Abstract
Silver-coated copper (Ag-coated Cu) powder, combining the cost-effectiveness of copper with the oxidation resistance of silver, holds significant application value in photovoltaics and electronic pastes. In this study, Ag-coated Cu powder with a dense, uniform, smooth, and fully covered silver layer, as well as excellent dispersibility, was successfully prepared using the combined effects of ultrasonic and mechanical stirring. This study systematically analyzed the effects of different stirring conditions (mechanical stirring alone and mechanical stirring with ultrasonic oscillation), reaction rates (silver–ammonia solution supply rates of 1 mL/min to 9 mL/min), and silver contents (18%, 24%, and 28%) on the surface morphology and oxidation resistance of Ag-coated Cu powder. The results show that in the absence of ultrasonic oscillation, the uniformity and coverage of the silver layer were poor, with significant copper particle dissolution leading to hollow silver shells. Ultrasonic oscillation effectively reduced the roughness of the silver layer, improving its uniformity and coverage. Increasing the reaction rate had a minimal impact on the surface morphology but reduced the oxidation resistance of the powder. This study also analyzed the formation mechanisms of Ag-coated Cu with different surface morphologies, providing valuable guidance for producing high-quality Ag-coated Cu powder.
1. Introduction
Solar energy, as a clean and sustainable energy source, offers immense potential in addressing the global energy crisis and reducing greenhouse gas emissions [1]. Solar energy panels, the key component in harnessing solar energy, typically consist of photovoltaic cells that convert sunlight into electricity. Silver powder has been traditionally used as a key material in the fabrication of these panels due to its excellent electrical conductivity and high solar reflectance properties [2,3]. However, the increasing demand for solar energy panels has raised concerns about the environmental and economic sustainability of using silver powder.
In recent years, Ag-coated Cu powders have emerged as a promising alternative to silver powder in the manufacturing of solar energy panels [4]. Copper is abundantly available, cost-effective, and possesses good electrical conductivity, making it a viable candidate for replacing silver in solar energy applications. By coating copper powders with a thin layer of silver, the resulting material exhibits improved conductivity and antioxidant properties while significantly reducing the usage of silver [5,6]. Unfortunately, their high-temperature oxidation resistance property is still limited most of the time because the silver film is not smooth and dense enough.
The preparation technology for Ag-coated Cu has been developed for a long time. However, a review of the literature indicates that there have been no significant breakthroughs in recent years. Twenty years ago, Xu et al. [7] successfully deposited a silver layer on copper powder using potassium sodium tartrate as a reducing agent. They observed that when the silver content exceeded 10%, the oxidation resistance of the copper improved significantly. However, the images provided by the authors revealed severe agglomeration of the Ag-coated Cu particles. Hai et al. [8] systematically investigated the effects of the surface activation time, the ratio of ammonia to ammonium sulfate, and the silver-ion supply rate on the surface area of Ag-coated Cu particles. While some conclusions and trends were obtained, the silver layer prepared using this method was porous and had numerous free silver particles adhering to the surface. Cao et al. [9] pointed out that the chemical systems used in previous studies resulted in the formation of copper–ammonia complex ions, which adhered to the copper particles’ surfaces and hindered the displacement reaction between silver and copper. By introducing the RE-608 complexing agent to the chemical system, this problem was avoided. However, the prepared Ag-coated Cu still suffered from severe agglomeration, forming a coral-like structure. Zhu et al. [10] prepared Ag-coated Cu particles by directly mixing the pretreated copper suspension with a silver–ammonia solution without using additional reducing agents. Although Ag-coated Cu particles were successfully prepared, the severe aggregation resulted in copper particles being connected by silver to form clumps. Previous studies have demonstrated that reduction reactions can successfully produce Ag-coated Cu powder. However, no method has yet been shown to produce a dense and complete silver coating. Additionally, earlier studies did not examine the effect of copper powder dispersion on the surface morphology of Ag-coated Cu. Nor did they explore the relationships between preparation process parameters, the silver content, and the oxidation resistance of Ag-coated Cu powder.
In this study, we introduced a dispersion method combining ultrasonic and mechanical dispersion, along with precise control of the reaction rate, to achieve the preparation of high-quality Ag-coated Cu powder. The effects of the ultrasonic treatment, reaction rate, and silver content on the surface morphology and oxidation resistance were systematically investigated. Additionally, the formation mechanisms and processes of Ag-coated Cu with different morphologies were analyzed. The findings of this study provide valuable guidance for designing new reaction systems and conditions for the preparation of high-quality Ag-coated Cu.
