Photocatalytic Performance of Cementitious Composites Modified with Second-Generation Nano-TiO2 Dispersions: Influence of Composition and Granulation on NOx Purification Efficiency
Abstract
1. Introduction
2. Research Framework
3. Materials and Methods
3.1. Materials
3.2. Methods
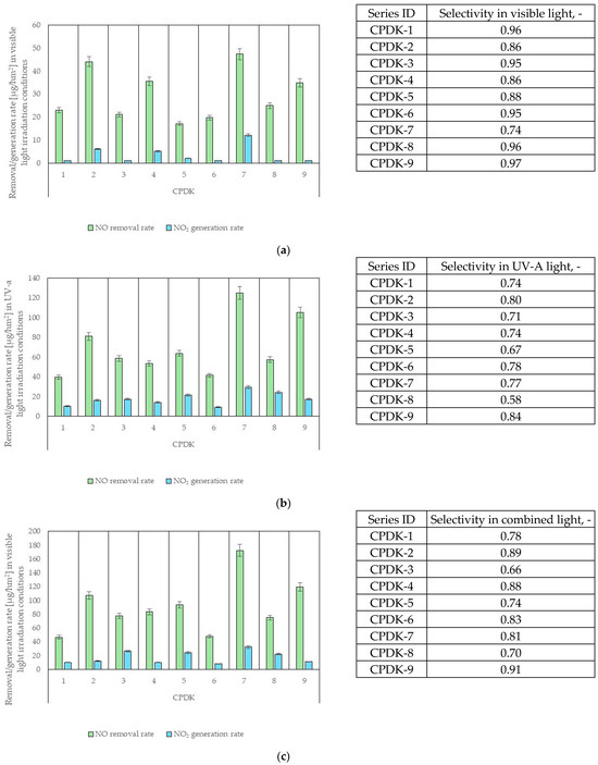
4. Results
5. Discussion
6. Conclusions
- The composition of the photocatalytic dispersion exhibited a statistically significant impact on the embedding efficiency of TiO2 grains within the cement matrix, directly affecting the composite’s photocatalytic performance;
- Modifications in photocatalytic dispersion composition that enhanced the quality of dispersion of TiO2 grains (PCE content) contributed to a reduced air purification performance of cement composites modified with said dispersions; on the other hand, modification that increased TiO2 grain diameters (SA and TiO2 content) led to enhanced air purification efficiency of developed composites;
- The increase in the content of TiO2 grains below 1 µm in diameter in prepared dispersion had a negative effect on the air purification characteristics of photocatalytic composites;
- The simulated NO2 removal rate due to the photocatalytic performance of developed composites varied depending on the composition of TiO2 dispersion included in their composition—in the most favorable analyzed scenario, the removal rate varied from 0.323 to 1.067 g NO2/m2 yearly.
- The study highlights the need for further investigation into the effects of nano-TiO2 grain morphology, dispersion chemistry, and application techniques on the overall performance and scalability of photocatalytic cement composites.
- The aspect of the influence of external environmental factors on the photocatalytic activity of cementitious photoactive surfaces and their mechanical properties is of essence to describe precisely the environmental impact of photocatalytic composites as freezing-thawing, and other environmental stressors affect both the photocatalytic performance and the structural integrity of these composites. In future research, authors aim to better understand their long-term durability and suitability for use in real-world conditions, ensuring their effective application in construction over extended periods.
