Next Article in Journal
Improvement in Tribological Properties of Cr12MoV Cold Work Die Steel by HVOF Sprayed WC-CoCr Cermet Coatings
Previous Article in Journal
Influence of Growth Temperature of the Nucleation Layer on the Growth of InP on Si (001)
 
 
Font Type:
Arial Georgia Verdana
Font Size:
Aa Aa Aa
Line Spacing:
Column Width:
Background:
Article

Preparation and Photocatalytic Properties of CdS/F–TiO2 Composites

1
College of Chemistry and Chemical Engineering, Neijiang Normal University, Neijiang 641112, China
2
Key Laboratory of Fruit Waste Treatment and Resource Recycling of the Sichuan Provincial College, Neijiang 641112, China
3
School of Computer Science and Technology, Southwest University of Science and Technology, Mianyang 621010, China
*
Author to whom correspondence should be addressed.
Coatings 2019, 9(12), 824; https://doi.org/10.3390/coatings9120824
Submission received: 12 October 2019 / Revised: 27 November 2019 / Accepted: 2 December 2019 / Published: 4 December 2019

Abstract

F–TiO2 was prepared by a simple precipitation method using titanium sulfate as the titanium source, hydrogen fluoride as the fluorine source and ammonia as the precipitant. CdS/F–TiO2 composites were prepared by hydrothermal synthesis of CdS and F–TiO2. The surface morphology, crystal phase composition, ultraviolet absorption band, fluorescence intensity, element composition, valence state, specific surface and pore structure of the samples were characterized by using field emission scanning electron microscopy (FESEM), X-ray diffraction (XRD), ultraviolet visible absorption spectrum (UV-Vis-Abs), Molecular fluorescence spectrophotometer (PL) and X-Ray photoelectron spectroscopy (XPS) and Surface area analyzer (BET), respectively. The effects of the dosage of the photocatalyst, pH value, the concentration of methyl orange and the addition of H2O2 on the photocatalytic performance were investigated with methyl orange solution as the target degradation product. The results showed the optimum condition for photodegradation of methyl orange by 1% CdS/F–TiO2 is that the pH value, the solid-liquid ratio, the concentration of methyl orange and the dosage of H2O2 is 2, 2 g/L, 10 mg/L and 3%, respectively. Under the same conditions, the degradation rate of methyl orange by 1% CdS/F–TiO2 was 93.36% when 300 W metal halide lamp was irradiated for 20 minutes, which was significantly higher than that of F–TiO2. CdS has a significant effect on the morphology, crystallinity, grain size and the compound probability of electrons and holes after the F–TiO2 modification. The composite causes a significant red shift at the edge of the F–TiO2 light absorption band. The photocatalytic degradation of methyl orange by 1% CdS/F–TiO2 follows the Langmuir-Hinshelwood first-order kinetic model.

1. Introduction

At present, there are many kinds of photocatalysts, including semiconductor metal oxides and sulfides, such as TiO2, ZnO, CdS, ZnS, and so forth [1,2,3,4,5]. Among them, TiO2 has received extensive attention from scholars because of its low cost, good photocatalytic activity and non-toxicity. However, because the photogenerated electrons and holes of TiO2 are easy to recombine and can only have a strong photocatalytic effect under ultraviolet light with a wavelength less than 387 nm, the photocatalytic activity under the sunlight is very poor and the utilization rate of visible light is very small, which limits its wide application [6]. In order to solve this problem and make full use of the large proportion of visible light in sunlight, some methods are needed to improve the photocatalytic performance of TiO2 photocatalyst. The common modification methods are—metal and non-metal ion doping [7,8], ion co-doping [9], semiconductor compound [10], noble metal deposition [11], exposure of specific crystal surfaces [12] and the like.
Since Minero et al. [13] found in 2000 that the modification of F could effectively improve the photocatalytic degradation activity of TiO2 on phenol, fluorine modified TiO2 has become a research hotspot [14,15,16]. Yu et al. [17] showed that the crystallinity of anatase was improved after F doping and F could not only inhibit the formation of slate phase but also prevent anatase phase from transforming into rutile. The band gap energy decreased significantly with the increase of light absorption, thus improving the photocatalytic performance. Zhong et al. [18] synthesized fluorine modified TiO2 hollow microspheres by solvothermal method. It was found that fluoride promoted the growth of titanium dioxide anatase crystals. The formation of ≡Ti–F on the surface of TiO2 as the capture site of photogenerated electrons effectively captured photogenerated electrons, thus effectively reducing the recombination rate of photogenerated electrons and holes and enhancing photocatalytic activity. In addition, ≡Ti–F can promote the formation of highly active hydroxyl radicals and improve the photocatalytic performance.
In addition, semiconductor composites is also a good method of improving the photocatalytic activity of titanium dioxide. Semiconductor composite is mainly composed of semiconductor particles with a large band gap width and low conduction band energy and another semiconductor particle with a small band gap width and high conduction band energy. In essence, it is the modification of one kind of particle to another kind of particle. CdS is a common semiconductor material in photocatalyst research. The band gap width of CdS is about 2.42 eV, which is narrower than that of TiO2. This leads to the difference between the two. The electrons in the valence band of CdS can be stimulated by visible and ultraviolet light and migrate to the conduction band. In view of this characteristic, CdS can decompose pollutants in natural light [19,20]. As the conduction band of CdS is more negative than that of TiO2, the photogenerated electrons generated by CdS will transfer from the conduction band of CdS to the conduction band of TiO2, thus effectively inhibiting the recombination of photogenerated electrons and holes [10]. For the CdS/TiO2 composite formed by semiconductor composite, it combines the advantages of the two materials and has better stability and effectively improves the responsiveness to sunlight.
It can be seen from the above that the photocatalytic performance of TiO2 can be effectively improved by fluorination modification or CdS compounding. In this work, CdS/F–TiO2 composites were prepared by compounding fluorinated titanium dioxide prepared by simple precipitation method and CdS for the first time. The photocatalytic properties of the samples were studied using methyl orange as simulated sewage.

2. Experimental

2.1. Preparation of F–TiO2

Two-point-four grams of titanium sulfate was dissolved in 50 mL distilled water and 3.6 mL hydrofluoric acid (Ti:F = 1:20) was added under stirring. After stirring for 5 min, ammonia water was added slowly and adjusted to pH = 8–9. After stirring for 20 min, the distilled water was centrifuged and dried at 80 °C. The samples were ground into powder and placed in a crucible for calcining in a muff furnace. The heating rate was 1 °C/min and the temperature was kept at 550 °C for 2 h. F–TiO2 was obtained by cooling the samples to room temperature in the furnace. Pure TiO2 was prepared without hydrofluoric acid in the above method.