2. Experimental Procedure
2.1. Coating Process
Spherical copper powder with a diameter ranging from 1 to 10 μm was supplied by AVIMETAL company from Beijing, China. The detailed properties of the copper powder are listed in Table 1. In the copper powder pretreatment stage, initially, 5 g of copper powder was dispersed in a 5 g/L NaOH solution in 250 mL, followed by sonication for 5 min and subsequent filtration. The solvent in all solutions used in this study was deionized water. The purpose of this step was to remove the anti-oxidation oil on the surface of the copper powder. Next, the treated copper powder was added to a 0.1 mol/L H2SO4 solution in 200 mL, sonicated for another 5 min, and then filtered to separate the copper powder. The purpose of this step was to eliminate the oxide film on the surface of the copper powder. Finally, the copper powder was dispersed in a 4 g/L NaOH solution in 200 mL and sonicated for 5 min to adjust the pH to alkaline and activate the surface before filtration and separation.
Table 1.
Physical properties of copper powder.
In the coating stage, the pretreated copper powder was dispersed in a 35.5 g/L potassium tartrate solution in 165 mL and subjected to ultrasonic oscillation and mechanical stirring at a speed of 100 r/min. The silver–ammonia solution was prepared by dripping 28% ammonia into a 0.1 mol/L silver nitrate solution. The solution first became turbid due to the formation of silver hydroxide and then became clear as the silver hydroxide dissolved into silver–ammine complex ions. Dripping was stopped when the solution just turned clear to obtain a stoichiometric silver–ammonia solution. The prepared silver–ammonia solution was added dropwise into the copper-containing solution at a controlled rate. After the complete addition of the silver–ammonia solution, ultrasonic vibration and mechanical stirring were halted. The entire reaction process was conducted within a water bath, with the temperature maintained at 30 °C. It is noteworthy that the water bath temperature could rise to 50 °C during the operation of ultrasonic vibration. Preliminary experiments have shown that Ag-coated Cu powder can be successfully prepared in the temperature range of 20 °C to 80 °C, and temperature has little effect on the test results. The test temperatures listed in Table 2 are for the sole purpose of recording the conditions used in the preparation. After separating the copper powder from the reaction solution, it was washed twice with water and alcohol and dried in an oven at 80 °C for 6 h, resulting in smooth and dense Ag-coated Cu powder. The choice of silver content was determined by a balanced consideration of both the conductivity of Ag-coated Cu and material cost. A total of 10 groups of experiments were carried out, and the main process parameters of each group of experiments are listed in Table 2.
Table 2.
List of experimental groups and experimental parameters.
2.2. Characterization Methods
The morphologies of the coatings were investigated using a scanning electron microscope (Hitachi S48000, Hitachi, Tokyo, Japan), and the element distribution was studied by equipped energy-dispersive spectroscopy (QUANTAX Bruker, Billerica, MA, USA). The chemical compositions of the samples were analyzed by XRD (Bruker D8 Discover).
The oxidation experiment of Ag-coated Cu was conducted as follows: A certain mass of Ag-coated Cu powder was evenly spread in a clean crucible to form a thin layer of powder that was in full contact with air. The total weight (M0) of the crucible and the Ag-coated Cu powder was measured using a precision electronic balance. Subsequently, the crucible was placed in a muffle furnace, kept at a constant temperature for 10 min, and then taken out and weighed quickly as M1. The crucible was then returned to the furnace and kept for another 10 min, and upon removal, the weight was measured as M2. This process was repeated six times to observe the oxidative evolution pattern of the Ag-coated Cu powder within 60 min. The temperature of the oxidation resistance test was determined based on the scenarios where the silver-coated copper powder was used. The sintering temperature of traditional low-temperature silver paste is about 200 °C, while the sintering temperature of high-temperature silver paste is about 700 °C. Therefore, the oxidation experiment was conducted at temperatures of 150 °C, 300 °C, 450 °C, and 600 °C, respectively. The weight increment at any given time interval was defined as
3. Results and Discussion
3.1. Reaction Mechanisms
The fundamental principle of this process was the reduction of silver, where silver was either reduced by copper or by potassium sodium tartrate.
When a silver–ammonia solution is added to the suspension formed by copper powder and the reducing agent, two reactions occur simultaneously. The first reaction involves the displacement of silver ions in the solution by copper atoms on the surface of the copper powder. The second reaction involves the reduction of silver–ammonia complex ions by potassium sodium tartrate. Both reactions proceed concurrently without a specific order, leading to the formation of silver atoms. These silver atoms may gradually deposit on the surface of the copper powder, forming a silver coating, or they may remain suspended in the solution and grow into elemental silver particles. The two reactions can be expressed by the following chemical equations:
According to previous study conclusionsAccording to previous study conclusions [8], the silver atoms produced by the displacement reaction (Equation (1)) nucleate on the surfaces of the copper particles, forming the foundation of the silver coating. The number of nucleation sites on the copper surface determines the quality of the coating. If there are numerous and evenly distributed nucleation sites, the silver atoms produced by the reduction reaction (Equation (3)) can grow uniformly on the surface of the copper particles, resulting in a coating with uniform thickness and high density. Conversely, if the number of nucleation sites is insufficient, the silver atoms will not be effectively “captured” by the nucleation points, leading to the formation of a discontinuous coating, and a significant amount of free silver particles will appear in the solution.