Author Contributions
Funding
Institutional Review Board Statement
Informed Consent Statement
Data Availability Statement
Acknowledgments
Conflicts of Interest
References
- Si, H.; Zhou, M.; Fang, Y.; He, J.; Yang, L.; Wang, F. Photocatalytic concrete for NOx degradation: Influence factors and durability. Constr. Build. Mater. 2021, 298, 123835. [Google Scholar] [CrossRef]
- Kim, Y.J.; Choi, S.O.; Kim, M.K.; Lim, C.H.; Kim, J.S.; Chung, W.B.; Hong, S.J. A case of familial cardiac amyloidosis. Korean Circ. J. 2004, 34, 520–526. [Google Scholar] [CrossRef]
- Tavella, R.A.; Penteado, J.O.; de Lima Brum, R.; da Silva Bonifácio, A.; San Martin, M.C.; Saes-Silva, E.; da Silva Júnior, F.M.R. An exploratory study on the association between air pollution and health problems (ICD-10) with an emphasis on respiratory diseases. Atmos. Pollut. Res. 2024, 15, 102377. [Google Scholar] [CrossRef]
- Ballari, M.M.; Hunger, M.; Hüsken, G.; Brouwers, H.J.H. NOx photocatalytic degradation employing concrete pavement containing titanium dioxide. Appl. Catal. B Environ. 2010, 95, 245–254. [Google Scholar] [CrossRef]
- Kim, J.W.; Mun, J.H.; Kim, S.; Yang, K.H.; Sim, J.I.; Jung, Y.B.; Lee, D.E. Actual NOx and SOx removal rates in the atmospheric environment of concrete permeable blocks containing TiO2 powders, coconut shell powders, and zeolite beads. Constr. Build. Mater. 2023, 403, 133032. [Google Scholar] [CrossRef]
- EEA. Harm to Human Health from Air Pollution in Europe: Burden of Disease 2023. ETC HE Rep. 2023, 7, 104. [Google Scholar]
- Ballari, M.M.; Yu, Q.L.; Brouwers, H.J.H. Experimental study of the NO and NO2 degradation by photocatalytically active concrete. Catal. Today 2011, 161, 175–180. [Google Scholar] [CrossRef]
- Sapiña, M.; Jimenez-Relinque, E.; Castellote, M. Controlling the levels of airborne pollen: Can heterogeneous photocatalysis help? Environ. Sci. Technol. 2013, 47, 11711–11716. [Google Scholar] [CrossRef] [PubMed]
- Całus-Makowska, K.; Grosser, A.; Grobelak, A.; Białek, H.; Siedlecka, E. Kinetic study of the simultaneous removal of ibuprofen, carbamazepine, sulfamethoxazole, and diclofenac from water using biochar and activated carbon adsorption, and TiO2 photocatalysis. Desalination Water Treat. 2024, 320, 100817. [Google Scholar] [CrossRef]
- Jing, Y.N.; Yin, X.L.; Li, L.L. Modification strategies of TiO2-based nanocatalysts for CO2 reduction through photocatalysis: A mini review. Appl. Catal. A Gen. 2024, 691, 120054. [Google Scholar] [CrossRef]
- Choi, Y.C. Impact of TiO2 powder type on hydration and photocatalytic NOx degradation in cement paste. Results Eng. 2024, 24, 103187. [Google Scholar] [CrossRef]
- Nosek, Š.; Ducháček, T.; Magyar, P.; Procházka, J. The role of flow structures in the effective removal of NOx pollutants by a TiO2-based coating in a street canyon. J. Environ. Chem. Eng. 2023, 11, 109758. [Google Scholar] [CrossRef]
- Szołdra, P.; Frąc, M.; Pichór, W. Photocatalytic degradation of nitrogen oxides (NOx) in a continuous-flow photoreactor with aluminosilicate microspheres coated with TiO2 thin films. Chem. Eng. Process.-Process Intensif. 2024, 202, 109856. [Google Scholar] [CrossRef]
