Abstract
A dense Cr2O3/Al2O3 composite coating was fabricated on 321L stainless steel by electrodepositing an Al2O3 layer on a Cr2O3 coating. The composition, structure, and properties of the obtained ceramic coating were investigated. The results showed that Al2O3 fully infiltrated the Cr2O3 coating and significantly improved the compactness of the ceramic coating by filling in the pores and cracks between the Cr2O3 grains. The composite ceramic coating was heat-treated at 750 °C and exhibited a high microhardness of 219.4 HV500g, a bonding strength of 46.5 MPa, and excellent anti-corrosion and deuterium permeation suppression properties.
1. Introduction
Ceramic coatings on the surface of metal materials have wide application in power and refractory industries against chemical corrosion, oxidation, abrasive wear, and tritium permeation. Cr2O3 is regarded as an effective protective coating due to its thermal stability, chemical inertness, low permeability of hydrogen isotopes, and good adhesion to metal substrates. Up to now, Cr2O3 and its composite ceramic coatings have been made by magnetron sputtering [1,2], thermal spray [3,4,5], electrodeposition [6], atomic layer deposition, and evaporation [7]. Among these methods, electrodeposition is suitable for fabricating ceramic coatings on metal substrates because of its capability of complex geometries, possibility of coating different substrate materials, and easy operation. However, large porosity and cracking caused by thermal expansion and low heat-treatment temperatures may deteriorate coatings’ properties and result in coatings with unsuitable properties. Therefore, it is necessary to modify the surface of Cr2O3 ceramic coatings by eliminating the surface porosity and reducing cracking. Wang et al. [8] covered a Cr2O3 coating with aluminum phosphate by dip-coating, which exhibited a good resistance to corrosion and improved tritium resistant performance. Shao et al. [9] prepared Cr2O3/Al2O3 composite coatings sealed by aluminum phosphate with a small fraction of Al2O3 nanoparticles. The sealants augmented the corrosion resistance properties of the coatings. Zhang et al. [10] fabricated plasma-sprayed Cr2O3/TiO2 coatings deposited on mild steel and sealed by epoxy resin and silicone resin, which improved the corrosion resistance of the Cr2O3/TiO2 coating significantly. However, the interface combination was poor, and cracks formed as a result of the heterogeneity of the coating and sealing materials.
Al2O3 is also one of the most important oxide ceramics because of its high hardness, high chemical stability, and excellent wear and corrosion resistance. Some researches about the preparation of Al2O3 composites coating by electrodeposition have been reported [11,12,13]. Al2O3 can form an (Al1–xCrx)2O3 infinite solid solution with Cr2O3 due to their similar crystal structure. By introducing an Al2O3 sealing layer, a good interface between Al2O3 and Cr2O3 can be expected.
In this work, Al2O3 was used as an effective sealing layer for Cr2O3 coatings. It was found that Al2O3 could fill up the pores and cracks of Cr2O3, resulting in a uniform and dense composite coating. The microstructures and properties of the composite coating were investigated in detail.
2. Experimental
A Cr2O3 coating was firstly prepared by electroplating and heat treatment in accord with our previous report [8]. Briefly, a pure Pt plate was used the anode, and the 321L steel substrate, 29 mm in diameter and 0.5 mm in thickness, was used as the cathode. These two electrodes were placed parallel to each other and immerged into an electrolytic solution containing 220 g L−1 chromium trioxide (CrO3) and 2.2 g L−1 sulfuric acid (H2SO4). The distance between the two electrodes was fixed to 40 mm. Electroplating was performed by setting the current density to 0.3 A cm−2 for 80 min at 72 °C. Then, the as-deposited Cr sample was heat-treated at 700 °C for 4 h in air to transform Cr into Cr2O3.
