A3B Zn(II)-Porphyrin-Coated Carbon Electrodes Obtained Using Different Procedures and Tested for Water Electrolysis
Abstract
1. Introduction
2. Materials and Methods
2.1. Materials and Reagents
2.2. Procedures for Manufacturing the Electrodes
2.3. Electrochemical Study
2.4. Electron Microscopy Characterization
2.5. Raman Spectroscopy and XRD Characterizations
3. Results and Discussion
3.1. TEM/STEM Morphological Analysis
3.2. Water-Splitting Experiments on the ZnPyTPPP-Based Electrodes Obtained with the First Procedure
3.3. SEM and Raman Characterizations of the GPZn-DMSO Electrode
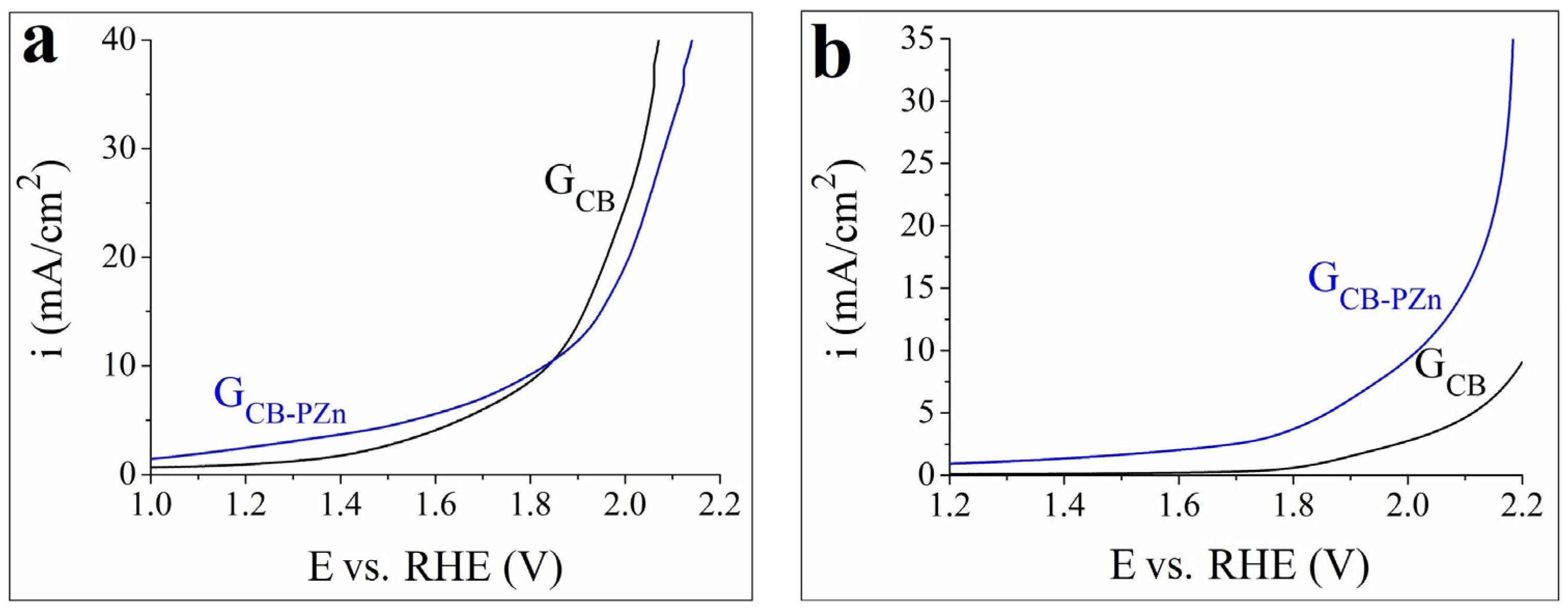
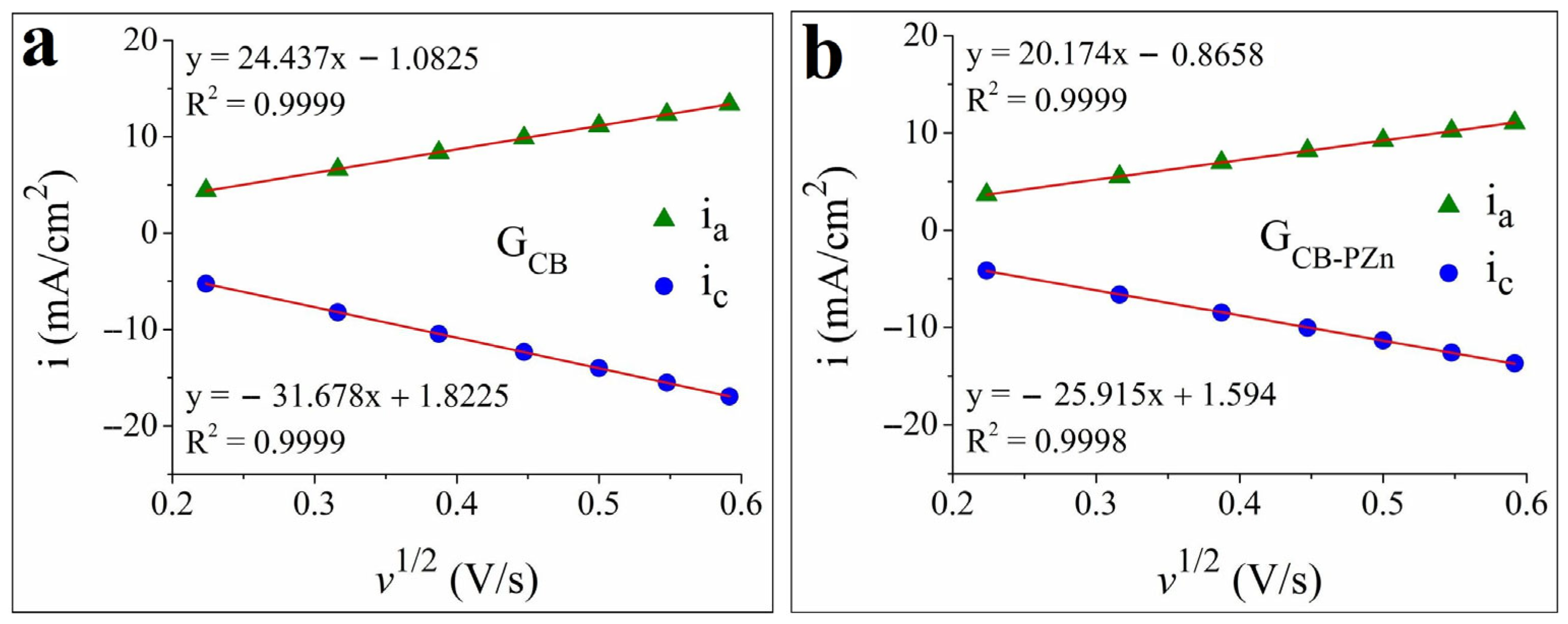
3.4. Water-Splitting Experiments on the ZnPyTPPP-Based Electrode Obtained with the Second Procedure
3.5. SEM and Raman Characterizations of the GCB-PZn Electrode
3.6. Additional Remarks Focusing on the Water-Splitting Electrocatalytic Activity of GPZn-DMSO and GCB-PZn
4. Conclusions
Supplementary Materials
Author Contributions
Funding
Institutional Review Board Statement
Informed Consent Statement
Data Availability Statement
Acknowledgments
Conflicts of Interest
References
- Zhang, L.; Jia, C.; Bai, F.; Wang, W.; An, S.; Zhao, K.; Li, Z.; Li, J.; Sun, H. A Comprehensive Review of the Promising Clean Energy Carrier: Hydrogen Production, Transportation, Storage, and Utilization (HPTSU) Technologies. Fuel 2024, 355, 129455. [Google Scholar] [CrossRef]
- Aziz, S.K.T.; Awasthi, M.; Guria, S.; Umekar, M.; Karajagi, I.; Riyajuddin, S.K.; Siddhartha, K.V.R.; Saini, A.; Potbhare, A.; Chaudhary, R.G.; et al. Electrochemical Water Splitting by a Bidirectional Electrocatalyst. STAR Protoc. 2023, 4, 102448. [Google Scholar] [CrossRef] [PubMed]
- Alex, A.; Petrone, R.; Tala-Ighil, B.; Bozalakov, D.; Vandevelde, L.; Gualous, H. Optimal Techno-Enviro-Economic Analysis of a Hybrid Grid Connected Tidal-Wind-Hydrogen Energy System. Int. J. Hydrogen Energy 2022, 47, 36448–36464. [Google Scholar] [CrossRef]
- Solanki, R.; Patra, I.; Ahmad, N.; Kumar, N.B.; Parra, R.M.R.; Zaidi, M.; Yasin, G.; Anil Kumar, T.C.; Hussein, H.A.; Sivaraman, R.; et al. Investigation of Recent Progress in Metal-Based Materials as Catalysts toward Electrochemical Water Splitting. J. Environ. Chem. Eng. 2022, 10, 108207. [Google Scholar] [CrossRef]
- Van der Zalm, J.M.; Quintal, J.; Hira, S.A.; Chen, S.; Chen, A. Recent Trends in Electrochemical Catalyst Design for Hydrogen Evolution, Oxygen Evolution, and Overall Water Splitting. Electrochim. Acta 2023, 439, 141715. [Google Scholar] [CrossRef]
- Suryanto, B.H.R.; Wang, Y.; Hocking, R.K.; Adamson, W.; Zhao, C. Overall Electrochemical Splitting of Water at the Heterogeneous Interface of Nickel and Iron Oxide. Nat. Commun. 2019, 10, 5599. [Google Scholar] [CrossRef] [PubMed]
- Sen, R.; Das, S.; Nath, A.; Maharana, P.; Kar, P.; Verpoort, F.; Liang, P.; Roy, S. Electrocatalytic Water Oxidation: An Overview with an Example of Translation from Lab to Market. Front. Chem. 2022, 10, 861604. [Google Scholar] [CrossRef] [PubMed]