- Chilmon, K.; Kalinowski, M.; Jackiewicz-Rek, W. Effect of cement substitution with mineral fillers on NOx air-purification efficiency and photocatalytic reaction selectivity of nano-TiO2-modified cementitious composites. Materials 2024, 17, 5775. [Google Scholar] [CrossRef]
- Chen, M.; Chu, J.W. NOx photocatalytic degradation on active concrete road surface—From experiment to real-scale application. J. Clean. Prod. 2011, 19, 1266–1272. [Google Scholar] [CrossRef]
- Pedersen, D.P.; Lock, N.; Jensen, H. Removing NOx Pollution by Photocatalytic Building Materials in Real-Life: Evaluation of Existing Field Studies. J. Photocatal. 2021, 2, 84–96. [Google Scholar] [CrossRef]
- Boonen, E.; Beeldens, A. Photocatalytic roads: From lab tests to real scale applications. Eur. Transp. Res. Rev. 2013, 5, 79–89. [Google Scholar] [CrossRef]
- Boonen, E.; Beeldens, A. Recent photocatalytic applications for air purification in Belgium. Coatings 2014, 4, 553–573. [Google Scholar] [CrossRef]
- Maggos, T.; Plassais, A.; Bartzis, J.G.; Vasilakos, C.; Moussiopoulos, N.; Bonafous, L. Photocatalytic degradation of NOx in a pilot street canyon configuration using TiO2-mortar panels. Environ. Monit. Assess. 2008, 136, 35–44. [Google Scholar] [CrossRef] [PubMed]
- Guerrini, G.L. Photocatalytic performances in a city tunnel in Rome: NOx monitoring results. Constr. Build. Mater. 2012, 27, 165–175. [Google Scholar] [CrossRef]
- Ballari, M.M.; Brouwers, H.J.H. Full scale demonstration of air-purifying pavement. J. Hazard. Mater. 2013, 254, 406–414. [Google Scholar] [CrossRef] [PubMed]
- Gallus, M.; Akylas, V.; Barmpas, F.; Beeldens, A.; Boonen, E.; Boréave, A.; Kleffmann, J. Photocatalytic de-pollution in the Leopold II tunnel in Brussels: NOx abatement results. Build. Environ. 2015, 84, 125–133. [Google Scholar] [CrossRef]
- Hassan, M.; Mohammad, L.N.; Asadi, S.; Dylla, H.; Cooper III, S. Sustainable photocatalytic asphalt pavements for mitigation of nitrogen oxide and sulfur dioxide vehicle emissions. J. Mater. Civ. Eng. 2013, 25, 365–371. [Google Scholar] [CrossRef]
- Folli, A.; Strøm, M.; Madsen, T.P.; Henriksen, T.; Lang, J.; Emenius, J.; Nilsson, Å. Field study of air purifying paving elements containing TiO2. Atmos. Environ. 2015, 107, 44–51. [Google Scholar] [CrossRef]
- Tsang, C.H.A.; Li, K.; Zeng, Y.; Zhao, W.; Zhang, T.; Zhan, Y.; Huang, H. Titanium oxide-based photocatalytic materials development and their role in the air pollutants degradation: Overview and forecast. Environ. Int. 2019, 125, 200–228. [Google Scholar] [CrossRef]
- Cordero, J.M.; Hingorani, R.; Jiménez-Relinque, E.; Grande, M.; Borge, R.; Narros, A.; Castellote, M. NOx removal efficiency of urban photocatalytic pavements at pilot scale. Sci. Total Environ. 2020, 719, 137459. [Google Scholar] [CrossRef] [PubMed]
- Jiménez-Relinque, E.; Hingorani, R.; Rubiano, F.; Grande, M.; Castillo, Á.; Castellote, M. In situ evaluation of the NOx removal efficiency of photocatalytic pavements: Statistical analysis of the relevance of exposure time and environmental variables. Environ. Sci. Pollut. Res. 2019, 26, 36088–36095. [Google Scholar] [CrossRef] [PubMed]
- Yu, Q.L.; Brouwers, H.J.H. Indoor air purification using heterogeneous photocatalytic oxidation. Part I: Experimental study. Appl. Catal. B Environ. 2009, 92, 454–461. [Google Scholar] [CrossRef]
