Next Article in Journal
Protective Magnetron Sputtering Physical Vapor Deposition Coatings for Space Application
Previous Article in Journal
Polymer Capacitor Films with Nanoscale Coatings for Dielectric Energy Storage: A Review
Previous Article in Special Issue
Design of Debondable PU Coating for Degradation on Demand
 
 
Font Type:
Arial Georgia Verdana
Font Size:
Aa Aa Aa
Line Spacing:
Column Width:
Background:
Article

Comparative Analysis of Dielectric Behavior under Temperature and UV Radiation Exposure of Insulating Paints for Electrical Equipment Protection—The Necessity of a New Standard?

by
Alina Ruxandra Caramitu
1,
Magdalena Valentina Lungu
1,
Romeo Cristian Ciobanu
2,*,
Mihaela Aradoaei
2,
Eduard-Marius Lungulescu
1 and
Virgil Marinescu
1
1
National Institute for Research and Development in Electrical Engineering (ICPE–CA), 030138 Bucharest, Romania
2
Department of Electrical Measurements and Materials, Gheorghe Asachi Technical University, 700050 Iasi, Romania
*
Author to whom correspondence should be addressed.
Coatings 2024, 14(9), 1194; https://doi.org/10.3390/coatings14091194
Submission received: 16 July 2024 / Revised: 6 September 2024 / Accepted: 14 September 2024 / Published: 16 September 2024
(This article belongs to the Special Issue Surface Modification and Coating Techniques for Polymers)

Abstract

This paper describes the behavior of some epoxy, acrylic and polyurethane paints used in the protection of electrical equipment under the action of different degradation factors. The degradation factors chosen were temperature and UV radiation. The behavior of the paints under the action of these factors was interpreted by the variation of the tangent of the dielectric loss angle (tg Delta) as well as by FTIR and TG DSC analyses. Tg Delta was considered the reference dielectric characteristic because it best simulates the functionality of the material. The results presented in this paper lead to the conclusion that exposure to thermal cycles and UV radiation is necessary for each paint to give indications about their possibility of use in these conditions. At the same time, the evaluation of thermal stability, even if the exposure is at lower temperatures (than those at which we performed the tests) and/or for shorter periods, is very important for placing the paint in an insulation class. The tests that were the subject of this work provide us with the following information about the three types of paints analyzed: the highest resistance to thermal cycles is presented by S3, followed by S2 and then S1; thermal endurance tests place the polyurethane paint (S3) in insulation class E and the epoxy paint (S1) in insulation class B; and the tests to determine resistance to UV radiation qualify the best paint as acrylic (S2) and the worst as polyurethane (S3). Thus, it can be said that in applications where it is necessary for the protective film to withstand high temperatures, the use of S3 paint (polyurethane) is recommended, and in applications where the films are kept under the influence of UV radiation for a longer time, it is recommended to use coded paint S2 (acrylic). The results presented in this paper lead to the conclusion that the exposure to thermal cycles simulating the use in outdoor conditions and the resilience of paints under UV radiation conditions must be performed for each paint according to its specific use, and the dielectric characteristics must be carefully evaluated because they can reach values under the accepted limit—e.g., thermal stability evaluation—even if the exposure is at lower temperatures and/or for shorter periods. The conclusions of the experimental work must be generalized at different types of electrical insulating paints, and maybe a new standard is necessary to assess the paints’ behavior under usage conditions, with the paints needing to be treated separately from the classical polymeric insulation systems.

1. Introduction

Electrical insulating paints are designed to increase the insulation and dielectric features of the material to which they are applied. Insulating paints for electrical equipment protection are ideal for insulating electrical components and equipment, cables and surfaces from possible electricity dispersion; these paints help prevent short circuits, discharges and other risks associated with the flow of current. In addition, they must reduce or even eliminate the phenomena of leakage current and arcing, thus reducing the risk of electrification and electrocution. On the other hand, they must provide excellent corrosion protection, a good abrasion resistance and high electrical resistance [1,2].
The components of electro-insulating paints are chosen in such a way as to give them resistance to the passage of electric current. Of these, the most used are synthetic resins, and of these, the most used in most fields of activity are epoxy, acrylic and polyurethane resins; in exceptional cases, for high temperatures of use, silicone resins are used. The binders used for paints give mechanical strength and flexibility and are pigments (e.g., titanium dioxide, zinc oxide, kaolin, etc.); inorganic powders that increase the insulating properties of the paint; solvents that adjust the viscosity of the paint; and other additives that improve resistance to UV radiation, corrosion, high temperatures, fungi, etc.
The key element to ensure good electrical insulation is a high concentration of pigments, which can reach up to 50% of the composition; some examples may be found in [3,4,5,6].
The main areas where these products are used are insulation of electrical cables and junctions (power cables, windings of motors and transformers, etc.)—mainly epoxy-based paints; insulation of electronic components (keyboards, circuit boards and other electrical and electronic components)—mainly polyurethane insulating paints, due to their flexibility; insulation of metal supports (electrical panels, shelves, brackets and other metal supports)—basically polyurethane, eventually acryl-polyurethane insulating paints; insulating paint coating of floors and walls in special buildings/rooms (power plants, cabins, laboratories, etc.)—acrylic insulating paints preferred for their fast drying and good environmental resistance; and maintenance and insulation equipment up to 1000 V (transformers, switches, etc.)—mainly polyurethane-based paints and in exceptional cases silicon-based paints [1,7].
Some relevant properties of electrical insulating paints are summarized as follows: high electrical resistivity—an indicative value is 1015 ohm cm; dielectric strength—an indicative value of breakdown field is 90–100 kV/mm; thermal resistance—maintain insulating properties even at high temperatures, up to 120 °C (only in exceptional cases 155 °C) continuously and over 140 °C (only in exceptional cases 200 °C) for peaks; and environmental resistance—not significantly affected by humidity, UV rays, chemicals, etc. [7]. Such characteristics are compulsory and are generally assured by all producers of electrical insulating paints, but they result as indirect intrinsic properties of such paints, not as a main purpose. When speaking about electrical characterization of electrical insulating paint layers, we are indicated to consult the “Electrical Insulating Material Standards”, as in [8], but no standard on that list explicitly refers to paints, and practically none can be fairly adapted to test the electrical insulation paint layers.
Under the circumstances, the main issue is related to the fact that the decisions about the tests for thermal resistance and environmental resistance at UV rays are at the discretion of producers, so the tests are not related to the electrical functionality of paints but mainly to their mechanical/physical characteristics, which is obviously relevant for building application purposes but not so relevant for the exploitation of electrical equipment; this represents a clear drawback of actual technical practice. Consequently, a new approach concerning the real evaluation of dielectric features under thermal and UV exposure of insulating paints for electrical equipment protection is needed under the circumstances that research in this direction is lacking at this moment.
The novelty of the presented research consists of the evaluation of the degradation of some acrylic, epoxy and polyurethane paints under the action of different factors of exposure (temperature and UV radiation) by analyzing the behavior of the tangent of the dielectric loss angle (tg Delta). At the same time, the lifetimes of epoxy and polyurethane paints, which are classified in insulation class E and B, respectively, were estimated. The variation of the dielectric characteristics, including their increase, can explain—even if the exposure conditions are not critical—the aging phenomena of paints. The results obtained from this study can be useful to manufacturers of electrical and electronic systems that use these types of paints. This study may explain why the phenomena of leakage current and arcing are enhanced—even if the exposure conditions are not critical—explained by the aging phenomena of paints from the dielectric point of view, with all derived conclusions having potential application in improving the electric and electronic technology.

