Adjustment of Magnetic Characteristics for [Co/Pt] Multilayer Thin Films
Abstract
1. Introduction
2. Experiment
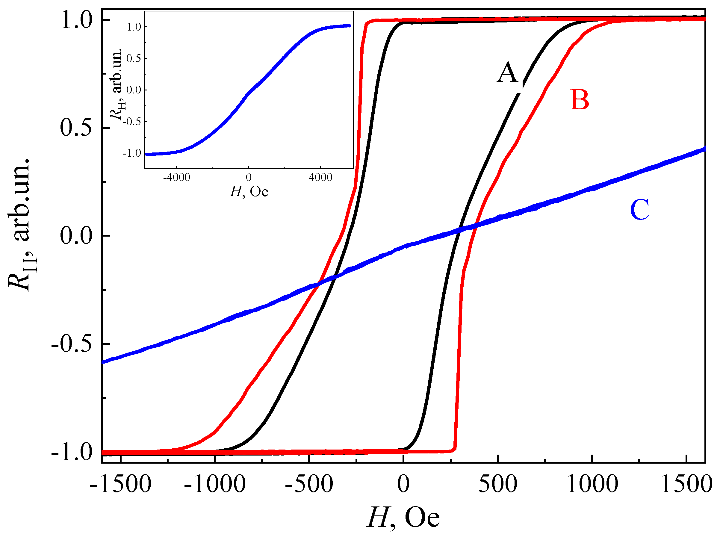
3. Results and Discussion
4. Conclusions
Author Contributions
Funding
Institutional Review Board Statement
Informed Consent Statement
Data Availability Statement
Conflicts of Interest
References
- Zhao, R.H.; Ren, Z.Y.; Cao, J.P.; Yuan, Y.S.; Zhao, G.L.; Xu, X.G.; Meng, K.K.; Miao, J.; Jiang, Y. Influence of heavy-metal capping layers on perpendicular magnetic anisotropy and spin-orbit torques of Pt/Co/HM stacks structures. Solid State Commun. 2021, 332, 114340. [Google Scholar] [CrossRef]
- Zhang, X.; Yang, X.; Li, P.; Ouyang, J.; Mingzhong, W.; Voyles, P.M.; Wang, W. Effects of Growth Order on Perpendicular Magnetic Anisotropy of Heavy-Metal/Ferromagnet/MgO Trilayered Structures. IEEE Magn. Lett. 2019, 10, 4503504. [Google Scholar] [CrossRef]
- Chizhikov, V.A.; Dmitrienko, V.E. Multi-shell contribution to the Dzyaloshinskii–Moriya spiralling in MnSi-type crystals. Phys. Rev. B 2013, 88, 214402. [Google Scholar] [CrossRef]
- Dmitriev, V.; Chernyshov, D.; Grigoriev, S.; Dyadkin, V. A chiral link between structure and magnetism in MnSi. J. Phys. Condens. Matter. 2012, 24, 366005. [Google Scholar] [CrossRef]
- Yu, X.Z.; Onose, Y.; Kanazawa, N.; Park, J.H.; Han, J.H.; Matsui, Y.; Nagaosa, N.; Tokura, Y. Real-space observation of a two-dimensional skyrmion crystal. Nature 2010, 465, 901–904. [Google Scholar] [CrossRef]
- Yu, X.Z.; Kanazawa, N.; Onose, Y.; Kimoto, K.; Zhang, W.Z.; Ishiwata, S.; Matsui, Y.; Tokura, Y. Near room-temperature formation of a skyrmion crystal in thin-films of the helimagnet FeGe. Nat. Mater. 2011, 10, 106. [Google Scholar] [CrossRef]
- Tokunaga, Y.; Yu, X.Z.; White, J.S.; Rønnow, H.M.; Morikawa, D.; Taguchi, Y.; Tokura, Y. A new class of chiral materials hosting magnetic skyrmions beyond room temperature. Nat. Commun. 2015, 6, 7638. [Google Scholar] [CrossRef]
- Wang, L.; Liu, C.; Mehmood, N.; Han, G.; Wang, Y.; Xu, X.; Feng, C.; Hou, Z.; Peng, Y.; Gao, X.; et al. Construction of a Room-Temperature Pt/Co/Ta Multilayer Film with Ultrahigh-Density Skyrmions for Memory Application. ACS Appl. Mater. Interfaces 2019, 11, 12098–12104. [Google Scholar] [CrossRef]
- Zhang, S.; Zhang, J.; Wen, Y.; Chudnovsky, E.M.; Zhang, X. Creation of a thermally assisted skyrmion lattice in Pt/Co/Ta multilayer films. Appl. Phys. Lett. 2018, 113, 192403. [Google Scholar] [CrossRef]
- Soumyanarayanan, A.; Raju, M.; Gonzalez Oyarce, A.L.; Tan, A.K.C.; Im, M.-Y.; Petrović, A.P.; Ho, P.; Khoo, K.H.; Tran, M.; Gan, C.K.; et al. Tunable room-temperature magnetic skyrmions in Ir/Fe/Co/Pt multilayers. Nat. Mater. 2017, 16, 898–904. [Google Scholar] [CrossRef]