- Wang, H.; Wu, Z.; Zhao, W.; Guan, B. Photocatalytic oxidation of nitrogen oxides using TiO2 loading on woven glass fabric. Chemosphere 2007, 66, 185–190. [Google Scholar] [CrossRef]
- Kalinowski, M.; Woyciechowski, P.; Jackiewicz-Rek, W. Surface modification of photocatalytic cementitious composites with polyacrylic superabsorbent polymers (SAP). Mater. Proc. 2023, 13, 23. [Google Scholar] [CrossRef]
- Chilmon, K.; Kalinowski, M.; Jackiewicz-Rek, W. Influence of coarse aggregate exposure on air purification efficiency in photocatalytic cement composites. Buildings 2024, 14, 3639. [Google Scholar] [CrossRef]
- Fei, H.; Wu, J.; Zhang, J.; Zhao, T.; Guo, W.; Wang, X.; Liu, G. Photocatalytic performance and its internal relationship with hydration and carbonation of photocatalytic concrete: A review. J. Build. Eng. 2024, 97, 110782. [Google Scholar] [CrossRef]
- Chen, C.; Tang, B.; Cao, X.; Gu, F.; Huang, W. Enhanced photocatalytic decomposition of NO on portland cement concrete pavement using nano-TiO2 suspension. Constr. Build. Mater. 2021, 275, 122135. [Google Scholar] [CrossRef]
- Macphee, D.E.; Folli, A. Photocatalytic concretes—The interface between photocatalysis and cement chemistry. Cem. Concr. Res. 2016, 85, 48–54. [Google Scholar] [CrossRef]
- Pinho, L.; Mosquera, M.J. Photocatalytic activity of TiO2–SiO2 nanocomposites applied to buildings: Influence of particle size and loading. Appl. Catal. B Environ. 2013, 134, 205–221. [Google Scholar] [CrossRef]
- Kępniak, M. Ocena Przydatności Odpadu z Odpylania Kruszywa jako Składnika Betonu Cementowego. Ph.D. Thesis, Oficyna Wydawnicza Politechniki Warszawskiej, Warsaw, Poland, 2019. [Google Scholar]
- Kalinowski, M.; Chilmon, K.; Bogacki, J.; Woyciechowski, P. Organic and inorganic modifications to increase the efficiency in immobilization of heavy metal (Zn) in cementitious composites—The impact of cement matrix pore network characteristics. Materials 2024, 17, 5281. [Google Scholar] [CrossRef] [PubMed]
- Yang, F.; Xie, J.; Wang, W.; Wang, W.; Wang, Z. The role of nano-TiO2 on the mechanical properties and hydration behavior of C2S, C3S and C4A3S−. Constr. Build. Mater. 2023, 388, 131558. [Google Scholar] [CrossRef]
- Witkowski, H.; Jarosławski, J.; Szkop, A.; Chilmon, K.; Kalinowski, M.; Jackiewicz-Rek, W. The Potential Risk of Nanoparticulate Release from Photocatalytic Pavement Concrete Surface Due to a Simulated Abrasion Load—An Experimental Study. Materials 2024, 17, 3022. [Google Scholar] [CrossRef]
- Bianchi, C.L.; Pirola, C.; Galli, F.; Cerrato, G.; Morandi, S.; Capucci, V. Pigmentary TiO2: A challenge for its use as photocatalyst in NOx air purification. Chem. Eng. J. 2015, 261, 76–82. [Google Scholar] [CrossRef]
- Liao, G.; Yao, W. Upcycling of waste concrete powder into a functionalized host for nano-TiO2 photocatalyst: Binding mechanism and enhanced photocatalytic efficiency. J. Clean. Prod. 2022, 366, 132918. [Google Scholar] [CrossRef]
- EN 197-1:2011; Cement—Part 1: Composition, Specifications and Conformity Criteria for Common Cements. European Committee for Standardization: Brussels, Belgium, 2011.
- EN 196-1:2016; Methods of Testing Cement—Part 1: Determination of Strength. European Committee for Standardization: Brussels, Belgium, 2016.