2.2. Preparation of CdS/F–TiO2 Composites

One gram of F–TiO2 prepared in “2.1” was added to a beaker, followed by adding 20 mL distilled water. Then an appropriate amount of Cd(NO3)2·4H2O and Na2S·9H2O were added respectively and the mass ratios of CdS and F–TiO2 were controlled to be 0.5%, 1% and 2%. Yellow precipitate was formed after stirring for 20 min and finally placed in the reactor for reaction for 4 h at 200 °C. After natural cooling, it was centrifuged and washed for 3 times with distilled water and finally dried at 80 °C to obtain CdS/F–TiO2 composite material.

2.3. Evaluation of Photocatalytic Performance

Methyl orange solution (30 mL, 20 mg/L) was put into a quartz tube and 0.02 g photocatalyst was added. Then, the quartz tube was placed in photochemical reactor. The mixture was first kept in the dark for 30 min and then centrifuged for 10 min. The absorbance was measured as the initial absorbency (A0). After that, photochemical reactor was turned on and the power of metal halide lamp was adjusted (wavelength range: 280–780 nm) to 300 W for photocatalytic degradation. The absorbance (At) was measured at regular intervals and the degradation rate was calculated by the Equation (1). The photocatalytic performance of the sample was reflected by the degradation rate.
Degradation   rate   = ( A 0 A t ) A 0 × 100 %

2.4. Characterization

The surface morphology of the samples was characterized by field emission scanning electron microscopy (SIGMA 300, Carl Zeiss Co., Ltd., Jena, Germany); The crystal phase composition of the samples was investigated with X-ray diffraction (DX-2700, Dandong Haoyuan Instrument Co., Ltd., Liaoning, China) using Cu Kα radiation at a scanning rate of 0.05° s−1 and a working voltage/current of 40 kV/40 mA. Ultraviolet absorption band of the samples were analyzed by an ultraviolet visible spectrophotometer (UV-vis DRS, UV2700, Shimadzu Corporation, Kyoto, Japan). The elemental composition and valence state of the sample were characterized by using X-ray photoelectron spectroscopy (XPS, Escalab 250 Xi, ThermoFisher Scientific, Waltham, MA, USA). The recombination degree of photo-generated electron and hole was characterized by using an molecular fluorescence spectrophotometer (F-4600, Hitachi, Tokyo, Japan). The specific surface area and pore structure were characterized by a specific surface area analyzer (Autosorb iQ2, Quantachrome, Boynton Beach, FL, USA). The methyl orange solution was used to simulate the organic substances in the sewage, and the photocatalytic performance of the sample was evaluated using a photochemical reactor (BL-GHX-V, Shanghai Bilion Instrument Co., Ltd., Shanghai, China). The absorbance of methyl orange solution was determined by an ultraviolet-visible spectrophotometer (Model 752, Shanghai Xinmao Instrument Co., Ltd., Shanghai, China).

3. Results and Discussion

3.1. FESEM Analysis

Figure 1 is a field emission scanning electron microscopic photograph of CdS/F–TiO2 samples with different proportions. It can be observed from Figure 1 that the microscopic morphology of the sample is mainly a block with uniform size but irregular morphology and the particle size is nano scale (30–50 nm). On the whole, the particle size of the CdS/F–TiO2 composite material is larger than that of F–TiO2 and the particle size increases with the increase proportion of CdS. There were obvious agglomeration phenomena in the other four samples. This is because the sample is a nano material and the larger the specific surface area, the higher the specific surface energy, the easier it is to agglomerate. From the viewpoint of a single particle, the four samples are accumulated by very small particles, which gives the large particles a rough surface and enlarges the specific surface area, thus effectively improving the photocatalytic performance. It is indicated that the combination of CdS and F–TiO2 has no significant effect on the surface morphology. CdS is mainly attached to the surface of F–TiO2 particles by chemical adsorption, resulting in the increase of particle size.

3.2. XRD Analysis

Figure 2 shows the X-ray diffraction (XRD) spectra of CdS/F–TiO2 composites with different proportions. It is known that the diffraction angles of the characteristic peaks on the surface of anatase titanium dioxide (101) and rutile titanium dioxide (110) are 2θ = 25.3° and 2θ = 27.5°, respectively. It can be seen from the four curves that only the characteristic peak of anatase type titanium dioxide were observed in the samples and there were no diffraction peaks of rutile type and plate titanium type titanium dioxide and no diffraction peaks of fluorine-related compounds were detected. When the contents of CdS were 0.5% and 2%, the characteristic peak of CdS appeared in CdS/F–TiO2 composite but the intensity is poor. However, there are no diffraction peaks related to CdS in the Figure 2c curves. For the sample 1% CdS/F–TiO2, CdS and F–TiO2 may be well compounded and the whole concentration of CdS is below the detection limit of XRD. However, it is deserved to be mentioned that the results cannot exclude the presence of small nanocrystalline rutile TiO2 or CdS particles, with the sizes below detection limit. In addition, after composite, some lattice defects may be caused, which resulted in the diffraction peaks broadening or even not be detected. However, 0.5% CdS/F–TiO2 showed a weak CdS diffraction peak, which may be due to the fact that CdS and F–TiO2 samples may be not compounded evenly, leading to a high concentration of CdS in some areas and the appearance of weak X-ray diffraction peak. In the whole, the crystallinity of the four samples is high and the diffraction peaks of anatase are obvious. With the increase of CdS content, the diffraction peak strength of anatase in CdS/F–TiO2 composites decreases significantly. It may be related that CdS is attached to the surface of TiO2, which causes its overall crystallinity to become worse. It is also possible that CdS enters the TiO2 lattice, resulting in lattice defects [21]. As a result, the intensity of the diffraction peak intensity is weakened. According to the basic theory of X-ray diffraction, the intensity and sharpness of the diffraction peak of the sample are not only related to the crystallinity of TiO2 but also to the grain size. The grain size of the sample can be calculated by the Scherrer Equation (2) and the results are shown in Table 1 [22]. According to Scherrer formula and the data in Table 1, the grain size of CdS/F–TiO2 composites decreases with the increase of CdS content. It is indicated that the modification of CdS has an inhibitory effect on the crystallinity and grain growth of fluorinated titanium dioxide, which can improve the photocatalytic performance of TiO2 to a certain extent.
D = Kλ/(βcosθ) (nm)
Figure 3 shows the crystallinity spectrum of TiO2 and 1% CdS/F–TiO2. Phase analysis employs the diffractograms of the pure crystalline and pure amorphous phases to decompose the X-ray diffraction pattern of the mixture sample. By setting the Bragg-Brentano geometry and polarization value as 0.5. The results showed that the crystallinity of pure TiO2 was 100% and that of 1% CdS/F–TiO2 was 62.75%, which demonstrates that CdS has an inhibitory effect on the crystallinity of fluorinated titanium dioxide.

