Abstract
Sulfate-reducing bacteria (SRB) are the primary cause of corrosion in oil and gas pipeline steel. To understand how temperature and immersion time affect the SRB-induced corrosion of BG L450OQO-RCB pipe steel, the present study delved into the morphology and elemental composition of corrosion products, corrosion rate, corrosion solution composition, and electrochemical performance at different temperatures (25, 40, and 60 °C) and immersion times (5, 10, and 20 days). During the SRB corrosion of the investigated steel, extracellular polymeric substances (EPSs), iron sulfide, and iron phosphide were produced on the surfaces of the steel samples, along with the calcium carbonate product. Chloride ions in the corrosion solution contributed to the corrosion of steel and the formation of chlorides on steel surfaces. Over time, the quantities of EPSs, iron sulfide, and iron phosphide gradually decreased with immersion time. The presence of surface iron chloride initially increased and then decreased with immersion time. Conversely, the presence of calcium carbonate surface product initially decreased and then increased with immersion time. The content of SRB extracellular polymer, iron sulfide, and iron phosphide changed imperceptibly between 25 and 40 °C, but the overall content decreased at 60 °C. The content of surface ferric chloride remained practically unchanged between 25 and 40 °C but increased at 60 °C. The calcium carbonate surface product increased slightly with higher temperature. The corrosion of Cu-containing steel by SRB follows the cathodic depolarization theory.
1. Introduction
Microbiologically influenced corrosion (MIC) significantly affects the safe service of pipeline steel deep underground and under the sea for transporting oil and gas. The environment is often accompanied by a large number of microorganisms, such as SRB [1]. Among many microorganisms, sulfate-reducing bacteria (SRB) are particularly important in anaerobic MIC because they reduce to S2− to obtain energy. H2S, as the final product of the SRB metabolism, is corrosive, toxic, and increases the corrosion rate of steel, exacerbating its degradation. The corrosion of steel caused by SRB accounts for half of all MIC cases [2].
The corrosion mechanism of SRB primarily involves the cathodic depolarization theory [3] and the local battery theory [4]. The cathodic depolarization theory, proposed by von Wolzogen Kuhr [5], suggests that SRB can use cathodic hydrogen to reduce sulfate, thereby promoting steel corrosion. This theory has been confirmed by Booth G.H et al. [6]. Muyzer et al. have developed an MIC model based on the theory of cathodic depolarization involving hydrogenase [7]. According to this model, after SRB adsorbs on the metal surface, is reduced by the hydrogenase in SRB, and the [H] generated on the cathode of the metal surface is removed at the same time, [Fe] is reduced by this depolarization effect. Additionally, SRB can consume hydrogen molecules through the secretion of hydrogenase, thus accelerating the cathodic depolarization reaction. Over time, the buildup of internal stress within the metal, combined with the presence of anions, leads to the rupture of the protective film and pitting corrosion of the metal matrix [8].
The primary factors influencing the corrosion performance of SRB on pipeline steel include stress [9,10,11], flow [12,13], temperature [14], immersion time [15,16], and pH [14,17]. Applied stress can elevate the local pitting and corrosion rate of X80 pipeline steel induced by SRB [9]. The reduction in free potential of the stressed steel sample is frequently attributed as the primary mechanism of stress-enhanced microbial corrosion [11]. The impact of flow rate on the SRB corrosion of pipeline steel varies depending on the specific flow rates [12,13]. At low flow rates, SRB corrosion is minimally affected by the flow rate. At high flow rates, the flow rate can actually inhibit SRB corrosion. This is due to the generation of high shear forces, which impede the formation of SRB biofilms. Interestingly, the growth of SRB bacteria is not directly proportional to temperature. The temperature range of 20–40 °C is optimal for SRB growth, while temperatures outside this range are less conducive to SRB growth [14]. pH can indeed significantly influence the growth and reproduction of SRB bacteria, consequently impacting their corrosion behavior [17]. In environments with a pH of 8.0, biofilm mineralization occurs, hindering the transfer of corrosive agents, thereby reducing the corrosion rate and forming a protective layer against further corrosion [17]. Moreover, the corrosion severity of SRB on X70 steel increases proportionally with immersion time. During the initial stages of corrosion, a biofilm consisting of extracellular polymer (EPSs) forms on the metal surface. This biofilm effectively hinders interfacial mass transfer, thereby reducing the corrosion of X70 steel. However, as reaction time increases, corrosive ions can cause the rupture of the biofilm, leading to aggravated pitting corrosion [15,16]. Additionally, the corrosion process of SRB is often associated with the corrosion of anions [18]. SRB have the ability to rapidly propagate and create a dense biofilm on the surface of X100 pipeline steel. This biofilm partially impedes the migration of corrosive Cl− ions to the surface of X100 steel [18]. Additionally, SRB corrosion processes are often accompanied by anion corrosion and the formation of surface products, adding complexity to the overall corrosion process. Notably, there remains a gap in recent research regarding the corrosion performance of SRB on pipeline steel containing copper.
