Flexible and High-Strength Porous Graphene/Polyurea Composite Film for Multifunctional Applications
Abstract
1. Introduction
2. Materials and Methods
2.1. Materials
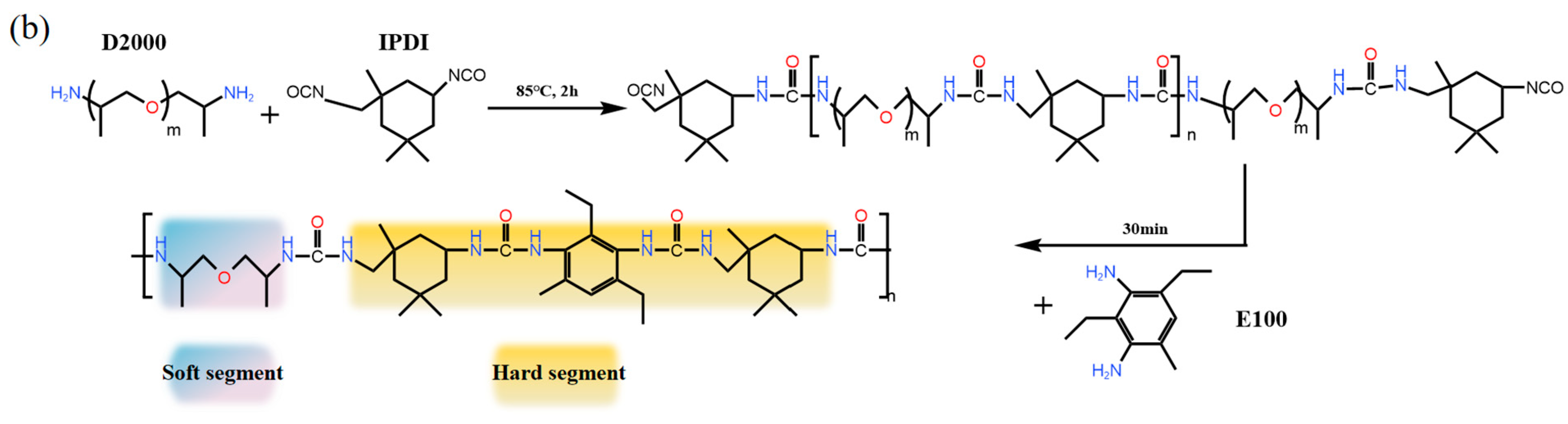
2.2. Preparation of Aliphatic Polyester
2.3. Preparation of Graphene/Polyurea Porous Composite
2.4. Characterization
3. Results and Discussion
3.1. FT-IR
3.2. Morphology and Mechanical Property
3.3. Strain Sensing Performance
3.4. Capacitor Performance
3.5. Corrosion Resistance Performance
3.6. Sound Absorption Performance
4. Conclusions
Author Contributions
Funding
Data Availability Statement
Conflicts of Interest
References
- Ferrando-Soria, J.; Fernandez, A. Integrating Levels of Hierarchical Organization in Porous Organic Molecular Materials. Nano-Micro Lett. 2024, 16, 88. [Google Scholar] [CrossRef] [PubMed]
- Wang, Z.; Wang, C.; Gao, Y.; Li, Z.; Shang, Y.; Li, H. Porous Thermal Insulation Polyurethane Foam Materials. Polymers 2023, 15, 3818. [Google Scholar] [CrossRef]
- Wuttke, S.; Medina, D.D.; Rotter, J.M.; Begum, S.; Stassin, T.; Ameloot, R.; Oschatz, M.; Tsotsalas, M. Bringing Porous Organic and Carbon-Based Materials toward Thin-Film Applications. Polymers 2018, 28, 1801545. [Google Scholar] [CrossRef]
- Bian, X.; Yang, Z.; Zhang, T.; Yu, J.; Xu, G.; Chen, A.; He, Q.; Pan, J. Multifunctional Flexible AgNW/MXene/PDMS Composite Films for Efficient Electromagnetic Interference Shielding and Strain Sensing. ACS Appl. Mater. Interfaces 2023, 15, 41906–41915. [Google Scholar] [CrossRef]
- Ramakrishna, B.N.; Pasha, A.; Khasim, S. Improved broadband electromagnetic interference shielding and strain sensing properties of multifunctional reduced graphene oxide/iron–cobalt ferrite composites. J. Mater. Sci. Mater. Electron. 2024, 35, 48. [Google Scholar] [CrossRef]
- Stevens, M.; Yun, G.; Hasan, T. Porous Conductive Hybrid Composite with Superior Pressure Sensitivity and Dynamic Range. Adv. Funct. Mater. 2024, 34, 2309347. [Google Scholar] [CrossRef]
- Wang, H.; Wang, X.; Li, M.; Zheng, L.; Guan, D.; Huang, X.; Xu, J.; Yu, J. Porous Materials Applied in Nonaqueous Li–O2 Batteries: Status and Perspectives. Adv. Funct. Mater. 2020, 32, 2002559. [Google Scholar] [CrossRef]
- Mao, L.; Zhao, X.; Wang, H.; Xu, H.; Xie, L.; Zhao, C.; Chen, L. Novel Two-Dimensional Porous Materials for Electrochemical Energy Storage: A Minireview. Adv. Mater. 2020, 20, 922–935. [Google Scholar] [CrossRef]
- Thalji, M.R.; Ali, G.A.M.; Liu, P.; Zhong, Y.L.; Chong, K.F. W18O49 nanowires-graphene nanocomposite for asymmetric supercapacitors employing AlCl3 aqueous electrolyte. Chem. Eng. J. 2021, 409, 128216. [Google Scholar] [CrossRef]
- Rastegar, N.; Ershad-Langroudi, A.; Parsimehr, H.; Moradi, G. Sound-absorbing porous materials: A review on polyurethane-based foams. Iran. Polym. J. 2022, 31, 83–105. [Google Scholar] [CrossRef]
- Liu, J.B.; Zhang, L.J.; Yang, C.; Tao, S.Y. Preparation of multifunctional porous carbon electrodes through direct laser writing on a phenolic resin film. J. Mater. Chem. A 2019, 7, 21168–21175. [Google Scholar] [CrossRef]
