Numerical Simulation of Ice Crystal Accretion and Aerodynamic Impacts on Wind Turbine Blades in Cold Climates
Abstract
1. Introduction
2. Numerical Method
2.1. Simulation Process
2.2. Airflow Solution
2.3. Droplet and Crystal Field Solution
2.4. Calculation of Ice Accretion Shapes
2.5. Establishment of the Icing Model for Blades
3. Results and Discussion
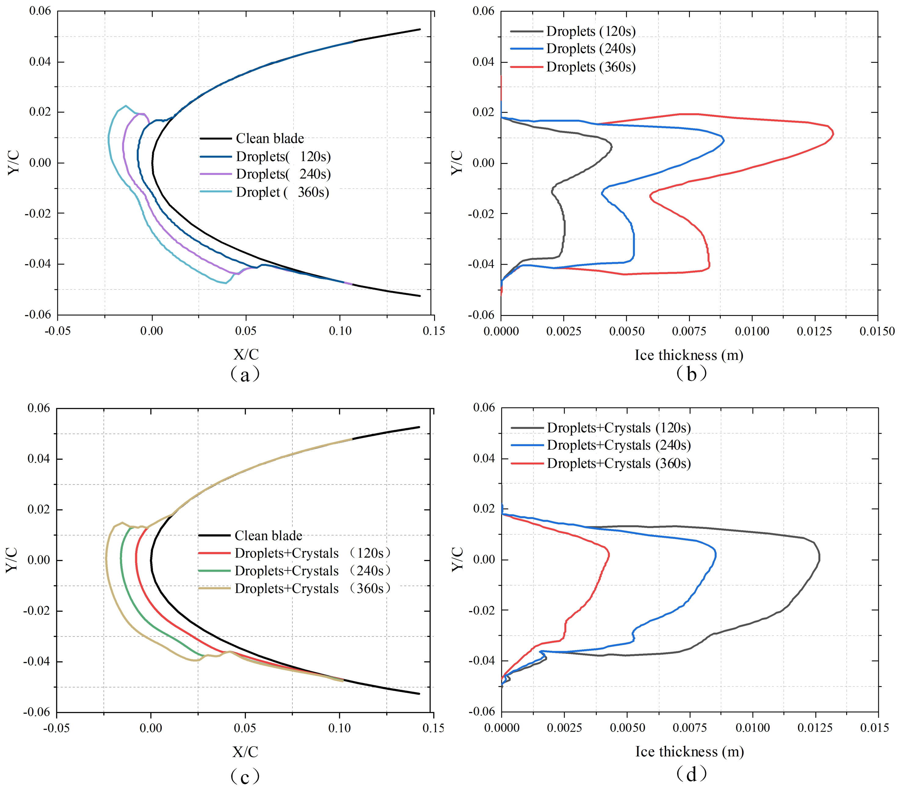
3.1. The Role of Ice Crystals in the Icing Process
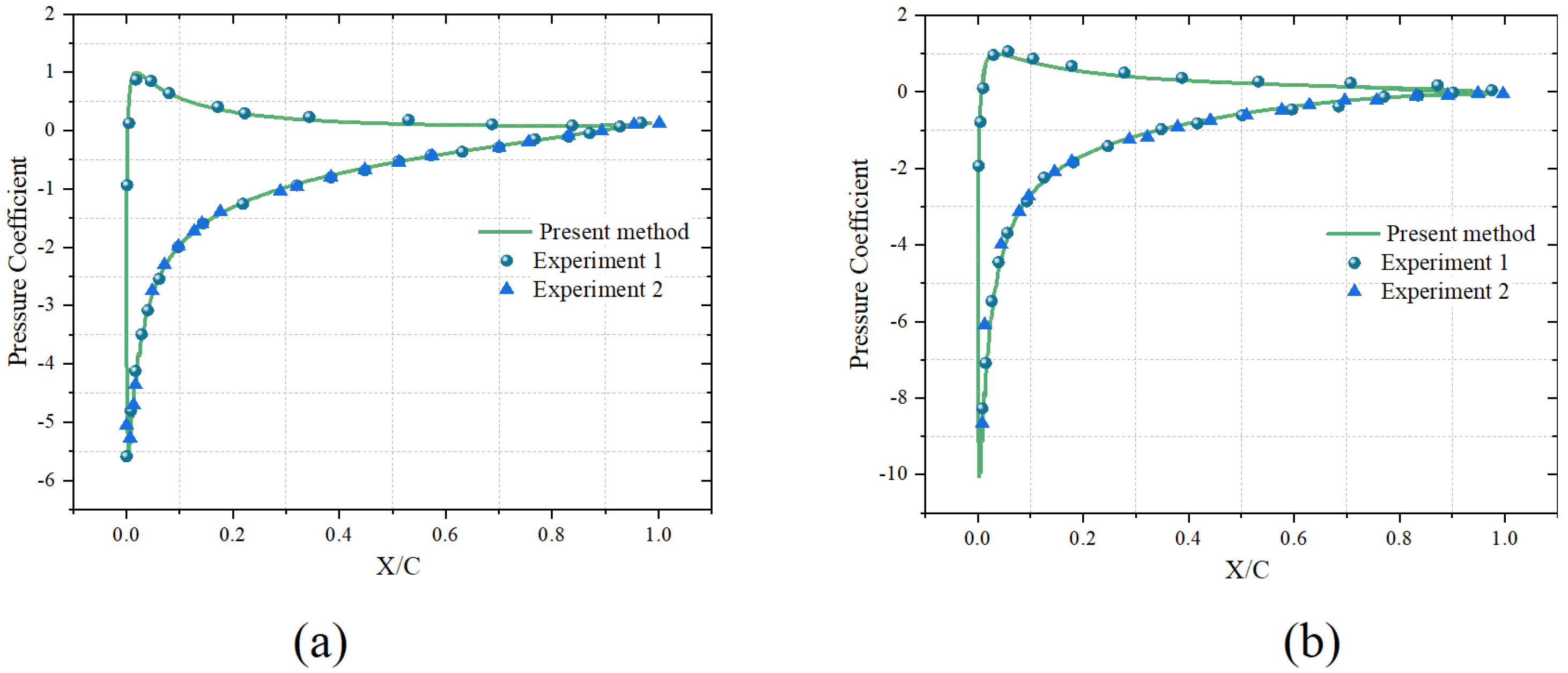
3.2. Icing on Static Blade
3.3. The Influence of MVD-Crystals
3.4. The Influence of Crystal Aspect Ratio
3.5. The Influence of Ice Crystal Concentration
3.6. Aerodynamic Analysis of Iced Blades
4. Conclusions
Author Contributions
Funding
Institutional Review Board Statement
Informed Consent Statement
Data Availability Statement
Conflicts of Interest
References
- Dai, Y.; Xie, F.; Li, B.; Wang, C.; Shi, K. Effect of blade tips ice on vibration performance of wind turbines. Energy Rep. 2023, 9, 421–433. [Google Scholar] [CrossRef]
- Douvi, E.; Douvi, D. Aerodynamic characteristics of wind turbines operating under hazardous environmental conditions: A review. Energies 2023, 16, 7681. [Google Scholar] [CrossRef]
- Ibrahim, G.M.; Pope, K.; Naterer, G.F. Extended scaling approach for droplet flow and glaze ice accretion on a rotating wind turbine blade. J. Wind Eng. Ind. Aerodyn. 2023, 233, 105296. [Google Scholar] [CrossRef]
- Wang, Q.; Yi, X.; Liu, Y.; Ren, J.; Yang, J.; Chen, N. Numerical investigation of dynamic icing of wind turbine blades under wind shear conditions. Renew. Energy 2024, 227, 120495. [Google Scholar] [CrossRef]
- Virk, M.S.; Homola, M.C.; Nicklasson, P.J.; Sundsbø, P.A. Effect of rime ice accretion on aerodynamic characteristics of wind turbine blade profiles. Wind Eng. 2010, 34, 207–218. [Google Scholar] [CrossRef]
- Pouryoussefi, S.G.; Mirzaei, M.; Nazemi, M.M. Experimental study of ice accretion effects on aerodynamic performance of NACA-23012 airfoil. Chin. J. Aeronaut. 2016, 29, 585–595. [Google Scholar] [CrossRef]