The objective of the present study was to investigate the corrosion resistance of BG L450OQO-RCB pipe steel against SRB. The study involved analyzing the surface morphology and composition of corrosion products, as well as the electrochemical behavior, corrosion rate, and solution composition of samples immersed at various temperatures for different immersion times in an SRB atmosphere. The present study aimed to uncover the dependency of SRB corrosion of BG L450OQO-RCB pipe steel on temperature and time.
2. Materials and Methods
2.1. Metal Specimens
BG L450OQO-RCB pipe steel, manufactured by Baoshan Iron & Steel Co., Ltd. (Shanghai, China), was utilized in the present study. The average chemical composition of this steel is introduced in detail in Table 1. The contents of C and S elements are analyzed by carbon and sulfur analyzers, and other elements are analyzed by the Inductive Coupled PlasmaMass Spectrometer (7000DV Perkinelmer, Inc., Waltham, MA, USA). The optical microstructure (OM) of the sample is shown in Figure 1. The microstructure of all of the sample is composed of ferrtic and globular cementite. The average grain size is 7.8 μm.
Table 1.
The average chemical composition of the BG L450OQO-RCB pipe steel (wt.%).
Figure 1.
OM microscopy of the BG L450OQO-RCB pipe steel.
Rectangular steel samples measuring 5 mm × 5 mm × 13 mm were prepared using the wire cutting method and subsequently ground using 400#, 800#, 1200#, and 1500# sandpapers. The ground samples underwent a series of preparation steps. They were rinsed with deionized water, dehydrated, and dried using anhydrous ethanol. Subsequently, they were degreased in acetone and stored in a dryer. Prior to their use in SRB corrosion tests, all samples were sterilized using an autoclave.
2.2. SRB Cultivation
The SRB used in the present study were from the Desulfovibrio genus. The growth medium for bacteria was prepared by dissolving the following components in 1.0 l of deionized water: 1.0 g of yeast powder, 3.5 g of C3H5NaO3, 2.0 g of MgSO4, 1.0 g of CaSO4, 5.0 g of C6H8FeNO7, 1.0 g of BH4Cl, 0.5 g of K2HPO4, and 1.0 g of (NH4)2Fe(SO4)26H2O. Prior to preparation of the growth medium, deionized water was sterilized by pouring it into a high-temperature, high-pressure autoclave.
SRB was inoculated into the sterilized growth medium at a concentration of 10 cells/mL. The entire process was conducted within a sterile anaerobic glove box filled with nitrogen. If the growth medium turned black or precipitates formed, both would indicate the activity of SRB in the growth medium. SRB was cultured in a constant temperature incubator at 38 °C until about 7 days, and the growth of SRB reached a stable stage. The SRB was cultured in a constant-temperature incubator at 38 °C until the SRB growth reached a stable phase.
2.3. Immersion Testing
The steel samples were bundled with polytetrafluoroethylene (PTFE) tape and suspended within anaerobic bottles. Each bottle was then injected with 50 mL of growth medium. The entire process was conducted within a sealed glove box filled with nitrogen to ensure deoxygenation and prevent the bacterial liquid from coming into contact with oxygen. To investigate the effects of temperature and time on the corrosion rate of the steel, the reactor’s temperature was separately adjusted to 25, 40, and 60 °C, whereas anaerobic bottles containing the steel samples were placed in the reactor and removed in three batches after 5, 10, and 20 days. Then, the surface films formed onto the steel samples were fixed with 4% glutaraldehyde. Subsequently, the films were dehydrated step-by-step using anhydrous ethanol with concentrations of 20, 40, 80, and 100%. The samples were then placed in a vacuum drying dish to prevent oxidation until they were ready for use.
2.4. Morphology of Corrosion Products
The corrosion morphologies of the sample surfaces after SRB corrosion were observed using the field emission scanning electron microscope (FE-SEM) (FEI Quanta 200F, CIQTEK, Hefei, China). The microscope has a resolution of 1.5 nm and a magnification range of 25–2000 K. The accelerating voltage is 20 KV, and the type of electrons used to form the SEM image are “secondary electrons”. In addition, the chemical compositions of various morphological areas on the sample surfaces were estimated using the same microscope.
2.5. Electrochemical Performance
All electrochemical measurements were performed using a Gamry 600+ workstation (Shanghai Chenhua Instrument Co., Ltd., Shanghai, China) within a three-electrode system. The steel samples acted as the working electrode, while a platinum foil with a large surface area served as the counter electrode. A saturated calomel electrode (SCE), connected to the cell via a salt bridge, was used as the reference electrode. After immersion of steel samples for specified durations, the open circuit potential (OCP) was initially monitored. Once the OCP reached stabilization, potentiodynamic polarization tests were conducted with a scan rate of 0.5 mV/s, scanning from 200 mV below the OCP to 200 mV above the OCP. All electrochemical measurements were conducted in the growth medium and repeated three times to ensure the reproducibility and accuracy of the obtained results.