- Dong, F.; Yang, X.; Guo, L.; Qian, Y.; Sun, P.; Huang, Z.; Xu, X.; Liu, H. A tough, healable, and recyclable conductive polyurethane/carbon nanotube composite. J. Colloid Interface Sci. 2023, 631, 239–248. [Google Scholar] [CrossRef] [PubMed]
- Sadasivuni, K.K.; Cabibihan, J.-J.; Deshmukh, K.; Goutham, S.; Abubasha, M.K.; Gogoi, J.P.; Klemenoks, I.; Sakale, G.; Sekhar, B.S.; Rama Sreekanth, P.S.; et al. A review on porous polymer composite materials for multifunctional electronic applications. Polym.-Plast. Technol. Mater. 2019, 58, 1253–1294. [Google Scholar] [CrossRef]
- Yang, Z.; Che, J.; Zhang, Z.; Yu, L.; Hu, M.; Sun, W.; Gao, W.; Fan, J.; Wang, L.; Liu, G. High-efficiency graphene/epoxy composite coatings with outstanding thermal conductive and anti-corrosion performance. Compos. Part A Appl. Sci. Manuf. 2024, 181, 108152. [Google Scholar] [CrossRef]
- Ali, A.; Andriyana, A. Properties of multifunctional composite materials based on nanomaterials: A review. RSC Adv. 2020, 10, 16390–16403. [Google Scholar] [CrossRef]
- Liu, J.; Lama, G.C.; Recupido, F.; Santillo, C.; Gentile, G.; Buonocore, G.G.; Verdolotti, L.; Zhang, X.; Lavorgna, M. A multifunctional composite material with piezoresistivity and mechanoluminescence properties for a wearable sensor. Compos. Sci. Technol. 2023, 236, 109993. [Google Scholar] [CrossRef]
- Xiong, C.; Zheng, C.; Zhang, Z.; Xiong, Q.; Zhou, Q.; Li, D.; Shen, M.; Ni, Y. Polyaniline @ Cellulose Nanofibers Multifunctional Composite Material for Supercapacitors, Electromagnetic Interference Shielding and Sensing. J. Mater. 2024; in press. [Google Scholar] [CrossRef]
- Han, S.; Li, S.; Song, X.; Zhou, Z.; Meng, Q.; Araby, S.; Abdelsalam, A.A. Carbon nanotubes/α-ZrP sheets for high mechanical performance and flame-retarding polyamides using selective laser sintering. Virtual Phys. Prototyp. 2024, 19, e2368644. [Google Scholar] [CrossRef]
- Yao, Y.; Tian, H.; Yuan, L.; Wu, Q.; Xiang, A. Improved mechanical, thermal, and flame-resistant properties of polyurethane–imide foams via expandable graphite modification. J. Appl. Polym. Sci. 2019, 136, 46990. [Google Scholar] [CrossRef]
- Tang, H.; Li, Y.; Zhu, Z.; Zhan, Y.; Li, Y.; Li, K.; Wang, P.; Zhong, F.; Feng, W.; Yang, X. Rational design of high-performance epoxy/expandable microsphere foam with outstanding mechanical, thermal, and dielectric properties. J. Appl. Polym. Sci. 2024, 141, e55502. [Google Scholar] [CrossRef]
- Maharshi, S.; Siddharth; Mitra, R.; Roy, S. Development of a low-temperature novel porous Si3N4–Al2O3 composite with excellent specific mechanical properties. Mater. Chem. Phys. 2024, 319, 129372. [Google Scholar] [CrossRef]
- Bandi, H.; Kakarla, A.K.; Pasupuleti, K.S.; Shanthappa, R.; Waifalkar, P.P.; Kim, M.-D.; Yu, J.S. Multifunctional hexagonal-shaped zinc vanadate nanostructures for lithium-ion battery and NH3 gas sensor applications. Mater. Today Chem. 2023, 33, 101689. [Google Scholar] [CrossRef]
