Abstract
This study presents a vanadate-exchanged Zn-Al layered double hydroxide (LDH) coating on a ZX21 Mg alloy (Mg-2.15 wt%Zn-0.97 wt%Ca) by electrodeposition and immersion anion-exchange post-treatment. With the prepared vanadate-exchanged electrodeposited Zn-Al LDH coating, the corrosion resistance of the ZX21 Mg alloy improves with a decrease in the corrosion current density from 62.4 μA/cm2 to 3.32 μA/cm2. The fabricated vanadate-exchanged electrodeposited Zn-Al LDH coating contains complex anions in the interlayers, including mainly nitrate (NO3−), carbonate (CO32−), and different vanadates. The coating not only serves as a physical barrier on the ZX21 Mg alloy but also absorbs chloride ions in the environment through anion exchange and inhibits corrosion with the reduction of the interlayer vanadates. Furthermore, the vanadates can also be released into the damaged area of the coating.
1. Introduction
Magnesium (Mg) alloys are important lightweight materials for various applications owing to their low density and high specific strength [1,2,3,4]. However, due to their high electrochemical activity and poor corrosion resistance, surface modifications of Mg alloys are needed to improve their service life [5]. Commonly employed coatings on Mg alloys serve as physical barriers to protect the underlying alloys [6,7,8,9,10,11]; however, the protectiveness of the coating diminishes when subjected to scratching or when defects are left in the coating during the process. Consequently, alternative coating processes should be explored to protect the Mg alloys with more than just physical barriers.
Layered double hydroxides (LDHs) [12,13] are a class of inorganic compounds capable of exchanging ions with the environment. The general formula of LDHs can be written as [M2+1−xM3+x(OH)2]x+[An−x/n·mH2O]x−, where M2+ is a divalent metal cation, such as Mg2+, Zn2+, Ni2+, Cu2+, etc.; M3+ is a trivalent metal cation, such as Al3+, Cr3+, Fe3+, etc.; An− are the interlayer anions, including but not limited to Cl−, NO3−, CO32−, PO43−, and other inorganic or organic anions; m denotes the number of water molecules in the interlayer; and x is the stoichiometric ratio between M3+ and (M2+ + M3+), typically ranging from 0.2 to 0.33. The LDH crystal structure is analogous to the magnesium hydroxide (Mg(OH)2) brucite structure, with the M3+ ions partially substituting the M2+ ions. The cations are coordinated by six hydroxide (OH−) groups to form octahedral units that construct a shared-edge brucite-like layered structure. However, because of the partial substitution of M2+ by M3+, the layered structure is positively charged. To balance the charge, negatively charged anions and water molecules are incorporated into the interlayers, stabilizing the LDH structure with hydrogen bonds and Coulombic force between layers [12].
Recently, the fabrications of LDH coatings on Mg alloys were explored [14,15,16]. With the unique ion-exchange capability, LDH coatings provide dual protection to the Mg alloys by not only acting as physical barriers but also absorbing aggressive anions, such as chloride (Cl−) ions, in the environment [14]. Various preparation methods for LDH coatings on Mg alloys have been developed to meet different application requirements [15].
Lin et al. [17] prepared Mg-Al LDH coating on an AZ91D Mg alloy by the in situ growth method and reduced the corrosion current density of the AZ91D Mg alloy from 59.4 μA/cm2 to 4.53 μA/cm2. Wang et al. [18] reported that Mg-Al LDH coatings synthesized by the hydrothermal method on an AZ91D Mg alloy also reduced the corrosion current density by an order of magnitude. Although LDH coatings fabricated by the in situ growth and hydrothermal methods can effectively enhance the corrosion resistance of Mg alloys, the main disadvantage of these methods is that the metal cations are provided by the dissolution of the Mg alloy substrate, limiting the selection of metal cations in the LDH coatings. Additionally, these methods are time-consuming and usually need to be operated under high temperatures.
Electrodeposition is an efficient and cost-effective method to fabricate LDH coatings on conductive substrates [19,20,21,22]. The deposition rates and properties of the electrodeposited LDH coating can be controlled by the applied current or potential bias. Also, the electrodeposition method requires short process times and can be conducted at ambient temperature. Yarger et al. [19] successfully prepared Zn-Al LDH coatings on a gold-coated glass substrate and identified an optimal electrodeposition potential of −1.65 V vs. Ag/AgCl at room temperature in a solution composed of 12.5 mM zinc nitrate (Zn(NO3)2) and 7.5 mM aluminum nitrate (Al(NO3)3). Wu et al. [21] used this solution and applied constant potentials on an AZ91D Mg alloy to fabricate Zn-Al LDH coatings. They reported that −1.7 V vs. Ag/AgCl is the optimal electrodeposition potential with the least defect in the coating, and the corrosion current density of the AZ91D Mg alloy was reduced from 42.3 μA/cm2 to 2.12 μA/cm2. He et al. [22] used electrodeposition and immersion anion-exchange processes to prepare vanadate-exchanged Zn-Al LDHs on an AA2024 aluminum alloy and effectively enhanced the corrosion resistance of the aluminum alloy during long-term immersion. However, using a vanadate-exchanged electrodeposited Zn-Al LDH coating on Mg alloys to improve their corrosion resistance is promising but has yet to be proved. Also, the detailed corrosion protection mechanism of a vanadate-exchanged electrodeposited Zn-Al LDH coating on Mg alloys is still unclear and should be studied.
Therefore, this report adopted the electrodeposition and immersion anion-exchange process to fabricate vanadate-exchanged Zn-Al LDH coating on a ZX21 Mg alloy (Mg-2.15 wt%Zn-0.97 wt%Ca), which showed an inferior corrosion resistance in our previous report [23]. This study combines electrochemical measurements and different microstructure characterization techniques to investigate the microstructure of the prepared Zn-Al LDH coatings and the corrosion protection mechanism of the vanadate-exchanged Zn-Al LDH coating on the ZX21 Mg alloy.
2. Materials and Methods
2.1. Fabrications of the Zn-Al LDH Coatings
2.1.1. Electrodeposition of the Zn-Al LDH Coating
The alloy substrate used in this study was a ZX21 Mg alloy (Mg-2.15 wt%Zn-0.97 wt%Ca) cast by Amli Materials Technology, Taiwan. The alloy was cut into plates of 2 cm × 8 cm × 0.5 cm by a low-speed diamond saw. The plates were then ground with silicon carbide sandpapers up to 2500 grit, rinsed with deionized (DI) water, and dried with an air blower. Before the fabrication of the coatings, the plates were taped down to limit the reaction area to 2 cm × 2 cm.
The electrodeposition of the Zn-Al LDH coating was conducted with a three-electrode setup using a Bio-Logic (Seyssinet-Pariset, France) SP-150e potentiostat/galvanostat controlled by EC-Lab. The prepared ZX21 Mg alloy substrate was used as the working electrode (WE), a saturated calomel electrode (SCE) as the reference electrode (RE), and a graphite bar as the counter electrode (CE).