- Merizalde, Y.; Hernández-Callejo, L.; Duque-Perez, O.; Alonso-Gómez, V. Maintenance models applied to wind turbines: A comprehensive overview. Energies 2019, 12, 225. [Google Scholar] [CrossRef]
- Li, X.; Chi, H.; Li, Y.; Xu, Z.; Guo, W.; Feng, F. An experimental study on blade surface de-icing characteristics for wind turbines in rime ice condition by electro-thermal heating. Coatings 2024, 14, 94. [Google Scholar] [CrossRef]
- Manatbayev, R.; Baizhuma, Z.; Bolegenova, S.; Georgiev, A. Numerical simulations on static vertical axis wind turbine blade icing. Renew. Energy 2021, 170, 997–1007. [Google Scholar] [CrossRef]
- Rekuviene, R.; Saeidiharzand, S.; Mažeika, L.; Samaitis, V.; Jankauskas, A.; Sadaghiani, A.K.; Gharib, G.; Muganlı, Z.; Koşar, A. A review on passive and active anti-icing and de-icing technologies. Appl. Therm. Eng. 2024, 250, 123474. [Google Scholar] [CrossRef]
- He, Z.; Xie, H.; Jamil, M.I.; Li, T.; Zhang, Q. Electro-/photo-thermal promoted anti-icing materials: A new strategy combined with passive anti-icing and active de-icing. Adv. Mater. Interfaces 2022, 9, 2200275. [Google Scholar] [CrossRef]
- Homola, M.C.; Virk, M.S.; Nicklasson, P.J.; Sundsbø, P.A. Performance losses due to ice accretion for a 5 MW wind turbine. Wind Energy 2012, 15, 379–389. [Google Scholar] [CrossRef]
- Wang, Z.; Zhu, C. Numerical simulation of three-dimensional rotor icing in hovering flight. Proc. Inst. Mech. Eng. Part G J. Aerosp. Eng. 2018, 232, 545–555. [Google Scholar] [CrossRef]
- Timmer, W.A.; van Rooij, R.P.J.O.M. Summary of the Delft University wind turbine dedicated airfoils. J. Sol. Energy Eng. 2003, 125, 488–496. [Google Scholar] [CrossRef]
- Yirtici, O.; Cengiz, K.; Ozgen, S.; Tuncer, I.H. Aerodynamic validation studies on the performance analysis of iced wind turbine blades. Comput. Fluids 2019, 192, 104271. [Google Scholar] [CrossRef]
- Gao, L.; Liu, Y.; Zhou, W.; Hu, H. An experimental study on the aerodynamic performance degradation of a wind turbine blade model induced by ice accretion process. Renew. Energy 2018, 133, 663–675. [Google Scholar] [CrossRef]
