Thermal Recycling Process of Carbon Fibers from Composite Scrap—Characterization of Pyrolysis Conditions and Determination of the Quality of Recovered Fibers
Abstract
1. Introduction
2. Materials and Methods
2.1. Initial Materials
2.2. Pyrolysis Process and Composite Lamination
2.3. Methods
2.3.1. Thermogravimetry Analysis (TGA)
2.3.2. Morphological Analysis by Scanning Electron Microscope (SEM)
2.3.3. Mechanical Strength—Bending Tests
2.3.4. Dynamic Mechanical Analysis (DMA)
3. Results and Discussion
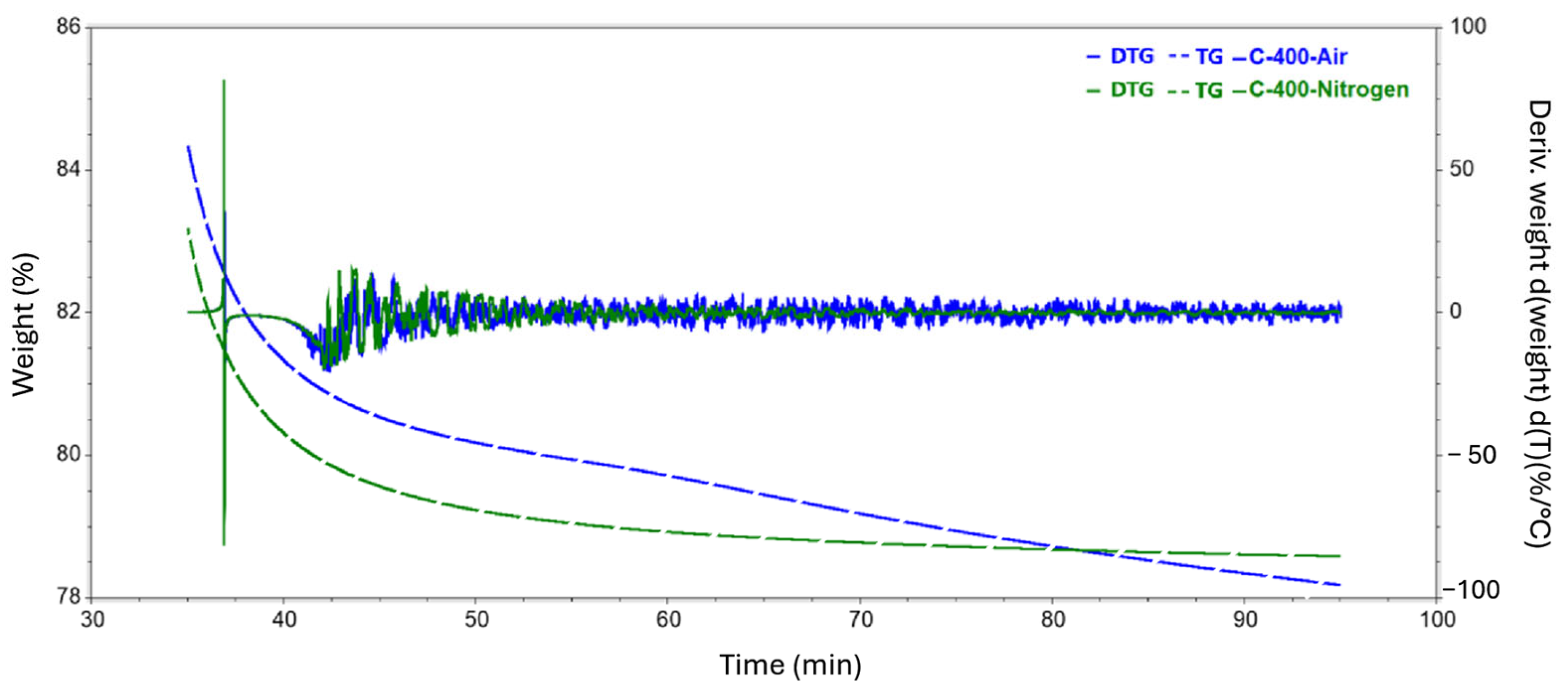
3.1. Thermal Decomposition/Stability of Composites
3.2. Morphological Analysis
3.3. Mechanical Strength—Flexural Tests
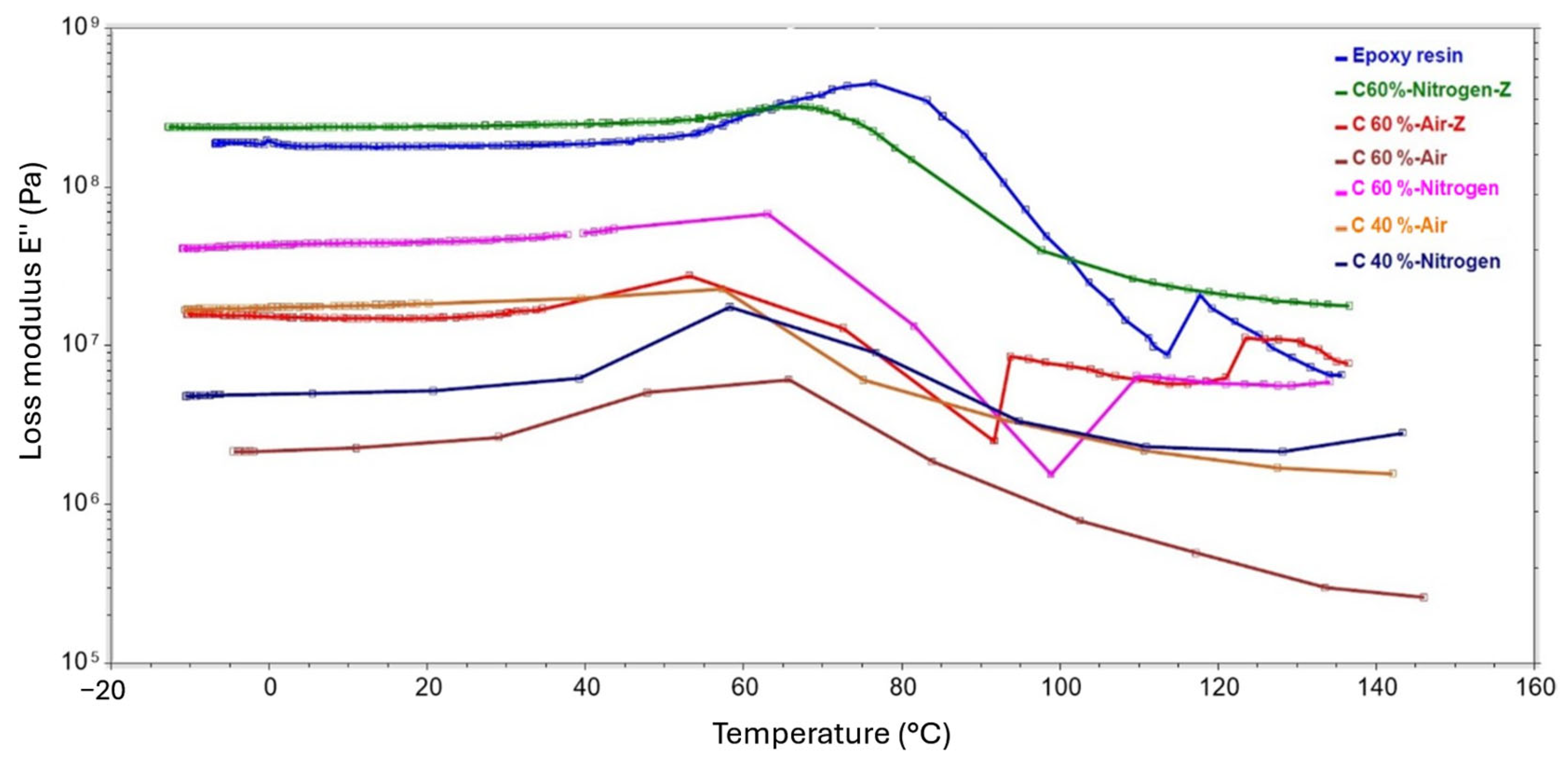
3.4. Results of Dynamic Mechanical Analysis (DMA)
4. Conclusions
Author Contributions
Funding
Data Availability Statement
Conflicts of Interest
References
- Zhang, J.; Chaisombat, K.; He, S.; Wang, C.H. Glass/Carbon Fibre Hybrid Composite Laminates for Structural Applications in Automotive Vehicles. In Sustainable Automotive Technologies 2012; Springer: Berlin/Heidelberg, Germany, 2012; pp. 69–74. [Google Scholar]
- Rajak, D.K.; Wagh, P.H.; Linul, E. Manufacturing Technologies of Carbon/Glass Fiber-Reinforced Polymer Composites and Their Properties: A Review. Polymers 2021, 13, 3721. [Google Scholar] [CrossRef] [PubMed]
- Park, S.-J.; Kim, B.-J. Carbon Fibers and Their Composites; Springer: Dordrecht, The Netherlands, 2015; pp. 275–317. [Google Scholar]
- Carbon Fiber Reinforced Plastic Market Size, Share & Trends Analysis Report by Raw Material, by Product (Thermosetting, Thermoplastic), by Application, by Region, and Segment Forecasts, 2023–2030. Available online: https://www.grandviewresearch.com/industry-analysis/carbon-fiber-market (accessed on 18 August 2024).