Based on the works by Yarger et al. [19], Wu et al. [21], and He et al. [22], the electrodeposition solution was prepared by dissolving 12.5 mM Zn(NO3)2·6H2O and 7.5 mM Al(NO3)3·9H2O in DI water (pH = 3.8). Different from the potentiostatic mode in the literature [19,21,22], the electrodeposition of the Zn-Al LDH coating in this study was carried out galvanostatically at a constant cathodic current density of 2.2 mA/cm2 for 300 seconds at room temperature. During our initial screening of the electrodeposition process, the electrodeposited Zn-Al LDH coating prepared galvanostatically showed a better corrosion resistance than that prepared potentiostatically. During the galvanostatic electrodeposition, the potential of the ZX21 Mg alloy working electrode is about −1.7 to −1.9 V vs. SCE. After electrodeposition, the sample was rinsed with DI water and dried overnight in a dry cabinet (RH 20–30%). In the following context, the electrodeposited Zn-Al LDH coating before the immersion anion-exchange process was named Zn-Al-NO3 LDHs.
2.1.2. Vanadate-Exchange of the Electrodeposited Zn-Al LDH Coating
The prepared electrodeposited Zn-Al-NO3 LDH coating was used as a template to exchange vanadates into the interlayers of the LDH coating by immersion post-treatment. The anion-exchange solution was a 0.1 M sodium metavanadate (NaVO3) solution (pH adjusted to 12 with NaOH solution) prepared a day before the immersion post-treatment. The pH of the anion-exchange solution was constantly monitored and tuned to ensure an equilibrium was reached in the solution before the immersion post-treatment. The electrodeposited Zn-Al-NO3 LDH coating was immersed in the 0.1 M NaVO3 solution (pH = 12) maintained at 60 °C by a water bath for 1 h. After immersion, the sample was rinsed with DI water and dried overnight in a dry cabinet (RH 20–30%). In the following context, the vanadate-exchanged electrodeposited Zn-Al LDH coating was named Zn-Al-VOx LDHs.
2.2. Microstructure Characterizations of the Zn-Al LDH Coatings
The surface morphology and chemical composition of the Zn-Al LDH coatings were studied by a JEOL (Japan) JSM-7610F field-emission scanning electron microscope (FE-SEM) equipped with an Oxford (UK) X-MaxN 150 energy dispersive X-ray spectroscopy (EDS) detector, which has an energy resolution of 127 eV for the manganese (Mn) Kα line. The SEM images were recorded with an acceleration voltage of 5 kV and a secondary electron (SE) detector, while the EDS spectra were collected with an acceleration voltage of 15 kV.
The functional groups in the Zn-Al LDH coatings were analyzed by a Bruker (USA) VERTEX 80v3.5.3 Fourier-transform infrared (FT-IR) spectrometer with a resolution of 1 cm−1. The FT-IR spectra were recorded in the range of 4000 to 500 cm−1 with a 30° specular reflectance accessory.
The crystal structure of the LDH coatings was analyzed by a Malvern Panalytical (UK) X’Pert X-ray diffractometer (XRD) with a Cu Kα line (wavelength 1.541 Å) in the θ–2θ mode. The scan was performed with a scanning angle (2θ) ranging from 5° to 40° at a scan rate of 4°/min and a step size of 0.02°.
2.3. Corrosion and Electrochemical Measurements
2.3.1. Electrochemical Measurements
To evaluate the improvements in the corrosion resistance of the ZX21 Mg alloy with different Zn-Al LDH coatings, a three-electrode electrochemical setup (WE: coated ZX21 or ZX21 substrate, RE: SCE, CE: graphite bar) was used with a cup holder and an O-ring of 1.56 cm diameter to limit the sample reaction area to 1.91 cm2. The electrochemical measurements were performed with a Bio-Logic (Seyssinet-Pariset, France) SP-150e potentiostat/galvanostat, and the test solution was a 3.5 wt% sodium chloride (NaCl) solution.
After 30 min of immersion in the 3.5 wt% NaCl solution, the anodic and cathodic potentiodynamic polarization curves were collected separately to avoid deviations in the corrosion potentials (Ecorr) from early-stage polarizations. The anodic polarization curve was scanned from 30 mV below OCP to 500 mV above OCP, while the cathodic polarization curve was scanned from 30 mV above OCP to 500 mV below OCP. The scans were performed with a potential step of 1 mV and a scan rate of 1 mV/s. To obtain the corrosion current densities (icorr), Tafel extrapolation was applied to the cathodic polarization curves in the linear region of 100 to 200 mV below Ecorr.
Electrochemical impedance spectroscopy (EIS) measurements were conducted continuously at OCP after various immersion times up to 48 h with a frequency range of 100 kHz to 10 mHz and a perturbation amplitude of 10 mV. The EIS data were fitted with electrochemical equivalent circuits using the Scribner (USA) ZView 2.9c. The electrochemical equivalent circuits used in this study are shown in Figure 1, where different circuits are used to simulate different corrosion behaviors.
Figure 1.
Electrochemical equivalent circuits to fit the EIS data (a) for Zn-Al-VOx LDHs after 1 h immersion and Zn-Al-NO3 LDHs after 1 h and 3 h immersions and (b) for Zn-Al LDHs after long-term immersions and ZX21 Mg alloy substrate.
In these circuits, R1 represents the solution resistance (Rs) between the working and reference electrodes. In Figure 1a, R2 is the resistance of the Zn-Al LDH coating (Rf); CPE1 is a constant phase element, which describes the imperfect capacitive behavior of the coating; R3 is the charge transfer resistance (Rct); and C1 represents the electric double layer capacitance (Cdl). In Figure 1b, the Zn-Al LDH coating or the surface corrosion film on the ZX21 Mg alloy and the interfacial properties are indistinguishable from each other, so they are described together by R2 and CPE1. R4 and L1 represent the low-frequency inductive behavior, which could be related to the dissolution of the Mg alloy substrate [24,25].
2.3.2. Artificial Scratch Tests
The prepared Zn-Al-NO3 LDHs and Zn-Al-VOx LDH coatings were intentionally scratched with a tweezer to mimic the physical damage of the coatings and immersed in the 3.5 wt% NaCl solution for 48 h. After immersion, the samples were rinsed with DI water and transferred to the abovementioned FE-SEM/EDS system to study the morphology and chemical composition around the scratched area.
3. Results
3.1. Microstructure Characterizations of the Zn-Al LDH Coatings
The surface morphologies of the prepared Zn-Al LDH coatings are shown in Figure 2a,b. The electrodeposited Zn-Al-NO3 LDH coating exhibits a needle-like structure (Figure 2a), similar to the observations by He et al. [22]. After the immersion anion-exchange post-treatment, there is no significant surface morphology change for the vanadate-exchanged Zn-Al-VOx LDH coating (Figure 2b). The needle-like structure persists and grows slightly.
Figure 2.
SEM surface morphologies and EDS spectra of (a,c) Zn-Al-NO3 LDHs and (b,d) Zn-Al-VOx LDH coatings.
The chemical compositions of the prepared coatings were analyzed with EDS by selecting the entire area shown in Figure 2a,b, and the EDS spectra of the two coatings are shown in Figure 2c,d. The electrodeposited Zn-Al-NO3 LDH coating (Figure 2c) primarily consists of O, Zn, and Al. The Mg signal comes from the Mg alloy substrate, and the C signal is related to the incorporation of carbonate (CO32−) ions in the Zn-Al LDH coating during coating fabrication processes, which will be further discussed in Section 4.1. For the vanadate-exchanged Zn-Al-VOx LDH coating (Figure 2d), a V signal was detected besides O, Zn, Al, and C, suggesting the possible incorporation of vanadates into the Zn-Al LDH coating by the immersion post-treatment. The decrease in Mg signal after immersion post-treatment suggests the possible thickening of the Zn-Al LDH coating.