An Al2O3 sealing layer was fabricated on the surface of the Cr2O3 coating by electrodeposition. The Cr2O3-coated specimen acted as the cathode, and the distance between the electrodes was 15 mm. The electrolytic deposition was carried out in 0.1 mol L−1 Al(NO3)3·9H2O solution at 10 A m−2 for 10 min. Then, the sample was dried at 150 °C for 20 min. The above procedure was repeated twice. Finally, the specimens were heated at different temperatures in air for 1 h.
The phase composition and structure of the samples were identified by X-ray diffraction (XRD-6100, X-ray diffractometer with Cu K radiation, Shimadzu, Tokyo, Japan). The surface and cross section morphology were observed by a scanning electron microscope (SEM, Nova NanoSEM 450 microscope, FEI, Eindhoven, The Netherlands). The compositions of the coatings were examined by energy dispersive X-ray spectrometer (EDX). The chemical states were identified by X-ray photoelectron spectroscopy (XPS, AXIS-ULTRA DLD-600W, Kratos, Tokyo, Japan).
The Vickers hardness of the specimens were examined by a HV-1000 micro hardness tester (Wilson, Norwood, MA, USA) at 500 g for 15 s.
The CHI600b electrochemical analyzer (Chenhua, Shanghai, China) was used to test the electrochemical corrosion of the specimens. The test was conducted in 3.5 wt. % NaCl solution, and a saturated Ag/AgCl electrode was used as the reference electrode, platinum wire as the counter electrode, and the specimens coated with epoxy resin leaving an exposed surface area of 1 cm2 as the working electrode. A potential scanning rate of 0.5 mV s−1 was adopted to gather all potentiodynamic measurements. The potential range was from −1 to 1 V. Corrosion current densities (Icorr) and corrosion potentials (Ecorr) were evaluated according to the intersection of the linear anodic and cathodic branches of the polarization curves and were given by the ZView3.1 software.
The adhesion tensile test was performed to investigate the mechanical quality of the coatings, as illustrated schematically in Figure 1. The coated specimens were bonded to two fixtures by E7 glue, then placed into the oven and heated to 100 °C for 2 h. The fixtures were then connected with rods by the threaded holes. Tensile testing was performed by a Zwick/Roell 020 electronic universal testing machine (Shimadzu, Tokyo, Japan). The adhesive strength between the coating and the substrate was measured and evaluated from the tensile load at which the test specimen was broken [14].
Figure 1.
Sketch map of the adhesive strength tensile test.
The deuterium permeation properties were measured on a hydrogen isotope transmission suppression device at the Graduate School of Science, Shizuoka University. The apparatus and the procedure of permeation measurement are described in references [15,16]. The pressure of deuterium in the upstream part was kept at 10 kPa, and the pressure of deuterium permeating through the specimen into the downstream part was measured by a quadrupole mass analyzer. The measurements were carried out at 450–600 °C.
3. Results and Discussion
Figure 2 shows the XRD patterns of the pre-sealed and post-sealed Cr2O3 coatings by heat treatment at various temperatures. All the diffraction peaks could be indexed to the standard patterns of the corundum structure Cr2O3 (JCPDS No. 38-1479) in all coatings. No new diffraction peaks appeared in the sealed coatings. With increasing temperatures, the diffraction peaks of Cr2O3 first decreased and then increased. The position of the peaks shifting to a higher angle was observed in the sealed samples at 750 °C. It is speculated that a thin Al2O3 layer covering the Cr2O3 coating led to the decrease of its diffraction peaks. The increasing and shifting peaks were due to Al ions entering Cr2O3 to form (Cr1–xAlx)2O3 solid solutions.
Figure 2.
XRD patterns of the pre-sealed and post-sealed Cr2O3 coatings heat-treated at different temperatures.