- Chen, P.-Y.; Feng, R.; Xu, Y.; Zhu, J.-H. Recycling and Reutilization of Waste Carbon Fiber Reinforced Plastics: Current Status and Prospects. Polymers 2023, 15, 3508. [Google Scholar] [CrossRef] [PubMed]
- Lunetto, V.; Galati, M.; Settineri, L.; Iuliano, L. Sustainability in the Manufacturing of Composite Materials: A Literature Review and Directions for Future Research. J. Manuf. Process. 2023, 85, 858–874. [Google Scholar] [CrossRef]
- Griffith, D.T.; Cao, D.; Lu, H.; Qian, D. Composite Materials in Wind Energy: Design, Manufacturing, Operation, and End-of-Life. IOP Conf. Ser. Mater. Sci. Eng. 2023, 1293, 012002. [Google Scholar] [CrossRef]
- Lefeuvre, A.; Garnier, S.; Jacquemin, L.; Pillain, B.; Sonnemann, G. Anticipating In-Use Stocks of Carbon Fiber Reinforced Polymers and Related Waste Flows Generated by the Commercial Aeronautical Sector until 2050. Resour. Conserv. Recycl. 2017, 125, 264–272. [Google Scholar] [CrossRef]
- Isa, A.; Nosbi, N.; Che Ismail, M.; Md Akil, H.; Wan Ali, W.F.F.; Omar, M.F. A Review on Recycling of Carbon Fibres: Methods to Reinforce and Expected Fibre Composite Degradations. Materials 2022, 15, 4991. [Google Scholar] [CrossRef]
- Asmatulu, E.; Twomey, J.; Overcash, M. Recycling of Fiber-Reinforced Composites and Direct Structural Composite Recycling Concept. J. Compos. Mater. 2014, 48, 593–608. [Google Scholar] [CrossRef]
- Karuppannan Gopalraj, S.; Kärki, T. A Review on the Recycling of Waste Carbon Fibre/Glass Fibre-Reinforced Composites: Fibre Recovery, Properties and Life-Cycle Analysis. SN Appl. Sci. 2020, 2, 433. [Google Scholar] [CrossRef]
- Pickering, S.J. Recycling Technologies for Thermoset Composite Materials—Current Status. Compos. Part A Appl. Sci. Manuf. 2006, 37, 1206–1215. [Google Scholar] [CrossRef]