A clean copper powder surface is essential for the formation of silver nucleation points. Antioxidant oil films and surface oxide layers hinder the displacement reaction, ultimately causing defects in the uniformity of the coating. Therefore, it is crucial to thoroughly clean the copper powder surface with excess alkali and acid during the pretreatment stage to remove oils and copper oxide. As shown in Equations (2) and (3), an alkaline environment promotes the reduction reaction, but it inhibits the displacement reaction (Equation (1)). Hence, maintaining a balanced alkaline environment is vital to ensure the equilibrium between the nucleation process (Equation (1)) and the deposition processes (Equations (2) and (3)).
3.2. Mechanical Stirring Effects
As shown in Figure 1, the surface morphologies of the Ag-coated Cu powders prepared at different titration rates with only mechanical stirring are illustrated. The dispersibility of the Ag-coated Cu powders prepared at varying titration rates appears similar. In Figure 1a,d,g, it can be observed that the powder exhibits moderate dispersibility, with slight agglomeration. The scanning electron microscopy images reveal a significant number of incomplete and fractured Ag-coated Cu particles at all titration rates, as indicated by the red arrows in Figure 1b,e,h. These Ag-coated Cu particles are characterized by surface notches accounting for approximately 10% of the area, with the internal structure being nearly hollow. This indicates the absence of Cu particles, leaving only a silver shell. The formation of this silver-shell structure is likely due to a localized and continuous displacement reaction between Cu and silver ions, leading to the complete dissolution of the Cu particles.
Figure 1.
SEM images of Ag-coated Cu powders fabricated without ultrasonic vibration at 30 °C. (a–c) Feeding rate of 1 mL/min (A1), (d–f) feeding rate of 4 mL/min (A2), and (g–i) feeding rate of 8 mL/min (A3). The red arrows mark the hollow Ag-coated Cu shell.
In Figure 1e,f,i, it is evident that under the condition of mechanical stirring alone, the surface of the silver layer is rough and not dense, indicating uneven silver growth. This result may be attributed to the incomplete and slow distribution of the [Ag(NH3)2]+ solution in the reaction medium under mechanical stirring, causing localized high silver-ion concentrations and resulting in abnormal localized growth. Additionally, Figure 1b,e,h show that as the titration rate of the [Ag(NH3)2]+ solution increases, the proportion of rough particles gradually rises.
It is also worth noting that with only mechanical stirring and without external heating, the reaction solution temperature remains the same as the bath temperature, approximately 30 °C. This low temperature is also not conducive to the rapid diffusion of [Ag(NH3)2]+.
Figure 2 shows the energy-dispersive spectroscopy (EDS) mapping of the Ag-coated Cu powders prepared under mechanical stirring conditions. From the distribution of copper and silver elements, it can be clearly identified that the small spherical particles attached to the surfaces of the copper particles are silver particles. In addition, the surfaces of the copper particles are not completely covered by silver, and some areas are still exposed.
Figure 2.
Elemental distribution on the surface of Ag-coated Cu powder (A2). (a) SEM image, (b) distribution of Cu, and (c) distribution of Ag.
The reason copper signals are still detected in regions covered by silver particles is that the silver layer consists of a thickness of only several Ag particles, making the coverage relatively thin and, thus, detectable by scanning equipment.
The incomplete or uneven surface coverage of silver on the Ag-coated Cu particles presents two major issues: (1) it fails to meet the requirements for oxidation resistance, and (2) during the preparation of Ag-coated Cu paste, compared with Ag-coated Cu powders with smooth surfaces, more organic solvents are required to achieve the same level of flowability.