The FT-IR spectra of the prepared Zn-Al LDH coatings are shown in Figure 3. For both LDH coatings, there is an absorption band at about 3450 cm−1, corresponding to the stretching vibration of the hydroxide groups (O-H) in the Zn-Al LDHs [14]. The absorption band at about 3034 cm−1 is attributed to the hydrogen bonds of water (H2O) molecules and vibrations associated with the CO32− ions [20]. The absorption band at about 1640 cm−1 corresponds to the bending vibration of the H2O molecules [26]. The absorption peaks at 729 and 547 correspond to the bonding between the metal cations and hydroxide ions (M-OH) [20].
Figure 3.
FT-IR spectra of Zn-Al-NO3 LDHs and Zn-Al-VOx LDH coatings on ZX21 Mg alloy.
For the electrodeposited Zn-Al-NO3 LDH coating (red line), the absorption peak at 1384 cm−1 is related to the stretching vibration of the nitrate (NO3−) ions [26]. Additionally, a shoulder at about 1371 cm−1 corresponds to the CO32− ions, which broadens the NO3− ion absorption peak. After immersion post-treatment (Zn-Al-VOx LDHs, black line), the intensity of the NO3− absorption peak (1384 cm−1) decreases, while the signal of CO32− absorption peak (1371 cm−1) increases. He et al. [22] reported that the absorption peak of vanadates appears at 933 cm−1, but the presence of a broad CO32− absorption peak at about 856 cm−1 [22] in our sample likely overshadows the vanadate absorption peak. The incorporation of the CO32− ions in the samples can be attributed to the coating fabrication processes and will be discussed later (Section 4.1).
To further confirm the exchange of vanadates into the interlayers of the Zn-Al LDHs, an XRD analysis was conducted on the prepared Zn-Al-NO3 LDH and Zn-Al-VOx LDH coatings. From the XRD patterns (Figure 4), diffraction peaks corresponding to the (003) and (006) planes of the Zn-Al LDH structure were observed at around 11.5° and 23°, respectively [19,21,22]. The other diffraction peaks are from the ZX21 Mg alloy substrate. Gaussian fitting was performed on the (003) diffraction peak, and the peak positions and full widths at half maximum (FWHM) are summarized in Table 1. The (003) diffraction peak of the vanadate-exchanged Zn-Al-VOx LDHs shifts toward a smaller angle and broadens compared to the electrodeposited Zn-Al-NO3 LDHs. According to Bragg’s law, the smaller diffraction angle indicates the interlayer spacing of the (003) planes enlarges, which is related to the exchange of larger vanadates with the interlayer NO3− ions. The relationship between the change in the diffraction signals and the anion-exchange process will be discussed in Section 4.1.
Figure 4.
XRD patterns of Zn-Al-NO3 LDHs and Zn-Al-VOx LDH coatings on ZX21 Mg alloy.
Table 1.
Zn-Al LDHs (003) diffraction peak positions and full widths at half maximum (FWHM) of Zn-Al-NO3 LDH and Zn-Al-VOx LDH coatings by Gaussian fitting.
Combining the above results, the prepared Zn-Al LDH coatings in this study, both before and after anion exchange, contain complex anions in the LDHs interlayers, including mainly NO3−, CO32−, and vanadates (for Zn-Al-VOx LDHs). The origin of the complex anions and the forms of vanadates in the interlayers will be further discussed in Section 4.1.
3.2. Electrochemical Measurements
3.2.1. Potentiodynamic Polarization Curves
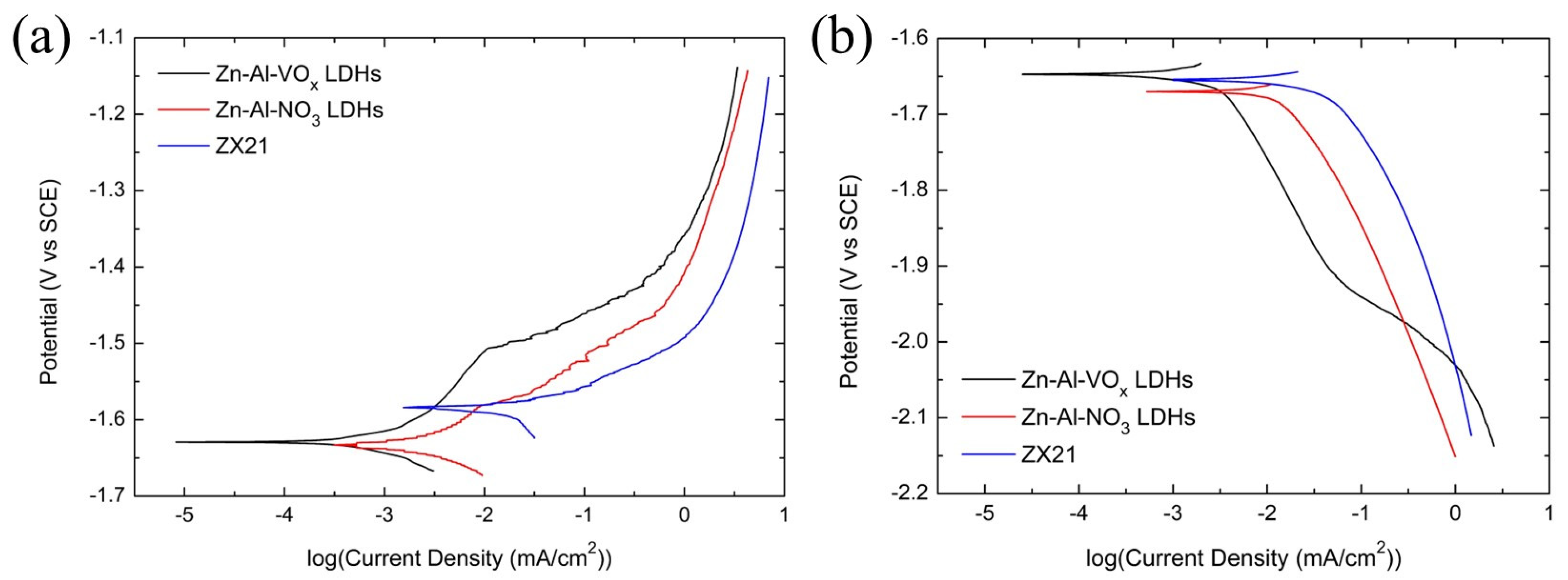
Figure 5 shows the potentiodynamic polarization curves of the Zn-Al LDH-coated ZX21 Mg alloy and ZX21 Mg alloy substrate after 30 min of immersion in the 3.5 wt% NaCl solution. The Zn-Al LDH-coated samples show suppressions in both the anodic and cathodic reaction kinetics compared to the bare ZX21 Mg alloy. Specifically, the Zn-Al-VOx LDHs sample exhibits some distinctive electrochemical behaviors. In Figure 5a, the Zn-Al-VOx LDHs sample shows an apparent passivation region in the anodic branch; while in Figure 5b, an inflection in the current was observed corresponding to a change in the dominant reduction reaction. This current inflection is attributed to the reduction of the interlayer vanadates in the Zn-Al-VOx LDH coating, which will be discussed in Section 4.2.