2. Materials and Methods

2.1. Electrical Insulating Paints

Due to the fact that silicon paints are used only in exceptional cases and present a very high endurance and reliability, they were not considered in our study, because they are in another insulating class of paints, F, compared to the usual ones, which are at maximum E class [9]. The analyzed electrical insulating paints are as follows:
S1—Epoxy paint—Sigmacover 456 (manufacturer PPG Industries, Pittsburgh, PA, USA) [10].
S2—Acrylic–polyurethane paint—Hardtop AS (manufacturer Patterson Protective Coatings Ltd., Belfast, UK) [11].
S3—Polyurethane paint—SigmaDur 550 H (manufacturer PPG Industries, USA) [12].
For each paint type, the product technical fiche is presented within the mentioned literature. Films with an average thickness of 100 μm were deposited on copper plates to simulate the most sensitive case of electrical insulation paints applications, i.e., insulation of electrical power cables, windings and junctions of motors and transformers.
The main characteristics of the paints coded with S1–S3 are presented in Table 1.

2.2. Testing Equipment and Methods

The determination of the thickness of the paint layers (average of 3 measurements) was made with the PosiTector® 200 tester (DeFelsko Corporation, Ogdensburg, NY, USA).
The X-ray diffraction analysis was performed by use of an X-ray diffractometer type D8 Advance (Bruker, Billerca, MA, USA) with the following features: X-ray tube with Cu anode, Ni Kβ filter; step 0.04°, measurement time 2 sec/step; measuring range: 2θ = 2°–60°.
The IR spectra of the analyzed samples (S1–S3, aged and unaged) were recorded with a Jasco 4200 spectrometer coupled with an accessory—ATR (Attenuated Total Reflectance) Jasco Pro 470-H (Jasco Inc., Tokyo, Japan). The samples were measured at room temperature by placing them on the crystal of the ATR device and pressing with a controlled force, and the conditions for recording the spectra were as follows: spectral range: 4000–400 cm−1, resolution: 4 cm−1, number of scans/spectrum: 200 accumulations.
The TG-DSC analysis was conducted using an STA 40 PC/PG thermal analysis device (Netzsch, Waldkraiburg, Germany). The thermal analysis determinations were conducted under the following conditions: temperature range from 20 °C to 600 °C, heating speed of 10 K/min, Pt-Rh crucibles and a static air atmosphere. The samples subjected to this analysis were exposed to ultraviolet (UV) light for 0, 20, 68 and 92 h.
The dielectric properties were determined using the broadband dielectric spectroscopy method with a Solartron 1260 A dielectric spectrometer (Solartron Analytical, Farnborough, UK). These dielectric tests were conducted on both the initial samples and after exposure to UV radiation as well as after the thermal cycling.
The UV irradiation was made by use of XENOTEST® 220/440 equipment (Atlas Material Testing Technology LCC, Mt Prospect, IL, USA). The tests were performed according to ASTM D2565-16 [13] for outdoor exploitation conditions, with a dose of 60 W/m2 for 20 h, 68 h and 92 h.
The thermal cycling tests were performed within a climatic chamber Vötsch—Climatic Test Cabinet Model VC 4018 (KOMEG, Dongguan, China), with cycles specific for outdoor exploitation conditions. The graph with the time periods corresponding to the temperature variations is presented in Figure 1. Thermal cycling took 90 min in all, structured as follows: increasing the temperature for 25 min from −40 °C to 80 °C, maintaining it at 80 °C for 10 min then decreasing the temperature to −40 °C for 40 min, after which the temperature was finally maintained at −40 °C for another 10 min. The conditions are complying with IEC 60034-1 [14] for a generic B class insulation material.

3. Results and Discussion

3.1. X-ray Diffraction Analysis

The diffractograms for S1–S3 are presented in Figure 2, Figure 3 and Figure 4. The results align with the findings in reference [15], indicating that synthetic organic pigments produced faint diffraction patterns and could not be definitively identified. On the other hand, most of the inorganic ingredients produced satisfactory diffraction patterns, despite being difficult to definitively identify because of their minimal presence in the paints. However, it can be determined that paint S3 had the most inorganic pigments and additives, and an initial assessment of the paint’s crystallinity degree is shown in Table 2, where S3 also had the highest degree of crystallinity.