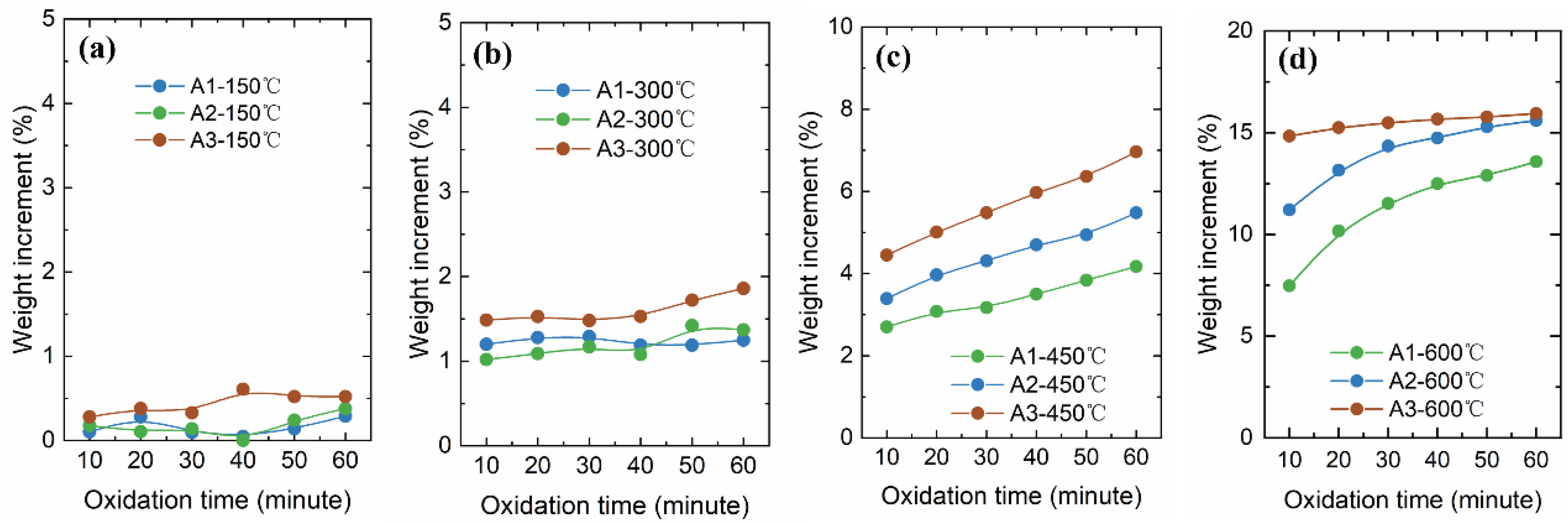
Figure 3 presents the oxidation resistance analysis of Ag-coated Cu particles prepared under mechanical stirring conditions. At 150 °C, the weight increment of the Ag-coated Cu powders is very low, with weight increments below 0.5%. Moreover, the weight increment does not increase with prolonged exposure time, indicating that the Ag-coated Cu powders exhibit excellent oxidation resistance at this temperature.
Figure 3.
Weight increment of Ag-coated Cu with time at (a) 150 °C, (b) 300 °C, (c) 450 °C, and (d) 600 °C.
At 300 °C and above, the weight increment of the Ag-coated Cu powders increases rapidly with rising temperature. Under the same temperature conditions, the weight increment also gradually increases with extended exposure time. However, at higher temperatures, such as 600 °C, the weight increment of the Ag-coated Cu powders quickly reaches its maximum value, after which it remains nearly constant and does not further increase over time.
Additionally, the figure reveals that under all temperature conditions, the Ag-coated Cu powders prepared with the fastest titration rate (A3) exhibit the poorest oxidation resistance. This is attributed to the increased proportion of rough Ag-coated Cu particles resulting from the fast titration rate, which, in turn, reduces the overall oxidation resistance of the powders.
3.3. Feeding Rate Effect
Figure 4 shows the Ag-coated Cu powder prepared under the combined effect of ultrasonic vibration and mechanical stirring. From Figure 4a,c,e, it is evident that the Ag-coated Cu powder prepared with the assistance of ultrasonic vibration has better dispersion than the powder prepared without ultrasonic vibration. The Ag-coated Cu powder prepared under ultrasonic vibration conditions is able to spread uniformly in a single layer, with no agglomeration between the powder layers. Figure 4b,d,f show that the Ag-coated Cu powder prepared under ultrasonic vibration conditions has a smooth, dense surface, with no hollow shells, surface damage, or incomplete coatings. The effect of different titration speeds on the surface morphology of the Ag-coated Cu is minimal.
Figure 4.
SEM images of Ag-coated Cu powder fabricated with ultrasonic vibration and mechanical stirring at different feeding rates: (a,b) 1 mL/min for group B1, (c,d) 4 mL/min for group B2, and (e,f) 9 mL/min for group B4.