- Jia, Y.; Sun, R.; Pan, Y.; Wang, X.; Zhai, Z.; Min, Z.; Zheng, G.; Liu, C.; Shen, C.; Liu, X. Flexible and thin multifunctional waterborne polyurethane/Ag film for high-efficiency electromagnetic interference shielding, electro-thermal and strain sensing performances. Compos. Part B Eng. 2021, 210, 108668. [Google Scholar] [CrossRef]
- Dai, S.-W.; Gu, Y.-L.; Zhao, L.; Zhang, W.; Gao, C.-H.; Wu, Y.-X.; Shen, S.-C.; Zhang, C.; Kong, T.-T.; Li, Y.-T.; et al. Bamboo-inspired mechanically flexible and electrically conductive polydimethylsiloxane foam materials with designed hierarchical pore structures for ultra-sensitive and reliable piezoresistive pressure sensor. Compos. Part B Eng. 2021, 225, 109243. [Google Scholar] [CrossRef]
- Yuan, T.; Wang, Y.; Zhou, Y.; Zhang, A.; Meng, J.; Li, L.; Zhang, W. Multifunctional wearable sensor using hetero-nanoforest structural Cu-HHTP/CuCoNi-LDH composite toward applications of human motion, sound, gas and light monitoring. J. Mater. Sci. Technol. 2024, 195, 197–207. [Google Scholar] [CrossRef]
- He, Y.; Lu, X.; Wu, D.; Zhou, M.; He, G.; Zhang, J.; Zhang, L.; Liu, H.; Liu, C. CNT/PDMS conductive foam-based piezoresistive sensors with low detection limits, excellent durability, and multifunctional sensing capability. Sens. Actuators A Phys. 2023, 358, 114408. [Google Scholar] [CrossRef]
- Patole, S.P.; Reddy, S.K.; Schiffer, A.; Askar, K.; Prusty, B.G.; Kumar, S. Piezoresistive and Mechanical Characteristics of Graphene Foam Nanocomposites. ACS Appl. Nano Mater. 2019, 2, 1402–1411. [Google Scholar] [CrossRef]
- Zhang, H.; Wang, H.; Wang, T.; Han, S.; Zhang, X.; Wang, J.; Sun, G. Polyurethane Foam with High-Efficiency Flame Retardant, Heat Insulation, and Sound Absorption Modified By Phosphorus-Containing Graphene Oxide. ACS Appl. Polym. Mater. 2024, 6, 1878–1890. [Google Scholar] [CrossRef]
- Ye, H.; Liu, Y.; Zhao, X. Recent research progress on graphene-based sound-absorbing materials. Mater. Today Chem. 2024, 38, 102139. [Google Scholar] [CrossRef]
- Han, S.; Li, Q.; Ma, N.; Liu, D.; Sui, G.; Araby, S. Supramolecular-Wrapped α-Zirconium Phosphate Nanohybrid for Fire Safety and Reduced Toxic Emissions of Thermoplastic Polyurethane. ACS Appl. Polym. Mater. 2024, 6, 1376–1388. [Google Scholar] [CrossRef]
- Han, S.; Yang, F.; Li, Q.; Sui, G.; Su, X.; Dai, J.; Ma, J. Tackling smoke toxicity and fire hazards of thermoplastic polyurethane by mechanochemical combination of Cu2O nanoparticles and zirconium phosphate nanosheets. Polym. Degrad. Stab. 2023, 212, 110350. [Google Scholar] [CrossRef]
- Han, S.; Yang, F.; Meng, Q.; Li, J.; Sui, G.; Su, X.; Kuan, H.-C.; Wang, C.H.; Ma, J. Using renewable phosphate to decorate graphene nanoplatelets for flame-retarding, mechanically resilient epoxy nanocomposites. Prog. Org. Coat. 2023, 182, 107658. [Google Scholar] [CrossRef]