Surface images of the unsealed and sealed coatings by heat treatment at different temperatures are presented in Figure 3. Figure 3a shows the unsealed coating, composed of Cr2O3 grains with pronounced grain boundaries. Its surface appeared rough with many pores. When this coating was sealed by an Al2O3 film and heat-treated at 650 °C (Figure 3b), the surface porosity decreased but more cracks were observed. The increase in heat-treatment temperature led to the cracks decreasing and the improvement of the surface state (Figure 3c). Almost all the porosity and cracks disappeared (Figure 3d) by increasing the temperature to 750 °C. This phenomenon can be explained as suggested by Olding et al. [17]. One main factor causing it was the residual H2O and OH groups in the coating during the heat-treatment process. The Al2O3 precipitate contained H2O and OH groups. The removal of these trapped groups at the heat-treatment temperatures led to the formation of micro-crackings in the sealed layer. Another factor leading to micro-cracking within the sealed layer was the thermal expansion mismatch between different materials. The slight difference between Cr2O3 (7 × 10−6/°C) and Al2O3 (7.85 × 10−6/°C) might be partially attributed to the cracks in the layer [18,19]. By increasing the temperature to 750 °C, cracking was avoided by grain rearrangement.
Figure 3.
SEM images of the (a) unsealed and (b–d) sealed Cr2O3 coatings heat-treated at different temperatures: (b) 650 °C; (c) 700 °C; (d) 750 °C.
The porosity was calculated by image-pro software as shown in Figure 4. It was found that the porosity of the Cr2O3 (45.22%) coating was higher than that of all the composite coatings. When the heat-treatment temperature was 650 °C, the porosity of the coating surface was drastically reduced to 18.3%. The porosity decreased gradually with the increasing temperature. The porosity of the coating surface decreased to 1.98% when the heat-treatment temperature was 750 °C.
Figure 4.
Porosity of the Cr2O3 coating and the sealed Cr2O3 coatings heat-treated at different temperatures.
Figure 5 presents the cross-sectional back-scattered electron images of the sealed coating before and after it was heat-treated at 750 °C. The as-deposited coating consisted of two distinct layers with the sealed Al2O3 as the outer layer of 0.38 μm, and the Cr2O3 as the inner layer of 9.00 μm. However, when the sealed coating was heat-treated, the Al2O3 outer layer was difficult to identify. It is interesting to note that the high substrate roughness was attenuated by the sealed layer. In addition, no cracks and holes were observed in the coatings, indicating a dense and homogeneous morphology.
Figure 5.
Cross-sectional back-scattered electron images of the sealed coating: (a) before heat treatment; (b) after heat treatment at 750 °C. Insert is the corresponding SEM image.
To give more insights into the effect of the sealing layer, the compositions of the cross section of the sealed coating before and after heat treatment at 750 °C was analyzed by EDS. The corresponding element maps are shown in Figure 6. It is clearly observed from Figure 6a that Al element was uniformly distributed in the sealed layer, suggesting that a uniform Al2O3 layer formed; the EDS elemental maps of the heat-treated sealed coating (Figure 6b) show that Al element was uniformly distributed in the whole Cr2O3 coating, suggesting that a uniform Al2O3/Cr2O3 composite ceramic coating was formed.
Figure 6.
Cross-sectional SEM image and EDS elemental maps of the sealed coating: (a) before heat treatment; (b) after heat treatment at 750 °C.
In order to identify the chemical states of Al, Cr, and O, XPS analysis was performed. Figure 7a displays that the binding energies of Cr 2p1/2 and Cr 2p3/2 were located at 586.6 and 577.1 eV, respectively, which correspond to Cr3+ of Cr2O3 in accordance with the values previously reported in the literature [20]. The XPS spectra of Al 2p (Figure 7b) revealed that there was a peak at 75.4 eV, which corresponded to the binding energy of Al2O3. Furthermore, a second peak at a low binding energy (74.4 eV) developed considerably, indicating the breakdown of Al–O bonds and the formation of a complex oxide Cr–O–Al [21]. Figure 7c shows the O 1s XPS spectrum which could be deconvoluted into two peaks at 530.7 and 532.0 eV, respectively. According to the literature [22,23], O 1s binding energy (BE) values for Cr2O3 change from 530.0 to 530.8 eV, while those for Al2O3 appear to be around 531.6 eV. Therefore, the O 1s peak positions of 530.7 eV was attributed to Cr2O3, while that located at 532.0 eV was attributed to Al2O3.
