of the structures. To conclude this investigation, the analyses performed on the frame models are extended with the introduction of brick walls in the exterior bays of the bare frames, a solution commonly used to improve the resistant behavior of these structures, determining a structural improvement of the models, due to the high strength and stiffness that these infill walls impart to the bare frames. Full article
Show Figures

Figure 1

17 pages, 2641 KB  
Article
Label-Free and Protein G-Enhanced Optical Fiber Biosensor for Detection of ALDH1A1 Cancer Biomarker
by Zhandos Yegizbay, Maham Fatima, Aliya Bekmurzayeva, Zhannat Ashikbayeva, Daniele Tosi and Wilfried Blanc
Fibers 2025, 13(10), 131; https://doi.org/10.3390/fib13100131 - 25 Sep 2025
Cited by 1 | Viewed by 1012
Abstract
Aldehyde dehydrogenase 1A1 (ALDH1A1) has emerged as a significant biomarker associated with tumor progression, chemoresistance, and poor prognosis in various cancers, including breast, lung, prostate, and lymphoma. Current diagnostic methods for ALDH1A1, such as flow cytometry and ELISA, are limited by long detection [...] Read more.
Aldehyde dehydrogenase 1A1 (ALDH1A1) has emerged as a significant biomarker associated with tumor progression, chemoresistance, and poor prognosis in various cancers, including breast, lung, prostate, and lymphoma. Current diagnostic methods for ALDH1A1, such as flow cytometry and ELISA, are limited by long detection times, the need for labeling, and a reduced sensitivity in complex biological matrices. This study presents a novel optical fiber biosensor based on magnesium silicate nanoparticle-doped fibers for the label-free detection of ALDH1A1. The biosensor design incorporated protein G for enhanced antibody orientation and binding efficiency and anti-ALDH1A1 antibodies for specific recognition. Several sensor configurations were fabricated using a semi-distributed interferometer (SDI) format, and their performances were evaluated across a wide concentration range (10 fM–100 nM) in both phosphate-buffered saline (PBS) and fetal bovine serum (FBS). Our findings demonstrated that the inclusion of protein G significantly improved sensor sensitivity and reproducibility, achieving a limit of detection (LoD) of 172 fM in PBS. The sensor also maintained a positive response trend in FBS, indicating its potential applicability in clinically relevant samples. This work introduces the first reported optical fiber biosensor for soluble ALDH1A1 detection, offering a rapid, label-free, and highly sensitive approach suitable for future use in cancer diagnostics. Full article
Show Figures

Figure 1

39 pages, 6287 KB  
Review
Advanced Peptide Nanofibers in Delivery of Therapeutic Agents: Recent Trends, Limitations, and Critical Properties
by Razieh Taghizadeh Pirposhteh, Omolbani Kheirkhah, Shamsi Naderi, Fatemeh Borzouee, Masoume Bazaz and Mazeyar Parvinzadeh Gashti
Fibers 2025, 13(10), 130; https://doi.org/10.3390/fib13100130 - 25 Sep 2025
Cited by 2 | Viewed by 1725
Abstract
Peptide nanofibers (PNFs) have emerged as versatile platforms for delivering therapeutic agents due to their biocompatibility, tunable characteristics, and ability to form well-ordered nanostructures. The primary goal of this review is to elaborate on the key features of common PNF fabrication strategies, including [...] Read more.
Peptide nanofibers (PNFs) have emerged as versatile platforms for delivering therapeutic agents due to their biocompatibility, tunable characteristics, and ability to form well-ordered nanostructures. The primary goal of this review is to elaborate on the key features of common PNF fabrication strategies, including both spontaneous and non-spontaneous methods, while exploring how the amino acid sequences of these peptides influence their secondary structure and fiber formation. Additionally, we have compiled studies on PNFs that investigate various delivery approaches, such as systemic delivery, localized delivery, controlled delivery, stimuli-responsive delivery, and targeted delivery. This analysis aims to guide researchers in selecting the most suitable fabrication strategy for specific delivery applications and provide insights into choosing optimal amino acids for rational peptide design. We also focused on the applications of PNFs in delivering various therapeutic agents, including drugs, functional peptides, diagnostic and imaging agents, genes, viral vectors, and vaccines, demonstrating their significant potential in biomedical applications. The synergy between nanofiber fabrication strategies and peptide chemistries offers new avenues for advancing therapeutic products. Overall, this review serves as an important reference for the design and development of advanced PNFs for the effective delivery of various therapeutic agents. Full article
(This article belongs to the Collection Review Papers of Fibers)
Show Figures

Figure 1

Previous Issue
Next Issue
Back to TopTop