- Saad, A.; Gao, Y.; Owusu, K.A.; Liu, W.; Wu, Y.; Ramiere, A.; Guo, H.; Tsiakaras, P.; Cai, X. Ternary Mo2NiB2 as a Superior Bifunctional Electrocatalyst for Overall Water Splitting. Small 2022, 18, 2104303. [Google Scholar] [CrossRef] [PubMed]
- Xu, Y.; Wang, C.; Huang, Y.; Fu, J. Recent Advances in Electrocatalysts for Neutral and Large-current-density Water Electrolysis. Nano Energy 2021, 80, 105545. [Google Scholar] [CrossRef]
- Liang, Q.; Brocks, G.; Bieberle-Hutter, A. Oxygen evolution reaction (OER) mechanism under alkaline and acidic conditions. J. Phys. Energy 2021, 3, 026001. [Google Scholar] [CrossRef]
- Tian, L.; Li, Z.; Song, M.; Li, J. Recent Progress in Water-splitting Electrocatalysis Mediated by 2D Noble Metal Materials. Nanoscale 2021, 13, 12088–12101. [Google Scholar] [CrossRef]
- Chakraborty, B.; Beltrán-Suito, R.; Hausmann, J.N.; Garai, S.; Driess, M.; Menezes, P.W. Enabling Iron-Based Highly Effective Electrochemical Water-Splitting and Selective Oxygenation of Organic Substrates Through in Situ Surface Modification of Intermetallic Iron Stannide Precatalyst. Adv. Energy Mater. 2020, 10, 2001377. [Google Scholar] [CrossRef]
- Muzammil, A.; Haider, R.; Wei, W.; Wan, Y.; Ishaq, M.; Zahid, M.; Yaseen, W.; Yuan, X. Emerging Transition Metal and Carbon Nanomaterial Hybrids as Electrocatalysts for Water Splitting: A brief review. Mater. Horiz. 2023, 10, 2764–2799. [Google Scholar] [CrossRef]
- Quílez-Bermejo, J.; García-Dalí, S.; Karthik, R.; Canevesi, R.; Izquierdo, M.T.; Emo, M.; Celzard, A.; Fierro, V. Zinc Doping Enhances the Electrocatalytic Properties of Cobalt Borides for the Hydrogen Evolution Reaction. Front. Energy Res. 2022, 10, 901395. [Google Scholar] [CrossRef]
- Sofianos, V.M.; Lee, J.; Silvester, D.S.; Samanta, P.K.; Paskevicius, M.; English, N.J.; Buckley, C.E. Diverse Morphologies of Zinc Oxide Nanoparticles and their Electrocatalytic Performance in Hydrogen Production. J. Energy Chem. 2021, 56, 162–170. [Google Scholar] [CrossRef]
- Taranu, B.O.; Fagadar-Cosma, E. The pH Influence on the Water-splitting Electrocatalytic Activity of Graphite Electrodes Modified with Symmetrically Substituted Metalloporphyrins. Nanomaterials 2022, 12, 3788. [Google Scholar] [CrossRef]
- Seo, S.; Lee, K.; Min, M.; Cho, Y.; Kim, M.; Lee, H. A Molecular Approach to an Electrocatalytic Hydrogen Evolution Reaction on Single-layer Graphene. Nanoscale 2017, 9, 3969–3979. [Google Scholar] [CrossRef]
- Fagadar-Cosma, E.; Vlascici, D.; Fagadar-Cosma, G. Porfirinele de la Sinteză la Aplicații; Eurostampa: Timisoara, Romania, 2008; ISBN 978-973-687-680-6. [Google Scholar]
- Vicente, M.G.H.; Smith, K.M. Syntheses and Functionalizations of Porphyrin Macrocycles. Curr. Org. Synth. 2014, 11, 3–28. [Google Scholar] [CrossRef]
- Qian, W.; González-Campo, A.; Pérez-Rodríguez, A.; Rodríguez-Hermida, S.; Imaz, I.; Wurst, K.; Maspoch, D.; Ruiz, E.; Ocal, C.; Barrena, E.; et al. Boosting Self-Assembly Diversity in the Solid-State by Chiral/Non-chiral ZnII-Porphyrin Crystallization. Chem.-Eur. J. 2018, 24, 12950–12960. [Google Scholar] [CrossRef] [PubMed]
