Preparation of Hollow Silica Nanoparticles with Polyacrylic Acid and Their Moisture Sorption Properties
Abstract
1. Introduction
2. Experimental
2.1. Materials
2.2. Experimental Process
2.3. Characterization and Equipment
3. Results and Discussion
3.1. Morphology of Composite Particles
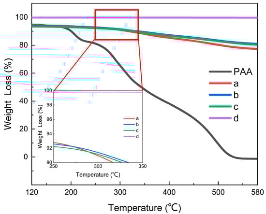
3.2. Thermal Analysis of Composite Particles
3.3. Chemical Structure of Composite Particles
3.4. Charge Distribution on the Composite Particle Surface
3.5. Pore Structure of Composite Particles
3.6. Water Molecular Sorption Characteristics of the Composite Particles
3.7. Mechanism Elucidation of the Relationship between Structural Absorption and the Structure of the Composite Particles
4. Conclusions
Author Contributions
Funding
Institutional Review Board Statement
Informed Consent Statement
Data Availability Statement
Conflicts of Interest
References
- Nakashima, Y.; Takai, C.; Razavi-Khosroshahi, H.; Suthabanditpong, W.; Fuji, M. Synthesis of ultra-small hollow silica nanoparticles using the prepared amorphous calcium carbonate in one-pot process. Adv. Powder Technol. 2018, 29, 904–908. [Google Scholar] [CrossRef]
- Yamamoto, T.; Takahashi, Y. Synthesis of polystyrene@ silica particles through soap-free emulsion polymerization and sol-gel reaction on polymer surfaces. Adv. Powder Technol. 2019, 30, 214–218. [Google Scholar] [CrossRef]
- Li, Y.; Li, N.; Pan, W.; Yu, Z.; Yang, L.; Tang, B. Hollow mesoporous silica nanoparticles with tunable structures for controlled drug delivery. ACS Appl. Mater. Interfaces 2017, 9, 2123–2129. [Google Scholar] [CrossRef]
- Jafari, S.; Derakhshankhah, H.; Alaei, L.; Fattahi, A.; Varnamkhasti, B.S.; Saboury, A.A. Mesoporous silica nanoparticles for therapeutic/diagnostic applications. Biomed. Pharmacother. 2019, 109, 1100–1111. [Google Scholar] [CrossRef] [PubMed]
- Manzano, M.; Vallet-Regí, M. Mesoporous silica nanoparticles for drug delivery. Adv. Funct. Mater. 2020, 30, 1902634. [Google Scholar] [CrossRef]
- Song, N.; Yang, Y.-W. Molecular and supramolecular switches on mesoporous silica nanoparticles. Chem. Soc. Rev. 2015, 44, 3474–3504. [Google Scholar] [CrossRef]
- Shao, D.; Li, M.; Wang, Z.; Zheng, X.; Lao, Y.H.; Chang, Z.; Zhang, F.; Lu, M.; Yue, J.; Hu, H. Bioinspired diselenide-bridged mesoporous silica nanoparticles for dual-responsive protein delivery. Adv. Mater. 2018, 30, 1801198. [Google Scholar] [CrossRef] [PubMed]
- Gao, J.; Zhu, Q.; Wen, L.; Chen, J. TiO2-modified nano-egg-shell Pd catalyst for selective hydrogenation of acetylene. Particuology 2010, 8, 251–256. [Google Scholar] [CrossRef]
- Chen, J.; Sheng, Y.; Song, Y.; Chang, M.; Zhang, X.; Cui, L.; Meng, D.; Zhu, H.; Shi, Z.; Zou, H. Multimorphology mesoporous silica nanoparticles for dye adsorption and multicolor luminescence applications. ACS Sustain. Chem. Eng. 2018, 6, 3533–3545. [Google Scholar] [CrossRef]
- Malhat, F.; Abdallah, O.I.; Hussien, M.; Youssef, A.M.; Alminderej, F.M.; Saleh, S.M. Enhanced Adsorption of Azoxystrobin from Water by As-Prepared Silica Nanoparticles. Coatings 2023, 13, 1286. [Google Scholar] [CrossRef]