3.3. UV-Vis-Abs Analysis

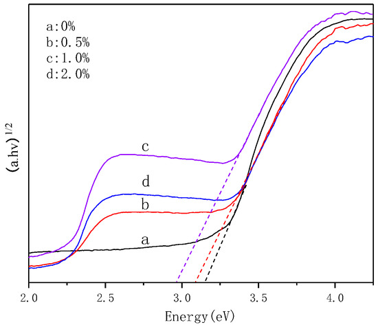
Figure 4 shows the ultraviolet-visible absorption spectra (UV-Vis-Abs) of CdS/F–TiO2 particles with different proportions. It can be seen from Figure 4 that the absorption intensity of the fluorinated titanium dioxide modified by CdS in the optical region of 470–540 nm increased to a large extent, while the absorption intensity in the visible light region with a wavelength more than 540 nm is decreased. When the content of CdS is 1%, the absorption intensity of the sample in the light region less than 470 nm also increases. The light absorption ability of photocatalyst is closely related to the photocatalytic activity of the catalyst. Under the same conditions, the stronger the photocatalyst’s ability to absorb light, the higher its photocatalytic activity. Two threshold wavelengths appeared after the combination of cadmium sulfide and titanium dioxide. The threshold wavelength at about 400 nm should be titanium dioxide and the threshold wavelength at about 550 nm should be cadmium sulfide. It can be seen from Figure 5 that the band gap energy of F–TiO2 particles is about 3.15 eV and the band gap energy of 0.5% and 2% CdS/F–TiO2 composites is 3.10 eV, while that of 1% CdS/F–TiO2 is 2.96 eV. The threshold wavelength (λg) of 1% CdS/F–TiO2 is the largest about 550 nm, that is, the band gap energy is the smallest. Generally speaking, the band gap energy of anatase titanium dioxide is about 3.2 eV. It indicates that the band gap energy of F–TiO2 in this work decreases to a certain extent compared with that of general anatase-type titanium dioxide and the band gap energy of F–TiO2 can also be significantly reduced by CdS modification. The results showed that the absorption band edges of F–TiO2 were redshifted obviously after CdS modification.
The absorption band edge of fluoride titanium dioxide was redshifted after modification with CdS. The reason is that after CdS is combined with TiO2, when a certain amount of light is irradiated, the electrons on CdS are transitioned. Because the conduction band of CdS is higher than that of TiO2, that is, photogenerated electrons can be transferred more to TiO2. On the conduction band and photogenerated holes remain in the valence band of CdS, which effectively reduces the electron-hole pair recombination [23]. In addition, the band gap width decreases and the band gap structure changes after the combination of F–TiO2 and CdS. The above two broaden the response range of CdS/F–TiO2 to visible region [24]. The reason for the enhancement of light absorption intensity is that CdS has a strong light absorption in the light region with a wavelength less than 500 nm. TiO2 combined with CdS has some advantages of cadmium sulfide, so the absorption of light in the region of 380–500 nm is obviously enhanced, which is consistent with Hu et al. [25].

3.4. BET Analysis

In order to determine the specific surface area and pore structure, a specific surface area analyzer (BET) test of the composite materials was carried out. Figure 6 shows N2 adsorption desorption isothermal curve and pore size distribution of F–TiO2 and 1% CdS/F–TiO2 samples. As shown in Figure 6, both of them belong to H4 type IV with a hysteresis loop. The hysteresis loop of F–TiO2 occurs at the relative pressure of 0.20 and that of 1% CdS/F–TiO2 occurs at the relative pressure of 0.40, which indicates that the pore structure of the sample is irregular, mainly the mixture of micropores and mesopores and the narrow fracture pore [26,27]. It can be seen from the pore size distribution diagram that the pore size distribution of Figure 6a is not uniform and the number of pores is very small, which can be ignored basically. The pore size distribution in Figure 6b is also uneven, mainly mesoporous structure. The pore size is mainly distributed in the range of 2–2.5 nm and 10–30 nm and the most at 17.45 nm. The number of pore with a pore size larger than 40 nm of F–TiO2 sample is significantly more than that of 1% CdS/F–TiO2, which illustrates that the introduction of CdS promotes the formation of micropores and mesopores in F–TiO2 and inhibits the formation of macropores. It may be that the adsorption of CdS on the surface blocks the macropores of F–TiO2. The increase of micropores and mesopores may be due to the fact that it is not seamless accumulation between CdS particles adsorbed on the surface of F–TiO2. The gap formed by the particle accumulation was just micropores and mesopores. It can be seen from Table 2 that the specific surface area of 1% CdS/F–TiO2 is larger than that of F–TiO2, showing that the composite of CdS increases the specific surface area of F–TiO2, which attributed to the increased micropores and mesopores and pore volume.