Under ultrasonic vibration conditions, some satellite particles with a submicron-level size were observed on the surfaces of Ag-coated Cu particles. Elemental analysis of the satellite particles, as shown in Figure 5a,b, revealed that their primary element was silver, indicating that these satellite silver particles were formed during the reduction process without adhering to the copper particle surfaces. The formation process of these silver particles is similar to the formation process of the rough surface of Ag-coated Cu particles observed in Section 3.2. Under the combined effect of ultrasonic vibration and mechanical stirring, most of the silver–ammonia complex ions diffuse rapidly and grow uniformly on the copper particle surfaces. However, a small amount of high-concentration silver–ammonia complexes fail to diffuse in time, leading to the formation of localized high concentrations of silver atoms, which subsequently grow into silver particles. Under mechanical stirring alone, due to poor dispersion, a large number of suspended silver particles are formed, leading to poor nucleation on the copper surfaces. Subsequently, these suspended particles adhere to the copper particles during growth, eventually resulting in the incomplete Ag-coated Cu particles shown in Figure 1.
Figure 5.
(a,b) Elemental analysis of satellite powder; (c–e) elemental distribution on the surface of Ag-coated Cu powder (B1). The red arrows mark the satellite particles generated during the coating process.
Figure 5c–e display the elemental distribution on the surface of the Ag-coated Cu powder prepared using the B1 process, further confirming that the copper particles are uniformly coated with a layer of silver. The satellite particles, indicated by the red arrow in Figure 5c, are not detected in the copper elemental distribution map but are clearly visible in the silver elemental distribution map, providing further evidence that the satellite particles are pure silver.
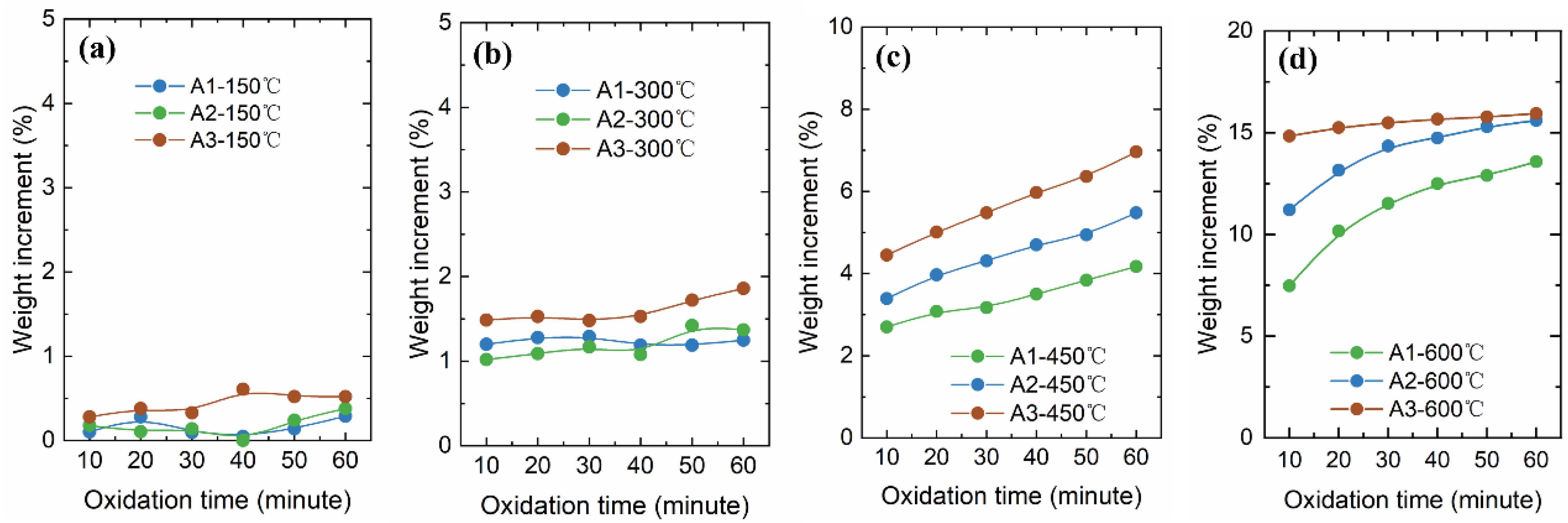
Figure 6 shows the oxidation resistance of the Ag-coated Cu powder prepared under the combined influence of ultrasonic vibration and mechanical stirring. Similar to the Ag-coated Cu powder prepared without ultrasonic vibration, the weight increment of the Ag-coated Cu powder at 150 °C is relatively low. In the temperature range of 300 °C to 600 °C, the weight increment increases gradually with both the extension of time and the increase in temperature. When the temperature exceeds 600 °C, the weight increment of the Ag-coated Cu rapidly reaches its maximum within 10 min, and the weight increment does not increase further with additional time. Notably, under the same oxidation conditions, the Ag-coated Cu powder prepared at a low feeding rate exhibits superior oxidation resistance compared with the powder prepared at a high feeding rate.