- EN 196-3:2016; Methods of Testing Cement—Part 3: Determination of Setting Times and Soundness. European Committee for Standardization: Brussels, Belgium, 2016.
- Kalinowski, M.; Chilmon, K.; Jackiewicz-Rek, W.; Rakowski, B. The Influence of Selected Material Variables of Photocatalytic Cementitious Composites on the Self-Cleaning Properties and Air Purification Efficiency from NOx Pollutants. Sustainability 2023, 15, 853. [Google Scholar] [CrossRef]
- EN 1008:2002; Mixing Water for Concrete—Specification for Sampling, Testing and Assessing the Suitability of Water, Including Water Recovered from Processes in the Concrete Industry, as Mixing Water for Concrete. European Committee for Standardization: Brussels, Belgium, 2002.
- EN 934-2:2009+A1:2012; Admixtures for Concrete, Mortar and Grout—Part 2: Concrete Admixtures—Definitions, Requirements, Conformity, Marking and Labelling. European Committee for Standardization: Brussels, Belgium, 2012.
- Witkowski, H.; Jackiewicz-Rek, W.; Jarosławski, J.; Chilmon, K.; Szkop, A. Ozone formation during photocatalytic oxidation of nitric oxides under UV irradiation with the use of commercial TiO2 photocatalytic powders. Materials 2022, 15, 5905. [Google Scholar] [CrossRef] [PubMed]
- ISO 22197-1:2016; Fine Ceramics (Advanced Ceramics, Advanced Technical Ceramics)—Test Method for Air-Purification Performance of Semiconducting Photocatalytic Materials. International Standard Committee: Geneva, Switzerland, 2016.
- Jędrzejczak, P.; Janczarek, M.; Parus, A.; Gapiński, B.; Hotěk, P.; Fiala, L.; Klapiszewski, Ł. Carbon-modified TiO2 as a promising and efficient admixture for cementitious composites: A comprehensive study of photocatalytic, mechanical and structural properties. J. Build. Eng. 2023, 78, 107747. [Google Scholar] [CrossRef]
- Yang, Y.; Ji, T.; Su, W.; Yang, B.; Zhang, Y.; Yang, Z. Photocatalytic NOx abatement and self-cleaning performance of cementitious composites with g-C3N4 nanosheets under visible light. Constr. Build. Mater. 2019, 225, 120–131. [Google Scholar] [CrossRef]
- Xu, M.; Clack, H.; Xia, T.; Bao, Y.; Wu, K.; Shi, H.; Li, V. Effect of TiO2 and fly ash on photocatalytic NOx abatement of engineered cementitious composites. Constr. Build. Mater. 2020, 236, 117559. [Google Scholar] [CrossRef]