Figure 5.
(a) Anodic and (b) cathodic polarization curves of Zn-Al LDH-coated ZX21 Mg alloy and ZX21 Mg alloy substrate after 30 min of immersion in 3.5 wt% NaCl solution.
To quantify the corrosion rates of the samples after 30 min of immersion in the 3.5 wt% NaCl solution, corrosion current densities (icorr) were estimated by Tafel extrapolation on the cathodic polarization curves (Figure 5b), and the results are summarized in Table 2. The Zn-Al-VOx LDHs sample shows a corrosion current density (3.32 μA/cm2) over an order of magnitude lower than that of the ZX21 Mg alloy substrate (62.4 μA/cm2), demonstrating an effective corrosion inhibition by the vanadate-exchanged Zn-Al LDH coating.
Table 2.
Corrosion potentials (Ecorr), cathodic Tafel slopes (βc), and corrosion current densities (icorr) obtained by Tafel extrapolation on the cathodic polarization curves (Figure 5b) of the Zn-Al LDH-coated ZX21 Mg alloy and ZX21 Mg alloy substrate after 30 min of immersion in 3.5 wt% NaCl solution.
3.2.2. Electrochemical Impedance Spectroscopy (EIS) Measurements
To evaluate the corrosion behaviors of the Zn-Al LDH-coated ZX21 Mg alloy during long-term immersion, continuous EIS analyses at various immersion times (1, 3, 6, 12, 24, and 48 h) in the 3.5 wt% NaCl solution were performed. The Nyquist plots of the EIS analysis are shown in Figure 6. Because the impedances of the different samples are significantly different, the Nyquist plots were drawn in three different scales to display the data of Zn-Al-VOx LDHs (Figure 6a), Zn-Al-NO3 LDHs (Figure 6b), and ZX21 Mg alloy substrate (Figure 6c), respectively.
Figure 6.
EIS Nyquist plots of (a) Zn-Al-VOx LDHs, (b) Zn-Al-NO3 LDHs, and (c) ZX21 Mg alloy substrate at various immersion times in the 3.5 wt% NaCl solution. In each graph, the impedance data of the other samples are omitted, with only the fitting curves shown for clarity. Detailed EIS fitting results can be found in Table S1 (Supplementary Materials).
For Zn-Al-VOx LDHs after 1-hour immersion and Zn-Al-NO3 LDHs after 1 h and 3 h immersions; an equivalent circuit with two capacitive loops (Figure 1a) was used to fit the EIS data. The double-loop behavior of the Zn-Al-VOx LDHs after 1 h immersion is less evident because the capacitances of the two loops are comparable. For Zn-Al-VOx LDHs and Zn-Al-NO3 LDHs after long-term immersion and the ZX21 Mg alloy substrate, the Nyquist plots exhibit a single capacitive loop with low-frequency data entering the fourth quadrant. Therefore, an equivalent circuit with a single capacitive loop in parallel with a set of inductors and resistors (Figure 1b) was used.
Detailed electrochemical equivalent circuit fitting results can be found in Table S1 (Supplementary Materials). By examining the fitting results, we noticed that the solution resistances (Rs), R1, for the samples are different. The evolutions of the Rs at various immersion times are summarized in Figure 7a. The solution resistances are in the order of Zn-Al-NO3 LDHs > Zn-Al-VOx LDHs > ZX21. According to the literature [27,28], the NO3− ions in the interlayers of Zn-Al LDHs are easy to be replaced by other anions from thermodynamic and kinetic perspectives. Therefore, during immersion, the higher mobility Cl− ions [29] in the NaCl solution were absorbed by the Zn-Al LDH coatings through exchange with the interlayer NO3− ions [21], increasing the solution resistance. But because part of the NO3− ions were already replaced by other anions, such as CO32− and vanadates, during the immersion post-treatment, the increase in solution resistance of the Zn-Al-VOx LDHs is not as significant as the Zn-Al-NO3 LDHs. Besides, Figure 7a shows a decreasing trend in Rs for both Zn-Al LDHs samples during the 48 h immersion, suggesting a possible breakdown of the Zn-Al LDH coatings and re-release of the absorbed Cl− ions back into the solution after long-term immersion. Details about the change in solution resistance and the relationship with different Zn-Al LDH coatings will be further discussed in Section 4.2.
Figure 7.
(a) Solution resistance (Rs) and (b) summation of coating/surface corrosion film resistance and charge transfer resistance (Rf + Rct) evolutions with immersion times in 3.5 wt% NaCl solution of Zn-Al LDH-coated ZX21 Mg alloy and ZX21 Mg alloy substrate. Detailed EIS fitting results can be found in Table S1 (Supplementary Materials).
Since different equivalent circuits were used to fit the EIS data, the evolution of corrosion resistances of different samples with immersion time was compared by summing the coating/surface corrosion film resistance (Rf) and the charge transfer resistance (Rct), i.e., Rf + Rct. For data fitted with the equivalent circuit in Figure 1a, R2 + R3 is used for Rf + Rct; for data fitted with the equivalent circuit in Figure 1b, R2 is used for Rf + Rct. The higher the Rf + Rct, the larger the diameter of the capacitive loop (s), and the better the corrosion resistance of the sample.
The evolutions of the Rf + Rct at various immersion times are summarized in Figure 7b. The Rf + Rct are in the order of Zn-Al-VOx LDHs > Zn-Al-NO3 LDHs > ZX21. Even though the Rf + Rct for both Zn-Al LDH-coated samples decreases substantially with immersion time, indicating possible breakdown of the coatings, the Zn-Al-VOx LDHs sample maintains a Rf + Rct value of 1511 Ω*cm2 after 48 h immersion in 3.5 wt% NaCl solution. In contrast, the Rf + Rct of the Zn-Al-NO3 LDHs and ZX21 Mg alloy substrate are 429 Ω*cm2 and 279 Ω*cm2, respectively. It can be concluded that the vanadate-exchanged electrodeposited Zn-Al-VOx LDH coating improves the corrosion resistance of the ZX21 Mg alloy during long-term immersion.
3.3. Artificial Scratch Tests
Figure 8 shows the SEM surface morphology and EDS analysis of the scratched Zn-Al-VOx LDHs and Zn-Al-NO3 LDHs samples after 48 h of immersion in the 3.5 wt% NaCl solution. In Figure 8a, the Zn-Al-VOx LDH coating does not show apparent morphological change, and the corrosion primarily occurs in the scratched area, resulting in the accumulation of corrosion products. In contrast, Figure 8b shows that the Zn-Al-NO3 LDH coating suffers a severe attack, with fewer corrosion products accumulating in the scratched area. Furthermore, the EDS spectrum (Figure 8c) shows a V signal in the scratched area of the Zn-Al-VOx LDHs sample, while only the signals of O, Mg, and Cl were observed in the scratched area of the Zn-Al-NO3 LDHs sample (Figure 8e). This suggests that during immersion in the NaCl solution, the vanadates in the interlayers of Zn-Al-VOx LDH coating can be released to the damaged area of the coating. Finally, Cl signals were observed in the EDS spectra from both the Zn-Al-VOx LDHs and Zn-Al-NO3 LDH coatings (Figure 8d,f) after 48 h immersion in NaCl solution, supporting that the Zn-Al LDH coatings can absorb the Cl− ions in the solution through anion exchange during immersion tests.