2.6. Analysis of the Corrosion Solution Composition
After the corrosion experiments, a small quantity of solution was extracted from each anaerobic bottle and appropriately diluted after filtration and centrifugation. Carbonate and bicarbonate ions were quantified through double indicator chemical color titration. Additionally, a Thermo ICPOES7200 instrument (ThermoFisher, 81 Wyman Street, Waltham, MA, USA) was utilized to determine the concentrations of potassium, sodium, calcium, and magnesium in the solution. The concentration of sulfide in the solution was determined using the methylene blue spectrophotometry method specified in HJ1226-2021 standard. A Thermo Scientific ICS-5000 ion chromatography system (ThermoFisher, 81 Wyman Street, Waltham, MA, USA) was employed to measure the concentrations of chloride and sulfate ions in the solution. Additionally, the concentration of ferrous ions in the solution was determined using the DLT502.26-2006 method for ferrous ion determination, specifically employing the phenanthroline method.
3. Results
3.1. Surface Features
3.1.1. Time Dependence of SRB Corrosion
Figure 2 depicts typical SEM micrographs showing the morphologies of BG L450OQO-RCB pipe steel sample surfaces after corrosion in the growth medium with SRB concentration of approximately 104 cells/mL at 40 °C for varying immersion times. After 5 days of immersion testing (Figure 2a), the surface of the sample exhibited corrosion products of diverse sizes and shapes. It displayed dark gray spherical products (red circular mark), bright diamond-shaped products (red rectangular mark), and strip-like products (red oval mark). After 10 days of corrosion (Figure 2b), there was a decrease in the presence of gray spherical products, while the presence of strip and diamond-shaped products increased. After 20 days of corrosion (Figure 2c), the diamond and strip products were nearly imperceptible, unlike the bright spherical products, which exhibited a scattered distribution across the surface of the steel sample.
Figure 2.
SEM scanning of BG L450OQO-RCB pipe steel after corrosion at 40 °C for different days with SRB concentration of 10,000/mL: (a) 5 days, (b) 10 days, and (c) 20 days.
Figure 3 displays typical results of EDS mapping of BG L450OQO-RCB pipe steel surfaces after corrosion in the bacterial liquid with SRB concentration of approximately 104 cells/mL at 40 °C for varying durations. After 5 days of immersion testing (Figure 3a), the surface of the sample exhibited limited products, primarily gray coverage, along with a small quantity of ellipsoidal products (red spherical markers). C, Cl, Fe, O, and S were the elements detected on the sample surface. The oval product was labeled as spherical and did not contain Fe but contained high concentrations of O and C elements. It was speculated that it was extracellular polymer (EPSs) produced by SRB. The distribution of O, S, Cl, and C was relatively uniform, indicating the presence of chloride and FeS corrosion product on the sample surface. After 10 days of corrosion (Figure 3b), there was an increase in corrosion products. These could be categorized into gray irregular shapes and bright irregular shapes mixed together based on their appearance and brightness. The surface composition primarily indicated the presence of C, Cl, Fe, and O elements. The surface product was poor in Fe but rich in C and O, leading to speculation that it was mainly composed of SRB-EPSs. According to the Cl distribution map, there was a presence of chloride on the steel surface. After 20 days of corrosion (Figure 3c), small and bright product were present on the steel surface. By comparing the distribution of elements, SRB-EPSs were mainly present in one part of this surface. The other part of the surface was covered with chloride and FeS corrosion products.

Figure 3.
EDS surface scanning results of BG L450OQO-RCB pipe steel after corrosion of SRB bacteria concentration 10,000/mL at 40 °C for different days: (a) 5 days, (b) 10 days, and (c) 20 days.
Figure 4 and Table 2 display EDS point analyses of BG L450OQO-RCB pipe steel surfaces after corrosion in the bacterial liquid with SRB concentration of approximately 104 cells/mL at 40 °C for varying durations. Despite SRB metabolism producing O, the oxygen peak observed in EDS was notably strong. This phenomenon could be attributed to surface oxidation occurring after corrosion and before SEM-EDS analysis. After 5 days of corrosion (Figure 4a), the surface exhibited irregular-sized product aggregation areas, with the majority being diamond-shaped, along with scattered distribution areas. EDS analysis in point 1 indicated that the diamond product was primarily composed of P and Fe, suggesting it to be a Fe-P compound. The analysis in point 2 suggested that irregular gray products comprised elements such as P, Fe, Cl, Ca, and Na. Hence, the gray area was presumed to be a chloride-based corrosion product. After 10 days of corrosion (Figure 4b), although the shapes of the surface products analyzed at points 1, 2, and 3 varied, they all contained P and Fe. The intensity of C peaks in EDS spectra derived at points 1 and 2 was higher than that obtained from the sample surfaces after 5 days of corrosion. After 20 days of corrosion (Figure 4c), significant changes in surface morphology were observed, with the presence of a uniform surface corrosion product. The EDS spectrum taken at point 1 exhibited strong Na, Cl, and Fe peaks and relatively weak C and P peaks, indicating that the surface was primarily composed of chlorides. The corrosion caused by SRB gradually intensified up to 10 days. In other words, between 0 and 10 days of immersion, there was a gradual increase in the number of surface products. However, from 10 to 20 days of immersion, the environmental corrosion on the steel surfaces intensified, resulting in the formation of a chloride product film that hindered the corrosion caused by SRB.