- Taranu, B.O.; Fagadar-Cosma, E. Catalytic Properties of Free-base Porphyrin Modified Graphite Electrodes for Electrochemical Water Splitting in Alkaline Medium. Processes 2022, 10, 611. [Google Scholar] [CrossRef]
- Shi, Y.; Zhang, F.; Linhardt, R.J. Porphyrin-Based Compounds and Their Applications in Materials and Medicine. Dyes Pigments 2021, 188, 109136. [Google Scholar] [CrossRef]
- Yao, B.; He, Y.; Wang, S.; Sun, H.; Liu, X. Recent Advances in Porphyrin-Based Systems for Electrochemical Oxygen Evolution Reaction. Int. J. Mol. Sci. 2022, 23, 6036. [Google Scholar] [CrossRef]
- Kellett, R.M.; Spiro, T.G. Cobalt(I) Porphyrin Catalysis of Hydrogen Production from Water. Inorg. Chem. 1985, 24, 2373–2377. [Google Scholar] [CrossRef]
- Fratilescu, I.; Lascu, A.; Taranu, B.O.; Epuran, C.; Birdeanu, M.; Macsim, A.-M.; Tanasa, E.; Vasile, E.; Fagadar-Cosma, E. One A3B Porphyrin Structure—Three Successful Applications. Nanomaterials 2022, 12, 1930. [Google Scholar] [CrossRef]
- Ge, Y.; Lyu, Z.; Marcos-Hernández, M.; Villagrán, D. Free-Base Porphyrin Polymer for Bifunctional Electrochemical Water Splitting. Chem. Sci. 2022, 13, 8597–8604. [Google Scholar] [CrossRef]
- Chang, J.; Lv, Q.; Li, G.; Ge, J.; Liu, C.; Xing, W. Core-Shell Structured Ni12P5/Ni3(PO4)2 Hollow Spheres as Difunctional and Efficient Electrocatalysts for Overall Water Electrolysis. Appl. Catal. B Environ. 2017, 204, 486–496. [Google Scholar] [CrossRef]
- Sakamaki, A.; Yoshida-Hirahara, M.; Ogihara, H.; Kurokawa, H. One-Step Synthesis of Highly Active NiFe Electrocatalysts for the Oxygen Evolution Reaction. Langmuir 2022, 38, 5525–5531. [Google Scholar] [CrossRef]
- Karki, S.B.; Andriotis, A.N.; Menon, M.; Ramezanipour, F. Bifunctional Water-Splitting Electrocatalysis Achieved by Defect Order in LaA2Fe3O8 (A = Ca, Sr). ACS Appl. Energy Mater. 2021, 4, 12063–12066. [Google Scholar] [CrossRef]
- Morales Vásquez, M.A.; Suárez, S.A.; Doctorovich, F. Gold and Silver Anchored Cobalt Porphyrins Used for Catalytic Water Splitting. Mater. Chem. Phys. 2015, 159, 159–166. [Google Scholar] [CrossRef]
- Fagadar-Cosma, E.; Fagadar-Cosma, G.; Vasile, M.; Enache, C. Synthesis, Spectroscopic and Self-assembling Characterization of Novel Photoactive Mixed Aryl-substituted Porphyrin. Curr. Org. Chem. 2012, 16, 931–941. [Google Scholar] [CrossRef]
- Palade, A. Cromofori de Tip Porfirine si Complecsii lor cu Metale Tranzitionale. Elaborarea de Noi Senzori cu Aplicabilitate in Medicina, Chimie si Chimia Mediului. Ph.D. Thesis, Institute of Chemistry Timisoara of Romanian Academy, Timisoara, Romania, 27 October 2017. [Google Scholar]
- Lascu, A.; Birdeanu, M.; Fringu, I.; Palade, A.; Bîrdeanu, A.V.; Vaida, M.; Fagadar-Cosma, E. Comparative Optical Study of the Effect Produced by Amine Heterocycles as Axial Ligands for Zn-Porphyrin. In Proceedings of the 9th International Conference on Nanomaterials-Research & Application, Brno, Czech Republic, 18–20 October 2017; pp. 410–415, ISBN 978-80-87294-81-9. [Google Scholar]