- Guan, X.; Li, M.; Wu, W.; Xie, Y.; Sun, Y. Research on formation mechanism and output effect of wind turbine ice-covered blades. Wind Eng. 2024, 48, 345–358. [Google Scholar] [CrossRef]
- Sokolov, P.; Jin, J.Y.; Virk, M.S. Accreted ice mass ratio (k-factor) for rotating wind turbine blade profile and circular cylinder. Wind Energy 2019, 22, 447–457. [Google Scholar] [CrossRef]
- Wang, C.; Lin, W.; Lin, X.; Wu, T.; Meng, Z.; Cai, A.; Xu, Z.; Li, Y.; Feng, F. The Influence of Angle of Attack on the Icing Distribution Characteristics of DU97 Blade Airfoil Surface for Wind Turbines. Coatings 2024, 14, 160. [Google Scholar] [CrossRef]
- Liang, D.; Zhao, P.; Shen, H.; Yang, S.; Chi, H.; Li, Y.; Feng, F. An Experimental Study of Surface Icing Characteristics on Blade Airfoil for Offshore Wind Turbines: Effects of Chord Length and Angle of Attack. Coatings 2024, 14, 623. [Google Scholar] [CrossRef]
- Han, Y.; Lei, Z.; Dong, Y.; Wang, Q.; Li, H.; Feng, F. The Icing Characteristics of a 1.5 MW Wind Turbine Blade and Its Influence on the Blade Mechanical Properties. Coatings 2024, 14, 242. [Google Scholar] [CrossRef]
- Hu, Y.; Pan, J.; Liu, Y.; Zhang, C.; Jiang, Y.; Zhu, J. Research on icing model and calculation methods. Phys. Fluids 2024, 36, 093334. [Google Scholar] [CrossRef]
- Xu, Z.; Zhang, T.; Li, X.; Li, Y. Effects of ambient temperature and wind speed on icing characteristics and anti-icing energy demand of a blade airfoil for wind turbine. Renew. Energy 2023, 217, 119135. [Google Scholar] [CrossRef]
- Chen, J.; Zhang, Y.; Fu, S. Roughness implementation and convective heat transfer coefficient computation toward ice accretion simulation. Phys. Fluids 2023, 35, 114102. [Google Scholar] [CrossRef]
- ANSYS Inc. ANSYS FENSAP-ICE User Manual; ANSYS Inc.: Canonsburg, PA, USA, 2017. [Google Scholar]
- Shukla, V.; Kaviti, A.K. Performance evaluation of profile modifications on straight-bladed vertical axis wind turbine by energy and Spalart Allmaras models. Energy 2017, 126, 766–795. [Google Scholar] [CrossRef]