Figure 4.
SEM point scanning results of BG L450OQO-RCB pipe steel after corrosion at 40 °C with SRB bacteria concentration of 10,000/mL: (a) 5 days, (b) 10 days, and (c) 20 days.
Table 2.
The element content of points in Figure 4 by EDS point scanning.
Table 3 displays the solution composition (mg/L) after the corrosion of steel samples in bacterial liquid with an SRB concentration of 104 cells/mL at 40 °C for different immersion times. As the corrosion time increased, the pH value remained stable, and the concentration of sulfate ions gradually increased. The content of Na+ and Cl− ions initially decreased and then increased with corrosion time. Conversely, the concentrations of Ca2+ and Mg2+ initially increased and then decreased with the corrosion time. The presence of Fe ions was detected only after 10 days of corrosion. Throughout the corrosion process, both SRB corrosion and chemical corrosion (Cl− corrosion) occurred concurrently. After 20 days of corrosion, the pH value increased and the content of sulfate ions increased, indicating reduced consumption. This suggested that after 20 days of corrosion, the activity of SRB decelerated and SRB corrosion weakened. Conversely, after 10 days of corrosion, the content of Cl− in the solution was the lowest, indicating that the Cl− corrosion was the strongest at this moment. Cl− corrosion was weak after 5 and 20 days of corrosion. However, after 10 days of corrosion, the content of Mg2+ and Ca2+ in the solution was the highest, indicating less consumption and suggesting that the calcium and magnesium deposition was the least pronounced at the 10-day mark.
Table 3.
Solution composition (mg/L) of BG L450OQO-RCB pipe steel after corrosion for different times under the condition of SRB bacteria concentration 10,000/mL and 40 °C.
3.1.2. Temperature Dependence of SRB Corrosion
In Figure 5, the SEM micrographs illustrate surface morphologies of BG L450OQO-RCB pipe steel samples after 10 days of corrosion in bacterial liquid with SRB concentration of 104 cells/mL at various temperatures. The types, morphology, distribution, and density of surface products on the steel samples after SRB corrosion at different temperatures exhibited variations. After corrosion at 25 °C (Figure 5a), the sample surface exhibited three surface products distinguished by different colors: extremely bright irregular shapes (circular mark), gray flocculent areas (rectangular mark), and the scattered distribution of medium-bright and extremely small spherical particles (elliptical mark). After corrosion at 40 °C (Figure 5b), the sample’s surface contained not only extremely small spherical particles (circular marks) similar to those in Figure 5a but also bright and dark strips (rectangular marks). After corrosion at 60 °C (Figure 5c), there were no particularly bright irregular shapes observed on the surface, unlike in the case of Figure 5a. Instead, a small number of extremely small spherical particles (elliptical mark) similar to the medium-bright particles in Figure 5a were observed. These particles were connected with the bright and dark strips (rectangular marks) seen in Figure 5b, forming pieces that appeared cracked (rectangular marks).
Figure 5.
BG L450OQO-RCB pipe steel in SRB bacteria concentration of 10,000/mL after 10 days; different temperature corrosion samples’ SEM morphology: (a) 25 °C, (b) 40 °C, and (c) 60 °C.
Figure 6 depicts the EDS mapping of BG L450OQO-RCB pipe steel sample surfaces after 10 days of corrosion in bacterial liquid with SRB concentration of 104 cells/mL at various temperatures. The brightness in the element distribution maps corresponded to higher element content. The distribution of the Cl element was non-uniform. At point 2 (where the gray edge was flocculent aggregates), there was an increase in brightness, indicating higher Cl content. The brightness distribution of the Fe element was relatively even, except at points 1 and 2. The distribution characteristic of the O element was similar to that of the C element, with an even distribution and the highest brightness observed at points 1 and 2. The P element was only detected at points 1 and 2, with a very low content and weak brightness. The distribution of S elements across the entire observation area was relatively uniform. The presence of S elements may originate from the solution or from the SRB metabolism. The P element was solely found at point 1 with low content, indicating that the P element did not originate from the solution. At point 1, the content of the Fe element was very low, while the contents of C and O elements were high. This suggested that the surface product at point 1 was primarily composed of SRB extracellular polymer substances (EPSs). Furthermore, the slightly bright floccules around the dark and gray matter at points 1 and 2 corresponded to the Cl element, indicating that chloride product was distributed around the SRB-EPSs.

Figure 6.
EDS surface scanning results of BG L450OQO-RCB pipe steel after 10 days of corrosion at SRB bacteria concentration of 10,000/mL: (a) 25 °C, (b) 40 °C, and (c) 60 °C.