3.2. FTIR Analysis

It is known that the aging of organic materials is characterized by the chemical transformations they undergo during thermal and UV exposure. The oxidative stress can induce the formation of oxidized groups on the polymer chain, such as carbonyl (C=O), hydroxyl (O–H) or carboxyl (COOH) [16]. These chemical changes are reflected in the infrared spectra, which were performed for analyzing the thermal stress (thermal cycling treatment), which is profound compared to UV exposure, which is more superficial. However, as agreed by almost all researchers, predicting patterns of thermal and photodegradation is still a difficult task.
Figure 5 displays the ATR/FTIR spectra of unaged and aged S1 samples, composed of epoxy resin and polyamide hardener. The spectra exhibit characteristic peaks associated with epoxy materials [17]. A broad band centered around 3300 cm−1 indicates O–H stretching, while aromatic C–H stretching is observed at approximately 3030 cm−1. Aliphatic C–H stretching is evident in the multiple peaks between 2830 and 2980 cm−1. The region between 1500 and 1600 cm−1 shows bands attributed to C=C stretching of the benzene ring, varying in intensity. Additionally, peaks at approximately 1244 cm−1, 1027 cm−1 and 829 cm−1 correspond to aryl ether C–O stretching, aliphatic C–O stretching and in-plane bending of adjacent hydrogen atoms on a disubstituted aromatic ring, respectively [18].
Exposure to heat treatments appears to have minimal impact on the overall chemical structure of sample S1′s epoxy material. Nevertheless, several spectral alterations are observed. A notable increase in band intensity around 1647 cm−1 (Figure 5-inset) suggests the potential formation of carboxyl groups (C=O stretching). Additionally, subtle decreases in band intensities associated with aryl ether C–O bonds (1244 cm−1) and aromatic C=C stretching (1500–1600 cm−1) are evident. A slight intensification of the O–H stretching band near 3400 cm−1 is also observed. Thermo-oxidation processes might involve chain scission, backbone modifications and/or crosslinking. The process is complex and presumes oxygen diffusion and consumption, in our case related to C=O stretching. A radical chain mechanism initiated by hydroperoxide decomposition might also occur. The process seems to obey the Arrhenius law, with activation energies around 60–80 kJ/mol [19,20].
The spectra of S2 (Figure 6) exhibit characteristic peaks associated with both polyurethane and acrylic components. Polyurethane-related bands [21,22] include those at 3506 cm−1 (O–H stretch), 3374 cm−1 (N–H stretch), 2860 and 2930 cm−1 (C–H stretches), 1240 cm−1 (overlapping O=C–O–C and C–O stretches), 1160 cm−1 (asymmetric C–N–C stretch), 868 cm−1 (symmetric C–N–C stretch) and 760 cm−1 (C–N). Acrylic components [23] are indicated by peaks at 1682 and 1725 cm−1 (C=O stretches), 1455 cm−1 (CH2 deformation), 1425 cm−1 (OH deformation) and 1375 cm−1 (C(CH3) deformation). Insights on the degradation of acrylic polymers are briefly described in [24]. Thermal degradation leads to depolymerization and scissions or cyclization of the side groups, as described in [25] too. The identified modifications noticed in Figure 5 sustain such a hypothesis.
Figure 7 shows the ATR/FTIR spectrum of sample S3, the polyurethane-based sample as in [17,20]. The recorded spectrum is largely similar to sample S2, the difference being the enhancement of bands induced by the C–N component at approx. 868 cm−1, 760 cm−1 and 700 cm−1 and by the C=O at approx. 1725 cm−1. According to [26], the aging of polyurethane follows a two-stage degradation process: the first stage is due to the thermolysis of urethane linkages, and the second stage is due to the decomposition of the macrodiol component. Therefore, for understanding thermo-oxidative degradation, more attention should be paid to the macrodiol component [27]—i.e., to the evolution of carbonyl groups [28]—which is clearly visible in our case too.
Samples S2 and S3 exhibited no discernible IR spectral changes following thermal cycling. This could be attributed to either the samples’ exceptional resistance to the treatment or the FTIR technique’s limitations in detecting alterations, possibly masked by overlapping polyurethane resin bands.

3.3. Thermal Analysis

The impact of UV exposure was assessed through thermal analysis on samples that were both unaged and aged under UV radiation, following up to 92 h of exposure [29,30,31].
The curves for S1–S3, initial and UV-irradiated after 92 h, are comparatively presented in Figure 8, Figure 9 and Figure 10.
The thermograms shown in Figure 8 demonstrate that, while exposed to UV light, two consecutive endothermic reactions take place, leading to the creation of volatile compounds. This is followed by a more complex process, which includes at least three basic processes: thermal oxidation (exothermic) and decomposition/formation of volatile products (endothermic). For the unaged S1 sample, a decomposition process can be observed presenting a maximum (on DTG curve) at 425.5 °C, as seen in Figure 8. For the S1 sample UV-irradiated for 92 h, a complex process was highlighted by a maximum at 363.8 °C and 430.9 °C. At the temperatures of 483.3 °C and 488.1 °C, the oxidation of the products resulting from the decomposition processes can be observed. It is evident that the process of creation of volatile substances vanishes after 92 h of UV radiation exposure. This suggests that certain volatile elements were already removed when exposed to UV light. The total mass loss for both samples is comparable, approx. 35% of the initial mass.
A similar destructive effect was noticed in [19], related to photo-oxidation under high-intensity light sources of epoxy chains, with chain scission, backbone modifications and/or crosslinking phenomena.
Material S2, depicted in Figure 9, demonstrates a different kind of behavior. For the S2 samples, an initial decomposition process is observed, followed by the oxidation of the products resulting from the decomposition, at temperatures above 400 °C. The thermograms show that, while undergoing continuous UV exposure, four distinct processes can be identified sequentially. An initial endothermic decomposition process produces volatile products, and the characteristic temperature rises after the UV exposure. In the second process, the initial sample exhibits exothermic behavior, while the samples exposed to UV show endothermic behavior, indicating that during the initial S2 sample, the resin undergoes an exothermic process of stabilizing, possibly completing polymerization and structuring. As no significant change in sample mass is observed, the likelihood of a thermal oxidation process producing solid peroxides is decreased. An endothermic reaction occurs in S2 samples when exposed to UV, indicating that resin polymerization reactions are completed in the initial UV irradiation stage before transitioning to resin crosslinking. This explanation is further backed by the temperature change DTG characteristics at Tmin. The first oxidation process forms volatile products and shows a trend of the characteristic temperature DTG decreasing with UV irradiation exposure, suggesting decreased material stability after UV exposure. Finally, a second exothermic oxidation process occurs, resulting in volatile product formation, leading to significant mass losses (Δm > 23.7%). The total mass loss for both S2 samples is also comparable, approx. 60% of the initial weight.
As briefly described in [24], the UV light has enough energy to break covalent bonds with energies between 300 and 500 kJ/mol (e.g., C–C and C–O bonds). However, degradation of acrylic polymers by depolymerization is not significant at ambient temperatures [32,33]. In [34], the impact of aging under UV radiation on acrylic–polyurethane coatings was examined, supporting the idea of a significant photo-oxidation process, despite primarily conducting mechanical tests to evaluate the outcomes.
The third thermal type pertains to S3 materials shown in Figure 10, starting with an initial series of complex decomposition processes (with picks at 248 °C and 278.9 °C), followed by another complex series of oxidation processes of the decomposition products. The initial step involves an endothermic decomposition process resulting in volatile compounds being formed (Δm—around 3%), where the DTG-Tmin rises after UV irradiation, indicating a potential crosslinking of the structure and an accompanying rise in material crystallinity. Another intricate process comprises a minimum of three elemental endothermic and exothermic reactions occurring simultaneously, leading to a significant mass loss of samples (Δm > 41.8%). The reduction in the characteristic temperature of the initial thermo-oxidation process (exotherm) DTG-Tmin suggests a decline in oxidative stability under UV exposure. The total mass loss of the unaged S3 sample was 40.65%, and for the aged S3 it was 45.86%.
UV light exposure to polyurethane triggers oxidation reactions in the polymer’s backbone, leading to changes in its physical and chemical properties, as observed in references [35,36], despite the focus being on physical–mechanical tests.
After analyzing all results, it became clear that most non-isothermal parameters of the processes governing the behavior of the materials studied undergo alterations in their thermochemical stability following irradiation. Hence, the degradation processes are more complex for S2, where two polymeric matrices are combined, followed by S1.