- Hoffmann, F.; Cornelius, M.; Morell, J.; Froba, M. Silica-based mesoporous organic-inorganic hybrid materials. Angew. Chem. Int. Ed. Engl. 2006, 45, 3216–3251. [Google Scholar] [CrossRef] [PubMed]
- Wang, Y.; Chen, J.; Lei, X.; Ren, Y.; Wu, J. Preparation of high silica microporous zeolite SSZ-13 using solid waste silica fume as silica source. Adv. Powder Technol. 2018, 29, 1112–1118. [Google Scholar] [CrossRef]
- Uematsu, M.; Ishii, K.; Samitsu, S.; Ismail, E.B.; Ichinose, I.; Ohashi, N.; Berthebaud, D.; Halet, J.-F.; Ishigaki, T.; Uchikoshi, T. Fabrication and characterization of zeolite bulk body containing mesopores and macropores using starch as pore-forming agent. Adv. Powder Technol. 2022, 33, 103626. [Google Scholar] [CrossRef]
- Sreeharsha, N.; Philip, M.; Krishna, S.S.; Viswanad, V.; Sahu, R.K.; Shiroorkar, P.N.; Aasif, A.H.; Fattepur, S.; Asdaq, S.M.; Nair, A.B.; et al. Multifunctional Mesoporous Silica Nanoparticles for Oral Drug Delivery. Coatings 2022, 12, 358. [Google Scholar] [CrossRef]
- Saman, N.; Kamal, N.A.A.; Lye, J.W.P.; Mat, H. Synthesis and characterization of CTAB-silica nanocapsules and its adsorption behavior towards Pd (II) ions in aqueous solution. Adv. Powder Technol. 2020, 31, 3205–3214. [Google Scholar] [CrossRef]
- Younes, M.M.; El-sharkawy, I.I.; Kabeel, A.E.; Uddin, K.; Pal, A.; Mitra, S.; Thu, K.; Saha, B.B. Synthesis and characterization of silica gel composite with polymer binders for adsorption cooling applications. Int. J. Refrig. 2019, 98, 161–170. [Google Scholar] [CrossRef]
- Mushtaq, A.; Jamil, N.; Rizwan, S.; Mandokhel, F.; Riaz, M.; Hornyak, G.L.; Najam Malghani, M.; Naeem Shahwani, M. Engineered Silica Nanoparticles and silica nanoparticles containing Controlled Release Fertilizer for drought and saline areas. IOP Conf. Ser. Mater. Sci. Eng. 2018, 414, 012029. [Google Scholar] [CrossRef]
- Liu, X.; Liu, S.; Fan, M.; Guo, J.; Li, B. Decrease in hydrophilicity and moisture readsorption of Manglai lignite using lauryl polyoxyethylene ether: Effects of the HLB and coverage on functional groups and pores. Fuel Process. Technol. 2018, 174, 33–40. [Google Scholar] [CrossRef]
- Deng, Y.; Xu, Y.; Nie, L.; Huang, Y. Crosslinked Polymer Coatings of Poly (Acrylic Acid-co-acrylamide)/Polyethyleneimine (P(AA-co-AAm)/PEI) on Titanium Alloy with Excellent Lubrication Performance for Artificial Joints. Coatings 2024, 14, 28. [Google Scholar] [CrossRef]
- Xu, X.; Bai, B.; Ding, C.; Wang, H.; Suo, Y. Synthesis and properties of an ecofriendly superabsorbent composite by grafting the poly (acrylic acid) onto the surface of dopamine-coated sea buckthorn branches. Ind. Eng. Chem. Res. 2015, 54, 3268–3278. [Google Scholar] [CrossRef]
- Chen, C.-H.; Hsu, C.-Y.; Chen, C.-C.; Chiang, Y.-C.; Chen, S.-L. Silica gel/polymer composite desiccant wheel combined with heat pump for air-conditioning systems. Energy 2016, 94, 87–99. [Google Scholar] [CrossRef]
- Zhang, J.; Dichiara, A.B.; Novosselov, I.; Gao, D.; Chung, J.-H. Polyacrylic acid coated carbon nanotube–paper composites for humidity and moisture sensing. J. Mater. Chem. C 2019, 7, 5374–5380. [Google Scholar] [CrossRef]