After corrosion at 40 °C (Figure 6b), the content of the C element on the surface of the sample was low. The distribution of the Cl element was relatively uniform, with no obvious bright area observed. The distribution of the Fe element was non-uniform, and the element content was low in the gray area. The distribution of the O element was similar to that of the Fe element, appearing non-uniform with low element content in the gray area. The brightness of the P element was very weak across the entire detection area. Similarly, the distribution of S elements was relatively uniform, although the brightness was also relatively weak. The S element appeared relatively uniform but with weak brightness. This suggested that as the temperature increased, the presence of the surface sulfide film formed during the immersion of the sample decreased. The low content of the Fe element and the high content of the C and O elements indicated the presence of SRB-EPSs, with significantly increased content compared to corrosion at 25 °C. There was no significant change in the distribution of chloride.
After corrosion at 60 °C (Figure 6c), the brightness of the C element on the surface of the sample decreased significantly, and the distribution was sparse, indicating a reduction in SRB-EPSs and a decrease in SRB activity. The distribution of the Cl element was relatively uniform, with no obvious highlighted area. Compared to 20 and 40 °C, the brightness of Cl was reduced, suggesting a reduction in chloride content. The distribution of the Fe element was more uniform. The distribution of the O element was not uniform, with high brightness and the content of the O element observed at the product area. The brightness of the P element remained very weak across the entire detection area. Similarly, the distribution of S elements was relatively uniform, albeit with weak brightness. In summary, SRB activity was highest at 40 °C, followed by 20 °C, and relatively low at 60 °C.
Figure 7 and Table 4 display the EDS point analysis of the BG L450OQO-RCB pipe steel surface after 10 days of corrosion in bacterial liquid with an SRB concentration of 104 cells/mL at varying temperatures. After corrosion at 25 °C (Figure 7a), the irregularly shaped substance with high brightness at point 1 exhibited strong intensity of the Ca peak, indicating the formation of a calcium-rich product. The dark gray area at position 2 contained very small dispersions, mainly consisting of C, O, P, and Fe peaks, inferred to be SRB-EPSs. The color at point 3 is lighter, indicating a lower Fe peak intensity. After corrosion at 40 °C (Figure 7b), strong peaks of Fe and P were observed at point 1 with light and dark stripes, point 2 with spherical particles, and point 3. These features were presumed to be indicative of iron phosphide. After corrosion at 60 °C (Figure 7c), the highlighted irregular-shaped objects at point 1 mainly showed a strong Ca peak, with a secondary C peak, speculated to be the calcium-rich product. The object at point 2 could be the iron phosphide because P and Fe peaks were identified in this point. The objects at point 3 were suggested to be a combination of SRB-EPSs and iron phosphide due to the darker color than that at point 2, and they contained C, O, P, and Fe peaks.

Figure 7.
SEM point scanning results of BG L450OQO-RCB pipe steel after 10 days of corrosion at SRB bacteria concentration of 10,000/mL: (a) 25 °C, (b) 40 °C, and (c) 60 °C.
Table 4.
The element content of points in Figure 5 by EDS point scanning.
Table 5 presents the composition of the corrosion solution obtained after corrosion of BG L450OQO-RCB pipe steel surfaces in bacterial liquid with SRB concentration of 104 cells/mL for 10 days at different temperatures. The pH value remained relatively stable at 25 and 40 °C but increased slightly after corrosion at 60 °C. The difference in the content of Na+ and K+ at 25 and 40 °C was minimal, with a decrease observed at 60 °C. The content of Ca2+ in the solution decreased with the increase in temperature after corrosion, with little difference between 25 and 40 °C. However, the content of Ca2+ in the solution decreased significantly by 19% after corrosion at 60 °C. On the other hand, the content of Mg2+ in the solution remained relatively stable after corrosion at 25 and 40 °C but increased significantly after corrosion at 60 °C. Sulfide ions (S2−) were not detected at different temperatures. The content of Cl− in the solution remained stable after corrosion at 25 and 40 °C but decreased after corrosion at 60 °C. Similarly, the content of in the solution remained stable after corrosion at 25 and 40 °C but increased after corrosion at 60 °C.
Table 5.
Analysis of water quality components after 10 days of corrosion at different temperatures (mg/L).
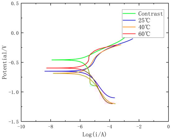
Figure 8 displays the polarization curves of BG L450OQO-RCB pipe steel samples before SRB corrosion and after corrosion at various temperatures. The corrosion current density of the sample before corrosion was −5.320 μA/cm2, with an electrode potential of −0.456 V. Table 6 presents the fitting results of the polarization curve of BG L450OQO-RCB pipe steel samples after corrosion in bacterial liquids with SRB concentration of 104 cells/mL for 20 days at different temperatures. Notably, there was no passivation zone observed in BG L450OQO-RCB pipe steel samples at various temperatures, indicating that steel consistently remained in an activated state. However, the electrode potential and current density varied at different temperatures. At 40 °C, BG L450OQO-RCB pipe steel exhibited a maximum potential of 0.678 V and a current density of 6.213 μA/cm2, followed by those at 25 °C. When the temperature was 60 °C, the polarization potential and the current density were the lowest. This suggested that the corrosion rate, the polarization potential, and the current density were highest after corrosion at 40 °C, followed by those at 25 °C and finally at 60 °C.