- Pakdel, E.; Kashi, S.; Varley, R.; Wang, X. Recent Progress in Recycling Carbon Fibre Reinforced Composites and Dry Carbon Fibre Wastes. Resour. Conserv. Recycl. 2021, 166, 105340. [Google Scholar] [CrossRef]
- Song, H.; He, G.; He, Y.; Huang, L.; Gao, Z.; Zhang, R.; Zhang, L.; Liu, H.; Liu, C. Effects of Surface Modification on Mechanical Properties and Electromagnetic Interference Shielding Properties of Carbon Fiber/Silk Fiber Hybrid Composites. Polym. Compos. 2024, 45, 10276–10289. [Google Scholar] [CrossRef]
- He, Y.; Chen, Q.; Wu, D.; Zhou, M.; Wang, T.; Lu, C.; Zhang, L.; Liu, H.; Liu, C. Effect of Multiscale Reinforcement by Fiber Surface Treatment with Polyvinyl Alcohol/Graphene Oxide/Oxidized Carbon Nanotubes on the Mechanical Properties of Reinforced Hybrid Fiber Composites. Compos. Sci. Technol. 2021, 204, 108634. [Google Scholar] [CrossRef]
- Witik, R.A.; Teuscher, R.; Michaud, V.; Ludwig, C.; Månson, J.-A.E. Carbon Fibre Reinforced Composite Waste: An Environmental Assessment of Recycling, Energy Recovery and Landfilling. Compos. Part A Appl. Sci. Manuf. 2013, 49, 89–99. [Google Scholar] [CrossRef]
- Oliveux, G.; Dandy, L.O.; Leeke, G.A. Current Status of Recycling of Fibre Reinforced Polymers: Review of Technologies, Reuse and Resulting Properties. Prog. Mater. Sci. 2015, 72, 61–99. [Google Scholar] [CrossRef]
- Schinner, G.; Brandt, J.; Richter, H. Recycling Carbon-Fiber-Reinforced Thermoplastic Composites. J. Thermoplast. Compos. Mater. 1996, 9, 239–245. [Google Scholar] [CrossRef]
- Ozdemir, T.; Deitzel, J.M.; Crane, R.; Yarlagadda, S.; Blackwell, C.; Davis, M.; Emmerich, R.; Heider, D. Carbon Fiber Composites Recycling Technology Enabled by the TuFF Technology. Recycling 2024, 9, 11. [Google Scholar] [CrossRef]