- Kausar, A. Poly (acrylic acid) nanocomposites: Design of advanced materials. J. Plast. Film. Sheeting 2021, 37, 409–428. [Google Scholar] [CrossRef]
- Mittal, H.; Al Alili, A.; Alhassan, S.M. Solid polymer desiccants based on poly (acrylic acid-co-acrylamide) and Laponite RD: Adsorption isotherm and kinetics studies. Colloids Surf. A Physicochem. Eng. Asp. 2020, 599, 124813. [Google Scholar] [CrossRef]
- Bajpai, A.K.; Mishra, A. Ionizable interpenetrating polymer networks of carboxymethyl cellulose and polyacrylic acid: Evaluation of water uptake. J. Appl. Polym. Sci. 2004, 93, 2054–2065. [Google Scholar] [CrossRef]
- Mansoori, Y.; Salemi, H. Nanocomposite hydrogels composed of cloisite 30B-graft-poly (acrylic acid)/poly (acrylic acid): Synthesis and characterization. Polym. Sci. Ser. B 2015, 57, 167–179. [Google Scholar] [CrossRef]
- Nakashima, Y.; Takai, C.; Razavi-Khosroshahi, H.; Fuji, M. Effects of cations on the size and silica shell microstructure of hollow silica nanoparticles prepared using PAA/cation/NH4OH template. Colloids Surf. A Physicochem. Eng. Asp. 2020, 593, 124582. [Google Scholar] [CrossRef]
- Nakashima, Y.; Takai, C.; Wanghui, C.; Razavi-Khosroshahi, H.; Shirai, T.; Fuji, M. Control size distribution of hollow silica nanoparticles by viscosity of emulsion template. Colloids Surf. A Physicochem. Eng. Asp. 2016, 507, 164–169. [Google Scholar] [CrossRef]
- De Giglio, E.; Cafagna, D.; Ricci, M.A.; Sabbatini, L.; Cometa, S.; Ferretti, C.; Mattioli-Belmonte, M. Biocompatibility of poly (acrylic acid) thin coatings electro-synthesized onto TiAlV-based implants. J. Bioact. Compat. Polym. 2010, 25, 374–391. [Google Scholar] [CrossRef]
- Lin, Y.-J.; Hsu, F.-C.; Chou, C.-W.; Wu, T.-H.; Lin, H.-R. Poly (acrylic acid)–chitosan–silica hydrogels carrying platelet gels for bone defect repair. J. Mater. Chem. B 2014, 2, 8329–8337. [Google Scholar] [CrossRef]
- Tang, Y.; Li, Y.; Zhang, Y.; Mu, C.; Zhou, J.; Zhang, W.; Shi, B. Nonswelling silica–poly (acrylic acid) composite for efficient and simultaneous removal of cationic dye, heavy metal, and surfactant-stabilized emulsion from wastewater. Ind. Eng. Chem. Res. 2020, 59, 3383–3393. [Google Scholar] [CrossRef]
- Ha, H.; Shanmuganathan, K.; Ellison, C.J. Mechanically stable thermally crosslinked poly (acrylic acid)/reduced graphene oxide aerogels. ACS Appl. Mater. Interfaces 2015, 7, 6220–6229. [Google Scholar] [CrossRef] [PubMed]
- Moharram, M.A.; Khafagi, M.G. Thermal behavior of poly (acrylic acid)–poly (vinyl pyrrolidone) and poly (acrylic acid)–metal–poly (vinyl pyrrolidone) complexes. J. Appl. Polym. Sci. 2006, 102, 4049–4057. [Google Scholar] [CrossRef]
- Chaudhuri, S.D.; Mandal, A.; Dey, A.; Chakrabarty, D. Tuning the swelling and rheological attributes of bentonite clay modified starch grafted polyacrylic acid based hydrogel. Appl. Clay Sci. 2020, 185, 105405. [Google Scholar] [CrossRef]
- McCool, B.; Murphy, L.; Tripp, C.P. A simple FTIR technique for estimating the surface area of silica powders and films. J. Colloid Interface Sci. 2006, 295, 294–298. [Google Scholar] [CrossRef]
