Defect Control of Donor Doping on Dielectric Ceramics to Improve the Colossal Permittivity and Temperature Stability
Abstract
1. Introduction
2. Materials and Methods
2.1. Preparation of Materials
2.2. Characterization
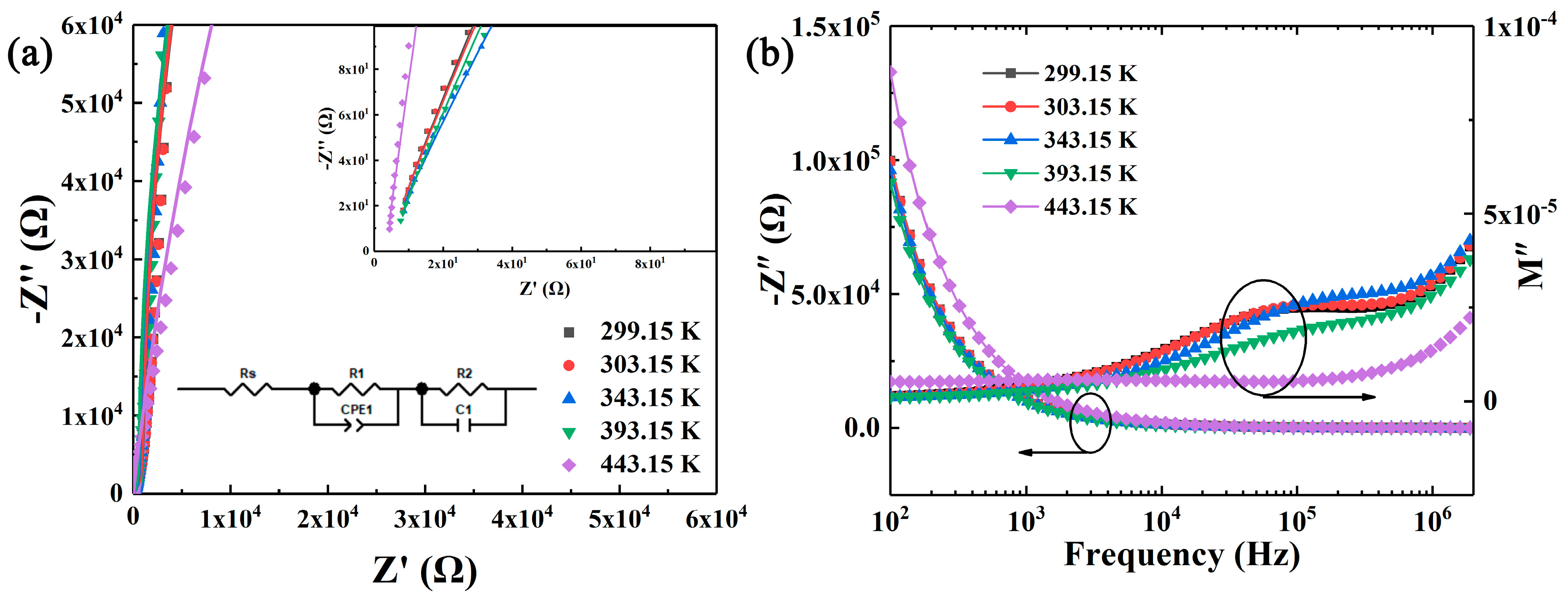
3. Results and Discussion
4. Conclusions
Author Contributions
Funding
Institutional Review Board Statement
Informed Consent Statement
Data Availability Statement
Conflicts of Interest
References
- Takafumi, I.; Atsuki, T.; Kentaro, W.; Yoshinari, K.; Nobuya, M.; Nobuyasu, N.; Yutaka, M.; Yuichiro, Y.; Yoshiaki, N. Methodology of Thermoelectric Power Factor Enhancement by Controlling Nanowire Interface. ACS Appl. Mater. Interfaces 2018, 10, 37709–37716. [Google Scholar] [CrossRef]
- Emanuel, C.; Rita, B.; Rodrigo, M.; Asal, K.; Elvira, F. Recent Progress in Solution-Based Metal Oxide Resistive Switching Devices. Adv. Mater. 2021, 33, 2004328. [Google Scholar] [CrossRef]
- Tupan, D.; Piyali, B.; Amar, D.; Jyotirekha, M.; Manoranjan, K. Multi-functional piezoelectric nanogenerator based on relaxor ferroelectric materials (BSTO) and conductive fillers (MWCNTs) for self-powered memristor and optoelectronic devices. Chem. Eng. J. 2024, 479, 147900. [Google Scholar] [CrossRef]
- Jayakrishnan, A.; Silva, J.; Kamakshi, K.; Dastan, D.; Annapureddy, V.; Pereira, M.; Sekhar, K. Are lead-free relaxor ferroelectric materials the most promising candidates for energy storage capacitors? Prog. Mater. Sci. 2023, 132, 101046. [Google Scholar] [CrossRef]
- Tian, A.; Yu, Z.; Xie, A.; Fu, J.; Zuo, R. Multiple local polarization configurations in NKN-based relaxor ferroelectric ceramic with high electrostrictive-like strain. J. Eur. Ceram. Soc. 2024, 44, 7614–7622. [Google Scholar] [CrossRef]
- Tian, Y.; Ma, M.; Chen, Y.; Liu, Z.; Ji, X.; Wu, H.; Jing, Q. Improved relaxor ferroelectrics and energy storage performance of polycrystalline Ba0.95Sr0.05Ti2O5 ceramics modified with La dopants. Ceram. Int. 2024, 50, 19571–19577. [Google Scholar] [CrossRef]