3.5. XPS Analysis

The effect of CdS modified fluorinated titania catalyst on surface element composition and valence state was investigated by X-ray photoelectron spectroscopy XPS characterization. The results are shown in Figure 7. Among them, a is the XPS full spectrum of the sample, b, c, d, e and f are the spectra of Ti, O, F, S and Cd, respectively. It can be seen from Figure 7 that F–TiO2 and CdS/F–TiO2 are mainly composed of Ti, O and C, among which C element was introduced into the sample during the test. Both CdS/F–TiO2 and F–TiO2 contain a small amount of F, while CdS/F–TiO2 contains a certain amount of Cd and S. Figure 7b is the XPS spectrum of Ti element, in which the binding energies of the spin orbitals Ti 2p3/2 and Ti 2p1/2 of Ti in fluorinated titanium dioxide are 458.63 eV and 464.43 eV, respectively. The peaks at 458.63 eV belong to Ti3+ while those at 464.43 eV belong to Ti4+ [28]. Moreover, the binding energy of Ti elements in the sample is larger than that of standard Ti in TiO2, which indicates that Ti mainly exists in the form of Ti4+ [29]. Compared with F–TiO2, the spin orbital binding energies of Ti elements in CdS/F–TiO2 samples decreased by 0.19 eV and 0.19 eV, respectively, indicating that the modification of CdS has a great change in the chemical bond environment around Ti4+. It may be due to that some S atoms replace the O atoms in the crystal lattice to form Ti–S bonds, some Cd atoms enter into the lattice of titanium fluoride to form Ti–O–Cd bonds and the composite CdS on the surface of F–TiO2 also has some influence on the electrons state around the Ti atom. The two combined action makes the electron cloud density of Ti atom increase, which results in the peak of the latter Ti element moves towards the direction of low energy after compound [30]. XPS spectra of O element are shown in Figure 7c. The binding energy of CdS/F–TiO2 in O 1s orbital is 0.22 eV smaller than that of F–TiO2. The first reason is that S atom enters F–TiO2 lattice to form O–Ti–S bond and the second reason is that Cd atom replaces titanium atom in the lattice to form Ti–O–Cd bond. That is, the density of electron cloud around O atom is affected, the lattice constant of F–TiO2 is changed, resulting in an increase in the distortion energy and the density of the ambient electron cloud around the O atoms after compound. The broader peak at 531.87 eV can be attributed to hydroxyl oxygen (·OH) [31]. It can be seen that the peak of CdS/F–TiO2 is slightly higher than that of F–TiO2, that is, the modification of CdS may be beneficial to the formation of ·OH on the surface of F–TiO2. The formation of ·OH with a high catalytic activity by hole oxidation is beneficial to enhance photocatalytic activity [28]. The reason for modification of CdS may be conducive to the generation of ·OH on the surface of F–TiO2 may be given as the following. The essence of modification of TiO2 by CdS is that CdS and TiO2 semiconductors with different band gaps are coupled at a certain proportion. When exposed to metal halide light, the electrons generated by CdS excitation are more likely to transition to the conduction band of TiO2. The holes remain on the valence band of CdS, enhancing the charge separation effect. Thus, the generated number of ·OH may be increased. In Figure 7d, it is easy to see that both samples have peaks of F and each has two characteristic peaks and the intensity of CdS/F–TiO2 peak is not as high as that of F–TiO2 peak.
The peak at 684 eV is caused by the fluoride ion that replaced the hydroxyl group on the surface of TiO2 [31]. The binding energies of the two peaks of F 1s move toward the lower energy level. The former is caused by CdS entering into the lattice of TiO2, which is consistent with the previous analysis. The latter is that the CdS composite is mainly distributed on the surface of F–TiO2, which has a great impact. From the e and f of Figure 7, it can be seen that the peaks of S and Cd are obvious, indicating the existence of the two elements in CdS/F–TiO2. The binding energy of S in S 2p2/3 is 160.96 eV, that is to say, S mainly exists in the form of S2− in the sample. The binding energy of Cd in Cd 3d5/2 and Cd 3d3/2 is 404.63 and 411.41 eV, indicating that Cd is mainly in the form of Cd2+ [32].
In addition, the quantitative analysis results of XPS showed that the element composition of F–TiO2 was Ti, O, C and F and the contents of each element were 26.76, 53.45, 17.20 and 2.59 at.%, respectively. The elements of CdS/F–TiO2 are Ti, O, C, F, Cd and S and the contents of each element are 28.11, 55.34, 12.79, 1.34, 1.21, 1.21 at.%, respectively. It can be seen that the ratio of O/Ti content in F–TiO2 sample is slightly less than the stoichiometric ratio of standard TiO2 2:1. This is because part of F enters into the lattice of TiO2 and occupies the position of O, resulting in the decrease of O content. The ratio of O/Ti in CdS/F–TiO2 sample is 1.969, which is slightly less than that of O/Ti in F–TiO2 sample 1.997. The first reason is that the decrease of F content on the surface of TiO2 results in the decrease of ·OH. Secondly, it is possible that part of S enters into the lattice of TiO2 and replaces the position of O. The content of F in CdS/F–TiO2 decreased. First, CdS and F–TiO2 are mainly attached to the surface of F–TiO2 after compounding and the surface is covered by F. The elements on the surface of the main sample measured by XPS have a certain depth, so that the measured F content decreases. Secondly, the absorbed fraction of F falls off during centrifugal washing after compounding.

3.6. PL Analysis

It can be seen from the Figure 8 that the linearity of the two curves is roughly the same. Compared with F–TiO2, the fluorescence intensity of composite CdS/F–TiO2 decreased significantly after 360 nm. This indicates that CdS can effectively reduce the recombination probability of photogenerated electrons and holes and broaden the response to the visible light region after F–TiO2 composite modification. A wide emission band with different intensities appears near 420 nm, which indicates that the recombination of CdS does not cause a new phenomenon of luminescence. Generally speaking, the conduction band of cadmium sulfide is higher than that of titanium dioxide, so when cadmium sulfide is combined with titanium dioxide, the fluorescence of cadmium sulfide should be quenched by the fluorescence of titanium dioxide [33]. The phenomenon of the composite material CdS/F–TiO2 is consistent with this result.