3.4. Dielectric Tests on Insulating Paints under Thermal Cycling Exposure

The use of the tg Delta method to assess the aging phenomena of electrical insulation is not a common practice, even if it represents an important parameter to assess the insulation quality, mainly for cable applications and stator windings of electrical machines. Some of the literature mentions variations of this parameter in relation mainly to thermal exposure, but the aging models derived from those studies do not consider tg Delta as a relevant parameter, and the explanation is based exactly on the dielectric functionality in those cases, mainly related to transformers, capacitors or cables, which is essentially different than comparing to paint coatings.
Tg Delta basically indicates the level of resistance in the insulation, and its higher values may indicate increased energy loss and reduced efficiency in electrical systems. Due to the fact that the thermal exposure produces modification in the entire mass of paint samples, dielectric loss factor—tg Delta—was analyzed in an innovative way in relation with the aging conditions. Specifically, when it comes to protective paints for electrical equipment, the rise in tg Delta is a significant factor linked to the potential risk of discharges and current flow, similar to findings mentioned in [37,38].
For all analyzed paints, the variation with the frequency of the dielectric loss factor of unaged samples follows the classical phenomenon of decrease, with the interfacial polarization being significant at lower values of frequency, as shown in Figure 11, Figure 12 and Figure 13. As for the aged samples, an increase in tg Delta is found by thermal cycling. The increase in tg Delta indicates the start of degradation of the coating material. However, low-intensity increases are observed. Thus, for S1, there is an increase in tg Delta of approx. 13%; for S2, there is an increase of approx. 6%; and for S3, the decrease is the smallest, approx. 4%. These small decreases can be justified by the fact that in the first phase a complete crosslinking occurs (the creation of the three-dimensional structure through the interaction of polymer chains). When we refer to absolute values, it is evident that the polyurethane paint (S3) presents the highest values for the dielectric loss factor and the smallest variations for the thermally cycled samples. Comparing the resistance to thermal cycling of the three paints, it can be said, following the experimental data obtained by us, that the most resistant paint is the polyurethane (S3), followed by the epoxy (S2) and lastly the acrylic (S1) [29,30,31].

3.5. Dielectric Tests on Insulating Paints under UV Radiation Exposure

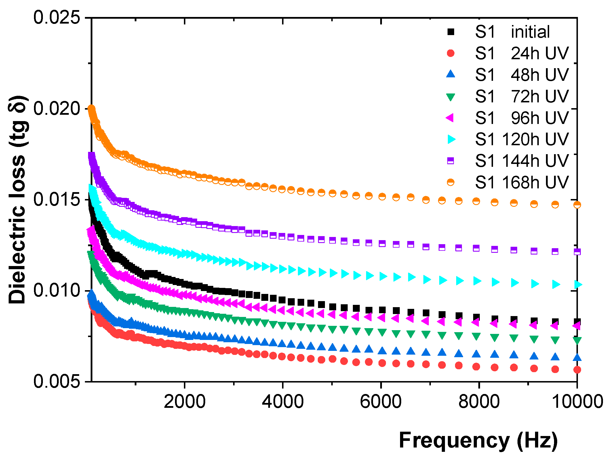
Due to the fact that the exposure under UV radiation produces modification mainly in the upper layer of the paints, the dielectric loss factor—tg Delta—was analyzed with priority, being considered the main parameter to be taken into account. Tg Delta characteristics vs. exposure time under UV radiation for S1–S3 are presented in Figure 14, Figure 15 and Figure 16.
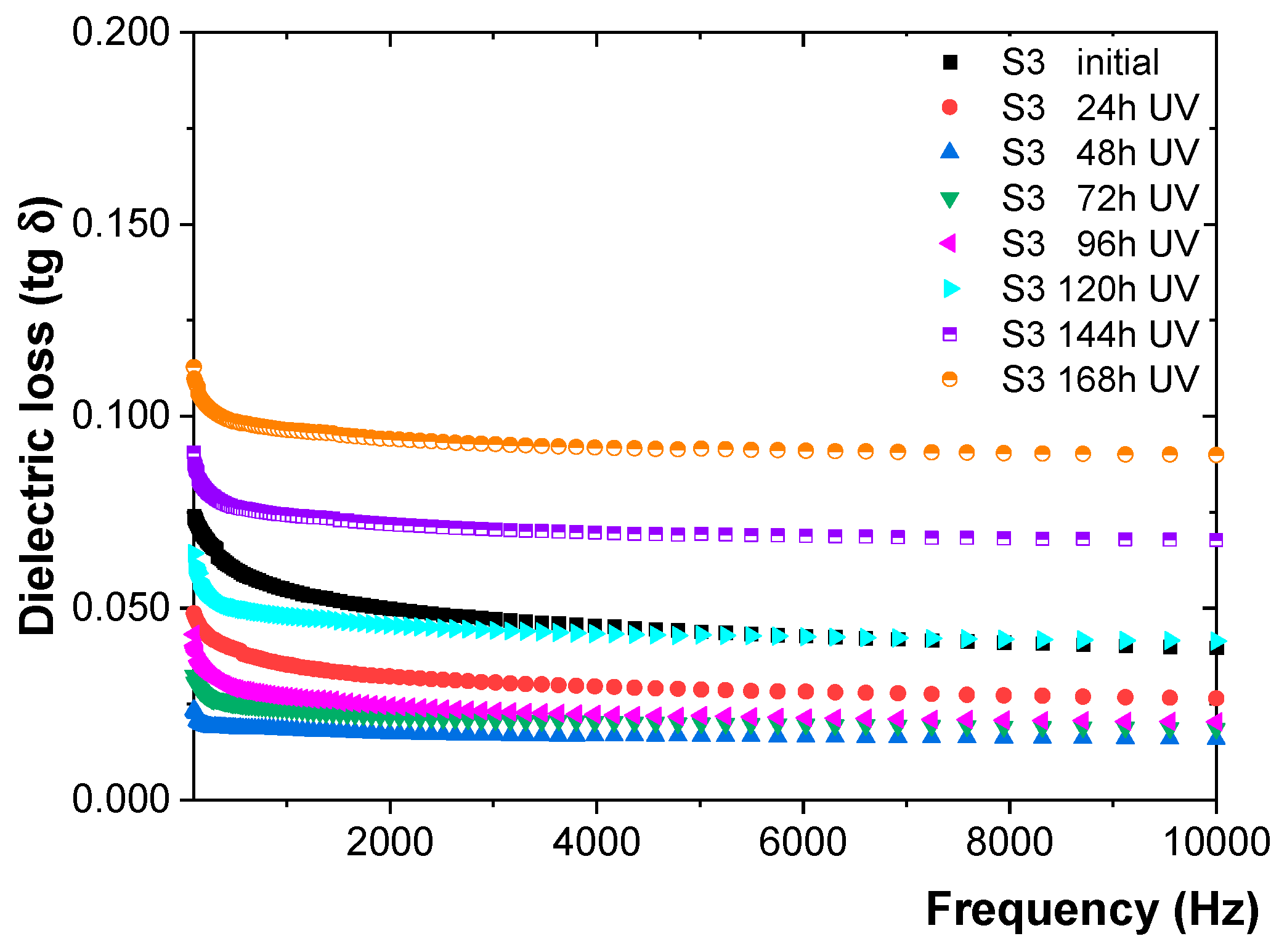
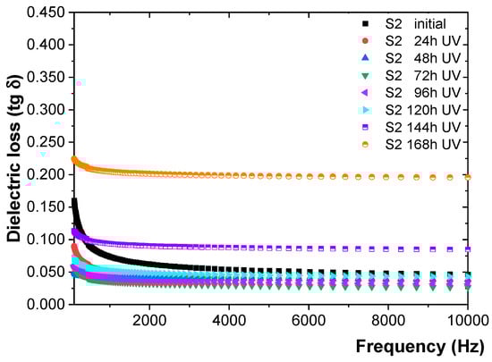
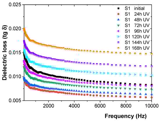
For all the paints analyzed, the variation with the frequency of tg Delta follows the classic phenomenon of decrease, with the interfacial polarization being significant at lower values of the frequency. In the case of exposure to UV radiation, a decrease in tg Delta (compared to tg Delta of non-irradiated samples) is observed up to 96 h, after which an increase begins. This can be explained by the completion of the crosslinking reactions up to 96 h, after which the degradation process begins. The variation of tg Delta compared to the initial samples is presented in Table 3. It can be seen that after 168 h of UV irradiation, the highest increase in tg Delta is shown by S3 (40%) and the lowest by S2 (12%). The sudden increase in tg Delta indicates material degradation. In our case, it can be stated that after 160 h of UV radiation, S3 paint degrades the fastest, followed by S1 and then S2. As a conclusion, after these tests, it can be said that the most resistant paint to UV radiation is S2 and the least resistant is S3.