- Liu, C.; Wang, A.; Yin, H.; Shen, Y.; Jiang, T. Preparation of nanosized hollow silica spheres from Na2SiO3 using Fe3O4 nanoparticles as templates. Particuology 2012, 10, 352–358. [Google Scholar] [CrossRef]
- Khater, H.M. Effect of nano-silica on microstructure formation of low-cost geopolymer binder. Nanocomposites 2016, 2, 84–97. [Google Scholar] [CrossRef]
- Xiao, Y.; Zou, H.; Zhang, L.; Ye, X.; Han, D. Surface modification of silica nanoparticles by a polyoxyethylene sorbitan and silane coupling agent to prepare high-performance rubber composites. Polym. Test. 2020, 81, 106195. [Google Scholar] [CrossRef]
- Beganskienė, A.; Sirutkaitis, V.; Kurtinaitienė, M.; Juškėnas, R.; Kareiva, A. FTIR, TEM and NMR investigations of Stöber silica nanoparticles. Mater. Sci. Medzg 2004, 10, 287–290. [Google Scholar]
- Chen, Y.; Iroh, J.O. synthesis and characterization of polyimide/silica hybrid composites. Chem. Mater. 1999, 11, 1218–1222. [Google Scholar] [CrossRef]
- Ghobashy, M.M. In-situ core-shell polymerization of magnetic polymer nanocomposite (PAAc/Fe3O4) particles via gamma radiation. Nanocomposites 2017, 3, 42–46. [Google Scholar] [CrossRef]
- Liu, K.; Jiang, J.; Cui, Z.; Binks, B.P. pH-responsive Pickering emulsions stabilized by silica nanoparticles in combination with a conventional zwitterionic surfactant. Langmuir 2017, 33, 2296–2305. [Google Scholar] [CrossRef] [PubMed]
- Qi, L.; Tang, X.; Wang, Z.; Peng, X. Pore characterization of different types of coal from coal and gas outburst disaster sites using low temperature nitrogen adsorption approach. Int. J. Min. Sci. Techno. 2017, 27, 371–377. [Google Scholar] [CrossRef]
- Szałaj, U.; Świderska-Środa, A.; Chodara, A.; Gierlotka, S.; Łojkowski, W. Nanoparticle size effect on water vapour adsorption by hydroxyapatite. Nanomaterials 2019, 9, 1005. [Google Scholar] [CrossRef] [PubMed]
- Czarnecka, E.; Nowaczyk, J. Semi-Natural superabsorbents based on Starch-g-poly (acrylic acid): Modification, synthesis and application. Polymers 2020, 12, 1794. [Google Scholar] [CrossRef] [PubMed]
- Hui, L.; Schadler, L.S.; Nelson, J.K. The influence of moisture on the electrical properties of crosslinked polyethylene/silica nanocomposites. IEEE Trans. Dielectr. Electr. Insul. 2013, 20, 641–653. [Google Scholar] [CrossRef]
- Raabe, J.; de Souza Fonseca, A.; Bufalino, L.; Ribeiro, C.; Martins, M.A.; Marconcini, J.M.; Tonoli, G.H.D. Evaluation of reaction factors for deposition of silica (SiO2) nanoparticles on cellulose fibers. Carbohydr. Polym. 2014, 114, 424–431. [Google Scholar] [CrossRef] [PubMed]
- Shin, Y.; Lee, D.; Lee, K.; Ahn, K.H.; Kim, B. Surface properties of silica nanoparticles modified with polymers for polymer nanocomposite applications. J. Ind. Eng. Chem. 2008, 14, 515–519. [Google Scholar] [CrossRef]
- Zhang, X.J.; Qiu, L.M. Moisture transport and adsorption on silica gel–calcium chloride composite adsorbents. Energy Convers. Manag. 2007, 48, 320–326. [Google Scholar] [CrossRef]










| Sample | Particle Diameter, nm | Shell Thickness, nm | Particle Inner Diameter, nm |
|---|---|---|---|
| a | 79.71 | 27.75 | 51.96 |