3.7. Photocatalytic Performance

Under the same reaction conditions, photocatalytic degradation of methyl orange solution with initial mass concentration of 10, 20 and 40 mg/L was carried out respectively to explore the influence of initial concentration of methyl orange on photocatalytic degradation and the results were shown in Figure 9. As the initial mass concentration of methyl orange increased from 10 to 20 mg/L, the photocatalytic degradation rate decreased significantly but it did not affect the final degradation rate. The degradation was basically complete at 20 min. When the initial mass concentration of methyl orange was 40 mg/L, the degradation rate decreased sharply and the degradation rate was only 57% at 20 min. On the one hand, the increase of methyl orange concentration exceeds the maximum value that ·OH can oxidize. On the other hand, the concentration is too high and the light scattering is strong, which makes it difficult for light to enter into the solution, so that the titanium dioxide surface cannot form enough ·OH [34]. Taking into consideration of the degradation rate and treatment cost of methyl orange, the concentration of methyl orange should be controlled at 20 mg/L.
The effect of H2O2 dosage on the degradation of methyl orange by 1% CdS/F–TiO2 is shown in Figure 10. Under the irradiation of the metal halide lamp, the photocatalytic activity of the system with H2O2 was obviously better than that without H2O2. When the concentration of H2O2 was 3%, the reduction rate of methyl orange (20 mg/L) by 1% CdS/F–TiO2 reached 93.69% after 8 min. It indicates that the addition of a certain amount of H2O2 is beneficial to the degradation of methyl orange by CdS/F–TiO2. This is because H2O2 can generate hydroxyl radicals (·OH). When H2O2 is added, the light irradiated by the metal halide lamp and H2O2 will have a synergistic effect, making the excited state H2O2 split into ·OH; Moreover, H2O2 can be used as an electron acceptor, generating ·OH with photogenerated electrons, avoiding recombination of photogenerated electrons and holes and improving the quantum efficiency of light [35,36]. And ·OH is the most powerful oxidant in water, which can rapidly degrade methyl orange into CO2 and H2O. Therefore, a certain amount of H2O2 is beneficial to photocatalytic reaction.
Figure 11 shows the time-dependent curve of degradation rate of methyl orange by 1% CdS/F–TiO2 at different pH. It can be seen from Figure 11 that the photocatalytic performance in acidic and alkaline environments is superior to that under neutral conditions and the acidic conditions are better than those under alkaline conditions. The reasons for the above phenomena are—First, methyl orange has a quinoid structure in acidic conditions and an azo structure in alkaline conditions. When methyl orange is degraded under light, the quinone structure is more susceptible to be degraded than the azo structure under alkaline conditions [37]. Second, it is determined by the photocatalytic mechanism of titanium dioxide. Hydroxyl radical is one of the main active substance in photocatalytic reaction, which plays a decisive role in photocatalytic oxidation. OH, H2O adsorbed on the surface of the catalyst and in hydrated suspension can produce this substance. When water is adsorbed on the surface of titanium dioxide, the reaction mechanism is expressed as follows—TiO2 + hv → e + h+, h+ + H2O→·OH + H+. In the strong alkali environment, there is a large amount of OH-, which is beneficial to the formation of ·OH. When the titanium dioxide adsorbs O2 on the surface, the mechanism can be expressed as follows—O2 + e →·O2, ·O2 + H+ + e → HO2, ·OH + H+ dye →···→ CO2 + H2O. There is a large amount of H+ in a strong acid environment and it can be seen from the expression of reaction mechanism that it is beneficial to the formation of ·OH under a large amount of H+. The large number of hydroxyl radicals formed in both acid and alkali environment and pH plays an important role in the whole catalytic oxidation process.
In addition, the pH has a great influence on the surface electrostatic charge of CdS/F–TiO2 photocatalyst. When the pH is lower than the isoelectric point of CdS/F–TiO2, the catalyst surface is positively charged and Na+ and negatively charged chromogenic groups are ionized by methyl orange. The chromogenic groups are captured by electrostatic action, that is, the removal rate is high. When the pH is higher than the isoelectric point of CdS/F–TiO2, the catalyst surface is negatively charged and the chromophore is negatively charged, which results in a lower degradation rate due to electrostatic repulsion. In summary, the acidic environment has the best photocatalytic effect, followed by the alkaline environment and finally the neutral environment [38].
Figure 12 shows the decolorization rate of methyl orange solution with a concentration of 20 mg/L after illumination for 16 min by 1% CdS/F–TiO2. It can be seen from Figure 12 that the decolorization rate of methyl orange solution increase with the increasing of catalyst dosage. When it reaches 2 g/L, the decolorization rate is quite high. The decolorization rate of methyl orange solution increases slightly when it is higher than 2 g/L. This is because the photocatalysis reaction is carried out on the catalyst surface. When the concentration of methyl orange solution is fixed, the active sites provided for the reaction increase with the increased catalyst amount and the active groups produced by the illumination also increase. Thus, the photocatalysis reaction speed increases. With the further increased of the catalyst amount, enough active sites are provided for the reaction and the reaction reaches saturation, which results in the gentle change in decolorization rate of methyl orange solution. In this reaction system, the optimal catalyst dosage is 2 g/L when the concentration of methyl orange solution is 20 mg/L [39].
To confirm the degradation, the chemical oxygen demand value (COD) of the initial and degraded solution were tested. 30 mL of the degraded methyl orange solution (20 mg/L) was added into a quartz tube, followed by adding 0.02 g 1% CdS/F–TiO2. The degradation rate is 90.01% after irradiation with a 300 W metal halide lamp for 20 min (with a wavelength range of 280–780 nm). The chemical oxygen demand (COD) of methyl orange solution (20 mg/L) before and after degradation is determined by the Inspection and Testing Co., Ltd., of Neijiang Normal University. The results showed that the COD of the initial solution was 31 mg/L and that of the degraded solution was 23 mg/L. According to the value of COD, the COD removal rate was calculated to be 25.81%. However, according to the absorbance change, the degradation rate was 90.01%, shown in Figure 13. The reason for the great difference between the two test results are that when 1% CdS/F–TiO2 is used to degrade methyl orange solution, most of the chromogenic groups of methyl orange have been destroyed and methyl orange has been changed into the colorless substances, however only a part of them has been degraded into CO2.
Stability is an important factor to evaluate the catalyst in practical application. In order to evaluate the reuse of synthesized photocatalytic material, the 1% CdS/F–TiO2 catalyst was recovered after photocatalysis reaction and it was reused to degrade methyl orange with metal halide. As shown in Figure 14, methyl orange was degraded by 1% CdS/F–TiO2 for the first time with a degradation rate of 93.36%, followed by continuous experiments with a degradation rate of 90.37%, 89.05%, 87.94% and 86.54%, respectively. The photocatalytic activity did not show obvious decrease in 5 consecutive experiments, which illustrates that 1% CdS/F–TiO2 has a good recycling performance.
During the photocatalytic performance test, the dark reaction of each sample was processed for 30 min to obtain the adsorption data, as shown in Table 3. According to Table 3, after dark reaction treatment, the absorbance of the solution hardly changed significantly, that is, the photocatalyst had no obvious adsorption effect on methyl orange. After the photoreaction, the decolorization rate of the sample was calculated by Equation (1) and the results are shown in Figure 15. It can be seen from Figure 14 that under the same conditions, the degradation rates of methyl orange by CdS/F–TiO2 with different mass ratios are 1% > 2% > 0% > 0.5% > blank after illumination for 20 min. The absorbance of methyl orange solution without photocatalyst basically remained unchanged, indicating that the degradation of methyl orange was mainly achieved by photocatalysis of CdS/F–TiO2 samples. The decolorization rate of 0.5% CdS/F–TiO2 is the lowest (64.45%), while that of 1% CdS/F–TiO2 is the highest (93.36%). It can be seen that the photocatalytic activity of F–TiO2 is inhibited when the amount of CdS is too small. With the increase of CdS content, the photocatalytic activity of the sample is promoted. This indicates that CdS has a significant effect on the photocatalytic performance of F–TiO2 after compound modification and only by adding an appropriate amount of CdS can the photocatalytic efficiency be improved effectively.
In this work, CdS can effectively improve the photocatalytic performance after F–TiO2 modification. The reasons are as follows—First, the specific surface area of the sample increases and the grain size decreases after compound; Second, the modification of CdS causes a redshift of the threshold wavelength (λg) of F–TiO2 absorption spectrum and the absorption intensity in the ultraviolet light region is obviously increased. The composite of the two materials shows a new threshold wavelength corresponded to CdS, which can effectively improve its photocatalytic activity. Third, compared with F–TiO2, CdS/F–TiO2 has a lower probability of photogenerated electrons and hole recombination under illumination. This is due to the large difference in the band structure of CdS and TiO2. The band gap of CdS is narrower than that of TiO2, so photogenerated electrons are transferred from the conduction band of CdS to the conduction band of TiO2 and the holes on the valence band of TiO2 are transferred to the lower valence band of CdS, thereby further promoting photocatalytic activity [40] (as shown in Figure 16). The essence of modification of TiO2 by CdS is that CdS and TiO2 semiconductors with different band gaps are coupled at a certain proportion. When exposed to metal halide light, the electrons generated by CdS excitation are more likely to transition to the conduction band of TiO2. The holes remain on the valence band of CdS, enhancing the charge separation effect. When the incorporation amount is small, the modification of TiO2 is not complete and when the amount of CdS is intensive, the surface, chain or island configuration centered on the incorporation may be formed, which weakens the coupling effect. Therefore, only by adding an appropriate amount of CdS can the absorption of light have a better effect [41].
The first-order reaction kinetic has been studied. The kinetic curve of photocatalytic degradation was obtained by plotting the reaction time t with lnCt/C0 (C0: the initial concentration of methyl orange solution, Ct: the concentration of methyl orange solution at time t in the degradation process), shown in Figure 17. The six degradation kinetic curves all showed the approximate linear relationship. The reaction rate constant can be calculated according to the formula lnCt/C0 = Kt and the maximum reaction rate constant K is 0.122 min−1 (1% CdS/F–TiO2). The minimum constant K is 0.039 min−1 (TiO2). The results show that the photocatalytic degradation of methyl orange by TiO2 and 1% CdS/F–TiO2 follows the Langmuir-Hinshelwood first-order kinetic model.