3.6. Evaluation of Thermal Stability of Insulating Paints

The thermal stability was determined by calculating the temperature index of these materials in order to estimate their end of life for three temperatures of accelerated aging tests—i.e., 100 °C, 200 °C and 250 °C—chosen according to their insulation class B [39,40,41,42] up to a maximum of 3600 h (150 days) of exposure. The decrease in the values of the tg Delta by more than 30% compared to the initial value was chosen as the limit of the degradation criterion. Taking into account that the acrylic–polyurethane paint S2 is designated mostly for building insulation or auxiliary metallic accessories, thus having a lower thermal exposure and needing a lower thermal stability, the most relevant comparison was made between paints S1 (epoxy) and S3 (polyurethane), which are effectively used to cover electrical or electronic equipment in function.
In Figure 17, Figure 18 and Figure 19, the average values of tgδ corresponding to the number of hours of thermal exposure of the samples at 100 °C, 200 °C and 250 °C, respectively, are presented.
From the experimental values presented in Figure 17, it can be seen that for a temperature of 100 °C, the lifetime values of 18,962 h for S1 and 20,485 h for S3 were obtained.
From the experimental values presented in Figure 18, it can be seen that for a temperature of 200°C, lifetime values were 912 h for S1 and 1512 h for S3.
From the experimental values presented in Figure 19, it can be seen that for a temperature of 250°C, the lifetime values were: 216 h for S1 and 336 h for S3.
We could preliminarily estimate a higher thermal stability for S3.
According to [39,40,41,42], the final decision on thermal stability is expressed by the temperature value at which the criterion is reached at a standard lifetime of 20,000 h (by extrapolation). In the case of epoxy paint, the temperature index value is 114 °C, and in the case of polyurethane paint, the temperature index value is higher, i.e., 134 °C, generally meaning that polyurethane paints have a higher thermal stability. Thus, it can be said that the epoxy paint (coded with S1) is of insulation class E and the polyurethane one (coded with S3) is of insulation class B, according to the classifications from [39,40,41,42]. The obtained results are presented in Figure 20, where the points represent the time at which the degradation criterion is reached for each temperature and each sample.
The procedure presented above is important, because the electrical insulating paints cannot be treated as common insulating coatings, for which the standards from [38,39,40,41] impose compulsory tests of breakdown strength, resistivity, etc. In the case of electrical insulation paints, the insulating class is only an informative term, because they do not effectively participate in an electrical exploitation process as an active part (e.g., motor or transformer winding insulation, cables insulation, etc.).
Taking into account all technical discussions above, it is obvious that electrical characteristics other than resistivity may be chosen—as proposed here with tg Delta—which better simulate the functionality of paints for electrical applications in terms of diminishing the leakage current or electrical discharges and which are detrimentally influenced by the accumulation of electrical charges within the material, a phenomenon that can be more pertinent when evaluated through tg Delta variation under different exposure conditions (thermal and UV).

4. Conclusions

This paper describes the dielectric behavior under different exposure conditions (thermal and UV) of insulating paints for electrical equipment protection of three recipes based on epoxy, acrylic and polyurethane matrices.
The FTIR analyses highlight the fact that the acrylic and polyurethane paints (S2 and S3, respectively) did not show perceptible IR spectral changes after thermal cycling. If we interpret this from the point of view of the temperature resistance of the paint films, it can be said that S3 and S2 films can be attributed an exceptional resistance to thermal treatment.
The results presented above lead to very interesting and useful observations for paint manufacturers, since exposure to thermal cycles and UV radiation simulates outdoor use and needs to be conducted for each paint according to its specific use. Dielectric characteristics must be carefully evaluated, as they can reach values below the accepted limit—e.g., assessment of thermal stability—even if the exposure is at lower temperatures and/or for shorter periods. The freeze–thaw cycles affect the insulation quality of the paint more than a normal exposure, even at higher temperatures or for longer periods. Also, accelerated UV exposure leads to dielectric loss factor values comparable to those achieved after exposure to thermal cycling. On the other hand, it seems that the actual exploitation of electro-insulating paints has nothing to do with the assessment of thermal stability, according to the standards in force. The evaluation of thermal stability can provide information about the thermal resistance of paints from the same insulation class, in terms of comparing different recipes (as in our case) or comparing the insulation class of different paints. However, the evaluation of the electrical behavior of paints in real operating conditions remains a clear necessity, which, based on the results presented in this paper, the authors fully recommend.
After comparing the TG-DSC curves for the non-irradiated materials with the irradiated ones, it was found that the most affected by UV radiation is S3, followed by S2 and finally S1. This can be justified by the appearance of the four oxidation processes that can be found in the DSC and DTG curves.
Analyzing the results obtained from the experiments presented in this work, it can be said that from the point of view of resistance to thermal cycling, the most resistant paint is the polyurethane paint (S3), followed by the acrylic paint (S2) and then the epoxy paint (S1); from the point of view of thermal resistance, the polyurethane paint (S3) can be classified in insulation class E and the epoxy paint (S1) in insulation class B; and from the point of view of resistance to UV radiation, it can be said that the most resistant paint is acrylic (S2) and the least resistant is polyurethane (S3).
This paper’s findings suggest that testing for thermal cycle exposure and UV radiation resilience should be conducted for each type of paint based on its intended use. It is important to carefully assess dielectric characteristics, as they may fall below accepted limits for thermal stability evaluation, even with exposure to lower temperatures or shorter periods.
In the case of electrical insulation paints, the insulating class is only an informative term, because they do not effectively participate in an electrical exploitation process as an active part (e.g., motor or transformer winding insulation, cables insulation, etc.).
It is obvious that other electrical characteristics may be chosen—as tg Delta was here —which better simulate the functionality of paints for electrical applications in terms of diminishing the leakage current or electrical discharges and which are detrimentally influenced by the accumulation of electrical charges within the material, a phenomenon that can be more pertinent when evaluated through tg Delta variation under different exposure conditions (thermal and UV). The rise in tg Delta is a significant factor linked to the potential risk of discharges and current flow.
The findings from this experiment need to be applied to various electrical insulating paints, and possibly a new standard should be established to evaluate how the paints perform in real-world conditions, treating them differently from traditional polymeric insulation systems.