- Snyder, L.R.; Kirkland, J.J.; Glajch, J.L. Practical HPLC Method Development, 2nd ed.; John Wiley & Sons, Inc.: Hoboken, NJ, USA, 1997; Volume 3, pp. 721–728. ISBN 978-0-471-00703-6. [Google Scholar]
- Li, G.; Wang, B.; Resasco, D.E. Solvent Effects on Catalytic Reactions and Related Phenomena at Liquid-Solid Interfaces. Surf. Sci. Rep. 2021, 76, 100541. [Google Scholar] [CrossRef]
- Garain, S.; Van, C.D.; Choi, S.; Dang, T.N.; Ager, J.W.; Nam, K.T.; Shin, H.; Lee, M.H. Hierarchical Thiospinel NiCo2S4/Polyaniline Hybrid Nanostructures as a Bifunctional Electrocatalyst for Highly Efficient and Durable Overall Water Splitting. Adv. Mater. Interfaces 2022, 9, 2200649. [Google Scholar] [CrossRef]
- Bilal, M.; Altaf, A.; Bint-E-Khalid, E.; Zafar, H.K.; Tahir, N.; Nafady, A.; Wahab, A.; Shah, S.S.A.; Najam, T.; Sohail, M. NiCo2O4 Nano-Needles as an Efficient Electro-Catalyst for Simultaneous Water Splitting and Dye Degradation. RSC Adv. 2023, 13, 23547–23557. [Google Scholar] [CrossRef]
- Raveendran, A.; Chandran, M.; Dhanusuraman, R. A Comprehensive Review on the Electrochemical Parameters and Recent Material Development of Electrochemical Water Splitting Electrocatalysts. RSC Adv. 2023, 13, 3843–3876. [Google Scholar] [CrossRef]
- Theerthagiri, J.; Sudha, R.; Premnath, K.; Arunachalam, P.; Madhavan, J.; Al-Mayouf, A.M. Growth of Iron Diselenide Nanorods on Graphene Oxide Nanosheets as Advanced Electrocatalyst for Hydrogen Evolution Reaction. Int. J. Hydrogen Energy 2017, 42, 13020–13030. [Google Scholar] [CrossRef]
- Ilinoiu, E.C.; Manea, F.; Serra, P.A.; Pode, R. Simultaneous/Selective Detection of Dopamine and Ascorbic Acid at Synthetic Zeolite-Modified/Graphite-Epoxy Composite Macro/Quasi-Microelectrodes. Sensors 2013, 13, 7296–7307. [Google Scholar] [CrossRef]
- Konopka, S.J.; McDuffie, B. Diffusion Coefficients of Ferri- and Ferrocyanide Ions in Aqueous Media, Using Twin-Electrode Thin-Layer Electrochemistry. Anal. Chem. 1970, 42, 1741–1746. [Google Scholar] [CrossRef]
- Lensen, M.C.; Takazawa, K.; Elemans, J.A.A.W.; Jeukens, C.R.L.P.N.; Christianen, P.C.M.; Maan, J.C.; Rowan, A.E.; Nolte, R.J. Aided Self-Assembly of Porphyrin Nanoaggregates into Ring-Shaped Architectures. Chem.-Eur. J. 2004, 10, 831–839. [Google Scholar] [CrossRef] [PubMed]
- Jeukens, C.R.L.P.N.; Lensen, M.C.; Wijnen, F.J.P.; Elemans, J.A.A.W.; Christianen, P.C.M.; Rowan, A.E.; Gerritsen, J.W.; Nolte, R.J.M.; Maan, J.C. Polarized Absorption and Emission of Ordered Self-Assembled Porphyrin Rings. Nano Lett. 2004, 4, 1401–1406. [Google Scholar] [CrossRef]
- Cosma, E.F.; Lascu, A.; Shova, S.; Zaltariov, M.F.; Birdeanu, M.; Croitor, L.; Balan, A.; Anghel, D.; Stamatin, S. X-Ray Structure Elucidation of a Pt-Metalloporphyrin and Its Application for Obtaining Sensitive AuNps-Plasmonic Hybrids Capable of Detecting Triiodide Anions. Int. J. Mol. Sci. 2019, 20, 710. [Google Scholar] [CrossRef]