4. Conclusions

F–TiO2 was prepared using a simple precipitation method and CdS/F–TiO2 was prepared by hydrothermal method. The modification of fluorinated titanium dioxide by CdS can increase the specific surface area, reduce crystallinity and the grain size, promote the formation of mesopores and effectively reduce electron-hole recombination. Under the same conditions, the degradation rate of methyl orange by 1% CdS/F–TiO2 was 93.36% under the same conditions of 300 W metal halide lamp for 20 min, which was significantly higher than that of F–TiO2. The combination of CdS and F–TiO2 causes a significant red shift in the light absorption band and the absorption intensity in the ultraviolet region increases to some extent and a threshold wavelength corresponding to CdS appears. 1% CdS/F–TiO2 has a good reusability and the photocatalytic degradation of methyl orange by 1% CdS/F–TiO2 follows the Langmuir-Hinshelwood first-order kinetic model.

Author Contributions

Performed the experiments, L.-Y.Z. and Z.-H.D.; wrote the original draft, J.Y.; reviewed and edited the paper, Q.-W.L. and Y.-J.Z.; drawed the figures with software, Y.-L.H.; designed the experiments, G.H.

Funding

This work was financially supported by Sichuan Science and Technology Program (NO. 2019YJ0383) and The Undergraduate Innovative Project of Neijiang Normal University (X2019112).

Conflicts of Interest

The authors declare no conflict of interest. We identify and declare there is no personal circumstances or interest that may be perceived as inappropriately influencing the representation or interpretation of reported research results.