- Smoleń, J.; Olesik, P.; Jała, J.; Adamcio, A.; Kurtyka, K.; Godzierz, M.; Kozera, R.; Kozioł, M.; Boczkowska, A. The Use of Carbon Fibers Recovered by Pyrolysis from End-of-Life Wind Turbine Blades in Epoxy-Based Composite Panels. Polymers 2022, 14, 2925. [Google Scholar] [CrossRef] [PubMed]
- Ren, Y.; Xu, L.; Shang, X.; Shen, Z.; Fu, R.; Li, W.; Guo, L. Evaluation of Mechanical Properties and Pyrolysis Products of Carbon Fibers Recycled by Microwave Pyrolysis. ACS Omega 2022, 7, 13529–13537. [Google Scholar] [CrossRef] [PubMed]
- Onwudili, J.A.; Miskolczi, N.; Nagy, T.; Lipóczi, G. Recovery of Glass Fibre and Carbon Fibres from Reinforced Thermosets by Batch Pyrolysis and Investigation of Fibre Re-Using as Reinforcement in LDPE Matrix. Compos. B Eng. 2016, 91, 154–161. [Google Scholar] [CrossRef]
- Wei, Y.; Hadigheh, S.A. Enhancing Carbon Fibre Recovery through Optimised Thermal Recycling: Kinetic Analysis and Operational Parameter Investigation. Mater. Today Sustain. 2024, 25, 100661. [Google Scholar] [CrossRef]
- Deng, J.; Xu, L.; Zhang, L.; Peng, J.; Guo, S.; Liu, J.; Koppala, S. Recycling of Carbon Fibers from CFRP Waste by Microwave Thermolysis. Processes 2019, 7, 207. [Google Scholar] [CrossRef]
- Hao, S.; He, L.; Liu, J.; Liu, Y.; Rudd, C.; Liu, X. Recovery of Carbon Fibre from Waste Prepreg via Microwave Pyrolysis. Polymers 2021, 13, 1231. [Google Scholar] [CrossRef] [PubMed]
- Meyer, L.O.; Schulte, K.; Grove-Nielsen, E. CFRP-Recycling Following a Pyrolysis Route: Process Optimization and Potentials. J. Compos. Mater. 2009, 43, 1121–1132. [Google Scholar] [CrossRef]
- ISO 11119-3:2013; Gas Cylinders—Refillable Composite Gas Cylinders and Tubes—Design, Construction and Testing—Part 3: Fully Wrapped Fibre Reinforced Composite Gas Cylinders and Tubes Up to 450 L with Non-Load-Sharing Metallic or Non-Metallic Liners. International Organization for Standardization: Geneva, Switzerland, 2013.