- Wang, B.; Liang, P.; Li, W.; Gao, Y. Electrical conductivity of poly(methyl methacrylate) nanocomposites containing interconnected carbon nanohybrid network based on Pickering emulsion strategy. Soft Mater. 2021, 19, 468–479. [Google Scholar] [CrossRef]
- Liu, Y.; Zhou, J.; Chen, L.; Zhang, P.; Fu, W.; Zhao, H.; Ma, Y.; Pan, X.; Zhang, Z.; Han, W.; et al. Highly Flexible Freestanding Porous Carbon Nanofibers for Electrodes Materials of High-Performance All-Carbon Supercapacitors. ACS Appl. Mater. Interfaces 2015, 7, 23515–23520. [Google Scholar] [CrossRef]
- Zhao, L.; Qiang, F.; Dai, S.-W.; Shen, S.-C.; Huang, Y.-Z.; Huang, N.-J.; Zhang, G.-D.; Guan, L.-Z.; Gao, J.-F.; Song, Y.-H.; et al. Construction of sandwich-like porous structure of graphene-coated foam composites for ultrasensitive and flexible pressure sensors. Nanoscale 2019, 11, 10229–10238. [Google Scholar] [CrossRef]
- Wang, R.; Li, X.; Chen, T. Resistive flexible strain sensor based on AgNWs-Gr-PDMS for wearable electronics. AIP Adv. 2024, 14, 055028. [Google Scholar] [CrossRef]
- Fu, S.; Wang, Y.; Zhong, Y.; Deng, J.; Zhang, Z.; Zhao, H.; Chen, T. Thin and high conductive multi-walled carbon nanotubes/polydimethylsiloxane composite film prepared via solvent method as strain sensors. Polym. Adv. Technol. 2024, 35, e6312. [Google Scholar] [CrossRef]
- Meng, Q.; Zhao, J.; Zhou, Z.; Han, S.; Feng, Y.; Han, Q.; Liu, T. Damage monitoring of aircraft structural components based on large-area flexible graphene strain sensors. Sens. Actuators A Phys. 2024, 369, 115092. [Google Scholar] [CrossRef]
- Feng, Y.; Cai, R.; Zhou, Y.; Hu, Z.; Wang, Y.; Liu, D.; Han, S.; Zhao, J.; Xu, L.; Meng, Q. A high-performance porous flexible composite film sensor for tension monitoring. RSC Adv. 2022, 12, 26285–26296. [Google Scholar] [CrossRef]
- Xie, Y.; Cheng, Y.; Ma, Y.; Wang, J.; Zou, J.; Wu, H.; Yue, Y.; Li, B.; Gao, Y.; Zhang, X.; et al. 3D MXene-Based Flexible Network for High-Performance Pressure Sensor with a Wide Temperature Range. Adv. Sci. 2023, 10, 2205303. [Google Scholar] [CrossRef]
- Wang, X.; Li, H.; Wang, T.; Niu, X.; Wang, Y.; Xu, S.; Jiang, Y.; Chen, L.; Liu, H. Flexible and high-performance piezoresistive strain sensors based on multi-walled carbon nanotubes@polyurethane foam. RSC Adv. 2022, 12, 14190–14196. [Google Scholar] [CrossRef] [PubMed]
- Aziz, M.H.; Khan, A.; Fahad, H.M.; Shaheen, F.; Ahmad, R.; Mehboob, K.; Huang, Q. NiZrSe3/rGO modulated porous architecture for hybrid featured asymmetric supercapacitors. J. Energy Storage 2023, 63, 106982. [Google Scholar] [CrossRef]
- Pan, Z.; Yu, S.; Wang, L.; Li, C.; Meng, F.; Wang, N.; Zhou, S.; Xiong, Y.; Wang, Z.; Wu, Y.; et al. Recent Advances in Porous Carbon Materials as Electrodes for Supercapacitors. Nanomaterials 2023, 13, 1744. [Google Scholar] [CrossRef] [PubMed]
- Zheng, L.; Gao, S.; Yao, S.; Huang, Y.; Zhai, S.; Hao, J.; Fu, X.; An, Q.; Xiao, Z. N-doped porous carbon with ZIF-67-derived CoFe2O4-Fe particles for supercapacitors. J. Colloid Interface Sci. 2024, 674, 735–744. [Google Scholar] [CrossRef]