Author Contributions

Conceptualization, R.C.C. and A.R.C.; methodology, R.C.C., M.A. and A.R.C.; validation, R.C.C. and M.A.; formal analysis, M.V.L., A.R.C. and M.A.; investigation, R.C.C., E.-M.L., V.M., M.V.L., M.A. and A.R.C.; data curation, E.-M.L., R.C.C., A.R.C., V.M. and M.V.L.; writing—original draft preparation, R.C.C.; writing—review and editing, R.C.C. and A.R.C.; visualization, R.C.C. and A.R.C.; supervision, R.C.C. All authors have read and agreed to the published version of the manuscript.

Funding

This research received no external funding.

Institutional Review Board Statement

Not applicable.

Informed Consent Statement

Not applicable.

Data Availability Statement

Data are contained within the article.

Acknowledgments

The research presented in this paper represents a partial dissemination of the results achieved within the grant: 1. Nanostructured paints and primers with electromagnetic shielding properties, with impact in the field of automotive components, 298/30.06.2020, SMIS 120155 and 2. PNCDI III, Programme 1/Project number PN23140201-42N/2023, beneficiary National Institute for Research and Development in Electrical Engineering ICPE—CA Bucharest.

Conflicts of Interest

The authors declare no conflicts of interest.

References

  1. What Is Electrical Insulating Varnish? Available online: https://www.jxrt.com/en/common-problem/what-is-electrical-insulating-varnish-80.html (accessed on 30 June 2024).
  2. Electrical Insulation Coating. Available online: https://www.slideserve.com/Protexion1/electrical-insulation-coating-safeguarding-your-wiring (accessed on 30 June 2024).
  3. Available online: https://www.swiftsupplies.com.au/electrical-coating-varnishes-finishes/ (accessed on 30 June 2024).
  4. Available online: https://www.misumi-techcentral.com/tt/en/surface/2014/12/198-electric-insulating-paint.html (accessed on 30 June 2024).
  5. Available online: https://www.adelhelm.de/coatings/electrically-insulating.html (accessed on 30 June 2024).
  6. Available online: https://www.elantas.com/fileadmin/elantas/companies/elantas_beck_india/products/4867_elantas_electrical_resins___varnishes_bro_sep_17.pdf (accessed on 30 June 2024).
  7. EDMS 29-300-1; Specification for Electrical Insulation Coatings. Ministry of Electricity and Renewable Energy Company Holding Electricity E: Cairo, Egypt, 2021. Available online: https://eehc.gov.eg/CMSEehc/media/5kopbtu2/edms29-300-1.pdf (accessed on 30 June 2024).
  8. Electrical Insulating Material Standards. Available online: https://www.astm.org/products-services/standards-and-publications/standards/electrical-insulating-material-standards.html (accessed on 30 June 2024).
  9. Classification of Insulating Coatings. Available online: https://www.cnruisen.com/classifications-and-applications-of-insulating-coatings-for-electric-power.html (accessed on 30 June 2024).
  10. Available online: https://newguardcoatings.com/wp-content/uploads/2021/01/SigmaCover-456.pdf (accessed on 30 June 2024).
  11. Available online: https://www.ppcoatings.co.uk/wp-content/uploads/2016/03/TDS-Hardtop-AS.pdf (accessed on 30 June 2024).
  12. Available online: https://www.newguardcoatings.com/wp-content/uploads/2020/02/Sigmadur-550.pdf (accessed on 30 June 2024).
  13. ASTM D2565-16; Standard Practice for Xenon-Arc Exposure of Plastics Intended for Outdoor Applications. ASTM International: Conshohocken, PA, USA, 2023. Available online: https://www.astm.org/d2565-16.html (accessed on 30 June 2024).
  14. IEC 60034-1; Insulation Class and Temperature Rise. AVSLD International Pte Ltd.: Singapore, 2022. Available online: https://avsld.com.sg/insulation-class-and-temperature-rise/ (accessed on 30 June 2024).
  15. Hiley, C.; Hansford, G.; Eastaugh, N. High-resolution non-invasive X-ray diffraction analysis of artists’ paints. J. Cult. Herit. 2022, 53, 1–13. [Google Scholar] [CrossRef]
  16. Campanale, C.; Savino, I.; Massarelli, C.; Uricchio, V.F. Fourier Transform Infrared Spectroscopy to Assess the Degree of Alteration of Artificially Aged and Environmentally Weathered Microplastics. Polymers 2023, 15, 911. [Google Scholar] [CrossRef]
  17. Zhang, W.; Fina, A.; Ferraro, G.; Yang, R. FTIR and GCMS analysis of epoxy resin decomposition products feeding the flame during UL 94 standard flammability test. Application to the understanding of the blowing-out effect in epoxy/polyhedral silsesquioxane formulations. J. Anal. Appl. Pyrolysis 2018, 135, 271–280. [Google Scholar] [CrossRef]
  18. Defeyt, C.; Langenbacher, J.; Rivenc, R. Polyurethane coatings used in twentieth century outdoor painted sculptures. Part I: Comparative study of various systems by means of ATR-FTIR spectroscopy. Herit. Sci. 2017, 5, 11. [Google Scholar] [CrossRef]
  19. López-Ballester, E.; Doménech-Carbó, M.T.; Gimeno-Adelantado, J.V.; Bosch-Reig, F. Study of FT-IR spectroscopy of ageing of adhesives used in restoration of archaeological glass objects. J. Mol. Struct. 1999, 482, 525–531. [Google Scholar] [CrossRef]
  20. Buch, X.; Shanahan, M.E.R. Thermal and thermo-oxidative ageing of an epoxy adhesive. Polym. Degrad. Stab. 2000, 68, 403–411. [Google Scholar] [CrossRef]
  21. Lungulescu, E.-M.; Fierascu, R.C.; Stan, M.S.; Fierascu, I.; Radoi, E.A.; Banciu, C.A.; Gabor, R.A.; Fistos, T.; Marutescu, L.; Popa, M.; et al. Gamma Radiation-Mediated Synthesis of Antimicrobial Polyurethane Foam/Silver Nanoparticles. Polymers 2024, 16, 1369. [Google Scholar] [CrossRef]
  22. Lungulescu, E.M.; Lingvay, I.; Bors, A.M.; Fortuna, L.; Nicula, N.O. Assessment of Paint Layers Quality by FTIR and DSC Techniques. Mater. Plast. 2019, 56, 87–91. [Google Scholar] [CrossRef]
  23. Zhu, M.; Cao, Z.; Zhou, H.; Xie, Y.; Li, G.; Wang, N.; Liu, Y.; He, L.; Qu, X. Preparation of environmentally friendly acrylic pressure-sensitive adhesives by bulk photopolymerization and their performance. RSC Adv. 2020, 10, 10277–10284. [Google Scholar] [CrossRef] [PubMed]
  24. Rus, T.; Bors, A.M.; Caramitu, A.R.; Lingvay, I.; Vaireanu, D.I. Comparative studies on the thermal ageing of some painting materials. Mater. Plast. 2018, 55, 167–175. [Google Scholar] [CrossRef]
  25. McNeill, I.C. Fundamental Aspects of Polymer Degradation; Polymers in Conservation: Cambridge, UK, 1992; pp. 14–31. [Google Scholar]
  26. Xie, F.; Zhang, T.; Bryant, P.; Kurusingal, V.; Colwell, J.M.; Laycock, B. Degradation and stabilization of polyurethane elastomers. Prog. Polym. Sci. 2019, 90, 211–268. [Google Scholar] [CrossRef]
  27. Rodríguez-deLeón, E.; Bah, M.; Jiménez-Halla, J.O.C.; Bonilla-Cruz, J.; Estévez, M.; Báez, J.E. Synthesis and Characterization of Segmented Poly(ester-urethane)s (PEUs) Containing Carotenoids. Polym. Chem. 2019, 10, 6580–6587. [Google Scholar] [CrossRef]
  28. Yang GaoJie, Y.; Liu, L.; Yu, Y. Effect of diacylhydrazine as chain extender on microphase separation and performance of energetic polyurethane elastomer. e-Polymers 2020, 20, 469–481. [Google Scholar] [CrossRef]
  29. Rus, T.; Caramitu, A.R.; Mitrea, S.; Lingvay, I. Comparative study about the thermal stability and UV resistance of some paint layers for electro-energetic equipment. In Proceedings of the 2016 International Conference on Diagnostic of Electrical Machines and Insulating Systems in Electrical Engineering (DEMISEE 2016), Papradno, Slovakia, 20–22 June 2016; pp. 60–65. [Google Scholar]