- EN 12245:2009+A1:2011; Transportable Gas Cylinders—Fully Wrapped Composite Cylinders. European Committee for Standardization: Brussels, Belgium, 2011.
- ISO 178:2019; Plastics—Determination of Flexural Properties. International Organization for Standardization: Geneva, Switzerland, 2019.
- Yatim, N.M.; Shamsudin, Z.; Shaaban, A.; Sani, N.A.; Jumaidin, R.; Shariff, E.A. Thermal Analysis of Carbon Fibre Reinforced Polymer Decomposition. Mater. Res. Express 2020, 7, 015615. [Google Scholar] [CrossRef]
- Matielli Rodrigues, G.G.; Faulstich de Paiva, J.M.; Braga do Carmo, J.; Botaro, V.R. Recycling of Carbon Fibers Inserted in Composite of DGEBA Epoxy Matrix by Thermal Degradation. Polym. Degrad. Stab. 2014, 109, 50–58. [Google Scholar] [CrossRef]























| Sample Name | Carbon Fiber Content [%] | Epoxy Content [%] | Type of Atmosphere |
|---|---|---|---|
| C-40%-N | 40 | 60 | Nitrogen |
| C-60%-N | 60 | 40 | Nitrogen |
| C-60%-N-Z 1 | 60 | 40 | Nitrogen |
| C-40%-A | 40 | 60 | Air |
| C-60%-A | 60 | 40 | Air |
| C-60%-A-Z 1 | 60 | 40 | Air |
| Epoxy resin | - | 100 | - |
| Maximum Temperature [°C] | Type of Atmosphere | Temperature of Onset of Matrix Decomposition [°C] | Temperature of Endset of Matrix Decomposition [°C] | Residual Mass [%] |
|---|---|---|---|---|
| 140 | Nitrogen | - | - | 99.82 |
| Air | - | - | 99.74 | |
| 400 | Nitrogen | 304.00 | - | 83.19 |
| Air | 251.04 | - | 84.35 | |
| 500 | Nitrogen | 286.10 | 461.44 | 80.84 |
| Air | 254.71 | 458.11 | 77.30 | |
| 600 | Nitrogen | 279.87 | 461.19 | 77.71 |
| Air | 253.02 | 456.83 | 69.94 | |
| 700 | Nitrogen | 330.16 | 460.85 | 74.41 |
| Air | 254.58 | 459.40 | 64.92 |
| Annealing Temperature [°C] | Atmosphere | Weight Loss [%] | Residual Mass [%] |
|---|---|---|---|
| 140 | Nitrogen | 0.106 | 99.687 |
| Air | 0.261 | 99.555 | |
| 400 | Nitrogen | 4.601 | 78.584 |
| Air | 6.156 | 78.180 | |
| 500 | Nitrogen | 1.982 | 78.450 |
| Air | 6.809 | 50.110 | |
| 600 | Nitrogen | 3.415 | 74.290 |
| Air | 19.877 | 50.110 | |
| 700 | Nitrogen | 0.223 | 74.203 |
| Air | 63.751 | 0.752 |
| Sample Name | Modulus [MPa] | Flexural Strength [MPa] | Strain at Flexural Strength [%] |
|---|---|---|---|
| C-60%-N | 2051.7 ± 97.4 | 53.0 ± 3.2 | 3.2 ± 0.3 |
| C-40%-N | 227.42 ± 8.7 | 18.8 ± 2.6 | 16.7 ± 1.2 |
| C-60%-N-Z 1 | 1834.7 ± 89.6 | 64.3 ± 2.8 | 5.2 ± 0.4 |
| C-60%-A | 114.8 ± 10.8 | 14.3 ± 2.2 | 17.1 ± 1.6 |
| C-40%-A | 190.4 ± 19.4 | 15.0 ± 3.1 | 6.2 ± 1.1 |