Figure 7.
XPS spectra for (a) Cr 2p, (b) Al 2p, and (c) O 1s recorded on the sealed coating heat-treated at 750 °C.
The above results further illustrate that after heat treatment, Al2O3 could significantly improve the compactness of the Cr2O3 coating by filling in the pores and cracks between the Cr2O3 grains. Furthermore, Al2O3 could fully infiltrate the coating, and elemental Al diffused into the Cr2O3 to form a solid solution.
The influence of the temperature on the hardness of the composite coatings is plotted in Figure 8 together with the data for the Cr2O3 coating. Because of the surface pores, Vickers hardness of the Cr2O3 coating was low at only 189 HV500g. After fabricating the sealing layer, the hardness of the coating was improved because the surface pores were sealed. Meanwhile, it can be seen that Vickers hardness increased with the rising temperature, which was to the grain size effect and solid solution strengthening.
Figure 8.
Vickers hardness of Cr2O3 and Al2O3/Cr2O3 composite coatings heat-treated at different temperatures.
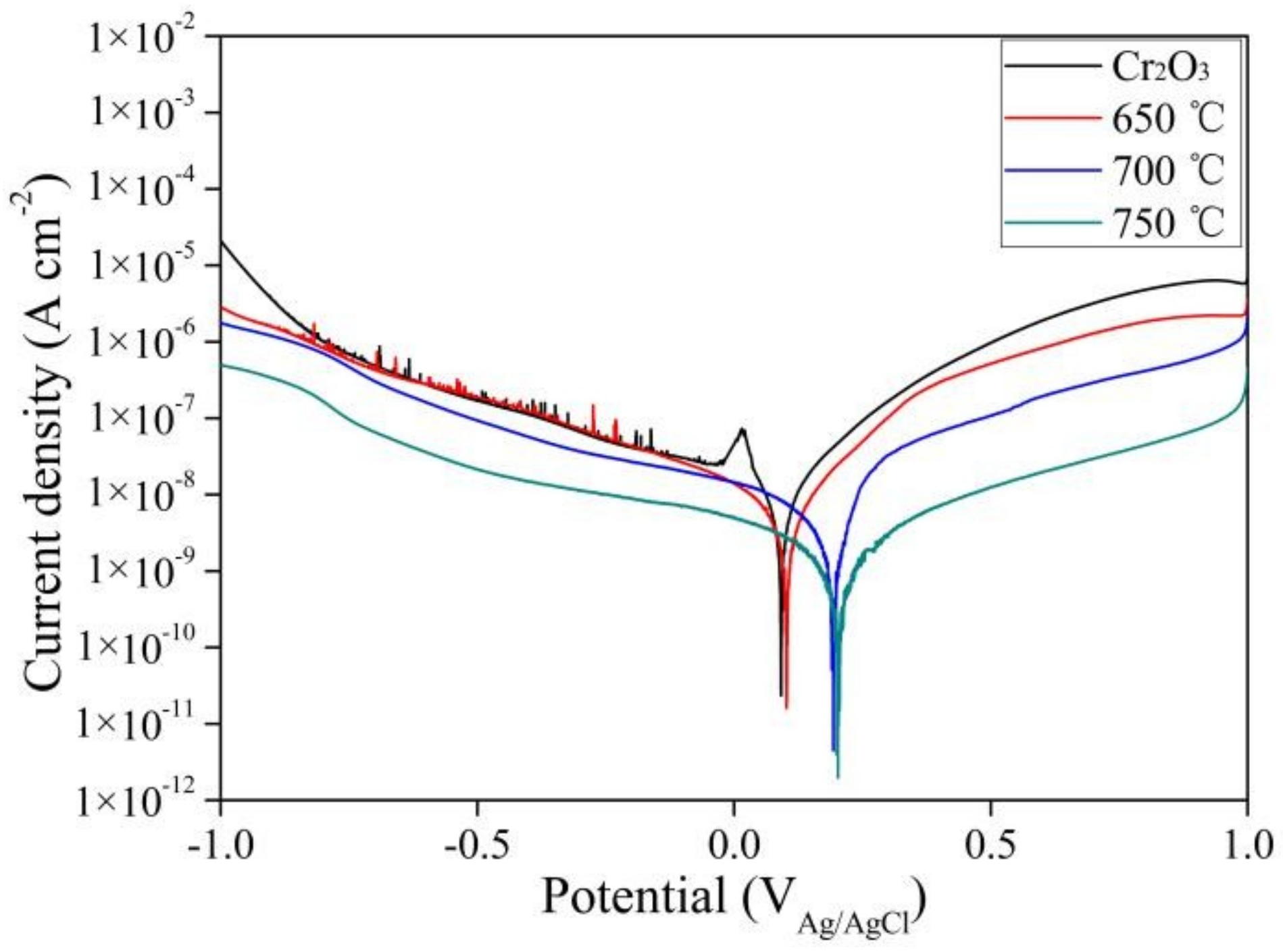
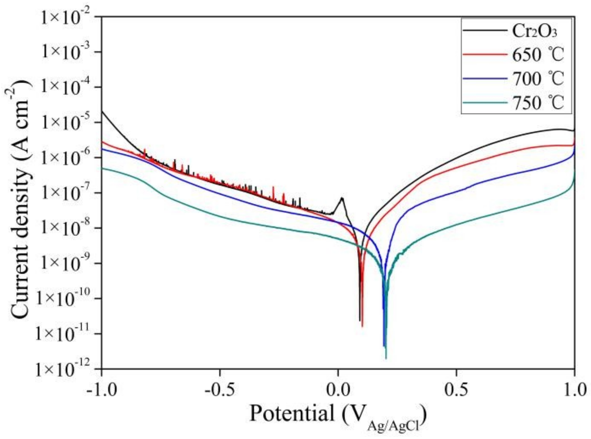