- Bahrami, M.; Kraft, S.; Becker, J.; Hartmann, H.; Vogler, B.; Wardelmann, K.; Behle, H.; Elemans, J.A.A.W.; Barke, I.; Speller, S. Correlative Microscopy of Morphology and Luminescence of Cu Porphyrin Aggregates. J. Phys. B At. Mol. Opt. Phys. 2018, 51, 144002. [Google Scholar] [CrossRef]
- Menezes, P.W.; Panda, C.; Loos, S.; Bunschei-Bruns, F.; Walter, C.; Schwarze, M.; Deng, X.; Dau, H.; Driess, M. A Structurally Versatile Nickel Phosphite Acting as a Robust Bifunctional Electrocatalyst for Overall Water Splitting. Energy Environ. Sci. 2018, 11, 1287–1298. [Google Scholar] [CrossRef]
- Mani, V.; Anantharaj, S.; Mishra, S.; Kalaiselvi, N.; Kundu, S. Iron Hydroxyphosphate and Sn-Incorporated Iron Hydroxyphosphate: Efficient and Stable Electrocatalysts for Oxygen Evolution Reaction. Catal. Sci. Technol. 2017, 7, 5092–5104. [Google Scholar] [CrossRef]
- Li, J.; Li, J.; Zhou, X.; Xia, Z.; Gao, W.; Ma, Y.; Qu, Y. Highly Efficient and Robust Nickel Phosphides as Bifunctional Electrocatalysts for Overall Water-Splitting. ACS Appl. Mater. Interfaces 2016, 8, 10826–10834. [Google Scholar] [CrossRef] [PubMed]
- Zhou, Z.; Zaman, W.Q.; Sun, W.; Cao, L.M.; Tariq, M.; Yang, J. Cultivating Crystal Lattice Distortion in IrO2: Via Coupling with MnO2 to Boost the Oxygen Evolution Reaction with High Intrinsic Activity. Chem. Commun. 2018, 54, 4959–4962. [Google Scholar] [CrossRef]
- Shrivastav, V.; Dubey, M.P.; Shrivastav, V.; Kaur, A.; Hołdyński, M.; Krawczyńska, A.; Tiwari, U.K.; Deep, A.; Nogala, W.; Sundriyal, S. Diffusion Controlled Electrochemical Analysis of MoS2 and MOF Derived Metal Oxide–Carbon Hybrids for High Performance Supercapacitors. Sci. Rep. 2023, 13, 20675. [Google Scholar] [CrossRef]
- Taranu, B.-O. Contribuții la Caracterizarea Fizico-Chimică a Porfirinelor. Aplicații în Senzoristică și Coroziune. Ph.D. Thesis, Institute of Chemistry Timisoara of Romanian Academy, Timisoara, Romania, 19 October 2016. [Google Scholar]
- Xu, H.; Wu, P.; Liao, C.; Lv, C.; Gu, Z. Controlling the Morphology and Optoelectronic Properties of Graphene Hybrid Materials by Porphyrin Interactions. ChemComm 2014, 50, 8951–8954. [Google Scholar] [CrossRef]
- Zhao, Y.; Yu, Z.; Ge, A.; Liu, L.; Faria, J.L.; Xu, G.; Zhu, M. Direct Seawater Splitting for Hydrogen Production: Recent Advances in Materials Synthesis and Technological Innovation. Green Energy Environ. 2024; in press. [Google Scholar] [CrossRef]
- Zhang, W.; Lai, W.; Cao, R. Energy-Related Small Molecule Activation Reactions: Oxygen Reduction and Hydrogen and Oxygen Evolution Reactions Catalyzed by Porphyrin- and Corrole-Based Systems. Chem. Rev. 2017, 117, 3717–3797. [Google Scholar] [CrossRef]
- Anantharaj, S.; Aravindan, V. Developments and Perspectives in 3D Transition-Metal-Based Electrocatalysts for Neutral and Near-Neutral Water Electrolysis. Adv. Energy Mater. 2020, 10, 1902666. [Google Scholar] [CrossRef]