- Wu, C.; Pu, Y.; Zhang, X.; Lu, X.; Ning, Y.; Zhang, L.; Wang, B.; Yang, Y. Optimization of energy-storage properties with low electric field applications in Ca0.5Sr0.5TiO3-based linear ceramics by establishing relaxor ferroelectrics. J. Alloy. Compd. 2024, 1002, 175358. [Google Scholar] [CrossRef]
- Izyumskaya, N.; Alivov, Y.I.; Cho, S.J.; Morkoc, H.; Lee, H.; Kang, Y.S. Processing, structure, properties, and applications of PZT thin films. Crit. Rev. Solid State Mater. Sci. 2007, 32, 111–202. [Google Scholar] [CrossRef]
- Ye, J.; Lee, J.; Song, H.; Park, J.; Kalita, K.; Peddigari, M.; Ryu, J. Highly flexible ferroelectric PZT thick films on Cu/PI foil for flexible energy storage devices. J. Energy. Storage 2024, 93, 112321. [Google Scholar] [CrossRef]
- Man, G.; Jiang, Y.; Wang, X. Mechanically induced rhombohedral to tetragonal phase transition in PMN-PT single crystals by nanoindentation. J. Am. Ceram. Soc. 2022, 105, 5222–5229. [Google Scholar] [CrossRef]
- Xia, X.; Shen, K.; Li, Y.; Shen, Z.; Li, R.; Shi, X.; Zeng, T.; Li, G. The thermal depolarization behavior of PMN-PT-BZT relaxor ferroelectric ceramics from the standpoint of domain structure transitions. Ceram. Int. 2024, 50, 23970–23976. [Google Scholar] [CrossRef]
- Shi, J.; Dong, R.; He, J.; Wu, D.; Tian, W.; Liu, X. Regulating ferroelectric polarization and dielectric properties of BT-based lead-free ceramics. J. Alloy. Compd. 2023, 933, 167746. [Google Scholar] [CrossRef]
- Ma, C.; Zhang, R.; Zhang, G.; Du, H.; Liu, J.; Liang, R. Structural evolution and energy storage properties of Bi(Zn0.5Zr0.5)O3 modified BaTiO3-based relaxation ferroelectric ceramics. J. Energy Storage 2023, 72, 108374. [Google Scholar] [CrossRef]
- Wang, Q.; Gong, P.M.; Wang, C.M. High recoverable energy storage density and large energy efficiency simultaneously achieved in BaTiO3–Bi(Zn1/2Zr1/2)O3 relaxor ferroelectrics. Ceram. Int. 2020, 46, 22452–22459. [Google Scholar] [CrossRef]
- Kumar, N.; Ionin, A.; Ansell, T.; Kwon, S.; Hackenberger, W.; Cann, D. Multilayer ceramic capacitors based on relaxor BaTiO3-Bi(Zn1/2Ti1/2)O3 for temperature stable and high energy density capacitor applications. Appl. Phys. Lett. 2015, 106, 2901. [Google Scholar] [CrossRef]