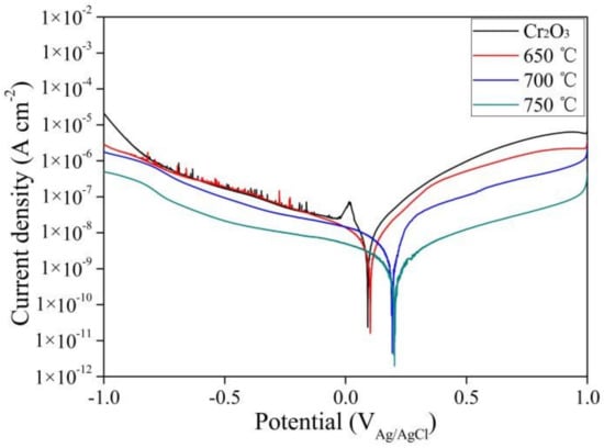
To confirm the sealing performance of the Al2O3 layer, the samples were characterized by electrochemical corrosion tests. Figure 9 shows the potentiodynamic polarization curves of Cr2O3 and Al2O3/Cr2O3 composite coatings at different temperatures. In the polarization curves, positive corrosion potential and negative corrosion current density represent lower corrosion rate and good anti-corrosion behavior. The electrochemical parameters calculated from the polarization curves are listed in Table 1. From Figure 9 and Table 1, it can be seen that the corrosion potential of the composite coating at 650 °C shifted about 31.0 mV (vs Ag/AgCl) to a positive direction, while the corrosion current density decreased to 1.32 × 10−9 A cm−2, lower than that of the Cr2O3 sample. With the increase of temperature, the corrosion potential persistently increased, and the corrosion current density decreased continually. The composite coating at 750 °C exhibited the best corrosion resistance with a current density of 6.64 × 10−10 A cm−2 and a corrosion potential of 224.0 mV.