  30. Rus, T.; Lingvay, I.; Caramitu, A.R.; Bors, A.M.; Vaireanu, D.I. Comparative Studies on the UV Radiations Resistance of Some Painting Materials. Mater. Plast. 2017, 54, 720–725. [Google Scholar] [CrossRef]
  31. Caramitu, A.R.; Ciobanu, R.C.; Lungu, M.V.; Lungulescu, E.-M.; Scheiner, C.M.; Aradoaei, M.; Bors, A.M.; Rus, T. Polymeric Protective Films as Anticorrosive Coatings—Environmental Evaluation. Polymers 2024, 16, 2192. [Google Scholar] [CrossRef] [PubMed]
  32. Iscen, A.; Forero-Martinez, N.; Valsson, O.; Kremer, K. Molecular Simulation Strategies for Understanding the Degradation Mechanisms of Acrylic Polymers. Macromolecules 2023, 56, 3272–3285. [Google Scholar] [CrossRef] [PubMed]
  33. Allara, D.L. Aging of polymers. Environ. Health Perspect. 1975, 11, 29–33. [Google Scholar] [CrossRef] [PubMed]
  34. Kotnarowska, D. Influence of Ageing with UV Radiation on Physicochemical Properties of Acrylic-Polyurethane Coatings. J. Surf. Eng. Mater. Adv. Technol. 2018, 8, 95–109. [Google Scholar] [CrossRef]
  35. Aquino, F.; Coutinho, F.; Sheldrake, T.; Clevelario, J.; Pires, F. Study of the Ageing of Polyurethanes in General Applications for UV Radiation, Anais do 10th Congresso Brasileiro de Polímeros—Foz do Iguaçu, PR—Outubro/2009. Available online: https://www.ipen.br/biblioteca/cd/cbpol/2009/PDF/889.pdf (accessed on 30 June 2024).
  36. Mayer-Trzaskowska, P.; Robakowska, M.; Pach, J.; Mazur, E. Observation of the Effect of Aging on the Structural Changes of Polyurethane/Polyurea Coatings. Polymers 2024, 16, 23. [Google Scholar] [CrossRef] [PubMed]
  37. Bissett, J.V.; van Vuuren, P.A.; Walker, J.J. Evaluation of unconventional partial discharge and Tan Delta assessment techniques on medium voltage cable terminations with artificial defects. SAIEE Afr. Res. J. 2024, 115, 24–26. [Google Scholar] [CrossRef]
  38. Bolliger, D. Simultaneous Partial Discharge and Tan Delta Measurements: New Technology in Cable Diagnostics. Available online: https://hvtechnologies.com/wp-content/uploads/2019/07/Simultaneous-PD-and-TD-Testing.pdf (accessed on 30 August 2024).
  39. IEC 60216-1; Electrical Insulating Materials—Thermal Endurance Properties—Part 1: Ageing Procedures and Evaluation of Test Results. IEC: Geneva, Switzerland, 2013. Available online: https://cdn.standards.iteh.ai/samples/18941/ba48414dc4b3407fbd71fde050f9dbb7/IEC-60216-1-2013.pdf (accessed on 30 June 2024).
  40. SR EN 60216-3:2007; Electroinsulating Materials. Thermal Endurance Properties. Part 3: Instructions for the Calculation of Thermal Endurance Characteristics. ASRO: Bucharest, Rumania, 2007. Available online: https://magazin.asro.ro/ro/standard/117649 (accessed on 30 June 2024).
  41. SR HD 566 S1:2002; Thermal Evaluation and Classification of Electrical Insulation. ASRO: Bucharest, Rumania, 2022. Available online: https://e-standard.eu/en/standard/27616 (accessed on 30 June 2024).
  42. STAS 6247-87; Electroinsulating Materials for Machines and Electrical Appliances. Evaluation and Classification According to Thermal Stability. ASRO: Bucharest, Rumania, 1987. Available online: https://magazin.asro.ro/ro/standard/13925 (accessed on 6 August 2024).
Figure 1. The diagram of the thermal cycling test.
Figure 1. The diagram of the thermal cycling test.
Coatings 14 01194 g001
Figure 2. X-ray diffractogram for S1.
Figure 2. X-ray diffractogram for S1.
Coatings 14 01194 g002
Figure 3. X-ray diffractogram for S2.
Figure 3. X-ray diffractogram for S2.
Coatings 14 01194 g003
Figure 4. X-ray diffractogram for S3.
Figure 4. X-ray diffractogram for S3.
Coatings 14 01194 g004
Figure 5. Spectral data for sample S1.
Figure 5. Spectral data for sample S1.
Coatings 14 01194 g005
Figure 6. Spectral data for sample S2.
Figure 6. Spectral data for sample S2.
Coatings 14 01194 g006
Figure 7. Spectral data for sample S3.
Figure 7. Spectral data for sample S3.
Coatings 14 01194 g007
Figure 8. TG-DSC curves for S1 initial and UV-irradiated samples after 92 h.
Figure 8. TG-DSC curves for S1 initial and UV-irradiated samples after 92 h.
Coatings 14 01194 g008
Figure 9. TG-DSC curves for the S2 initial and UV-irradiated samples after 92 h.
Figure 9. TG-DSC curves for the S2 initial and UV-irradiated samples after 92 h.
Coatings 14 01194 g009
Figure 10. DTG curves for the S3 initial and UV-irradiated samples after 92 h.
Figure 10. DTG curves for the S3 initial and UV-irradiated samples after 92 h.
Coatings 14 01194 g010
Figure 11. Dielectric features of S1.
Figure 11. Dielectric features of S1.
Coatings 14 01194 g011
Figure 12. Dielectric features of S2.
Figure 12. Dielectric features of S2.
Coatings 14 01194 g012
Figure 13. Dielectric features of S3.
Figure 13. Dielectric features of S3.
Coatings 14 01194 g013
Figure 14. Tg Delta characteristics vs. exposure time for S1.
Figure 14. Tg Delta characteristics vs. exposure time for S1.
Coatings 14 01194 g014
Figure 15. Tg Delta characteristics vs. exposure time for S2.
Figure 15. Tg Delta characteristics vs. exposure time for S2.
Coatings 14 01194 g015
Figure 16. Tg Delta characteristics vs. exposure time for S3.
Figure 16. Tg Delta characteristics vs. exposure time for S3.
Coatings 14 01194 g016
Figure 17. Variation of tg Delta vs. duration of thermal exposure at 100 °C: (a) S1; (b) S3.
Figure 17. Variation of tg Delta vs. duration of thermal exposure at 100 °C: (a) S1; (b) S3.
Coatings 14 01194 g017
Figure 18. Variation of tg Delta vs. duration of thermal exposure at 200 °C: (a) S1; (b) S3.
Figure 18. Variation of tg Delta vs. duration of thermal exposure at 200 °C: (a) S1; (b) S3.
Coatings 14 01194 g018
Figure 19. Variation of tg Delta vs. duration of thermal exposure at 250 °C: (a) S1; (b) S3.
Figure 19. Variation of tg Delta vs. duration of thermal exposure at 250 °C: (a) S1; (b) S3.
Coatings 14 01194 g019
Figure 20. Thermal stability of electrical insulating paints: (a) S1-epoxy; (b) S3-polyurethane.
Figure 20. Thermal stability of electrical insulating paints: (a) S1-epoxy; (b) S3-polyurethane.
Coatings 14 01194 g020
Table 1. Technical characteristics of S1–S3.
Table 1. Technical characteristics of S1–S3.
CharacteristicsTechnical Data S1Technical Data S2Technical Data S3
Number of components222
Mass density (kg/L)1.3 kg/L1.22 kg/L1.5 kg/L
Solids by volume57 ± 2%50 ± 2%70 ± 2%
Surface (touch) dry (hours)1.513
Dried/cured for service7 days7 daysMin 6 h; Max.: unlimited
Table 2. Crystallinity degree of paint samples.
Table 2. Crystallinity degree of paint samples.
SampleCrystallinity Degree [%]
S187
S283.4
S386.6
Table 3. The variation of tg Delta in (%), compared to non-irradiated samples.
Table 3. The variation of tg Delta in (%), compared to non-irradiated samples.
Exposure Time (Hours);24487296120144168
Sample paint codes% variation (i) increase, (d) decrease
tg Delta
S136 (d)34 (d)16 (d)14 (d)2 (d)7 (i)17 (i)
S238 (d)73 (d)63 (d)61 (d)56 (d)37 (d)12 (i)
S326 (d)64 (d)46 (d)27 (d)1 (i)26 (i)40 (i)
Disclaimer/Publisher’s Note: The statements, opinions and data contained in all publications are solely those of the individual author(s) and contributor(s) and not of MDPI and/or the editor(s). MDPI and/or the editor(s) disclaim responsibility for any injury to people or property resulting from any ideas, methods, instructions or products referred to in the content.