- Li, P.; Jin, H.; Liu, H.; Wang, Z.; Gao, N. Effects of Bi2O3 on the microstructure, mechanical strength, and dielectric properties of CaZnSi2O6 glass ceramics with machinable precursors. Ceram. Int. 2023, 49, 13933–13939. [Google Scholar] [CrossRef]
- Wang, X.; Xu, K.; Cheng, D.; Feng, X. Enhanced properties of Li0.42Zn0.27Ti0.11Mn0.1Fe2.1O4 ferrites co-fired with Bi2O3–B2O3 additive at low sintering temperatures. Ceram. Int. 2023, 49, 39465–39472. [Google Scholar] [CrossRef]
- Wu, S.; Wei, X.; Wang, X.; Yang, H.; Gao, S. Effect of Bi2O3 additive on the microstructure and dielectric properties of BaTiO3-based ceramics sintered at lower temperature. J. Mater. Sci. Technol. 2010, 26, 472–476. [Google Scholar] [CrossRef]
- Okawa, T.; Imaeda, M.; Ohsato, H. Site occupancy of Bi ions and microwave dielectric properties in Ba6−3xNd8+2xTi18O54 solid solutions. Mater. Sci. Eng. B 2002, 88, 58–61. [Google Scholar] [CrossRef]
- Sareecha, N.; Shah, W.; Mirza, M.; Maqsood, A.; Awan, M. Electrical investigations of Bi-doped BaTiO3 ceramics as a function of temperature. Physica B 2018, 530, 283–289. [Google Scholar] [CrossRef]
- Kawsar, M.; Sahadat Hossain, M.; Mohammed Bahadur, N.; Ahmed, S. Synthesis of nano-crystallite hydroxyapatites in different media and a comparative study for estimation of crystallite size using Scherrer method, Halder-Wagner method size-strain plot, and Williamson-Hall model. Heliyon 2024, 10, e25347. [Google Scholar] [CrossRef] [PubMed]
- Ashi, J.; Anand, S.; Prashant; Naseem, A. X-ray diffraction analysis of SrTiO3 nanoparticles by Williamson-Hall, size-strain plot and FullProf method. Mater. Today, 2023; in press. [Google Scholar] [CrossRef]
- Maurya, D.; Priya, S. Effect of bismuth doping on the dielectric and piezoelectric properties of Ba1−xBixTiO3 lead-free ceramics. Integr. Ferroelectr. 2015, 166, 186–196. [Google Scholar] [CrossRef]
- Zheng, T.; Ding, Y.; Wu, J. Bi nonstoichiometry and composition engineering in (1−x)Bi1+yFeO3+3y/2−xBaTiO3 ceramics. RSC Adv. 2016, 6, 90831–90839. [Google Scholar] [CrossRef]