- Trontin, P.; Blanchard, G.; Villedieu, P. A Comprehensive numerical model for mixed-phase and glaciated icing conditions. In Proceedings of the 8th AIAA Atmospheric and Space Environments Conference, Washington, DC, USA, 13–17 June 2016; Paper No. 3742; AIAA: Reston, VA, USA, 2016. [Google Scholar]
- Gregory, N.; O’Reilly, C.L. Low-speed aerodynamic characteristics of NACA 0012 aerofoil section, including the effects of upper-surface roughness simulating hoar frost. Aeronaut. Res. Counc. Rep. Mem. 1970, 3726, 1–33. [Google Scholar]
- Zhong, Y.; Lin, H.; Jin, Z.; Yang, Z. The impact, freezing, and melting processes of a supercooled water droplet onto a cold slippery liquid-infused porous surface. Int. J. Heat Mass Transf. 2024, 224, 125306. [Google Scholar] [CrossRef]
- Yang, X.; Wang, K.; Liu, J.; Kang, P.; Liu, X. Experimental study on freezing characteristics of droplet impact on cold cylindrical surfaces. Int. Commun. Heat Mass Transf. 2024, 157, 107769. [Google Scholar] [CrossRef]
- Meng, Z.; Zhang, P. Dynamic propagation of ice-water phase front in a supercooled water droplet. Int. J. Heat Mass Transf. 2020, 152, 119468. [Google Scholar] [CrossRef]
- Akhtar, S.; Xu, M.; Mohit, M. A comprehensive review of modeling water solidification for droplet freezing applications. Renew. Sustain. Energy Rev. 2023, 188, 113768. [Google Scholar] [CrossRef]
- Fortin, G.; Ilinca, A.; Laforte, J.L. Prediction of 2D airfoil ice accretion by bisection method and by rivulets and beads modeling. In Proceedings of the 41st Aerospace Sciences Meeting and Exhibit, Reno, NV, USA, 6–9 January 2003. Paper No. 1076. [Google Scholar]














| Description | Values |
|---|---|
| Airfoil | NACA0012 |
| Chord length (m) | 0.5334 |
| Relative velocity (m/s) | 43.8 |
| Ambient temperature (°C) | 15 |
| Ambient pressure (pa) | 101325 |
| AoA (deg) | 10°, 15° |
| Parameter | Rime | Glaze |
|---|---|---|
| Relative velocity (m/s) | 67.06 | 67.06 |
| Ambient temperature (°C) | −7.8 | −19.4 |
| Ambient pressure (pa) | 101,325 | 101,325 |
| Angle of attack (deg) | 4 | 4 |
| MVD-droplets (m) | 20 | 20 |
| LWC (g/m3) | 1 | 1 |
| MVD-crystals (m) | 100 | 100 |
| ICC (g/m3) | 1 | 1 |
| Icing time (s) | 360 | 360 |
| Parameter | Value |
|---|---|