| C-60%-A-Z 1 | 322.2 ± 13.2 | 18.3 ± 1.5 | 11.1 ± 0.8 |
| Sample Name | Storage Modulus at 22 °C [GPa] | Loss Modulus at 22 °C [GPa] | Temp. at the Max Value of the Tangent of the Angle of Mechanical Loss [°C] |
|---|---|---|---|
| Epoxy resin | 2.408 ± 0.021 | 0.183 ± 0.010 | 90.264 |
| C-40%-N | 0.128 ± 0.013 | 0.005 ± 0.003 | 76.714 |
| C-60%-N | 0.615 ± 0.016 | 0.046 ± 0.008 | 63.059 |
| C-60%-N-Z 1 | 1.514 ± 0.020 | 0.244 ± 0.013 | 74.094 |
| C-40%-A | 0.206 ± 0.009 | 0.018 ± 0.003 | 57.234 |
| C-60%-A | 0.069 ± 0.008 | 0.003 ± 0.001 | 65.715 |
| C-60%-A-Z 1 | 0.336 ± 0.010 | 0.015 ± 0.002 | 72.603 |
| Sample Name | Glass Transition Temperature [°C] | |
|---|---|---|
| Nitrogen | Air | |
| Epoxy resin | 76.5 | |
| C-40% | 58.2 | 57.2 |
| C-60% | 63.1 | 65.7 |
| C-60% Z 1 | 66.3 | 53.1 |
Disclaimer/Publisher’s Note: The statements, opinions and data contained in all publications are solely those of the individual author(s) and contributor(s) and not of MDPI and/or the editor(s). MDPI and/or the editor(s) disclaim responsibility for any injury to people or property resulting from any ideas, methods, instructions or products referred to in the content. |
© 2024 by the authors. Licensee MDPI, Basel, Switzerland. This article is an open access article distributed under the terms and conditions of the Creative Commons Attribution (CC BY) license (https://creativecommons.org/licenses/by/4.0/).
Share and Cite
Szatkowski, P.; Twaróg, R. Thermal Recycling Process of Carbon Fibers from Composite Scrap—Characterization of Pyrolysis Conditions and Determination of the Quality of Recovered Fibers. Fibers 2024, 12, 68. https://doi.org/10.3390/fib12080068
Szatkowski P, Twaróg R. Thermal Recycling Process of Carbon Fibers from Composite Scrap—Characterization of Pyrolysis Conditions and Determination of the Quality of Recovered Fibers. Fibers. 2024; 12(8):68. https://doi.org/10.3390/fib12080068
Chicago/Turabian StyleSzatkowski, Piotr, and Rafał Twaróg. 2024. "Thermal Recycling Process of Carbon Fibers from Composite Scrap—Characterization of Pyrolysis Conditions and Determination of the Quality of Recovered Fibers" Fibers 12, no. 8: 68. https://doi.org/10.3390/fib12080068
APA StyleSzatkowski, P., & Twaróg, R. (2024). Thermal Recycling Process of Carbon Fibers from Composite Scrap—Characterization of Pyrolysis Conditions and Determination of the Quality of Recovered Fibers. Fibers, 12(8), 68. https://doi.org/10.3390/fib12080068