- Wang, S.; He, H.; Su, H. Effect of Bi2O3 doping on the dielectric properties of medium-temperature sintering BaTiO3-based X8R ceramics. J. Mater. Sci. Mater. Electron. 2013, 24, 2385–2389. [Google Scholar] [CrossRef]
- Li, Y.; Tang, M.; Zhang, Z.; Li, Q.; Xu, Z.; Liu, G.; Li, F. BaTiO3-based ceramics with high energy storage density. Rare Metals 2023, 42, 1261–1273. [Google Scholar] [CrossRef]
- Hu, W.; Li, L.; Li, G.; Liu, Y.; Withers, R.L. Atomic-scale control of TiO6 octahedra through solution chemistry towards giant dielectric response. Sci. Rep. 2014, 4, 6582. [Google Scholar] [CrossRef] [PubMed]
- Sun, Q.; Gu, Q.; Zhu, K.; Jin, R.; Liu, J.; Wang, J.; Qiu, J. Crystalline structure, defect chemistry and room temperature colossal permittivity of Nd-doped barium titanate. Sci. Rep. 2017, 7, 42274. [Google Scholar] [CrossRef]
- Tan, Y.; Wang, H.; Wang, Y.; Ren, Y.; Wen, J.; Ma, J.; Ma, Y.; Xu, D.; Yue, Y.; Wang, B. Large permittivity, low loss and defect structure in (Nb, Zn) co-doped SnO2 ceramics studied through a combined experimental and DFT calculational method. Ceram. Int. 2023, 49, 21402–21410. [Google Scholar] [CrossRef]
- Liu, J.; Song, Y.; Wu, W.; Wang, X.; Zhou, Q.; Niu, G.; Liu, P. Giant permittivity in (Nb0.5La0.5)xTi1−xO2 ceramics prepared by slip casting in a strong magnetic field. J. Am. Ceram. Soc. 2023, 106, 5922–5932. [Google Scholar] [CrossRef]






| Samples | Cell Volume (Å3) | Cell Parameter (Å) | Particle Size (nm) | Microstrain (×10−3) | Dislocation Density (nm−2) |
|---|---|---|---|---|---|
| BB0.25T | 64.304 | a = b = 3.99253 | 67 | 2.22995 | 0.60960 |
| c = 4.03405 | |||||
| α = β = γ = 90° | |||||
| BB0.5T | 64.301 | a = b = 3.99243 | 64 | 2.38064 | 0.82159 |
| c = 4.03405 | |||||
| α = β = γ = 90° | |||||
| BB0.75T | 64.299 | a = b = 3.99224 | 69 | 2.49030 | 0.93061 |
| c = 4.03431 | |||||
| α = β = γ = 90° | |||||
| BB1T | 64.290 | a = b = 3.99176 | 73 | 2.40596 | 1.04808 |
| c = 4.03472 | |||||
| α = β = γ = 90° |
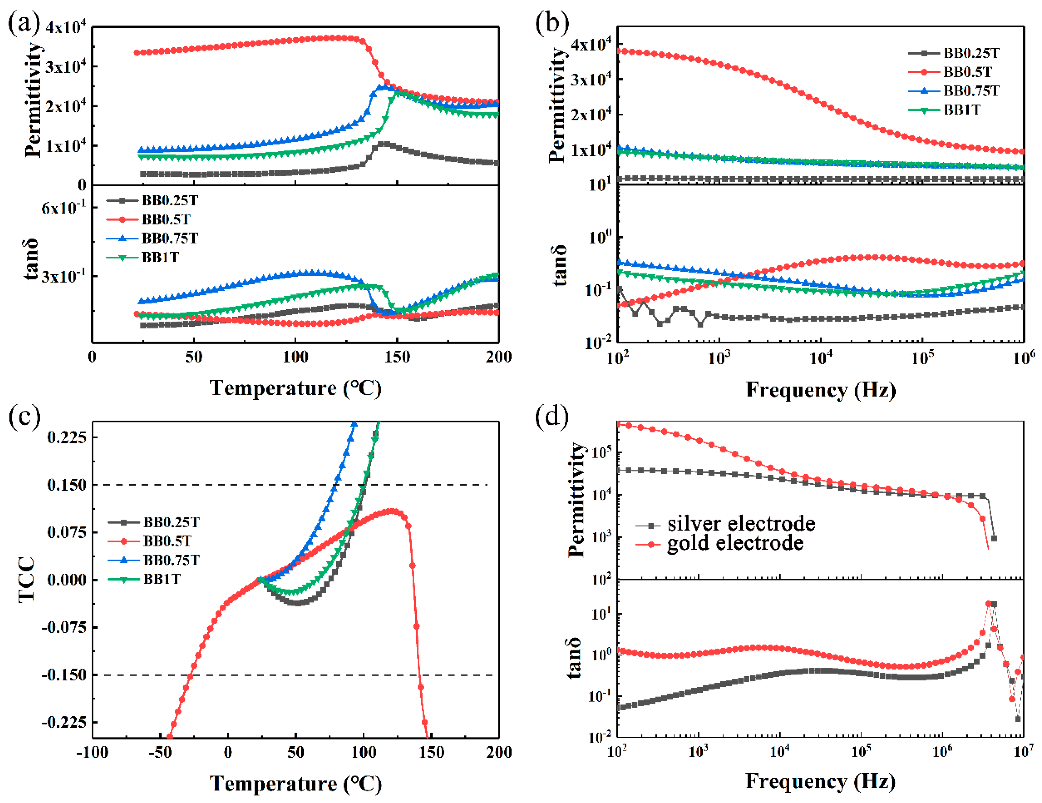