References

  1. Salimi, M.; Behbahani, M.; Sobhi, H.R. A new nano-photocatalyst based on Pt and Bi co-doped TiO2 for efficient visible-light photo degradation of amoxicillin. New J. Chem. 2019, 43, 1562–1568. [Google Scholar] [CrossRef]
  2. Zhu, K.; Wang, H.; Xiao, F. Effect of buffer thickness on the properties of Al-doped ZnO thin films prepared by DC magnetron sputtering. J. Mater. Sci. Mater. Electron. 2017, 28, 7302–7306. [Google Scholar] [CrossRef]
  3. Brown, K.A.; Harris, D.F.; Wilker, M.B. Light-driven dinitrogen reduction catalyzed by a CdS: Nitrogenase MoFe protein biohybrid. Science 2016, 352, 448–450. [Google Scholar] [CrossRef] [PubMed]
  4. Wang, X.; Li, Z.; Shi, J. One-dimensional titanium dioxide nanomaterials: nanowires, nanorods, and nanobelts. Chem. Rev. 2014, 114, 9346–9384. [Google Scholar] [CrossRef]
  5. Fang, X.; Zhai, T.; Gautam, U.K. ZnS nanostructures: From synthesis to applications. Prog. Mater. Sci. 2011, 56, 175–287. [Google Scholar] [CrossRef]
  6. Hoffman, M.R.; Martin, S.T.; Choi, W. Environmental applications of semiconductor photocatalysis. Chem. Rev. 1995, 95, 69–96. [Google Scholar] [CrossRef]
  7. Hosseini, N.; Toosi, M.R. Combined adsorption process and photocatalytic degradation of some commercial herbicides over N-doped TiO2 particles supported on recyclable magnetic hexagonal mesoporous silica. Sep. Sci. Technol. 2019, 54, 1697–1709. [Google Scholar] [CrossRef]
  8. Luo, T.; Wan, X.J.; Jiang, S.X. Preparation and photocatalytic performance of fibrous Tb3+-doped TiO2 using collagen fiber as template. Appl. Phys. A Mater. Sci. Process. 2018, 124, 304. [Google Scholar] [CrossRef]
  9. Rebleanu, D.; Gaidau, C.; Voicu, G. The impact of photocatalytic Ag/TiO2 and Ag/N-TiO2 nanoparticles on human keratinocytes and epithelial lung cells. Toxicology. 2019, 416, 30–43. [Google Scholar] [CrossRef]
  10. Qian, S.; Wang, C.; Liu, W. An enhanced CdS/TiO2 photocatalyst with high stability and activity: Effect of mesoporous substrate and bifunctional linking molecule. J. Mater. Chem. 2011, 21, 4945–4952. [Google Scholar] [CrossRef]
  11. Tian, F.; Zhu, R.S.; Ouyang, F. Synergistic photocatalytic degradation of pyridine using precious metal supported TiO2 with KBrO3. J. Environ. Sci. 2013, 25, 2299–2305. [Google Scholar] [CrossRef]
  12. Liu, M.; Li, H.; Zeng, Y. Anatase TiO2 single crystals with dominant {001} facets: Facile fabrication from Ti powers and enhanced photocatalytic activity. Appl. Surf. Sci. 2013, 274, 117–123. [Google Scholar] [CrossRef]
  13. Minero, C.; Mariella, G.; V. Maurino, A. Photocatalytic Transformation of Organic Compounds in the Presence of Inorganic Anions. 1. Hydroxyl-Mediated and Direct Electron-Transfer Reactions of Phenol on a Titanium Dioxide-Fluoride System. Langmuir 2000, 26, 350–356. [Google Scholar] [CrossRef]
  14. Zayadi, R.A.; Bakar, F.A. Comparative study on the performance of Au/F–TiO2 photocatalyst synthesized from Zamzam water and distilled water under blue light irradiation. J. Photochem. Photobiol. Chem. 2017, 346, 338–350. [Google Scholar] [CrossRef]
  15. Gao, Q.Z.; Si, F.Y.; Zhang, S.S. Hydrogenated F-doped TiO2 for photocatalytic hydrogen evolution and pollutant degradation. Int. J. Hydrogen. Energy. 2019, 44, 8011–8019. [Google Scholar] [CrossRef]
  16. Antonopoulou, M.; Konstantinou, I. Photocatalytic degradation of pentachlorophenol by visible light N–F–TiO2 in the presence of oxalate ions: optimization, modeling, and scavenging studies. Environ. Sci. Pollut. Res. 2015, 22, 9438–9448. [Google Scholar] [CrossRef]
  17. Yu, J.C.; Yu, J.; Ho, W. Effects of F doping on the photocatalytic activity and microstructures of nanocrystalline TiO2 powders. ChemInform 2002, 33, 12. [Google Scholar] [CrossRef]
  18. Zhong, Y.H.; Zhou, Q.; Liu, J.Q. Preparation of fluorizated TiO2 hollow microspheres and their photocatalytic activity. Chin. J. Inorg. Chem. 2013, 29, 2133–2139. [Google Scholar]
  19. Gao, X.; Liu, X.X.; Zhu, Z.M. Enhanced visible light photocatalytic performance of CdS sensitized TiO2 nanorod arrays decorated with Au nanoparticles as electron sinks. Sci. Rep. 2017, 7, 937–947. [Google Scholar] [CrossRef]
  20. Wu, L.; Yu, J.C.; Fu, X. Characterization and photocatalytic mechanism of nanosized CdS coupled TiO2, nanocrystals under visible light irradiation. J. Mol. Catal. Chem. 2006, 244, 25–32. [Google Scholar] [CrossRef]
  21. Yan, B.X.; Luo, S.Y.; Shen, J. Photoelectric properties of Mo doped TiO2 thin films deposited by DC reactive magnetron sputtering. Acta Phys.-Chim. Sin. 2012, 28, 381–386. [Google Scholar]
  22. Li, C.X.; Kang, W.C.; Ren, Y.B. Effect of P123 on the microstructure and photocatalytic activity of rGO/mesoporous TiO2 films. China Environ. Sci. 2019, 39, 3754–3760. [Google Scholar]
  23. Fujii, H.; Inata, K.; Ohtaki, M. Synthesis of TiO2/CdS nanocomposite via TiO2 coating on CdS nanoparticles by compartmentalized hydrolysis of Ti alkoxide. J. Mater. Sci. 2001, 36, 527–532. [Google Scholar] [CrossRef]
  24. Bessekhouad, Y.; Robert, D.; Weber, J.V. Bi2S3/TiO2 and CdS/TiO2 heterojunctions as an available configuration for photocatalytic degradation of organic pollutant. J. Photochem. Photobiol. Chem. 2004, 163, 569–580. [Google Scholar] [CrossRef]
  25. Bae, Y.S.; Yazaydın, A.O.; Snurr, R.Q. Evaluation of the BET method for determining surface areas of MOFs and zeolites that contain ultra-micropores. Langmuir 2010, 26, 5475–5483. [Google Scholar] [CrossRef] [PubMed]
  26. Liu, L.C.; Ji, Z.Y.; Zou, W.X. In site loading transition metal oxide clusters on TiO2 nanosheets as co-catalysts for exceptional high photoactivity. ACS Catal. 2013, 3, 2052–2061. [Google Scholar] [CrossRef]
  27. Khatamian, M.; Oskoui, M.S.; Haghighi, M. Visible-light response photocatalyticwater splitting over CdS/TiO2 and CdS-TiO2/metalosilicate composites. Int. J. Energy Res. 2014, 38, 1712–1726. [Google Scholar] [CrossRef]
  28. Xu, P.; Li, Y.J.; Liu, C. Preparation and visible-light driven photocatalytic performance of mesoporous titania doped with silver. J. Chin. Ceram. Soc. 2014, 42, 1195–1202. [Google Scholar]
  29. Kumar, V.; Ntwaeaborwa, O.M.; Holsa, J. The role of oxygen and titanium related defects on the emission of TiO2:Tb3+ nanophosphor for blue lighting applications. Opt. Mater. 2015, 46, 510–516. [Google Scholar] [CrossRef]
  30. Lv, Y.; Ni, L.L.; Yang, P. Preparation of chromium and sulfur Co-doped TiO2 photocatalysts and their photocatalytic activity under visible irradiation. Chin. J. Catal. 2007, 28, 987–992. [Google Scholar]
  31. Chen, Y.M.; Zhong, J.; Chen, F. Low-temperature preparation and photocatalytic performance of F-doped nanosized TiO2 thin film. Chin. J. Catal. 2010, 31, 120–125. [Google Scholar]
  32. Wang, L.L.; Li, L.; Wei, X. The Preparation and multi-mode photocatalytic degradation for different dyes of nano-composite CdS /TiO2. Chemistry 2014, 77, 63–70. [Google Scholar]
  33. Wang, B.; Gao, F.; He, B. Optic property of CdS/TiO2 composite nanoparticle prepared in the reversed microemulsion. Acta Phys.-Chim. Sin. 2003, 19, 21–24. [Google Scholar]
  34. Lin, H.; Gao, R.J.; Feng, X.X. Degradation property of methyl orange on zeolite loads Cu2O. Chin. J. Environ. Eng. 2015, 9, 1783–1788. [Google Scholar]
  35. Reddy, S.S.; Kotaiah, B. Decolorization of simulated spent reactive dye bath using solar/TiO2/H2O2. Int. J. Environ. Sci. Technol. 2005, 2, 245–251. [Google Scholar] [CrossRef][Green Version]
  36. Hirakawa, T.; Nosaka, Y. Properties of∙O2- and ∙OH formed in TiO2 aqueous suspensions by photocatalytic reaction and the influence of H2O2 and some ion. Langmuir 2002, 18, 3247–3254. [Google Scholar] [CrossRef]
  37. Yu, J.G.; Ma, T.T.; Liu, S.W. Enhanced photocatalytic activity of mesoporous TiO2 aggregates by embedding carbon nanotbes as electron-transfer channel. Phys. Chem. Chem. Phys. 2011, 13, 3491–3501. [Google Scholar] [CrossRef]
  38. Lu, D.L.; Ji, F.; Wang, W. Adsorption and photocatalytic decomposition of roxarsone by TiO2 and its mechanism. Environ. Sci. Pollut. Res. 2014, 21, 8025–8035. [Google Scholar] [CrossRef]
  39. Huang, M.L.; Xu, C.F.; Wang, L.L. Preparation and photocata lytic activity of TiO2-loaded natural zeolite. Acta Mineral. Sin. 2004, 24, 229–333. [Google Scholar]
  40. Wei, Z.D.; Li, Y.; Luo, S.L. Hierarchical heterostructure of CdS nanoparticles sensitized electrospun TiO2 nanofibers with enhanced photocatalytic activity. Sep. Purif. Technol. 2014, 122, 60–66. [Google Scholar] [CrossRef]
  41. Zhu, Z.L.; Zhao, J.K.; Yang, R.G. Research on TiO2/CdS coupled semiconductor photocatalytic degradation of methyl orange in wastewater. Chin. J. Environ. Eng. 2006, 7, 106–109. [Google Scholar]
Figure 1. FESEM images of different proportions of CdS/F–TiO2. (a) 0%, (b) 0.5%, (c) 1% and (d) 2%.
Figure 1. FESEM images of different proportions of CdS/F–TiO2. (a) 0%, (b) 0.5%, (c) 1% and (d) 2%.
Coatings 09 00824 g001
Figure 2. X-ray diffraction (XRD) patterns of different proportions of CdS/F–TiO2. (a) 0%, (b) 0.5%, (c) 1% and (d) 2%.
Figure 2. X-ray diffraction (XRD) patterns of different proportions of CdS/F–TiO2. (a) 0%, (b) 0.5%, (c) 1% and (d) 2%.
Coatings 09 00824 g002
Figure 3. Crystallinity patterns of 1% CdS/F–TiO2 and bare TiO2. (a) 1% CdS/F–TiO2 and (b) bare TiO2.
Figure 3. Crystallinity patterns of 1% CdS/F–TiO2 and bare TiO2. (a) 1% CdS/F–TiO2 and (b) bare TiO2.
Coatings 09 00824 g003
Figure 4. Ultraviolet-visible absorption spectra of different TiO2.
Figure 4. Ultraviolet-visible absorption spectra of different TiO2.
Coatings 09 00824 g004
Figure 5. Relation diagram of different TiO2 (αhν)1/2 and photon energy.
Figure 5. Relation diagram of different TiO2 (αhν)1/2 and photon energy.
Coatings 09 00824 g005
Figure 6. Adsorption isotherms and pore size distributions of different TiO2. (a) F–TiO2 and (b) 1% CdS/F–TiO2.
Figure 6. Adsorption isotherms and pore size distributions of different TiO2. (a) F–TiO2 and (b) 1% CdS/F–TiO2.
Coatings 09 00824 g006
Figure 7. XPS spectra of F–TiO2 and CdS/F–TiO2. (a) Survey, (b) Ti 2p peaks, (c) O 1s and O 2s peaks, (d) F 1s peaks, (e) S 2p peaks and (f) Cd 3d peaks.
Figure 7. XPS spectra of F–TiO2 and CdS/F–TiO2. (a) Survey, (b) Ti 2p peaks, (c) O 1s and O 2s peaks, (d) F 1s peaks, (e) S 2p peaks and (f) Cd 3d peaks.
Coatings 09 00824 g007
Figure 8. Fluorescence spectra of the samples.
Figure 8. Fluorescence spectra of the samples.
Coatings 09 00824 g008
Figure 9. Diagram of degradation of methyl orange with different concentrations by 1% CdS/F–TiO2.
Figure 9. Diagram of degradation of methyl orange with different concentrations by 1% CdS/F–TiO2.
Coatings 09 00824 g009
Figure 10. Effect of H2O2 dosage on degradation of methyl orange by 1% CdS/F–TiO2. (a) 0%, (b) 1.5% and (c) 3%.
Figure 10. Effect of H2O2 dosage on degradation of methyl orange by 1% CdS/F–TiO2. (a) 0%, (b) 1.5% and (c) 3%.
Coatings 09 00824 g010
Figure 11. The time-dependent curve of degradation rate of methyl orange by 1% CdS/F–TiO2 at different pH.
Figure 11. The time-dependent curve of degradation rate of methyl orange by 1% CdS/F–TiO2 at different pH.
Coatings 09 00824 g011
Figure 12. Effect of catalyst dosage on decolorization rate of methyl orange solution.
Figure 12. Effect of catalyst dosage on decolorization rate of methyl orange solution.
Coatings 09 00824 g012
Figure 13. Image of methyl orange solution (20 mg/L) before and after degradation. (a) before degradation and (b) after degradation.
Figure 13. Image of methyl orange solution (20 mg/L) before and after degradation. (a) before degradation and (b) after degradation.
Coatings 09 00824 g013
Figure 14. Degradation rate of methyl orange by 1% CdS/F–TiO2 in 5 consecutive experiments.
Figure 14. Degradation rate of methyl orange by 1% CdS/F–TiO2 in 5 consecutive experiments.
Coatings 09 00824 g014
Figure 15. Degradation rate of methyl orange by CdS/F–TiO2 with different mass ratios. (a) Blank, (b) TiO2, (c) F–TiO2, (d) 0.5% CdS/F–TiO2, (e) 1% CdS/F–TiO2 and (f) 2% CdS/F–TiO2.
Figure 15. Degradation rate of methyl orange by CdS/F–TiO2 with different mass ratios. (a) Blank, (b) TiO2, (c) F–TiO2, (d) 0.5% CdS/F–TiO2, (e) 1% CdS/F–TiO2 and (f) 2% CdS/F–TiO2.
Coatings 09 00824 g015
Figure 16. Graphical energy level diagram of CdS/F–TiO2.
Figure 16. Graphical energy level diagram of CdS/F–TiO2.
Coatings 09 00824 g016
Figure 17. Dynamic curve of degradation of methyl orange by different TiO2.
Figure 17. Dynamic curve of degradation of methyl orange by different TiO2.
Coatings 09 00824 g017
Table 1. Grain size of F–TiO2 and CdS/F–TiO2.
Table 1. Grain size of F–TiO2 and CdS/F–TiO2.
SamplesCrystallite Size D(101)/nm
F–TiO222.89
0.5% CdS/F–TiO214.99
1% CdS/F–TiO212.44
2% CdS/F–TiO211.27
Table 2. BET data of F–TiO2 and 1% CdS/F–TiO2.
Table 2. BET data of F–TiO2 and 1% CdS/F–TiO2.
SamplesSurface Area (m2/g)Pore Volume (cm3/g)Pore Diameter Dv (d) (nm)
F–TiO262.7380.227175.270
1% CdS/F–TiO271.4920.23917.495
Table 3. Adsorption of methyl orange by 1% CdS/F–TiO2.
Table 3. Adsorption of methyl orange by 1% CdS/F–TiO2.
SamplesPercentage of Absorbance After 30 min in Dark
Blank group100%
0%1.00%
0.50%1.07%
1%2.72%
2%2.08%