| b | 81.86 | 26.08 | 55.78 |
| c | 86.32 | 25.57 | 60.35 |
| d | 77.19 | 15.55 | 61.64 |
| Sample | Weight Loss, % |
|---|---|
| a | 17.74% |
| b | 14.07% |
| c | 13.45% |
| d | 0.28% |
| Sample | Specific Surface Area (BET), m2/g | Total Full Fine Pore Volume, cm3/g |
|---|---|---|
| a | 97.625 | 0.4114 (P/P0 = 0.982) |
| b | 58.147 | 0.3863 (P/P0 = 0.982) |
| c | 57.445 | 0.3614 (P/P0 = 0.98) |
| d | 71.601 | 0.5547 (P/P0 = 0.986) |
| Sample | External Surface Area, m2/g | Micropore Volume, cm3/g | Micropore Diameter, nm |
|---|---|---|---|
| a | 14.03 | 17.59 | 0.84 |
| b | 13.28 | 6.56 | 0.80 |
| c | 13.85 | 6.63 | 0.80 |
| d | 19.19 | 6.94 | 0.90 |
| Sample | Specific Surface Area (BET), m2/g | Total Full Fine Pore Volume, cm3/g |
|---|---|---|
| a | 184.78 | 0.1154 (P/P0 = 0.983) |
| b | 206.75 | 0.1141 (P/P0 = 0.990) |
| c | 220.00 | 0.1166 (P/P0 = 0.990) |
| d | 77.22 | 0.0851 (P/P0 = 0.981) |
| Composite Silica Nanoparticle Type | Particle Size, nm | Moisture Sorption Capacity, wt % | Reference |
|---|---|---|---|
| PE/silica nanoparticles | 12 | 0.9 ± 0.03 | [46] |
| Cellulose fibers/silica nanoparticles | 192 ± 45 | 12.3 | [47] |
| PEG/silica nanoparticles | 174.7 ± 18.9 | 8 | [48] |
| Mesoporous silica gel | 8 ± 2 | [49] | |
| HSNPs | 77.19 | 75.8 (P/P0 = 0.6) | this work |
| PAA/HSNPs | 86.32 | 145.9 (P/P0 = 0.6) | this work |
| Layer Number of Hollow Nanoparticles | Particle Size, nm | Shell Thickness, nm | Shell Structure | PAA Content, % |
|---|---|---|---|---|
| 1 | 77.19 | 15.55 | SiO2 | 0 |
| 2 | 79.71 | 27.75 | PAA/SiO2 | 17.46 |
| 3 | 86.32 | 25.57 | PAA/SiO2/PAA | 13.17 |
Disclaimer/Publisher’s Note: The statements, opinions and data contained in all publications are solely those of the individual author(s) and contributor(s) and not of MDPI and/or the editor(s). MDPI and/or the editor(s) disclaim responsibility for any injury to people or property resulting from any ideas, methods, instructions or products referred to in the content. |
© 2024 by the authors. Licensee MDPI, Basel, Switzerland. This article is an open access article distributed under the terms and conditions of the Creative Commons Attribution (CC BY) license (https://creativecommons.org/licenses/by/4.0/).
Share and Cite
Wen, Q.; Ishii, K.; Fuji, M. Preparation of Hollow Silica Nanoparticles with Polyacrylic Acid and Their Moisture Sorption Properties. Coatings 2024, 14, 829. https://doi.org/10.3390/coatings14070829
Wen Q, Ishii K, Fuji M. Preparation of Hollow Silica Nanoparticles with Polyacrylic Acid and Their Moisture Sorption Properties. Coatings. 2024; 14(7):829. https://doi.org/10.3390/coatings14070829
Chicago/Turabian StyleWen, Quanyue, Kento Ishii, and Masayoshi Fuji. 2024. "Preparation of Hollow Silica Nanoparticles with Polyacrylic Acid and Their Moisture Sorption Properties" Coatings 14, no. 7: 829. https://doi.org/10.3390/coatings14070829
APA StyleWen, Q., Ishii, K., & Fuji, M. (2024). Preparation of Hollow Silica Nanoparticles with Polyacrylic Acid and Their Moisture Sorption Properties. Coatings, 14(7), 829. https://doi.org/10.3390/coatings14070829