| Samples | εr (Max) | Tanδ (25 °C) | Tc/°C | ρ/% | TCC (≤±15%) |
|---|---|---|---|---|---|
| BB0.25T | 10,388 | 0.085 | 143 | 93.05 | |
| BB0.5T | 37,174 | 0.134 | 120 | 95.17 | −27–141 °C |
| BB0.75T | 24,753 | 0.191 | 143 | 94.17 | |
| BB1T | 23,198 | 0.129 | 151 | 91.98 |
Disclaimer/Publisher’s Note: The statements, opinions and data contained in all publications are solely those of the individual author(s) and contributor(s) and not of MDPI and/or the editor(s). MDPI and/or the editor(s) disclaim responsibility for any injury to people or property resulting from any ideas, methods, instructions or products referred to in the content. |
© 2024 by the authors. Licensee MDPI, Basel, Switzerland. This article is an open access article distributed under the terms and conditions of the Creative Commons Attribution (CC BY) license (https://creativecommons.org/licenses/by/4.0/).
Share and Cite
Wang, W.; Fan, T.; Hu, S.; Zhang, J.; Zou, X.; Yang, Y.; Dou, Z.; Zhou, L.; Hu, J.; Wang, J.; et al. Defect Control of Donor Doping on Dielectric Ceramics to Improve the Colossal Permittivity and Temperature Stability. Coatings 2024, 14, 1024. https://doi.org/10.3390/coatings14081024
Wang W, Fan T, Hu S, Zhang J, Zou X, Yang Y, Dou Z, Zhou L, Hu J, Wang J, et al. Defect Control of Donor Doping on Dielectric Ceramics to Improve the Colossal Permittivity and Temperature Stability. Coatings. 2024; 14(8):1024. https://doi.org/10.3390/coatings14081024
Chicago/Turabian StyleWang, Wei, Tingting Fan, Songxiang Hu, Jinli Zhang, Xuefeng Zou, Ying Yang, Zhanming Dou, Lin Zhou, Jun Hu, Jing Wang, and et al. 2024. "Defect Control of Donor Doping on Dielectric Ceramics to Improve the Colossal Permittivity and Temperature Stability" Coatings 14, no. 8: 1024. https://doi.org/10.3390/coatings14081024
APA StyleWang, W., Fan, T., Hu, S., Zhang, J., Zou, X., Yang, Y., Dou, Z., Zhou, L., Hu, J., Wang, J., & Jiang, S. (2024). Defect Control of Donor Doping on Dielectric Ceramics to Improve the Colossal Permittivity and Temperature Stability. Coatings, 14(8), 1024. https://doi.org/10.3390/coatings14081024