Share and Cite

MDPI and ACS Style

Zhang, L.-Y.; You, J.; Li, Q.-W.; Dong, Z.-H.; Zhong, Y.-J.; Han, Y.-L.; He, G. Preparation and Photocatalytic Properties of CdS/F–TiO2 Composites. Coatings 2019, 9, 824. https://doi.org/10.3390/coatings9120824

AMA Style

Zhang L-Y, You J, Li Q-W, Dong Z-H, Zhong Y-J, Han Y-L, He G. Preparation and Photocatalytic Properties of CdS/F–TiO2 Composites. Coatings. 2019; 9(12):824. https://doi.org/10.3390/coatings9120824

Chicago/Turabian Style

Zhang, Li-Yuan, Jia You, Qian-Wen Li, Zhi-Hong Dong, Ya-Jie Zhong, Yan-Lin Han, and Gang He. 2019. "Preparation and Photocatalytic Properties of CdS/F–TiO2 Composites" Coatings 9, no. 12: 824. https://doi.org/10.3390/coatings9120824

APA Style

Zhang, L.-Y., You, J., Li, Q.-W., Dong, Z.-H., Zhong, Y.-J., Han, Y.-L., & He, G. (2019). Preparation and Photocatalytic Properties of CdS/F–TiO2 Composites. Coatings, 9(12), 824. https://doi.org/10.3390/coatings9120824

Note that from the first issue of 2016, this journal uses article numbers instead of page numbers. See further details here.

Article Metrics

Back to TopTop