Figure 8.
Polarization curves of samples before corrosion and after 20 days of SRB immersion at different temperatures.
Table 6.
Polarization curve fitting results of samples immersed in SRB corrosion solution at different temperatures for 20 days.
4. Discussion
The dependence on immersion time (Figure 2, Figure 3 and Figure 4) and temperature (Figure 5, Figure 6 and Figure 7) during the SRB corrosion revealed the formation of three distinct types of morphologies on the surfaces of steel samples. The first type included SRB-EPSs, characterized by larger and brighter irregular shapes; iron sulfide, appearing in the form of brighter spherical shapes; and iron phosphide, displaying diamond and strip shapes, all associated with SRB metabolism. The second type comprised an anionic corrosion product, specifically ferric chloride, with a fine dot-like distribution. The third type observed was the surface product of calcium carbonate, appearing flocculent, concurrent with SRB corrosion. The time-dependent analysis of the SRB corrosion (Figure 4 and Table 3) revealed that the content of SRB-EPSs, iron sulfide, and iron phosphide, all associated with SRB metabolism, gradually decreased with immersion time. Conversely, the anion corrosion product, ferric chloride, demonstrated an initial increase followed by a decrease with immersion time. Similarly, the surface product of calcium carbonate exhibited an initial decrease followed by an increase with the progression of corrosion time. The temperature dependency investigation of the SRB corrosion (Figure 7 and Table 5) clarified that the content of SRB-EPSs, iron sulfide, and iron phosphide, linked to SRB metabolism, exhibited insignificant changes after SRB corrosion at 25–40 °C but decreased at 60 °C. The content of ferric chloride showed imperceptible changes at 25–40 °C but increased at 60 °C. Additionally, the surface product of calcium carbonate displayed a slight increase with the higher temperature.
SRB corrosion, as studied here, occurred in an anaerobic environment where sulfides and phosphides were identified. The polarization curves conducted at different temperatures (Figure 8) indicated a correlation between corrosion behavior and electrochemical performance. Hence, the corrosion properties can be elucidated through the cathodic depolarization theory [19]. SRB, adhering to the metal surface via anaerobic respiration, reduce SO42− and SO32− to S2− while deriving energy from the process. SRB produce various metabolites, including H2S and CO2 [20], inorganic phosphide [21], and secrete biofilms containing EPSs [22]. These EPSs comprise polysaccharides, lipids, nucleic acids, proteins, and other organic and inorganic substances, exhibiting considerable strength and viscosity and strong adhesion to metal surfaces. The presence of EPSs can be estimated through EDS analysis, showcasing richness in C and O elements but lacking in Fe content. The essence of SRB cathodic depolarization theory lies in its ability to sustain metabolism by utilizing cathodic hydrogen, subsequently disrupting the surface product and promoting metal anodic dissolution, thereby hastening corrosion [23]. SRB possess distinctive biohydrogenase enzymes. Once SRB attach to the metal surface and forms a film, the bacteria’s hydrogenase enzymes utilize the surface hydrogen at the cathode site to reduce sulfate and sulfite to H2S. This compound, along with FeS and other iron sulfides, undergoes depolarization to generate iron ions [24]. Furthermore, the depolarization effect extends to inorganic phosphide resulting from SRB metabolism and H2S reacting with phosphate and phosphite in the solution. The present study revealed the presence of iron ions in the SRB solution (Table 3 and Table 5). Additionally, SRB corrosion was found to coexist with low-concentration chloride ion corrosion. The action of chloride ions accelerates corrosion by disrupting surface coverings and establishing local battery effects [25]. During SRB corrosion, the bacteria attach to the metal surface, initiating metabolism and triggering depolarization corrosion. Concurrently, chloride ions contribute to the formation of local batteries near the SRB corrosion sites, thereby escalating the corrosion rate. SRB also generates metabolites during this process. The metabolites containing C and O elements interact with calcium ions in the solution, resulting in the formation of calcium carbonate. This process leads to an increase in surface product over time, which hinders SRB depolarization corrosion and consequently reduces the corrosion rate. Initially, chloride ions are more prone to causing corrosion due to the lack of surface product, leading to an increase in chloride concentration. However, as corrosion progresses and the product increases, chloride ion corrosion decreases, and chloride concentration decreases as well. The nutrient composition also decreases gradually as SRB corrosion progresses, contributing to the reduction in products formed. When the temperature exceeds 40 °C, SRB activity decreases, leading to reduced corrosion rates and the easier formation of surface products. In this scenario, the SRB-related corrosion products decrease while the surface products increase. Additionally, higher temperatures facilitate the diffusion of chloride ions, resulting in more severe chloride ion corrosion. Consequently, the products of chloride ion corrosion tend to increase at elevated temperatures.