- Siwal, S.S.; Yang, W.; Zhang, Q. Recent Progress of Precious-Metal-Free Electrocatalysts for Efficient Water Oxidation in Acidic Media. J. Energy Chem. 2020, 51, 113–133. [Google Scholar] [CrossRef]
- Kano, K.; Minamizono, H.; Kitae, T.; Negi, S. Self-Aggregation of Cationic Porphyrins in Water. Can π-π Stacking Interaction Overcome Electrostatic Repulsive Force? J. Phys. Chem. A 1997, 101, 6118–6124. [Google Scholar] [CrossRef]
- Hiroto, S.; Shinokubo, H.; Osuka, A. Porphyrin Synthesis in Water Provides New Expanded Porphyrins with Direct Bipyrrole Linkages: Isolation and Characterization of Two Heptaphyrins. J. Am. Chem. Soc. 2006, 128, 6568–6569. [Google Scholar] [CrossRef]
- Zhang, Z.; Ma, L.; Fang, F.; Hou, Y.; Lu, C.; Mu, C.; Zhang, Y.; Liu, H.; Gao, K.; Wang, M.; et al. Porphyrin-Based Multicomponent Metallacage: Host−Guest Complexation toward Photooxidation-Triggered Reversible Encapsulation and Release. JACS Au 2022, 2, 1479–1487. [Google Scholar] [CrossRef]
- Fagadar-Cosma, E.; Vlascici, D.; Fagadar-Cosma, G.; Palade, A.; Lascu, A.; Creanga, I.; Birdeanu, M.; Cristescu, R.; Cernica, I. A Sensitive A3B Porphyrin Nanomaterial for CO2 Detection. Molecules 2014, 19, 21239–21252. [Google Scholar] [CrossRef]
- Hiroto, S.; Miyake, Y.; Shinokubo, H. Synthesis and Functionalization of Porphyrins through Organometallic Methodologies. Chem. Rev. 2017, 117, 2910–3043. [Google Scholar] [CrossRef] [PubMed]
- Yan, Y.; Xia, B.Y.; Zhao, B.; Wang, X. A Review on Noble-Metal-Free Bifunctional Heterogeneous Catalysts for Overall Electrochemical Water Splitting. J. Mater. Chem. A 2016, 4, 17587–17603. [Google Scholar] [CrossRef]
- Boshnakova, I.; Lefterova, E.; Slavcheva, E. Investigation of Montmorillonite as Carrier for OER. Int. J. Hydrogen Energy 2018, 43, 16897–16904. [Google Scholar] [CrossRef]
- Lahiri, A.; Li, G.; Endres, F. Highly Efficient Electrocatalytic Hydrogen Evolution Reaction on Carbonized Porous Conducting Polymers. J. Solid State Electrochem. 2020, 24, 2763–2771. [Google Scholar] [CrossRef]
- Mak, C.A.; Pericas, M.A.; Fagadar-Cosma, E. Functionalization of A3B-type porphyrin with Fe3O4 MNPs. Supramolecular Assemblies, Gas Sensor and Catalytic Applications. Catal. Today 2018, 306, 268–275. [Google Scholar] [CrossRef]
- Zhou, S.Q.; Xia, Q.Y.; Kong, L.X.; Ayyanar, K.; Ju, X.H. Theoretical Study of Effects of Anchoring Groups on Photovoltaic Properties of a Triarylamine-Based p-Type Sensitizer. ACS Omega 2020, 5, 23491–23496. [Google Scholar] [CrossRef]
- Han, Y.; Fang, H.; Jing, H.; Sun, H.; Lei, H.; Lai, W.; Cao, R. Singly versus Doubly Reduced Nickel Porphyrins for Proton Reduction: Experimental and Theoretical Evidence for a Homolytic Hydrogen-Evolution Reaction. Angew. Chem.-Int. Ed. 2016, 55, 5457–5462. [Google Scholar] [CrossRef] [PubMed]
- Li, Z.; Zou, J.; Liang, T.; Song, X.; Li, Z.; Wen, J.; Peng, M.; Zeng, X.; Huang, H.; Wu, H. MOF-Derived Ultrasmall Ru@RuO2 Heterostructures as Bifunctional and pH-Universal Electrocatalysts for 0.79 V Asymmetric Amphoteric Overall Water Splitting. Chem. Eng. J. 2023, 460, 141672. [Google Scholar] [CrossRef]