Figure 8.
SEM surface morphologies of the scratched (a) Zn-Al-VOx LDHs and (b) Zn-Al-NO3 LDH coatings after immersion in the 3.5 wt% NaCl solution for 48 h and the EDS spectra from locations (c) 1, (d) 2, (e) 3, and (f) 4 marked in (a,b).
4. Discussion
4.1. Microstructure of the Fabricated Zn-Al LDH Coatings
From the EDS analysis in Figure 2c,d, a C signal was detected for both Zn-Al LDHs samples. Additionally, CO32− signals at 3034, 1371, and 856 cm−1 were observed in the FT-IR spectra (Figure 3) for both samples. This indicates that CO32− ions are present in the LDHs interlayers both before and after the anion-exchange process. Since the fabrication processes in this study, including electrodeposition, anion-exchange immersion, and overnight drying, are all conducted in air, carbon dioxide (CO2) in the atmosphere can dissolve into the solutions or the wet samples and form CO32− ions [30]. According to the DFT calculation by Zhao et al. [28], CO32− ions have a strong binding energy in the LDH interlayers, leading to the incorporation of CO32− ions in the prepared Zn-Al LDH coatings. In the literature [17,20], whether through in situ growth or electrodeposition, treating the solutions with CO2 gas is a common practice to prepare LDH coatings with CO32− ions. In contrast, carbonate-free LDH coatings must be prepared in a closed environment with inert gas-purged solutions [31,32,33].
From the EDS analysis in Figure 2d, a V signal was detected in the vanadate-exchanged Zn-Al-VOx LDH coating, suggesting the possible incorporation of vanadates in the Zn-Al LDH coating with the immersion anion-exchange post-treatment. In the FT-IR analysis (Figure 3), the intensity of NO3− absorption peak at 1384 cm−1 decreases while the CO32− signals at 3034, 1371, and 856 cm−1 increase after the immersion post-treatment. This indicates that the interlayer NO3− ions in the electrodeposited Zn-Al-NO3 LDHs were exchanged with other anions, possibly CO32− ions and vanadates. However, the NO3− absorption peak still exists, implying that the interlayer NO3− ions are not completely replaced. This finding is consistent with the literature [34,35,36,37], which suggests that the interlayer anions in LDHs usually are not completely exchanged during the anion-exchange process.
An LDH structure forms by combining the positively charged brucite-like layered structure with negatively charged anions and water molecules in the interlayers [12]. From the XRD analysis (Figure 4), the Zn-Al LDH structure was not altered after the anion-exchange process, which agrees with the work by Wu et al. [21] and He et al. [22]. However, the interlayer spacing of the LDH structure could change with the exchange of interlayer anions.
Table 1 shows that the Zn-Al LDHs (003) diffraction peak shifts toward a smaller angle after the anion-exchange post-treatment, indicating an enlargement in the LDHs interlayer spacing. Comparing the radii of different anions (NO3− 179 pm vs. CO32− 178 pm vs. metavanadate (VO3−) 182 pm [38]), the exchange of NO3− ions by CO32− or VO3− ions should not result in a significant change in the LDHs interlayer spacing. However, according to the nuclear magnetic resonance (NMR) study by Ralston et al. [39], vanadates in aqueous solutions exist in various forms depending on the solution pH and preparation time. The NaVO3 solution used in this study has a pH of 12 and was prepared a day before the immersion post-treatment to ensure an equilibrium was reached. According to the predominance diagram in [39], the dominant stable vanadates at pH 12 are pyrovanadates (VO3(OH)2− and V2O74−), which are larger than the abovementioned VO3−. Zheludkevich et al. [40,41] employed the hydrothermal method to prepare Zn-Al LDH coatings with vanadates. By XRD analysis, they concluded that the dominant vanadates in the LDHs interlayers are V2O74−. Thus, it is speculated that the larger stable pyrovanadates (VO3(OH)2− and V2O74−) contribute to the enlargement in the Zn-Al LDHs interlayer spacings by exchanging the interlayer NO3− ions in this study.
Moreover, the Zn-Al LDHs (003) diffraction peak also broadens with a larger FWHM after the anion-exchange post-treatment (Table 1). The broadening of the diffraction peak is again related to the presence of complex anions in the Zn-Al LDHs interlayers, and each LDHs interlayer could have different spacings depending on the degree of exchange of NO3− ions by the pyrovanadates.
In summary, the prepared Zn-Al LDH coating in this study contains complex anions in the interlayers. The electrodeposited Zn-Al-NO3 LDH coating contains mainly NO3− and CO32− ions. After the immersion anion-exchange post-treatment, part of the interlayer NO3− ions were replaced by CO32− and different vanadates, and the vanadate-exchanged electrodeposited Zn-Al-VOx LDH coating contains mainly NO3−, CO32−, VO3(OH)2−, and V2O74− ions.
4.2. Corrosion Inhibition of the Vanadate-Exchanged Electrodeposited Zn-Al LDH Coating
From the potentiodynamic polarization curves (Figure 5), the corrosion resistance of the ZX21 Mg alloy improves after being coated with the Zn-Al LDH coatings. Regarding the anodic and cathodic reaction kinetics, the suppressions are more effective for the vanadate-exchanged Zn-Al-VOx LDHs than the Zn-Al-NO3 LDHs. The corrosion inhibition of the vanadate-exchanged Zn-Al-VOx LDH coating comes from a few perspectives.
Apparently, the prepared Zn-Al LDH coatings serve as physical barriers for the ZX21 Mg alloy, preventing the alloy substrate from contacting the corrosive environment. Comparing the EDS spectra of the two Zn-Al LDH coatings (Figure 2c,d), the Mg signal decreases after the immersion post-treatment, suggesting possible thickening of the Zn-Al LDH coating after being immersed in the 0.1 M NaVO3 solution (pH = 12) for 1 h. A reference sample was also prepared by immersing the electrodeposited Zn-Al-NO3 LDHs sample in a 0.01 M sodium hydroxide (NaOH) solution (pH = 12) for 1 h (Zn-Al-OH LDHs), and the electrochemical measurement results are shown in Figure S1 (Supplementary Materials). The corrosion resistance of the Zn-Al-OH LDHs sample, judging from the anodic and cathodic reaction kinetics and the size of the EIS capacitive loops, slightly improves compared to the Zn-Al-NO3 LDHs sample, likely owing to the thickening of the Zn-Al LDH coating. However, the corrosion resistance of the Zn-Al-OH LDHs sample is still inferior to the Zn-Al-VOx LDHs sample, implying that the vanadate-exchanged Zn-Al-VOx LDH coating protects the ZX21 Mg alloy substrate as more than just a physical barrier.