Figure 6.
Increased weight of Ag-coated Cu with time at different temperatures for samples B1–B4. (a) 150 °C, (b) 300 °C, (c) 450 °C, and (d) 600 °C.
In order to further analyze the degree of oxidation of the Ag-coated Cu powder at different temperatures, XRD analysis was performed on sample B3 under different oxidation conditions (Figure 7). Only Ag and Cu elements are detected in the unoxidized Ag-coated Cu powder, and the peaks are very strong and clean. After oxidation treatment at 150 °C for 1 h, no phase change is observed, indicating that the Ag-coated Cu was basically not oxidized at this temperature. Cuprous oxide is detected after oxidation treatment at 300 °C for 1 h, and the peak intensity of copper is significantly reduced, indicating that copper began to oxidize. The phase compositions of the powder after oxidation treatment at 450 °C and 600 °C for 1 h are similar, the peaks of copper and silver are significantly weakened, and the peak of copper oxide is stronger, indicating that a large amount of copper was oxidized. The peak intensity of silver is weakened because it migrated and coalesced at high temperatures to form a discontinuous island structure on the surfaces of the copper particles.
Figure 7.
XRD patterns of sample B3 before and after oxidation.
The surface morphology of sample B3 after oxidation at different temperatures for 1 h is shown in Figure 8. After oxidation at 150 °C for 1 h, as depicted in Figure 8a,b, the Ag-coated Cu powder exhibits good dispersibility, with no agglomeration observed between particles. The particles show minimal changes compared with their pre-oxidation state. This observation is corroborated by the uniform elemental distribution shown in Figure 9a.
Figure 8.
Surface morphology of sample B3 after oxidation at different temperatures: (a,b) 150 °C, (c,d) 300 °C, (e,f) 450 °C, and (g,h) 600 °C.
Figure 9.
Elemental distribution of sample B3 after oxidization at different temperatures: (a) 150 °C, (b) 300 °C, (c) 450 °C, and (d) 600 °C.
When the temperature exceeded 300 °C, the Ag-coated Cu powder began to sinter into bulk structures, as shown in Figure 8c,e,g. With increasing temperature, the sintering necks between particles grow larger, and the porosity of the sintered powder decreases significantly. Notably, the surface morphology of the silver coating on the copper particles starts to change at 300 °C and becomes more pronounced with increasing temperature. At 300 °C, the silver on the copper particles changes from smooth to angular, as shown in Figure 8d, suggesting an initial tendency for delamination. This is further confirmed by Figure 9b, which reveals that the particles are no longer spherical while copper remains distributed uniformly across the test area. Combined with the observations of silver at higher temperatures, it can be inferred that the silver layer begins to migrate and coalesce at this temperature, exposing parts of the copper surface.
At 450 °C and 600 °C, high temperatures cause the severe migration and coalescence of the silver coating, which separates into discontinuous clusters attached to the copper particle surfaces. Figure 9c,d clearly show the discrete distribution of silver. Regions covered by silver exhibit a negligible presence of copper and oxygen, while areas devoid of silver undergo intense oxidation.
Figure 10 presents a statistical analysis of the elemental composition within the region shown in Figure 9. The curves represent the signal intensity of each element, while the inserted table provides the atomic percentage of each element. Consistent with the previous analysis, the oxidation of the Ag-coated Cu powder is negligible at 150 °C. Slight oxidation is observed at 300 °C, while severe oxidation occurs at temperatures exceeding 450 °C. At these elevated temperatures, the protective function of the silver layer is essentially lost.
Figure 10.
Comparison of atomic percentage of sample B3 after oxidization at different temperatures: (a) 150 °C, (b) 300 °C, (c) 450 °C, and (d) 600 °C.
3.4. Ag Content Effect
The effect of the silver content on the surface morphology of Ag-coated Cu is shown in Figure 11. All samples in this group were prepared under the combined influence of ultrasonic vibration and mechanical stirring, resulting in powders with good dispersion and no observable agglomeration or layering. Additionally, no hollow shells, surface damage, or incomplete coating of the Ag-coated Cu particles were detected. Similar to the results in Section 3.3, a small amount of satellite particles was observed on the surfaces of copper particles with different silver contents.
Figure 11.
SEM images of Ag-coated Cu powder with Ag content of (a,b) 18% (group C1), (c,d) 24% (group C2), and (e,f) 28% (group C3).
Figure 12 presents the oxidation resistance test results of the Ag-coated Cu powder with varying silver contents. The oxidation performance is generally consistent with the results discussed previously. Notably, the copper particles with a 14% silver content exhibit the same oxidation resistance pattern as those with a 28% silver content, indicating that the silver content is not the most critical factor influencing the oxidation resistance of the copper particles. Instead, the coverage and density of the silver layer are the primary factors determining oxidation resistance.