Figure 9.
Potentiodynamic polarization curve of Cr2O3 and Al2O3/Cr2O3 composite coatings heat-treated at different temperatures.
Table 1.
Summary of the electrochemical parameters obtained from the potentiodynamic polarization curves for the unsealed and sealed coatings heat-treated at different temperatures.
The bonding strength between the coating and the metal substrate was measured through a pull-off method with a strain rate of 0.6 mm min−1. The final bonding strength value was determined as the average strength measured for three samples that had been tested in the same conditions. The results are shown in Figure 10. It was found that the bonding strength of all the composite coatings was higher than that of the Cr2O3 coating. The bonding strength increased gradually with the temperature. When the temperature was 750 °C, the bonding strengths was up to 46.5 MPa. This is because at high temperatures, Al2O3 is capable of filling in the pores and cracks of the Cr2O3 coating. Additionally, elemental Al diffuses into Cr2O3 and favors the solid phase sintering reaction, improving the bonding strength of the coating. At the same time, chemical potential concentration differences of elements exist between the coating and the metal substrate. Under the driving actions of such concentration differences, elements such as Al and Cr diffuse and migrate into the substrate to reach the metallurgical bonding state, which further improves the bonding between the ceramic phase and the metal phase.
Figure 10.
Bond strength curves of the Cr2O3 and Al2O3/Cr2O3 composite coatings heat-treated at different temperatures.
To further evaluate the sealing properties of the composite coating, the deuterium permeability of the coated samples as a function of temperature was investigated, as shown in Figure 11. The permeation data of 321L stainless steel measured in this work was used for comparison. The permeability reduction factor (PRF) was defined as:
where P0 and P are the deuterium permeability of the 321L stainless steel without and with coating, respectively. The PRF values of the coated samples were evaluated to be 1800, 717, 366, and 302 at 450, 500, 550, 600 °C, respectively, indicating that the composite coatings were all effective in reducing the hydrogen permeability. These values are higher than those for Cr2O3 films obtained with other methods [24].
PRF = P0/P
Figure 11.
Deuterium permeabilities of the Cr2O3/Al2O3 coated sample.
Figure 12 shows the dependence of the permeation flux on the driving pressure in the coated samples when evaluating the deuterium permeation regime of the composite coating. The pressure exponent n can be obtained by the linear relation of the ln P–ln J. The exponent n represents different permeation regimes: diffusion-limited and surface-limited when n = 0.5 and 1, respectively. In this work, the exponent n showed a value of 0.82–0.70 at 450–550 °C, which indicated that deuterium passed through the samples mainly in the surface-limited permeation mode. At 600 °C, however, the pressure exponent decreased to 0.53, indicating the rate-limiting process had changed from surface-limited to diffusion-limited in the coating.
Figure 12.
Deuterium permeation flux through the composite coated sample as a function of the driving pressure at different temperatures.
4. Conclusions
A dense Cr2O3/Al2O3 composite coating was fabricated by electrodepositing an Al2O3 layer on a Cr2O3 coating. Heat-treatment of the sealed coating allowed the Al2O3 layer to fully infiltrate the Cr2O3 coating forming an Al2O3/Cr2O3 composite coating and significantly improving the compactness of the ceramic coating by filling in the pores and cracks between the Cr2O3 grains when the temperature reached 750 °C. The composite ceramic coating exhibited the high microhardness of 219.4 HV500g, bonding strength of 46.5 MPa, and better anti-corrosion properties than the Cr2O3 coated-sample. In addition, its deuterium permeation flux was lower than that of the Cr2O3 coated-sample.