According to the DFT calculation by Zhao et al. [28], the binding energy of NO3− ions in the interlayers of Zn-Al LDHs is relatively weak. Therefore, when nitrate-containing Zn-Al LDH coatings are immersed in the 3.5 wt% NaCl solution, the aggressive Cl− ions in the solution are captured by the LDH coatings through exchange with the interlayer NO3− ions [21], thus increasing the solution resistance (Rs) (Figure 7a). The solution resistance for the Zn-Al-VOx LDHs sample also increases after immersion, but not as significantly as the Zn-Al-NO3 LDHs sample. From the above discussion, part of the interlayer NO3− ions in the Zn-Al-VOx LDHs were already replaced by CO32− and vanadates during the immersion anion-exchange post-treatment. Therefore, fewer NO3− ions are available in the Zn-Al-VOx LDHs sample to exchange with the Cl− ions, leading to a less significant increase in the solution resistance.
Figure 7b shows that the corrosion resistances (by Rf + Rct) of the Zn-Al LDH-coated ZX21 Mg alloys are better than the ZX21 Mg alloy substrate. However, the corrosion resistances of the Zn-Al LDH-coated samples decrease substantially with prolonged immersion in the 3.5 wt% NaCl solution, indicating a possible breakdown of the coatings. The corrosion resistance of the Zn-Al-NO3 LDHs sample after 12 h immersion is close to that of the ZX21 Mg alloy. The breakdown of the Zn-Al LDH coating could be attributed to the absorption of Cl− ions from the solution, which destabilizes the LDH structure. After the breakdown, the absorbed Cl− ions are re-released back into the solution, decreasing the solution resistance (Figure 7a) after long-term immersion. However, as discussed above, the Zn-Al-VOx LDHs sample cannot absorb as many Cl− ions as the Zn-Al-NO3 LDHs sample, leading to better stability of the coating and higher corrosion resistance even after 48 h of immersion in the 3.5 wt% NaCl solution.
Besides coating stability, the vanadate-exchanged Zn-Al-VOx LDH coating offers further corrosion protection to the ZX21 Mg alloy. The cathodic polarization curve of the Zn-Al-VOx LDHs sample in Figure 5b shows an inflection in the current corresponding to a change in the dominant reduction reaction. Iannuzzi [42] immersed pure Mg in a 0.5 M NaCl solution with and without NaVO3 addition and performed cathodic polarization scans. They observed a similar current inflection in the cathodic polarization curves in the solution with NaVO3 addition, and the cathodic reaction kinetics was suppressed under small cathodic polarizations. This indicates that the presence of vanadates permits additional reduction reactions on the Mg alloys besides water reduction. Corrosion-inhibition and the reduction of vanadates were also studied by Feng [43] by immersing AZ31 Mg alloy in a 4 mM NaVO3 solution (pH = 9.2) for 1 h, followed by X-ray photoelectron spectroscopy (XPS) and Raman analyses. XPS analysis revealed that the oxidation of Mg induced the reduction of vanadates, reducing the oxidation state of V from V5+ to the lower states (V3+ and V2+). A Raman analysis further confirmed the presence of V2O3 with V3+ on the AZ31 Mg alloy surface. Accordingly, the vanadates in the prepared Zn-Al-VOx LDH coating in this study, mainly VO3(OH)2− and V2O74− with an oxidation state of V5+, undergo additional reduction reactions and suppress the water reduction reaction, leading to a substantial decrease in the corrosion current density (3.32 μA/cm2 vs. 62.4 μA/cm2 for bare ZX21 Mg alloy). Last but not least, the EDS analysis from the artificial scratch tests (Figure 8c) shows that the vanadates in the interlayers of the Zn-Al-VOx LDH coating can also be released to the damaged area of the coating, potentially inhibiting the corrosion reaction there.
Based on the above discussion, the prepared vanadate-exchanged electrodeposited Zn-Al-VOx LDH coating effectively improves the corrosion resistance of the ZX21 Mg alloy by serving not only as a physical barrier but also absorbing Cl− ions in the solution and inhibiting corrosion with the reduction of interlayer vanadates. The Zn-Al-VOx LDH coating could also potentially serve as a nanocontainer [44] that gradually releases the corrosion-inhibiting vanadates [43] to the environment for better long-term protection. Further investigation is needed to prove this concept.
5. Conclusions
This study fabricates a vanadate-exchanged electrodeposited Zn-Al-VOx LDH coating on a ZX21 Mg alloy to improve its corrosion resistance. The microstructure of the prepared Zn-Al LDH coatings and the corrosion protection offered by the Zn-Al-VOx LDH coating were investigated by electrochemical measurements and microstructure characterizations. The main findings are summarized as follows:
- The fabricated vanadate-exchanged electrodeposited Zn-Al-VOx LDH coating contains complex ions in the interlayers, mainly NO3−, CO32−, and different vanadates (dominated by VO3(OH)2− and V2O74−). The vanadates in the interlayers play important roles in the corrosion inhibition of the ZX21 Mg alloy.
- The corrosion current density of the ZX21 Mg alloy decreases from 62.4 μA/cm2 to 3.32 μA/cm2 with the vanadate-exchanged electrodeposited Zn-Al-VOx LDH coating. The Zn-Al-VOx LDH coating not only serves as a physical barrier but also absorbs Cl− ions in the environment and inhibits corrosion with the reduction of the interlayer vanadates. Furthermore, the vanadates in the LDH coating can also be released to the damaged area of the coating.
Supplementary Materials
The following supporting information can be downloaded at: https://www.mdpi.com/article/10.3390/coatings14081047/s1, Table S1: Electrochemical equivalent circuit fitting results of the EIS analysis for Zn-Al LDH coatings and ZX21 Mg alloy at various immersion times in 3.5 wt% NaCl aqueous solution; Figure S1: (a) Anodic and (b) cathodic polarization curves of Zn-Al LDH-coated ZX21 Mg alloy and ZX21 Mg alloy substrate after 30 min of immersion in 3.5 wt% NaCl solution with Zn-Al-OH LDHs sample added for comparison. (c) EIS Nyquist plots of Zn-Al-OH LDHs at various immersion times in the 3.5 wt% NaCl solution. The impedance data of other samples are omitted, with only the fitting curves shown for clarity.
Author Contributions
W.-L.H.: conceptualization, data curation, formal analysis, investigation, methodology, and writing—original draft. P.-W.C.: conceptualization, funding acquisition, investigation, methodology, supervision, validation, and writing—review and editing. All authors have read and agreed to the published version of the manuscript.
Funding
This work was supported by the Ministry of Science and Technology, Taiwan, grant number 109-2222-E-007-002-MY2, and by the National Science and Technology Council, Taiwan, grant number 111-2221-E-007-094-, 111-2119-M-002-020-MBK, and 112-2119-M-492-002-MBK.
Institutional Review Board Statement
Not applicable.
Informed Consent Statement
Not applicable.
Data Availability Statement
Data are contained within this article.
Acknowledgments
The authors would like to thank Chih-Hao Lee at National Tsing Hua University for using the X-ray diffractometer. The SEM and FT-IR used in this study are in the Instrumentation Center at National Tsing Hua University.
Conflicts of Interest
The authors declare no conflicts of interest.