- Liu, D.; Zepper, J.C.; Chen, Y.; Cheng, L.; Yu, Q. Carbonation of photocatalytic aluminosilicate cement composites: Evolution of self-cleaning and radiative cooling properties. Cem. Concr. Compos. 2024, 152, 105626. [Google Scholar] [CrossRef]
- Kalinowski, M.; Chilmon, K.; Jackiewicz-Rek, W. Carbon-Negative Nano-TiO2-Modified Photocatalytic Cementitious Composites: Removal of Airborne Pollutants (NOx and O3) and Its Impact on CO2 Footprint. Coatings 2024, 14, 1607. [Google Scholar] [CrossRef]
- Li, Z.; Wang, J.; Li, Y.; Yu, X.; Han, B. Investigating size effect of anatase phase nano TiO2 on the property of cement-based composites. Mater. Res. Express 2018, 5, 085034. [Google Scholar] [CrossRef]
- Lucas, S.S.; Ferreira, V.M.; De Aguiar, J.B. Incorporation of titanium dioxide nanoparticles in mortars—Influence of microstructure in the hardened state properties and photocatalytic activity. Cem. Concr. Res. 2013, 43, 112–120. [Google Scholar] [CrossRef]
- Joshaghani, A.; Balapour, M.; Mashhadian, M.; Ozbakkaloglu, T. Effects of nano-TiO2, nano-Al2O3, and nano-Fe2O3 on rheology, mechanical and durability properties of self-consolidating concrete (SCC): An experimental study. Constr. Build. Mater. 2020, 245, 118444. [Google Scholar] [CrossRef]
- Arif, M.; Al-Hagri, M.G.; Shariq, M.; Rahman, I.; Hassan, A.; Baqi, A. Mechanical properties and microstructure of micro-and nano-additives-based modified concrete composites: A sustainable solution. J. Inst. Eng. (India) Ser. A 2020, 101, 89–104. [Google Scholar] [CrossRef]
- Liu, Y.; Guo, H.; Zhang, Z.; Zhu, Y. Hydration mechanism and photocatalytic antibacterial performance of cement-based composites modified by hydrophilic nano-TiO2 particles. Constr. Build. Mater. 2024, 419, 135538. [Google Scholar] [CrossRef]
- Hunge, Y.M.; Yadav, A.A.; Kang, S.-W.; Mohite, B.M. Role of Nanotechnology in Photocatalysis Application. Recent Pat. Nanotechnol. 2023, 17, 5–7. [Google Scholar] [CrossRef] [PubMed]
















| Dispersion ID | Nano-TiO2 Content, % m.d. | PCE Content, % m.d. | SA Content, % m.d. | Water Content, % m.d. |
|---|---|---|---|---|
| PDK–1 | 5 | 1 | 1 | 93 |
| PDK–2 | 5 | 3 | 5 | 87 |
| PDK–3 | 5 | 5 | 3 | 87 |
| PDK–4 | 10 | 1 | 5 | 84 |
| PDK–5 | 10 | 3 | 3 | 84 |