Author Contributions
Conceptualization, J.D.; Methodology, J.D. and L.X.; Validation, W.L., L.X. and Q.Z.; Formal Analysis, J.D.; Investigation, J.D.; Resources, L.X., Y.Y. and Q.Z.; Data Curation, J.D. and W.L.; Writing—Original Draft Preparation, J.D.; Writing—Review & Editing, L.X. and W.L.; Visualization, J.D.; Supervision, W.L., L.X. and Q.Z.; Project Administration, Y.Y.; Funding Acquisition, Y.Y.
Funding
This study was funded by the Chinese National Fusion Project for ITER (No. 2013GB110005).
Acknowledgments
The authors thank Yasuhisa Oya for the help on the deuterium permeation test and the technical support from the Analytical and Testing Center of Huazhong University of Science and Technology.
Conflicts of Interest
The authors declare no conflict of interest.
References
- Wang, D.-Y.; Lin, J.-H.; Ho, W.-Y. Study on chromium oxide synthesized by unbalanced magnetron sputtering. Thin Solid Films 1998, 332, 295–299. [Google Scholar] [CrossRef]
- Contoux, G.; Cosset, F.; Celerier, A.; Machet, J. Deposition process study of chromium oxide thin films obtained by DC magnetron sputtering. Thin Solid Films 1997, 292, 75–84. [Google Scholar] [CrossRef]
- Cellard, A.; Garnier, V.; Fantozzi, G.; Baret, G.; Fort, P. Wear resistance of chromium oxide nanostructured coatings. Ceram. Int. 2009, 35, 913–916. [Google Scholar] [CrossRef]
- Leivo, E.M.; Vippola, M.S.; Sorsa, P.P.A.; Vuoristo, P.M.J.; Mäntylä, T.A. Wear and corrosion properties of plasma sprayed Al2O3 and Cr2O3 coatings sealed by aluminum phosphates. J. Therm. Spray Technol. 1997, 6, 205–210. [Google Scholar] [CrossRef]
- Ahn, H.-S.; Kwon, O.-K. Tribological behaviour of plasma-sprayed chromium oxide coating. Wear 1999, 225, 814–824. [Google Scholar] [CrossRef]
- Yang, S.W.; Ryu, H.J.; Kim, J.H.; Lee, B.O.; Lee, C.B. FCCI barrier performance of electroplated Cr for metallic fuel. J. Nucl. Mater. 2010, 401, 98–103. [Google Scholar] [CrossRef]
- Maruyama, T.; Akagi, H. Chromium oxide thin films prepared by chemical vapor deposition from chromium acetylacetonate and chromium hexacarbonyl. J. Electrochem. Soc. 1996, 143, 1955–1958. [Google Scholar] [CrossRef]
- Wang, Y.; Di, J.; Xue, L.; Zhang, H.; Li, H.; Yan, Y. Fabrication and characterization of a dense Cr2O3-Al phosphate double coating as tritium permeation barrier. Fusion Eng. Des. 2017, 125, 127–133. [Google Scholar] [CrossRef]
- Shao, F.; Yang, K.; Zhao, H.; Liu, C.; Wang, L.; Tao, S. Effects of inorganic sealant and brief heat treatments on corrosion behavior of plasma sprayed Cr2O3-Al2O3 composite ceramic coatings. Surf. Coat. Technol. 2015, 276, 8–15. [Google Scholar] [CrossRef]
- Zhang, J.; Wang, Z.; Lin, P. Effects of sealing on corrosion behaviour of plasma-sprayed Cr2O3-8TiO2 coating. Surf. Eng. 2013, 29, 594–599. [Google Scholar] [CrossRef]
- Zeng, Z.; Zhang, J. Electrodeposition and tribological behavior of amorphous chromium-alumina composite coatings. Surf. Coat. Technol. 2008, 202, 2725–2730. [Google Scholar] [CrossRef]