References
- Avedesian, M.M.; Baker, H. Magnesium and Magnesium Alloys; ASM International: Park, OH, USA, 1999. [Google Scholar]
- Kainer, K.U. Magnesium Alloys and Their Applications; Wiley-VCH: Weinheim, Germany, 2000. [Google Scholar]
- Friedrich, H.E.; Mordike, B.L. Magnesium Technology; Springer: Berlin/Heidelberg, Germany, 2006; Volume 212. [Google Scholar]
- Xu, T.C.; Yang, Y.; Peng, X.D.; Song, J.F.; Pan, F.S. Overview of Advancement and Development Trend on Magnesium Alloy. J. Magnes. Alloys 2019, 7, 536–544. [Google Scholar] [CrossRef]
- Gray, J.E.; Luan, B. Protective Coatings on Magnesium and Its Alloys—A Critical Review. J. Alloys Compd. 2002, 336, 88–113. [Google Scholar] [CrossRef]
- Sathiyanarayanan, S.; Azim, S.S.; Venkatachari, G. Corrosion Protection of Magnesium ZM21 Alloy with Polyaniline–TiO2 Composite Containing Coatings. Prog. Org. Coat. 2007, 59, 291–296. [Google Scholar] [CrossRef]
- Hu, J.; Li, Q.; Zhong, X.; Zhang, L.; Chen, B. Composite Anticorrosion Coatings for AZ91D Magnesium Alloy with Molybdate Conversion Coating and Silicon Sol–Gel Coatings. Prog. Org. Coat. 2009, 66, 199–205. [Google Scholar] [CrossRef]
- Yu, L.; Cao, J.; Cheng, Y. An Improvement of the Wear and Corrosion Resistances of AZ31 Magnesium Alloy by Plasma Electrolytic Oxidation in a Silicate–Hexametaphosphate Electrolyte with the Suspension of SiC Nanoparticles. Surf. Coat. Technol. 2015, 276, 266–278. [Google Scholar] [CrossRef]
- Yuan, J.; Yuan, R.; Wang, J.; Li, Q.; Xing, X.; Liu, X.; Hu, W. Fabrication and Corrosion Resistance of Phosphate/ZnO Multilayer Protective Coating on Magnesium Alloy. Surf. Coat. Technol. 2018, 352, 74–83. [Google Scholar] [CrossRef]
- Ashassi-Sorkhabi, H.; Moradi-Alavian, S.; Kazempour, A. Salt-Nanoparticle Systems Incorporated into Sol-Gel Coatings for Corrosion Protection of AZ91 Magnesium Alloy. Prog. Org. Coat. 2019, 135, 475–482. [Google Scholar] [CrossRef]
- Mashtalyar, D.V.; Nadaraia, K.V.; Belov, E.A.; Imshinetskiy, I.M.; Sinebrukhov, S.L.; Gnedenkov, S.V. Features of Composite Layers Created Using An Aqueous Suspension of A Fluoropolymer. Polymers 2022, 14, 4667. [Google Scholar] [CrossRef] [PubMed]
- Evans, D.G.; Slade, R.C.T. Structural Aspects of Layered Double Hydroxides. In Layered Double Hydroxides; Duan, X., Evans, D.G., Eds.; Structure and Bonding; Springer: Berlin/Heidelberg, Germany, 2006; Volume 119, pp. 1–87. [Google Scholar] [CrossRef]
- Goh, K.H.; Lim, T.T.; Dong, Z. Application of Layered Double Hydroxides for Removal of Oxyanions: A Review. Water Res. 2008, 42, 1343–1368. [Google Scholar] [CrossRef] [PubMed]
- Zhou, M.; Yan, L.C.; Ling, H.; Diao, Y.P.; Pang, X.L.; Wang, Y.L.; Gao, K.W. Design and Fabrication of Enhanced Corrosion Resistance Zn-Al Layered Double Hydroxides Films Based Anion-Exchange Mechanism on Magnesium Alloys. Appl. Surf. Sci. 2017, 404, 246–253. [Google Scholar] [CrossRef]
- Guo, L.; Wu, W.; Zhou, Y.F.; Zhang, F.; Zeng, R.C.; Zeng, J.M. Layered Double Hydroxide Coatings on Magnesium Alloys: A Review. J. Mater. Sci. Technol. 2018, 34, 1455–1466. [Google Scholar] [CrossRef]
- Kasneryk, V.; Serdechnova, M.; Blawert, C.; Zheludkevich, M.L. LDH Has Been Grown: What Is Next? Overview on Methods of Post-Treatment of LDH Conversion Coatings. Appl. Clay Sci. 2023, 232, 106774. [Google Scholar] [CrossRef]
- Lin, J.K.; Uan, J.Y. Formation of Mg,Al-Hydrotalcite Conversion Coating on Mg Alloy in Aqueous HCO3−/CO32− and Corresponding Protection against Corrosion by the Coating. Corros. Sci. 2009, 51, 1181–1188. [Google Scholar] [CrossRef]
- Wang, L.D.; Zhang, K.Y.; Sun, W.; Wu, T.T.; He, H.R.; Liu, G.C. Hydrothermal Synthesis of Corrosion Resistant Hydrotalcite Conversion Coating on AZ91D Alloy. Mater. Lett. 2013, 106, 111–114. [Google Scholar] [CrossRef]
- Yarger, M.S.; Steinmiller, E.M.P.; Choi, K.S. Electrochemical Synthesis of Zn-Al Layered Double Hydroxide (LDH) Films. Inorg. Chem. 2008, 47, 5859–5865. [Google Scholar] [CrossRef]
- Syu, J.H.; Uan, J.Y.; Lin, M.C.; Lin, Z.Y. Optically Transparent Li-Al-CO3 Layered Double Hydroxide Thin Films on An AZ31 Mg Alloy Formed by Electrochemical Deposition and Their Corrosion Resistance in a Dilute Chloride Environment. Corros. Sci. 2013, 68, 238–248. [Google Scholar] [CrossRef]
- Wu, F.X.; Liang, J.; Peng, Z.J.; Liu, B.X. Electrochemical Deposition and Characterization of Zn-Al Layered Double Hydroxides (LDHs) Films on Magnesium Alloy. Appl. Surf. Sci. 2014, 313, 834–840. [Google Scholar] [CrossRef]
- He, Q.Q.; Zhou, M.J.; Hu, J.M. Electrodeposited Zn-Al Layered Double Hydroxide Films for Corrosion Protection of Aluminum Alloys. Electrochim. Acta 2020, 355, 136796. [Google Scholar] [CrossRef]
- Chu, P.W.; Fan, C.W.; Yang, C.H. Corrosion Behavior and Microstructure of the Surface Corrosion Film of Biodegradable WE43 and ZX21 Mg Alloys in Hanks’ Balanced Salt Solution. Mater. Chem. Phys. 2024, 312, 128609. [Google Scholar] [CrossRef]
- Feliu, S.F. Electrochemical Impedance Spectroscopy for the Measurement of the Corrosion Rate of Magnesium Alloys: Brief Review and Challenges. Metals 2020, 10, 775. [Google Scholar] [CrossRef]