Share and Cite

MDPI and ACS Style

Caramitu, A.R.; Lungu, M.V.; Ciobanu, R.C.; Aradoaei, M.; Lungulescu, E.-M.; Marinescu, V. Comparative Analysis of Dielectric Behavior under Temperature and UV Radiation Exposure of Insulating Paints for Electrical Equipment Protection—The Necessity of a New Standard? Coatings 2024, 14, 1194. https://doi.org/10.3390/coatings14091194

AMA Style

Caramitu AR, Lungu MV, Ciobanu RC, Aradoaei M, Lungulescu E-M, Marinescu V. Comparative Analysis of Dielectric Behavior under Temperature and UV Radiation Exposure of Insulating Paints for Electrical Equipment Protection—The Necessity of a New Standard? Coatings. 2024; 14(9):1194. https://doi.org/10.3390/coatings14091194

Chicago/Turabian Style

Caramitu, Alina Ruxandra, Magdalena Valentina Lungu, Romeo Cristian Ciobanu, Mihaela Aradoaei, Eduard-Marius Lungulescu, and Virgil Marinescu. 2024. "Comparative Analysis of Dielectric Behavior under Temperature and UV Radiation Exposure of Insulating Paints for Electrical Equipment Protection—The Necessity of a New Standard?" Coatings 14, no. 9: 1194. https://doi.org/10.3390/coatings14091194

APA Style

Caramitu, A. R., Lungu, M. V., Ciobanu, R. C., Aradoaei, M., Lungulescu, E.-M., & Marinescu, V. (2024). Comparative Analysis of Dielectric Behavior under Temperature and UV Radiation Exposure of Insulating Paints for Electrical Equipment Protection—The Necessity of a New Standard? Coatings, 14(9), 1194. https://doi.org/10.3390/coatings14091194

Note that from the first issue of 2016, this journal uses article numbers instead of page numbers. See further details here.

Article Metrics

Back to TopTop