- Ravi, A.; Mulkapuri, S.; Das, S.K. Hydroxylated Polyoxometalate with Cu(II)- and Cu(I)-Aqua Complexes: A Bifunctional Catalyst for Electrocatalytic Water Splitting at Neutral pH. Inorg. Chem. 2023, 62, 12650–12663. [Google Scholar] [CrossRef] [PubMed]
- Zhang, D.; Sun, C.; Liu, D.; Song, C.; Wang, D. Space-Confined Ultrafine Co4N Nanodots within an N-Doped Carbon Framework on Carbon Cloth for Highly Efficient Universal pH Overall Water Splitting. Sci. China Mater. 2023, 66, 1362–1372. [Google Scholar] [CrossRef]
- Chen, L.; Lu, B.; Zhang, J.; Wu, R.; Guo, Y. Integrating Trace Ruthenium Cluster with Cobalt Boride toward Superior Overall Water Splitting in Neutral Media. J. Colloid Interface Sci. 2022, 623, 897–904. [Google Scholar] [CrossRef] [PubMed]
- Chiang, C.H.; Yang, Y.C.; Lin, J.W.; Lin, Y.C.; Chen, P.T.; Dong, C.L.; Lin, H.M.; Chan, K.M.; Kao, Y.T.; Suenaga, K.; et al. Bifunctional Monolayer WSe2/Graphene Self-Stitching Heterojunction Microreactors for Efficient Overall Water Splitting in Neutral Medium. ACS Nano 2022, 16, 18274–18283. [Google Scholar] [CrossRef]
- Zhang, B.; Shan, J.; Wang, W.; Tsiakaras, P.; Li, Y. Oxygen Vacancy and Core–Shell Heterojunction Engineering of Anemone-Like CoP@CoOOH Bifunctional Electrocatalyst for Efficient Overall Water Splitting. Small 2022, 18, 2106012. [Google Scholar] [CrossRef]
- Jin, W.; Wu, H.; Cai, W.; Jia, B.; Batmunkh, M.; Wu, Z.; Ma, T. Evolution of Interfacial Coupling Interaction of Ni-Ru Species for pH-Universal Water Splitting. Chem. Eng. J. 2021, 426, 130762. [Google Scholar] [CrossRef]
- Liu, L.; Yang, X.; Zhao, Y.; Yao, B.; Hou, Y.; Fu, W. The Rational Design of Cu2−XSe@(Co,Cu)Se2 core-Shell Structures as Bifunctional Electrocatalysts for Neutral-pH Overall Water Splitting. Nanoscale 2021, 13, 1134–1143. [Google Scholar] [CrossRef]
- Yang, Y.; Yao, H.; Yu, Z.; Islam, S.M.; He, H.; Yuan, M.; Yue, Y.; Xu, K.; Hao, W.; Sun, G.; et al. Hierarchical Nanoassembly of MoS2/Co9S8/Ni3S2/Ni as a Highly Efficient Electrocatalyst for Overall Water Splitting in a Wide pH Range. J. Am. Chem. Soc. 2019, 141, 10417–10430. [Google Scholar] [CrossRef]
- Li, K.; Zhang, J.; Wu, R.; Yu, Y.; Zhang, B. Anchoring CoO Domains on CoSe2 Nanobelts as Bifunctional Electrocatalysts for Overall Water Splitting in Neutral Media. Adv. Sci. 2015, 3, 1500426. [Google Scholar] [CrossRef] [PubMed]
- Zhang, Z.; Hao, J.; Yang, W.; Tang, J. Iron Triad (Fe, Co, Ni) Trinary Phosphide Nanosheet Arrays as High-Performance Bifunctional Electrodes for Full Water Splitting in Basic and Neutral Conditions. RSC Adv. 2016, 6, 9647–9655. [Google Scholar] [CrossRef]
- Chen, L.; Li, J. A Study of γ-Fe2O3 Nanoparticles Modified Using ZnCl2 during Synthesis. Adv. Mater. Phys. Chem. 2013, 3, 31–35. [Google Scholar] [CrossRef]











| Electrode name | G0 | GPZn-DCM | GPZn-THF | GPZn-PhCN | GPZn-DMF | GPZn-DMSO |
| Solvent | - | DCM | THF | PhCN | DMF | DMSO |