- Chen, R.; Wang, X.; Cheng, H.; Lee, K.J.; Xiong, D.; Kim, J.-Y.; Li, S.; Yang, H.; Zhang, H.; Cao, K.; et al. Large Dzyaloshinskii-Moriya interaction and room-temperature nanoscale skyrmions in CoFeB/MgO heterostructures. Cell Rep. Phys. Sci. 2021, 2, 100618. [Google Scholar] [CrossRef]
- Ojha, B.; Mallick, S.; Panigrahy, S.; Sharma, M.; Thiaville, A.; Rohart, S.; Bedanta, S. Driving skyrmions with low threshold current density in Pt/CoFeB thin film. Phys. Scr. 2023, 98, 035819. [Google Scholar] [CrossRef]
- Bi, C.; Sun, C.; Xu, M.; Newhouse-Illige, T.; Voyles, P.M.; Wang, W. Electrical Control of Metallic Heavy-Metal–Ferromagnet Interfacial States. Phys. Rev. Appl. 2017, 8, 034003. [Google Scholar] [CrossRef]
- Song, C.; Zhang, R.; Liao, L.; Zhou, Y.; Zhou, X.; Chen, R.; You, Y.; Chen, X.; Pan, F. Spin-orbit torques: Materials, mechanisms, performances, and potential applications. Prog. Mater. Sci. 2021, 118, 100761. [Google Scholar] [CrossRef]
- Wei, W.-S.; He, Z.-D.; Qu, Z.; Du, H.-F. Dzyaloshinsky–Moriya interaction (DMI)-induced magnetic skyrmion materials. Rare Met. 2021, 40, 3076–3090. [Google Scholar] [CrossRef]
- One, R.-A.; Mican, S.; Cimpoesu, A.-G.; Joldos, M.; Tetean, R.; Tiusan, C.V. Micromagnetic Design of Skyrmionic Materials and Chiral Magnetic Configurations in Patterned Nanostructures for Neuromorphic and Qubit Applications. Nanomaterials 2022, 12, 4411. [Google Scholar] [CrossRef]
- Tejo, F.; Velozo, F.; Elias, R.G.; Escrig, J. Oscillations of skyrmion clusters in Co/Pt multilayer nanodots. Sci. Rep. 2020, 10, 16517. [Google Scholar] [CrossRef]
- Dorokhin, M.V.; Zdoroveyshchev, A.V.; Temiryazeva, M.P.; Temiryazev, A.G.; Demina, P.B.; Vikhrova, O.V.; Kudrin, A.V.; Kalentyeva, I.L.; Ved, M.V.; Orlova, A.N.; et al. Manipulation of micromagnetic structure of thin Co/Pt multilayer films by precise variation of Co and Pt thicknesses. J. Alloys Compd. 2022, 926, 166956. [Google Scholar] [CrossRef]
- Cheng, S.; Bagues, N.; Selcu, C.M.; Freyermuth, J.B.; Li, Z.; Wang, B.; Das, S.; Hammel, P.C.; Randeria, M.; McComb, D.W.; et al. Room-temperature magnetic skyrmions in Pt/Co/Cu multilayers. Phys. Rev. B 2023, 108, 174433. [Google Scholar] [CrossRef]
- Dorokhin, M.V.; Demina, P.B.; Zdoroveyshchev, A.V.; Zdoroveyshchev, D.A.; Temiryazev, A.G.; Temiryazeva, M.P.; Kalentyeva, I.L.; Trushin, V.N. Manipulating the Micromagnetic Structure of Multiphase CoPt Thin Films by Varying Layer Thicknesses. Phys. Solid State 2023, 65, 947–952. [Google Scholar] [CrossRef]
- Zdoroveyshchev, A.V.; Dorokhin, M.V.; Demina, P.B.; Kudrin, A.V.; Vikhrova, O.V.; Ved’, M.V.; Danilov, Y.A.; Erofeeva, I.V.; Krjukov, R.N.; Nikolichev, D.E. CoPt ferromagnetic injector in light-emitting Schottky diodes based on InGaAs/GaAs nanostructures. Semiconductors 2015, 49, 1601–1604. [Google Scholar] [CrossRef]
- Hofmann, S. Auger- and X-Ray Photoelectron Spectroscopy in Materials Science; Springer: Heidelberg/Berlin, Germany, 2013; p. 528. [Google Scholar]