- Sheu, H.-H.; Lu, C.-E.; Hou, K.-H.; Kuo, M.-L.; Ger, M.-D. Effects of alumina addition and heat treatment on the behavior of Cr coatings electroplated from a trivalent chromium bath. J. Taiwan Inst. Chem. Eng. 2015, 48, 73–80. [Google Scholar] [CrossRef]
- Badarulzaman, N.A.; Purwadaria, S.; Mohamad, A.A.; Ahmad, Z. The production of nickel‒alumina composite coating via electroplating. Ionics 2009, 15, 603–607. [Google Scholar] [CrossRef]
- Gao, J.; Suo, J. Effects of heating temperature and duration on the microstructure and properties of the self-healing coatings. Surf. Coat. Technol. 2011, 206, 1342–1350. [Google Scholar] [CrossRef]
- Chikada, T.; Suzuki, A.; Yao, Z.; Levchuk, D.; Maier, H.; Terai, T.; Muroga, T. Deuterium permeation behavior of erbium oxide coating on austenitic, ferritic, and ferritic/martensitic steels. Fusion Eng. Des. 2009, 84, 590–592. [Google Scholar] [CrossRef]
- Chikada, T.; Tanaka, T.; Yuyama, K.; Uemura, Y.; Sakurada, S.; Fujita, H.; Li, X.-C.; Isobe, K.; Hayashi, T.; Oya, Y. Crystallization and deuterium permeation behaviors of yttrium oxide coating prepared by metal organic decomposition. Nucl. Mater. Eng. 2016, 9, 529–534. [Google Scholar] [CrossRef]
- Olding, T.; Sayer, M.; Barrow, D. Ceramic sol‒gel composite coatings for electrical insulation. Thin Solid Films 2001, 398, 581–586. [Google Scholar] [CrossRef]
- Li, B.; Wang, S.; Fang, Y. Effect of Cr2O3 addition on crystallization, microstructure and properties of Li2O-Al2O3-SiO2 glass-ceramics. J. Alloy. Compd. 2017, 693, 9–15. [Google Scholar] [CrossRef]
- Shao, W.Q.; Chen, S.O.; Qin, P.; Li, D.; Zhu, H.L.; Zhang, Y.C. Investigation on three line expansion coefficients of α-Al2O3. J. Qingdao Univ. Nat. Sci. Ed. 2006, 19, 35–38. (In Chinese) [Google Scholar]
- Zhang, Q.; Xu, M.; Shen, Z.; Wei, Q. A nanostructured Cr2O3/WO3 p-n junction sensor for highly sensitive detection of butanone. J. Mater. Sci. Mater. Electron. 2017, 28, 12056–12062. [Google Scholar] [CrossRef]
- Lu, H.; Shen, D.; Bao, C.; Wang, Y. XPS and AES Studies of the Cr/Al2O3 Interface. Phys. Status Solidi A 1997, 159, 425–437. [Google Scholar] [CrossRef]
- Wagner, C.D.; Muilenberg, G.E. Handbook of X-ray Photoelectron Spectroscopy; Perkin-Elmer: Eden Prairie, MN, USA, 1979; p. 190. [Google Scholar]
- Dumbuya, K.; Christmann, K.; Schroeder, S.L.M. Epitaxial growth of single-crystalline Al2O3 films on Cr2O3 (0001). Langmuir 2007, 23, 5386–5393. [Google Scholar] [CrossRef] [PubMed]
- He, D.; Li, S.; Liu, X.; Zhang, C.; Yu, Q.; Wang, S.; Jiang, L. Preparation of Cr2O3 film by MOCVD as hydrogen permeation barrier. Fusion Eng. Des. 2014, 89, 35–39. [Google Scholar] [CrossRef]
© 2018 by the authors. Licensee MDPI, Basel, Switzerland. This article is an open access article distributed under the terms and conditions of the Creative Commons Attribution (CC BY) license (http://creativecommons.org/licenses/by/4.0/).