| PDK–6 | 10 | 5 | 1 | 84 |
| PDK–7 | 15 | 1 | 3 | 81 |
| PDK–8 | 15 | 3 | 1 | 81 |
| PDK–9 | 15 | 5 | 5 | 75 |
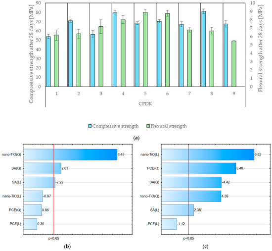
| Component | CPDK 1 | CPDK 2 | CPDK 3 | CPDK 4 | CPDK 5 | CPDK 6 | CPDK 7 | CPDK 8 | CPDK 9 |
|---|---|---|---|---|---|---|---|---|---|
| Mass, kg/m3 | |||||||||
| CEM I 42.5 R | 800 | ||||||||
| Chalcedonite powder | 200 | ||||||||
| Fine aggregate 0.1/0.5 | 1015 | ||||||||
| Silica fume | 40 | ||||||||
| Water | 40.8 | 55.2 | 55.2 | 163.2 | 163.2 | 169.2 | 199.2 | 199.2 | 204.0 |
| PDK | 240 | 240 | 240 | 120 | 120 | 120 | 80 | 80 | 80 |
| PCE | 9.6 | 4.8 | 0.0 | 10.8 | 8.4 | 6.0 | 11.2 | 9.6 | 8.0 |
| Material | Chemical Composition, % of the Mass | Specific Gravity, g/cm3 | ||||||||
|---|---|---|---|---|---|---|---|---|---|---|
| CaO | SiO2 | Al2O3 | MgO | K2O | Na2O | Fe2O3 | P2O5 | LOI | ||
| Chalcedonite powder | 0.2 | 93.9 | 2.3 | 0.2 | 0.4 | 0.4 | 1.4 | <0.1 | 1.5 | 2.63 |
| CEM I 42.5R | 61.4 | 21.7 | 5.2 | 2.6 | 0.7 | 0.2 | 2.4 | 0.2 | 2.3 | 3.09 |
| Silica fume | 0.1 | 94.6 | <0.1 | 0.8 | 1.2 | <0.1 | 0.5 | <0.1 | 2.2 | 2.20 |
| Nano-TiO2-K | Chemical Composition, % of the Mass | |||||
| TiO2 | SO3 | SiO2 | Na2O | P2O5 | Nb2O3 | |
| 99.2 | 0.399 | 0.236 | 0.096 | 0.059 | 0.023 | |
| Physical characteristics—phase content, crystallite size, and specific surface area | ||||||
| Phase | Crystallite size, nm | Specific surface area, m2/g | ||||
| Rutile | Anatase | Rutile | Anatase | |||
| - | 100 | - | 10 | 246.8 ± 2.9 | ||
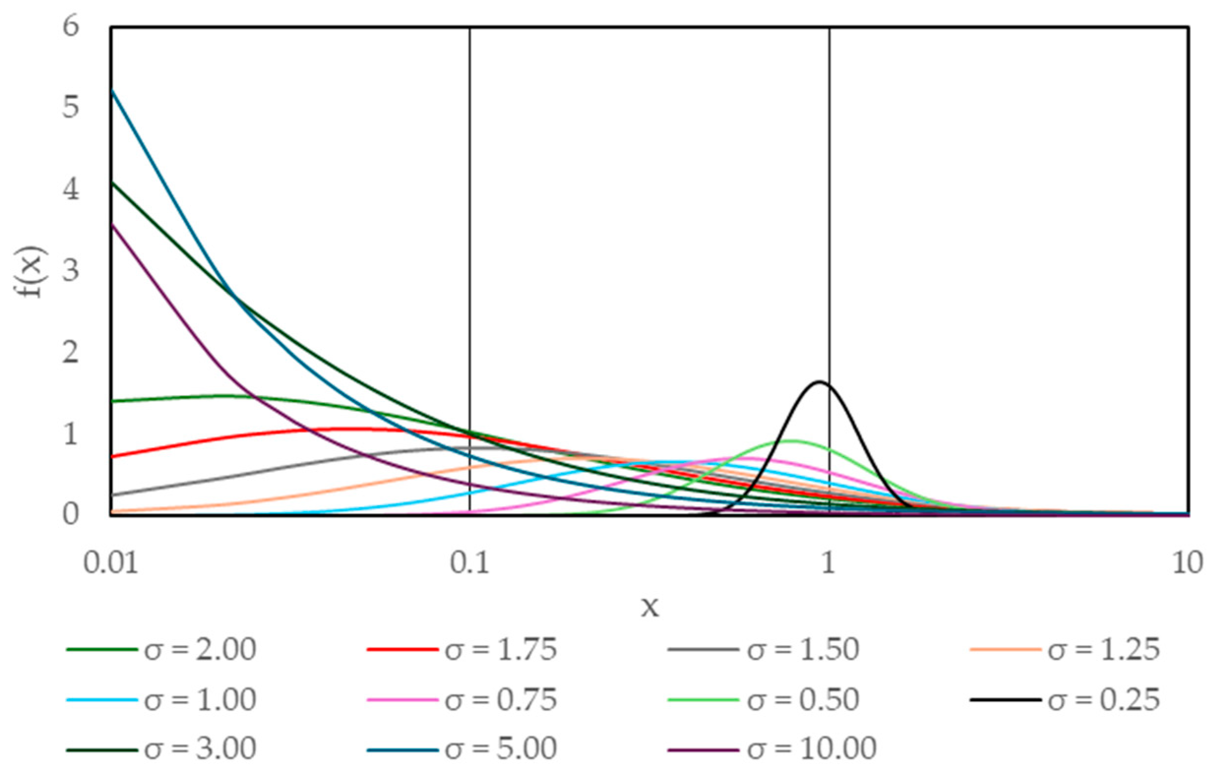
| Series ID | Input NO2 Removal Rate, mg/hm2 | Maximum Simulated Value of NO2 Removal Rate, mg/hm2 | Daylight Hours Yearly, - | σ—Values Used in the Model, - |
|---|---|---|---|---|
| CPDK-1 | 0.0716 | 0.2147 | 4380 | 0.125–10.0 |
| CPDK-2 | 0.1704 | 0.5111 | ||
| CPDK-3 | 0.0857 | 0.2570 | ||
| CPDK-4 | 0.1280 | 0.3841 | ||
| CPDK-5 | 0.1109 | 0.3326 | ||
| CPDK-6 | 0.0786 | 0.2359 | ||
| CPDK-7 | 0.2369 | 0.7106 | ||
| CPDK-8 | 0.0988 | 0.2964 | ||
| CPDK-9 | 0.1623 | 0.4869 |
| Series ID | Adopted σ—Value Depending on the Influence of Environmental Factors, - | |||
|---|---|---|---|---|
| Extremely Unfavorable | Unfavorable | Normal | Favorable | |
| 10.0 | 5.0 | 3.0 | 1.0 | |
| Yearly NO2 Removal, g/m2 | ||||