- Cumpson, P.J. The Thickogram: A method for easy film thickness measurement in XPS. Surf. Interface Anal. 2000, 29, 403–406. [Google Scholar] [CrossRef]
- Seah, M.P.; Dench, W.A. Quantitative electron spectroscopy of surfaces: A standard data base for electron inelastic mean free paths in solids. Surf. Interface Anal. 1979, 1, 2–11. [Google Scholar] [CrossRef]
- Woolley, J.C.; Phillips, J.H.; Clark, J.A. Ordering in CoPt CrPt and CoPt MnPt alloys. J. Less-Com. Met. 1964, 6, 461–471. [Google Scholar] [CrossRef]
- Nagaosa, N.; Sinova, J.; Onoda, S.; MacDonald, A.H.; Ong, N.P. Anomalous Hall effect. Rev. Mod. Phys. 2010, 82, 1539–1592. [Google Scholar] [CrossRef]
- Zdoroveyshchev, A.V.; Vikhrova, O.V.; Demina, P.B.; Dorokhin, M.V.; Kudrin, A.V.; Temiryazev, A.G.; Temiryazeva, M.P. Magneto-optical and micromagnetic properties of ferromagnet/heavy metal thin films structures. Int. J. Nanosci. 2019, 18, 1940019. [Google Scholar] [CrossRef]
- Temiryazev, A.G.; Temiryazeva, M.P.; Zdoroveyshchev, A.V.; Vikhrova, O.V.; Dorokhin, M.V.; Demina, P.B.; Kudrin, A.V. Formation of a Domain Structure in Multilayer CoPt Films by Magnetic Probe of an Atomic Force Microscope. Phys. Solid State 2018, 60, 2200–2206. [Google Scholar] [CrossRef]
- Temiryazev, A.G.; Zdoroveyshchev, A.V.; Temiryazeva, M.P. Creating Skyrmions in Thin CoPt Films with an Atomic Force Microscope Probe. Bull. Russ. Acad. Sci. 2023, 87, 318–321. [Google Scholar] [CrossRef]
- Sekino, Y.; Owari, M.; Kudo, M.; Nihei, Y. Quantitative Auger Electron Spectroscopy and X-ray Photoelectron Spectroscopy of Thin Film Materials. Jpn. J. Appl. Phys. 1986, 25, 538. [Google Scholar] [CrossRef]
- Yue, L.; Al-Omari, I.A.; Zhang, W.; Skomski, R.; Sellmyer, D.J. Magnetic Domain Structure of Nanocrystalline Zr18-xHfxCo82 Ribbons: Effect of Hf. In MRS Online Proceedings Library (OPL), Volume 1557: Symposium Y—Advances in Scanning Probe Microscopy for Imaging Functionality on the Nanoscale; Cambridge University Press: Cambridge, UK, 2013; p. 509. [Google Scholar]
- Yamanouchi, M.; Jander, A.; Dhagat, P.; Ikeda, S.; Matsukura, F.; Ohno, H. Domain Structure in CoFeB Thin Films with Perpendicular Magnetic Anisotropy. IEEE Magn. Lett. 2011, 2, 3000304. [Google Scholar] [CrossRef]
- Yu, G.; Upadhyaya, P.; Shao, Q.; Wu, H.; Yin, G.; Li, X.; He, C.; Jiang, W.; Han, X.; Amiri, P.K.; et al. Room-Temperature Skyrmion Shift Device for Memory Application. Nano Lett. 2017, 17, 261–268. [Google Scholar] [CrossRef] [PubMed]
- Tejo, F.; Toneto, D.; Oyarzún, S.; Hermosilla, J.; Danna, C.S.; Palma, J.L.; da Silva, R.B.; Dorneles, L.S.; Denardin, J.C. Stabilization of Magnetic Skyrmions on Arrays of Self-Assembled Hexagonal Nanodomes for Magnetic Recording Applications. ACS Appl. Mater. Interfaces 2020, 12, 53454–53461. [Google Scholar] [CrossRef] [PubMed]
- Ariake, J.; Chiba, T.; Watanabe, S.; Honda, N.; Ouchi, K. Magnetic and structural properties of Co–Pt perpendicular recording media with large magnetic anisotropy. J. Magn. Magn. Mater 2005, 287, 229–233. [Google Scholar] [CrossRef]