5. Conclusions
The present study delved into the SRB corrosion of Cu-containing L450 (BG L450OQO-RCB) pipeline steel in terms of the morphology and elemental composition of the corrosion products, corrosion rate, corrosion solution compositions, and electrochemical performance at different temperatures (25, 40, and 60 °C) and immersion times (5, 10, and 20 days). The aim was to elucidate the SRB corrosion mechanism of the investigated steel. The following conclusions were derived:
- Throughout the SRB corrosion process, three distinct morphologies were observed on the surfaces of steel samples: SRB-EPSs (irregular shape), iron sulfide (brighter spherical shape), and iron phosphide (diamond and strip shape). Concurrently, a surface product of calcium carbonate (flocculent) formed. The presence of chloride ions in the solution also led to Cl− corrosion and the formation of chloride compounds during SRB corrosion.
- With increasing immersion time, the presence of SRB-EPSs, iron sulfide, and iron phosphide gradually decreased. Conversely, the presence of ferric chloride initially increased before decreasing. The surface calcium carbonate product initially decreased its presence, which was followed by an increase.
- The quantities of SRB-EPSs, iron sulfide, and iron phosphide remained relatively stable between 25 and 40 °C but decreased overall at 60 °C. Similarly, the presence of the anionic corrosion product ferric chloride showed minimal variation between 25 and 40 °C but increased notably at 60 °C. Additionally, there was a slight increase in the surface product of calcium carbonate as the temperature rose.
The cathodic depolarization theory provided an effective explanation for the corrosion of L450 pipeline steel caused by SRB bacteria.
Author Contributions
Conceptualization, Y.W.; methodology, P.L.; software, Q.L. (Qingwen Liang); data curation, B.W.; writing—original draft preparation, J.S.; writing—review and editing, H.J.; visualization, Q.L. (Qingjian Liu). All authors have read and agreed to the published version of the manuscript.
Funding
This research was funded by [China National Offshore Oil Corporation (CNOOC) China Ltd.], grant number [70304805].
Institutional Review Board Statement
Not applicable.
Informed Consent Statement
Not applicable.
Data Availability Statement
The data presented in this study are available on request from the corresponding author.
Conflicts of Interest
Author Pei Li was employed by the company “CCCC First Harbor Engineering Co., Ltd.”, Author Qingwen Liang was employed by the company “China National Offshore Oil Corporation (CNOOC) China Ltd., _Zhanjiang” and Author Baihong Wu was employed by the company “CNOOC Safety Technology Service Co., Ltd., Zhanjiang Branch”. The remaining authors declare that the re-search was conducted in the absence of any commercial or financial relationships that could be construed as a potential conflict of interest.
References
- Yu, Y.; Xu, J.; Liu, B.; Chai, T.; Sun, C. Selective corrosion behavior of X80 steel heat affected zone by SRB in coastal saline soil. Int. J. Press. Vessel. Pip. 2023, 203, 104924. [Google Scholar] [CrossRef]
- Peng, Y.; Liu, X. Modification of D-W model for corrosion rate of shale gas pipeline under the synergistic corrosion of SRB and CO2. Anti-Corros. Methods Mater. 2021, 68, 150–159. [Google Scholar]
- De Romero, M.F.; Duque, Z.; De Rincón, O.; Perez, O.; Araujo, I. Study of the cathodic depolarization theory with hydrogen permeation and the bacteria Desulfovibrio desulfuricans. Rev. Metal. 2003, 34, 182–187. [Google Scholar] [CrossRef]
- Xu, C.; Gao, H.; Zhu, W.; Wang, W.; Sun, C.; Chen, Y. Effect of SRB and Applied Potential on Stress Corrosion Behavior of X80 Steel in High-pH Soil Simulated Solution. Materials 2021, 14, 6981. [Google Scholar] [CrossRef] [PubMed]
- Yazdi, M.; Khan, F.; Abbassi, R. Microbiologically influenced corrosion (MIC) management using Bayesian inference. Ocean Eng. 2021, 226, 108852. [Google Scholar] [CrossRef]
- Booth, G.H.; Tiller, A.K. Cathodic characteristics of mild steel in suspensions of sulphate-reducing bacteria. Corros. Sci. 1968, 8, 583–600. [Google Scholar] [CrossRef]
- Muyzer, G.; Stams, A.J.M. The ecology and biotechnology of sulphate-reducing bacteria. Nat. Rev. Microbiol. 2008, 6, 441. [Google Scholar] [CrossRef] [PubMed]
- Starosvetsky, D.; Khaselev, O.; Starosvetsky, J.; Armon, R.; Yahalom, J. Effect of iron exposure in SRB media on pitting initiation. Corros. Sci. 2000, 42, 345–359. [Google Scholar] [CrossRef]