| CPDK-1 | 0.068 | 0.125 | 0.186 | 0.323 |
| CPDK-2 | 0.163 | 0.298 | 0.441 | 0.768 |
| CPDK-3 | 0.082 | 0.150 | 0.222 | 0.386 |
| CPDK-4 | 0.123 | 0.225 | 0.332 | 0.576 |
| CPDK-5 | 0.106 | 0.194 | 0.287 | 0.500 |
| CPDK-6 | 0.076 | 0.138 | 0.204 | 0.354 |
| CPDK-7 | 0.226 | 0.414 | 0.613 | 1.067 |
| CPDK-8 | 0.095 | 0.174 | 0.256 | 0.446 |
| CPDK-9 | 0.156 | 0.284 | 0.420 | 0.731 |
Disclaimer/Publisher’s Note: The statements, opinions and data contained in all publications are solely those of the individual author(s) and contributor(s) and not of MDPI and/or the editor(s). MDPI and/or the editor(s) disclaim responsibility for any injury to people or property resulting from any ideas, methods, instructions or products referred to in the content. |
© 2025 by the authors. Licensee MDPI, Basel, Switzerland. This article is an open access article distributed under the terms and conditions of the Creative Commons Attribution (CC BY) license (https://creativecommons.org/licenses/by/4.0/).
Share and Cite
Kalinowski, M.; Chilmon, K.; Jackiewicz-Rek, W. Photocatalytic Performance of Cementitious Composites Modified with Second-Generation Nano-TiO2 Dispersions: Influence of Composition and Granulation on NOx Purification Efficiency. Coatings 2025, 15, 148. https://doi.org/10.3390/coatings15020148
Kalinowski M, Chilmon K, Jackiewicz-Rek W. Photocatalytic Performance of Cementitious Composites Modified with Second-Generation Nano-TiO2 Dispersions: Influence of Composition and Granulation on NOx Purification Efficiency. Coatings. 2025; 15(2):148. https://doi.org/10.3390/coatings15020148
Chicago/Turabian StyleKalinowski, Maciej, Karol Chilmon, and Wioletta Jackiewicz-Rek. 2025. "Photocatalytic Performance of Cementitious Composites Modified with Second-Generation Nano-TiO2 Dispersions: Influence of Composition and Granulation on NOx Purification Efficiency" Coatings 15, no. 2: 148. https://doi.org/10.3390/coatings15020148
APA StyleKalinowski, M., Chilmon, K., & Jackiewicz-Rek, W. (2025). Photocatalytic Performance of Cementitious Composites Modified with Second-Generation Nano-TiO2 Dispersions: Influence of Composition and Granulation on NOx Purification Efficiency. Coatings, 15(2), 148. https://doi.org/10.3390/coatings15020148