- Yang, L.; Heng, Y.; Sun, J.; Hu, D.; Cheng, F. A cleaner lignin-induced 3D porous MXenes hybrid electrode with enlarged voltage and high capacitance retention. J. Clean. Prod. 2024, 450, 141964. [Google Scholar] [CrossRef]
- Han, S.; Li, S.; Zhang, X.; Liu, D.; Guo, S.; Wang, B.; Meng, Q. Enhancing the protective performance of anti-impact, corrosion resistant and flame retardant polyurea coatings using bio-based supramolecular decorated montmorillonite. Constr. Build. Mater. 2024, 435, 136721. [Google Scholar] [CrossRef]
- Han, S.; Li, S.; Liu, D.; Dong, Y.; Gao, Z.; Zhang, Y.; Meng, Q. Enhancing flame retardancy, anti-impact, and corrosive resistance of TPU nanocomposites using surface decoration of α-ZrP. Polym. Compos. 2024, 45, 9209–9223. [Google Scholar] [CrossRef]
- Cao, L.; Fu, Q.; Si, Y.; Ding, B.; Yu, J. Porous materials for sound absorption. Compos. Commun. 2018, 10, 25–35. [Google Scholar] [CrossRef]
- Venegas, R.; Boutin, C. Acoustics of sorptive porous materials. Wave Motion 2017, 68, 162–181. [Google Scholar] [CrossRef]









| 1 wt% | 3 wt% | 5 wt% | 8 wt% | |
|---|---|---|---|---|
| m (g) | 0.24 | 0.10 | 0.07 | 0.046 |
| 3.65 | 5.36 | 9.34 | 7.16 |
| 0.5 A/g | 1 A/g | 3 A/g | 5 A/g | |
|---|---|---|---|---|
| (s) | 35.90 | 12.60 | 2.85 | 1.45 |
Disclaimer/Publisher’s Note: The statements, opinions and data contained in all publications are solely those of the individual author(s) and contributor(s) and not of MDPI and/or the editor(s). MDPI and/or the editor(s) disclaim responsibility for any injury to people or property resulting from any ideas, methods, instructions or products referred to in the content. |
© 2024 by the authors. Licensee MDPI, Basel, Switzerland. This article is an open access article distributed under the terms and conditions of the Creative Commons Attribution (CC BY) license (https://creativecommons.org/licenses/by/4.0/).
Share and Cite
Cui, X.; Guo, M.; Han, S.; Li, S.; Yu, Y.; Zhang, Y.; Meng, Q. Flexible and High-Strength Porous Graphene/Polyurea Composite Film for Multifunctional Applications. Coatings 2024, 14, 1098. https://doi.org/10.3390/coatings14091098
Cui X, Guo M, Han S, Li S, Yu Y, Zhang Y, Meng Q. Flexible and High-Strength Porous Graphene/Polyurea Composite Film for Multifunctional Applications. Coatings. 2024; 14(9):1098. https://doi.org/10.3390/coatings14091098
Chicago/Turabian StyleCui, Xu, Mengying Guo, Sensen Han, Shuangshan Li, Yin Yu, Yanxi Zhang, and Qingshi Meng. 2024. "Flexible and High-Strength Porous Graphene/Polyurea Composite Film for Multifunctional Applications" Coatings 14, no. 9: 1098. https://doi.org/10.3390/coatings14091098
APA StyleCui, X., Guo, M., Han, S., Li, S., Yu, Y., Zhang, Y., & Meng, Q. (2024). Flexible and High-Strength Porous Graphene/Polyurea Composite Film for Multifunctional Applications. Coatings, 14(9), 1098. https://doi.org/10.3390/coatings14091098