- Benbouzid, A.Z.; Gomes, M.P.; Costa, I.; Gharbi, O.; Pébère, N.; Rossi, J.L.; Tran, M.T.T.; Tribollet, B.; Turmine, M.; Vivier, V. A New Look on the Corrosion Mechanism of Magnesium: An EIS Investigation at Different pH. Corros. Sci. 2022, 205, 110463–110474. [Google Scholar] [CrossRef]
- Tang, Y.; Wu, F.; Fang, L.; Guan, T.; Hu, J.; Zhang, S.F. A Comparative Study and Optimization of Corrosion Resistance of ZnAl Layered Double Hydroxides Films Intercalated with Different Anions on AZ31 Mg Alloys. Surf. Coat. Technol. 2019, 358, 594–603. [Google Scholar] [CrossRef]
- Miyata, S. Anion-Exchange Properties of Hydrotalcite-Like Compounds. Clays Clay Miner. 1983, 31, 305–311. [Google Scholar] [CrossRef]
- Zhao, X.J.; Zhu, Y.Q.; Xu, S.M.; Liu, H.M.; Yin, P.; Feng, Y.L.; Yan, H. Anion Exchange Behavior of (MAl)-Al-II Layered Double Hydroxides: A Molecular Dynamics and DFT Study. Phys. Chem. Chem. Phys. 2020, 22, 19758–19768. [Google Scholar] [CrossRef] [PubMed]
- Jaffrezic-Renault, N.; Dzyadevych, S.V. Conductometric Microbiosensors for Environmental Monitoring. Sensors 2008, 8, 2569–2588. [Google Scholar] [CrossRef] [PubMed]
- Mitchell, M.J.; Jensen, O.E.; Cliffe, K.A.; Maroto-Valer, M.M. A Model of Carbon Dioxide Dissolution and Mineral Carbonation Kinetics. Proc. R. Soc. A-Math. Phys. Eng. Sci. 2010, 466, 1265–1290. [Google Scholar] [CrossRef]
- Wijitwongwan, R.; Intasa-Ard, S.; Ogawa, M. Preparation of Layered Double Hydroxides toward Precisely Designed Hierarchical Organization. ChemEngineering 2019, 3, 68. [Google Scholar] [CrossRef]
- Jang, W.; Yoon, S.; Song, J.; Kim, J.; An, K.; Cho, S. Selective Phase Transformation of Layered Double Hydroxides into Mixed Metal Oxides for Catalytic CO Oxidation. Cell Rep. Phys. Sci. 2021, 2, 100628. [Google Scholar] [CrossRef]
- El Khanchaoui, A.; Sajieddine, M.; Ounacer, M.; Fnidiki, A.; Richomme, F.; Juraszek, J.; Mansori, M.; Dib, M.; Essoumhi, A. Structural, Morphological, and Magnetic Studies of Spinel Ferrites Derived from Layered Double Hydroxides. Appl. Phys. A-Mater. Sci. Process. 2022, 128, 406. [Google Scholar] [CrossRef]
- Alibakhshi, E.; Ghasemi, E.; Mahdavian, M.; Ramezanzadeh, B.; Farashi, S. Fabrication and Characterization of PO43− Intercalated Zn-Al-Layered Double Hydroxide Nanocontainer. J. Electrochem. Soc. 2016, 163, C495–C505. [Google Scholar] [CrossRef]
- Cao, Y.H.; Zheng, D.J.; Dong, S.G.; Zhang, F.; Lin, J.Y.; Wang, C.; Lin, C.J. A Composite Corrosion Inhibitor of MgAl Layered Double Hydroxides Co-Intercalated with Hydroxide and Organic Anions for Carbon Steel in Simulated Carbonated Concrete Pore Solutions. J. Electrochem. Soc. 2019, 166, C3106–C3113. [Google Scholar] [CrossRef]
- Iuzviuk, M.H.; Bouali, A.C.; Serdechnova, M.; Yasakau, K.A.; Wieland, D.C.F.; Dovzhenko, G.; Mikhailau, A.; Blawert, C.; Zobkalo, I.A.; Ferreira, M.G.S.; et al. In Situ Kinetics Studies of Zn-Al LDH Intercalation with Corrosion Related Species. Phys. Chem. Chem. Phys. 2020, 22, 17574–17586. [Google Scholar] [CrossRef]
- Roy, A.S.; Pillai, S.K.; Ray, S.S. A Comparison of Nitrate Release from Zn/Al-, Mg/Al-, and Mg-Zn/Al Layered Double Hydroxides and Composite Beads: Utilization as Slow-Release Fertilizers. ACS Omega 2023, 8, 8427–8440. [Google Scholar] [CrossRef]
- Jenkins, H.D.B.; Thakur, K.P. Reappraisal of Thermochemical Radii for Complex-Ions. J. Chem. Educ. 1979, 56, 576–577. [Google Scholar] [CrossRef]
- Ralston, K.D.; Chrisanti, S.; Young, T.L.; Buchheit, R.G. Corrosion Inhibition of Aluminum Alloy 2024-T3 by Aqueous Vanadium Species. J. Electrochem. Soc. 2008, 155, C350–C359. [Google Scholar] [CrossRef]
- Zheludkevich, M.L.; Poznyak, S.K.; Rodrigues, L.M.; Raps, D.; Hack, T.; Dick, L.F.; Nunes, T.; Ferreira, M.G.S. Active Protection Coatings with Layered Double Hydroxide Nanocontainers of Corrosion Inhibitor. Corros. Sci. 2010, 52, 602–611. [Google Scholar] [CrossRef]
- Salak, A.N.; Tedim, J.; Kuznetsova, A.I.; Ribeiro, J.L.; Vieira, L.G.; Zheludkevich, M.L.; Ferreira, M.G.S. Comparative X-ray Diffraction and Infrared Spectroscopy Study of Zn-Al Layered Double Hydroxides: Vanadate vs. Nitrate. Chem. Phys. 2012, 397, 102–108. [Google Scholar] [CrossRef]
- Iannuzzi, M.; Frankel, G.S. Mechanisms of Corrosion Inhibition of AA2024-T3 by Vanadates. Corros. Sci. 2007, 49, 2371–2391. [Google Scholar] [CrossRef]
- Feng, Z. Corrosion Inhibition Study of AZ31 Mg Alloy by Vanadate, Selenite and Phosphate; The Ohio State University: Columbus, OH, USA, 2019. [Google Scholar]
- Kuznetsov, B.; Serdechnova, M.; Tedim, J.; Starykevich, M.; Kallip, S.; Oliveira, M.P.; Hack, T.; Nixon, S.; Ferreira, M.G.S.; Zheludkevich, M.L. Sealing of Tartaric Sulfuric (TSA) Anodized AA2024 with Nanostructured LDH Layers. RSC Adv. 2016, 6, 13942–13952. [Google Scholar] [CrossRef]
Disclaimer/Publisher’s Note: The statements, opinions and data contained in all publications are solely those of the individual author(s) and contributor(s) and not of MDPI and/or the editor(s). MDPI and/or the editor(s) disclaim responsibility for any injury to people or property resulting from any ideas, methods, instructions or products referred to in the content. |
© 2024 by the authors. Licensee MDPI, Basel, Switzerland. This article is an open access article distributed under the terms and conditions of the Creative Commons Attribution (CC BY) license (https://creativecommons.org/licenses/by/4.0/).