| Electrocatalyst | Electrolyte | ηOER (V) at i = 10 mA/cm2 | OER Tafel Slope (V/dec) | ηHER (V) at i = −10 mA/cm2 | HER Tafel Slope (V/dec) | Ref. |
|---|---|---|---|---|---|---|
| Ultrasmall Ru@RuO2 heterostructures | 1 M PBS | 0.263 | ~0.088 | 0.043 | ~0.05 | [68] |
| Hydroxylated POM with Cu(II)- and Cu(I)-Aqua Complex/glassy carbon | 0.1 M KCl | ~0.418 a | ~0.356 | ~0.443 b | ~0.314 | [69] |
| Co4N nanodots anchored to N-doped C framework | 1 M PBS | 0.115 | ~0.041 | 0.076 | ~0.04 | [70] |
| Ru-modified cobalt boride hybrid catalyst/Ni foil | 0.5 M PBS | 0.28 | ~0.113 | 0.056 | ~0.046 | [71] |
| Cr-doped WSe2/graphene heterojunction | 1 M PBS | 0.52 | 0.113 | 0.19 | 0.104 | [72] |
| CoP@CoOOH core–shell heterojunction on C paper | 1 M PBS | 0.318 | ~0.127 | 0.089 | ~0.064 | [73] |
| NiRu nanoparticles encapsulated into N-doped C | 1 M PBS | 0.316 | 0.089 | 0.08 | 0.079 | [74] |
| Cu2-xSe@(Co,Cu)Se2 core–shell structure | 1 M PBS | 0.396 | 0.102 | 0.106 | 0.081 | [75] |
| Co9S8/Ni3S2/NF | 1 M PBS | 0.495 | 0.226 | 0.33 | 0.082 | [76] |
| CoO domains on CoSe2 nanobelts/Ti mesh | 0.5 M PBS | 0.51 | 0.198 | 0.337 | 0.131 | [77] |
| Fe10Co40Ni40P | 1 M PBS | 0.466 | 0.246 | 0.3 | 0.132 | [78] |
| Porphvlar-based ink on carbon paper | 1 M PBS | 0.67 c | 0.485 | ~0.77 d | 0.227 | [26] |
| GCB-PZn | 0.1 M KCl | 0.78 0.47 c | 0.39 | 1.02 1.00 d | 0.249 | This work |
Disclaimer/Publisher’s Note: The statements, opinions and data contained in all publications are solely those of the individual author(s) and contributor(s) and not of MDPI and/or the editor(s). MDPI and/or the editor(s) disclaim responsibility for any injury to people or property resulting from any ideas, methods, instructions or products referred to in the content. |
© 2024 by the authors. Licensee MDPI, Basel, Switzerland. This article is an open access article distributed under the terms and conditions of the Creative Commons Attribution (CC BY) license (https://creativecommons.org/licenses/by/4.0/).
Share and Cite
Taranu, B.-O.; Rus, F.S.; Fagadar-Cosma, E. A3B Zn(II)-Porphyrin-Coated Carbon Electrodes Obtained Using Different Procedures and Tested for Water Electrolysis. Coatings 2024, 14, 1048. https://doi.org/10.3390/coatings14081048
Taranu B-O, Rus FS, Fagadar-Cosma E. A3B Zn(II)-Porphyrin-Coated Carbon Electrodes Obtained Using Different Procedures and Tested for Water Electrolysis. Coatings. 2024; 14(8):1048. https://doi.org/10.3390/coatings14081048
Chicago/Turabian StyleTaranu, Bogdan-Ovidiu, Florina Stefania Rus, and Eugenia Fagadar-Cosma. 2024. "A3B Zn(II)-Porphyrin-Coated Carbon Electrodes Obtained Using Different Procedures and Tested for Water Electrolysis" Coatings 14, no. 8: 1048. https://doi.org/10.3390/coatings14081048
APA StyleTaranu, B.-O., Rus, F. S., & Fagadar-Cosma, E. (2024). A3B Zn(II)-Porphyrin-Coated Carbon Electrodes Obtained Using Different Procedures and Tested for Water Electrolysis. Coatings, 14(8), 1048. https://doi.org/10.3390/coatings14081048