Figure 12.
Increased weight of Ag-coated Cu with time at different temperatures for samples C1–C3. (a) 150 °C, (b) 300 °C, (c) 450 °C, and (d) 600 °C.
3.5. Silver Growth Mechanism
The growth of silver on the surfaces of copper particles is essentially a reduction process. The chemical reaction system investigated in this study includes two reducing agents, potassium tartrate and copper, and one oxidizing agent, silver ions. Ideally, silver ions react exclusively with tartrate ions, resulting in silver particles that attach to the copper surface and gradually grow, while copper remains unreacted.
However, when a system contains two reducing agents, the sequence of redox reactions and the participation of each reducing agent depend on external factors. Typically, the oxidizing agent reacts preferentially with the stronger reducing agent, although side reactions are often unavoidable. Among the two reducing agents in this study, potassium tartrate has stronger reducing properties than copper [11]. Theoretically, potassium tartrate should primarily engage in redox reactions. Additionally, an excess amount of potassium tartrate was used in the experiments to minimize the involvement of copper. Nevertheless, copper participated in all reactions, as evidenced by the blue color consistently observed in the final solution.
Under the condition of mechanical stirring alone, the formation of a significant number of hollow silver shells indicates extensive participation of copper in the reduction of silver ions, which contradicts the theoretical assumptions. As shown in Figure 13, the growth of silver on copper particles at different stages and the formation of various surface morphologies are detailed.
Figure 13.
Schematical drawing illustrates the formation of (a) Ag shell, (b) rough surface, and (c) well Ag-coated Cu particles. I, II and III represent different stage of the reaction.
In the first stage, when the concentration of tartrate ions is high, the addition of the silver–ammonia solution to the potassium tartrate–copper suspension results in the reaction of silver ions with tartrate ions. The produced silver particles are adsorbed onto the copper particles, forming island-like silver nucleation points on the copper surfaces [12].
In the second stage, as the reaction progresses, the number of nucleation points increases, and the island-like silver particles grow larger.
In the third stage, the concentration of tartrate ions decreases sharply and becomes insufficient to react quickly with the newly added silver–ammonia solution. Consequently, some silver ions are captured by copper particles and react with the copper, leading to its gradual consumption. This ultimately results in the formation of hollow shell structures, as shown in Figure 14a.
Figure 14.
Ag-coated Cu particles with various morphologies. (a) Ag shell, (b) rough surface, and (c) smooth and dense surface.
For copper particles with more surface nucleation points formed in the first and second stages, their surfaces are more completely covered with silver, leaving almost no exposed copper in the solution. These particles are not consumed during the third stage. Conversely, for copper particles with an insufficient silver particle supply, the island-like structures fail to fully overlap and cover the surface, resulting in a rough surface morphology, as shown in Figure 14b. In contrast, for copper particles with a sufficient supply of silver ions, a smooth and dense silver layer forms on the surface, as shown in Figure 14c.
When ultrasonic vibration is applied, especially from the bottom of the reaction vessel, it prevents copper powder from accumulating at the bottom for prolonged periods. Under mechanical stirring alone, copper powder tends to aggregate at the bottom, hindering sufficient contact with the silver–ammonia solution introduced from the top, ultimately leading to defective Ag-coated Cu particles.
Ultrasonication improves the dispersion of copper powder in the solution and inhibits the dendritic growth of silver on the copper surface. This reduces the prominence of island-like structures and results in a smoother surface. Additionally, ultrasonication enhances silver nucleation, thereby improving surface quality.
4. Conclusions
In this study, we successfully synthesized Ag-coated Cu powder with a smooth and dense surface morphology using a relatively simple chemical reaction system. The oxidation resistance of the Ag-coated Cu powder was systematically investigated, leading to the following conclusions:
- (1)
- It is difficult to obtain Ag-coated Cu with a good surface morphology under the sole effect of mechanical stirring. Ultrasonic vibration effectively improves the surface morphology, resulting in smooth and dense silver coatings.
- (2)
- The feeding rate of the silver–ammonia solution has a certain influence on the surface morphology of the coating. An increased feeding rate reduces the oxidation resistance performance of the Ag-coated Cu.
- (3)
- Below 150 °C, the weight increment of Ag-coated Cu shows little variation over time. However, above 300 °C, the weight increment increases rapidly with prolonged time. At 600 °C, the weight increment reaches its maximum and remains unchanged over time.
- (4)
- When the silver content exceeds 14%, further increases in the silver content have minimal impact on the surface morphology and oxidation resistance.