- Wu, T.; Yan, M.; Yu, L.; Zhao, H.; Sun, C.; Yin, F.; Ke, W. Stress corrosion of pipeline steel under disbonded coating in a SRB-containing environment. Corros. Sci. 2019, 157, 518–530. [Google Scholar] [CrossRef]
- Xie, F.; Wang, X.; Wang, D.; Wu, M.; Yu, C.; Sun, D. Effect of strain rate and sulfate reducing bacteria on stress corrosion cracking behaviour of X70 pipeline steel in simulated sea mud solution. Eng. Fail. Anal. 2019, 100, 245–258. [Google Scholar] [CrossRef]
- Wu, T.; Sun, C.; Ke, W. Interpreting microbiologically assisted cracking with Ee-pH diagrams. Bioelectrochemistry 2018, 120, 57–65. [Google Scholar] [CrossRef]
- Qin, M.; Liao, K.; He, G.; Ye, N.; Zhao, S.; Zhang, S. Flow Influenced Initiation and Propagation of SRB Corrosion on L360N Carbon Steel. Arab. J. Sci. Eng. 2022, 47, 11469–11480. [Google Scholar] [CrossRef]
- Wen, J.; Gu, T.; Nesic, S. Investigation of the Effects of Fluid Flow on SRB Biofilm; Srdjan Nesic Paper 07516; Ohio University: Athens, OH, USA, 2007. [Google Scholar]
- Ismail, M.; Noor, N.; Yahaya, N.; Abdullah, A.; Rasol, R.M.; Rashid, A.S. The Effect of pH and Temperature on Corrosion of Steel Subject To Sulphate-Reducing Bacteria. J. Environ. Sci. Technol. 2014, 7, 209–217. [Google Scholar] [CrossRef]
- Yang, Y.; Xiao, C.; Yang, Y.; Liang, B. Research on the reliability of X70 steel gas pipelines under SRB main control factors SRB. Mater. Corros. 2022, 73, 687–702. [Google Scholar] [CrossRef]
- Feng, Z.; Li, J.; Ma, J.; Su, Y.; Zheng, X.; Mao, Y.; Zhao, Z. EBSD Characterization of 7075 Aluminum Alloy and Its Corrosion Behaviors in SRB Marine Environment. J. Mar. Sci. Eng. 2022, 10, 740. [Google Scholar] [CrossRef]
- Liu, W.; Bi, W.; Hu, Y.; Lu, W.; Feng, W.; Wang, Y.; Li, Y.; Liu, J. Influence of initial pH and sulfate-reducing bacteria concentration on the microbiologically influenced corrosion of buried pipeline steel. Mater. Corros. 2024, 4, 1. [Google Scholar] [CrossRef]
- Little, B.J. A perspective on the use of anion ratios to predict corrosion in Yucca Mountain. Corrosion 2003, 59, 701–704. [Google Scholar] [CrossRef]
- Rybalka, K.V.; Beketaeva, L.A.; Davydov, A.D. Determination of corrosion current density by the rate of cathodic depolarizer consumption. Russ. J. Electrochem. 2016, 52, 268–272. [Google Scholar] [CrossRef]
- Anandkumar, B.; George, R.P.; Maruthamuthu, S.; Parvathavarthini, N.; Mudali, U.K. Corrosion characteristics of sulfate-reducing bacteria (SRB) and the role of molecular biology in SRB studies: An overview. Corros. Rev. 2016, 34, 41–63. [Google Scholar] [CrossRef]
- Li, J.; Liu, X.; Zhang, J.; Zhang, R.; Wang, M.; Sand, W.; Duan, J.; Zhu, Q.; Zhai, S.; Hou, B. Effects of Inorganic Metabolites of Sulphate-Reducing Bacteria on the Corrosion of AZ31B and AZ63B Magnesium Alloy in 3.5 wt.% NaCl Solution. Materials 2022, 15, 2212. [Google Scholar] [CrossRef]
- Liu, D.; Fan, Q.; Papineau, D.; Yu, N.; Chu, Y.; Wang, H.; Qiu, X.; Wang, X. Precipitation of protodolomite facilitated by sulfate-reducing bacteria: The role of capsule extracellular polymeric substances. Chem. Geol. 2020, 533, 119415. [Google Scholar] [CrossRef]
- Xie, F.; Li, X.; Wang, D.; Wu, M.; Sun, D. Synergistic effect of sulphate-reducing bacteria and external tensile stress on the corrosion behaviour of X80 pipeline steel in neutral soil environment. Eng. Fail. Anal. 2018, 91, 382–396. [Google Scholar] [CrossRef]
- Chen, S.; Cheng, Y.F.; Voordouw, G. A comparative study of corrosion of 316L stainless steel in biotic and abiotic sulfide environments. Int. Biodeterior. Biodegrad. 2017, 120, 91–96. [Google Scholar] [CrossRef]
- Sun, C.; Xu, J.; Wang, F.H.; Yu, C.K. Effect of sulfate reducing bacteria on corrosion of stainless steel 1Cr18Ni9Ti in soils containing chloride ions. Mater. Chem. Phys. 2011, 126, 330–336. [Google Scholar] [CrossRef]
Disclaimer/Publisher’s Note: The statements, opinions and data contained in all publications are solely those of the individual author(s) and contributor(s) and not of MDPI and/or the editor(s). MDPI and/or the editor(s) disclaim responsibility for any injury to people or property resulting from any ideas, methods, instructions or products referred to in the content. |
© 2024 by the authors. Licensee MDPI, Basel, Switzerland. This article is an open access article distributed under the terms and conditions of the Creative Commons Attribution (CC BY) license (https://creativecommons.org/licenses/by/4.0/).