| Relative velocity (m/s) | 67.06 |
| Ambient temperature (°C) | |
| Ambient pressure (Pa) | 101,325 |
| AoA (deg) | 4 |
| MVD-droplets (m) | 20 |
| LWC (g/m3) | 1 |
| MVD-crystals (m) | 100 |
| ICC (g/m3) | 0.5 |
| Icing time (s) | 360 |
| Parameters | Values |
|---|---|
| Relative velocity (m/s) | 67.06 |
| Ambient temperature (°C) | −7.8 |
| Ambient pressure (Pa) | 101,325 |
| AoA (deg) | 5°, 10°, 15°, 20° |
| MVD-droplets (m) | 20 |
| LWC (g/m3) | 0.5 |
| MVD-crystals (m) | 100 |
| ICC (g/m3) | 0.5 |
| Icing time (s) | 600 |
Disclaimer/Publisher’s Note: The statements, opinions and data contained in all publications are solely those of the individual author(s) and contributor(s) and not of MDPI and/or the editor(s). MDPI and/or the editor(s) disclaim responsibility for any injury to people or property resulting from any ideas, methods, instructions or products referred to in the content. |
© 2025 by the authors. Licensee MDPI, Basel, Switzerland. This article is an open access article distributed under the terms and conditions of the Creative Commons Attribution (CC BY) license (https://creativecommons.org/licenses/by/4.0/).
Share and Cite
Yang, B.; Jin, A.; Cheng, J.; Zhou, S.; Jiang, B. Numerical Simulation of Ice Crystal Accretion and Aerodynamic Impacts on Wind Turbine Blades in Cold Climates. Coatings 2025, 15, 126. https://doi.org/10.3390/coatings15020126
Yang B, Jin A, Cheng J, Zhou S, Jiang B. Numerical Simulation of Ice Crystal Accretion and Aerodynamic Impacts on Wind Turbine Blades in Cold Climates. Coatings. 2025; 15(2):126. https://doi.org/10.3390/coatings15020126
Chicago/Turabian StyleYang, Bo, Afang Jin, Jing Cheng, Shuhao Zhou, and Bang Jiang. 2025. "Numerical Simulation of Ice Crystal Accretion and Aerodynamic Impacts on Wind Turbine Blades in Cold Climates" Coatings 15, no. 2: 126. https://doi.org/10.3390/coatings15020126
APA StyleYang, B., Jin, A., Cheng, J., Zhou, S., & Jiang, B. (2025). Numerical Simulation of Ice Crystal Accretion and Aerodynamic Impacts on Wind Turbine Blades in Cold Climates. Coatings, 15(2), 126. https://doi.org/10.3390/coatings15020126