Author Contributions
Conceptualization, X.L. and Y.Z.; methodology, X.L.; validation, S.K. and X.Z.; writing—original draft preparation, X.L.; writing—review and editing, X.L.; supervision, Y.Z.; project administration, X.L.; funding acquisition, X.L. and Y.Z. All authors have read and agreed to the published version of the manuscript.
Funding
This research was supported by the Ningbo Natural Science Foundation (2024J432). It was also supported by the High-Level Talent Funds of Ningbo University of Technology (2023KQ018; 2023KQ003).
Institutional Review Board Statement
Not applicable.
Informed Consent Statement
Not applicable.
Data Availability Statement
Data are contained within the article.
Conflicts of Interest
The authors declare no conflicts of interest.
References
- Maka, A.O.M.; Alabid, J.M. Solar energy technology and its roles in sustainable development. Clean Energy 2022, 6, 476–483. [Google Scholar] [CrossRef]
- Bouafia, A.; Laouini, S.E.; Ahmed, A.S.A.; Soldatov, A.V.; Algarni, H.; Chong, K.F.; Ali, G.A.M. The Recent Progress on Silver Nanoparticles: Synthesis and Electronic Applications. Nanomaterials 2021, 11, 2318. [Google Scholar] [CrossRef] [PubMed]
- Yu, X.; Sun, H.; Qian, Z.; Li, W.; Li, W.; Huang, F.; Li, J.; Gan, G. Effect of Silver Powder Microstructure on the Performance of Silver Powder and Front-Side Solar Silver Paste. Materials 2024, 17, 445. [Google Scholar] [CrossRef] [PubMed]
- Mousavi, Z.; Pourabdoli, M. Physical and chemical properties of Ag–Cu composite electrical contacts prepared by cold-press and sintering of silver-coated copper powder. Mater. Chem. Phys. 2022, 290, 126608. [Google Scholar] [CrossRef]
- Zhang, X.M.; Yang, X.-L.; Wang, B. Electrical properties of electrically conductive adhesives from epoxy and silver-coated copper powders after sintering and thermal aging. Int. J. Adhes. Adhes. 2021, 105, 102785. [Google Scholar] [CrossRef]
- Varol, T.; Güler, O.; Akçay, S.B.; Aksa, H.C. The effect of silver coated copper particle content on the properties of novel Cu-Ag alloys prepared by hot pressing method. Powder Technol. 2021, 384, 236–246. [Google Scholar] [CrossRef]
- Xu, X.; Luo, X.; Zhuang, H.; Li, W.; Zhang, B. Electroless silver coating on fine copper powder and its effects on oxidation resistance. Mater. Lett. 2003, 57, 3987–3991. [Google Scholar] [CrossRef]
- Hai, H.T.; Ahn, J.G.; Kim, D.J.; Lee, J.R.; Chung, H.S.; Kim, C.O. Developing process for coating copper particles with silver by electroless plating method. Surf. Coat. Technol. 2006, 201, 3788–3792. [Google Scholar] [CrossRef]
- Cao, X.G.; Zhang, H.Y. Preparation of silver-coated copper powder and its oxidation resistance research. Powder Technol. 2012, 226, 53–56. [Google Scholar] [CrossRef]
- Zhu, X.Y.; Hu, L.; Dong, M. Synthesis and Characterization of Silver-Coated Copper Powder Layer. Key Eng. Mater. 2012, 512–515, 141–146. [Google Scholar] [CrossRef]
- Kochemirovsky, V.A.; Fateev, S.A.; Logunov, L.S.; Tumkin, I.I.; Safonov, S.V. Laser-Induced Copper Deposition with Weak Reducing Agents. Int. J. Electrochem. Sci. 2014, 9, 644–658. [Google Scholar] [CrossRef]
- Kobayashi, Y.; Salgueiriño-Maceira, V.; Liz-Marzán, L.M. Deposition of Silver Nanoparticles on Silica Spheres by Pretreatment Steps in Electroless Plating. Chem. Mater. 2001, 13, 1630–1633. [Google Scholar] [CrossRef]
Disclaimer/Publisher’s Note: The statements, opinions and data contained in all publications are solely those of the individual author(s) and contributor(s) and not of MDPI and/or the editor(s). MDPI and/or the editor(s) disclaim responsibility for any injury to people or property resulting from any ideas, methods, instructions or products referred to in the content. |
© 2025 by the authors. Licensee MDPI, Basel, Switzerland. This article is an open access article distributed under the terms and conditions of the Creative Commons Attribution (CC BY) license (https://creativecommons.org/licenses/by/4.0/).