- Li, Y.; Jin, X.; Pan, P.; Tan, F.N.; Lew, W.S.; Ma, F. Temperature-dependent interlayer exchange coupling strength in synthetic antiferromagnetic [Pt/Co]2/Ru/[Co/Pt]4 multilayers. Chin. Phys. B 2018, 27, 127502. [Google Scholar] [CrossRef]
- Wang, X.; Cao, A.; Li, S.; Tang, J.; Du, A.; Cheng, H.; Sun, Y.; Du, H.; Zhang, X.; Zhao, W. Manipulating density of magnetic skyrmions via multilayer repetition and thermal annealing. Phys. Rev. B 2021, 104, 064421. [Google Scholar] [CrossRef]




| Sample (t) | Period, nm | Coercive Field, Oe | Hs (Oe) | ΦRMS (°) | L, nm | NSk, μm−2 |
|---|---|---|---|---|---|---|
| A (0.85) | - | 282 | 1000 | 0.182 | 70 | 3 |
| B (1) | 1 ± 0.2 | 364 | 1100 | 0.260 | 100 | 6 |
| C (1.5) | 1.5 ± 0.2 | 0 | 4000 | 0.094 | 50 | 0 |
Disclaimer/Publisher’s Note: The statements, opinions and data contained in all publications are solely those of the individual author(s) and contributor(s) and not of MDPI and/or the editor(s). MDPI and/or the editor(s) disclaim responsibility for any injury to people or property resulting from any ideas, methods, instructions or products referred to in the content. |
© 2025 by the authors. Licensee MDPI, Basel, Switzerland. This article is an open access article distributed under the terms and conditions of the Creative Commons Attribution (CC BY) license (https://creativecommons.org/licenses/by/4.0/).
Share and Cite
Dorokhin, M.V.; Zdoroveyshchev, A.V.; Demina, P.B.; Kuznetsov, Y.M.; Zdoroveyshchev, D.A.; Kudrin, A.V.; Temiryazeva, M.P.; Temiryazev, A.G.; Kalentyeva, I.L.; Ved’, M.V.; et al. Adjustment of Magnetic Characteristics for [Co/Pt] Multilayer Thin Films. Coatings 2025, 15, 186. https://doi.org/10.3390/coatings15020186
Dorokhin MV, Zdoroveyshchev AV, Demina PB, Kuznetsov YM, Zdoroveyshchev DA, Kudrin AV, Temiryazeva MP, Temiryazev AG, Kalentyeva IL, Ved’ MV, et al. Adjustment of Magnetic Characteristics for [Co/Pt] Multilayer Thin Films. Coatings. 2025; 15(2):186. https://doi.org/10.3390/coatings15020186
Chicago/Turabian StyleDorokhin, Mikhail V., Anton V. Zdoroveyshchev, Polina B. Demina, Yurii M. Kuznetsov, Daniil A. Zdoroveyshchev, Alexey V. Kudrin, Marina P. Temiryazeva, Alexei G. Temiryazev, Irina L. Kalentyeva, Mikhail V. Ved’, and et al. 2025. "Adjustment of Magnetic Characteristics for [Co/Pt] Multilayer Thin Films" Coatings 15, no. 2: 186. https://doi.org/10.3390/coatings15020186
APA StyleDorokhin, M. V., Zdoroveyshchev, A. V., Demina, P. B., Kuznetsov, Y. M., Zdoroveyshchev, D. A., Kudrin, A. V., Temiryazeva, M. P., Temiryazev, A. G., Kalentyeva, I. L., Ved’, M. V., Kryukov, R. N., Zubkov, S. Y., & Tatarskiy, D. A. (2025). Adjustment of Magnetic Characteristics for [Co/Pt] Multilayer Thin Films. Coatings, 15(2), 186. https://doi.org/10.3390/coatings15020186

