The Effects of Halogen (Cl, Br) Decorating on the Gas Adsorption Behaviors of the Pristine Black Phosphorene: A First-Principles Study
Abstract
1. Introduction
2. Methods and Models
2.1. Computational Methods
2.2. BP Model and Gas Adsorption Model
2.3. The Effects of Halogen Atoms Decorating on the Adsorption Properties of BP Monolayer
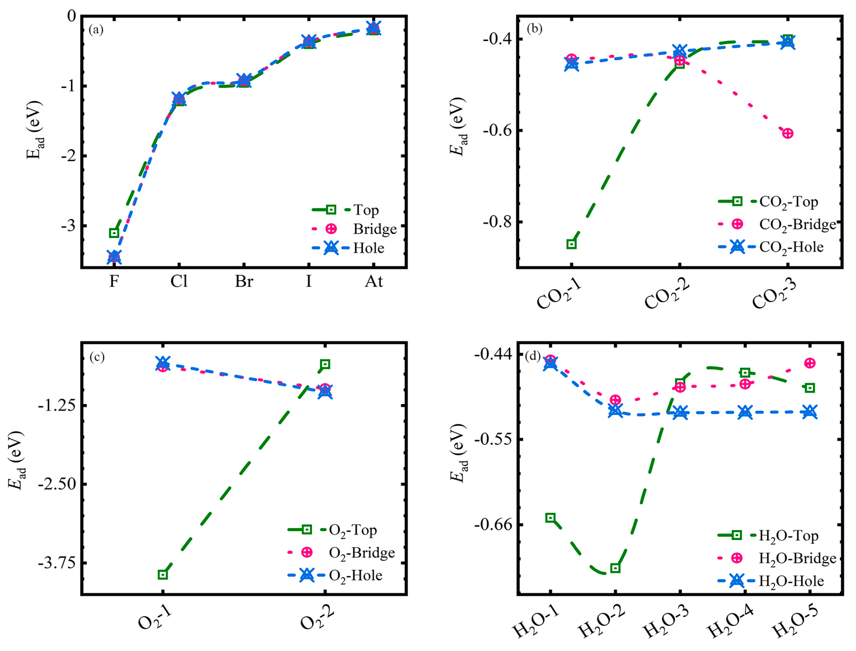
3. Results and Discussion
| Adsorbates | dT (Å) | dB (Å) | dH (Å) |
|---|---|---|---|
| F | 1.69 | 1.69 | 1.69 |
| Cl | 2.24 | 2.24 | 2.24 |
| Br | 2.47 | 2.47 | 2.47 |
| I | 2.73 | 2.72 | 2.72 |
| At | 2.82 | 2.82 | 2.82 |
| CO2-1 | 3.30 | 3.42 | 3.24 |
| CO2-2 | 3.32 | 3.33 | 3.39 |
| CO2-3 | 3.33 | 3.05 | 2.94 |
| H2O-1 | 3.17 | 3.09 | 2.86 |
| H2O-2 | 3.38 | 3.13 | 2.90 |
| H2O-3 | 3.34 | 3.14 | 2.90 |
| H2O-4 | 3.32 | 3.32 | 2.91 |
| H2O-5 | 3.32 | 3.28 | 2.91 |
| O2-1 | 1.66 | 2.75 | 2.77 |
| O2-2 | 2.61 | 2.52 | 2.52 |
4. Conclusions
Author Contributions
Funding
Institutional Review Board Statement
Informed Consent Statement
Data Availability Statement
Conflicts of Interest
References
- Liu, Y.; Guo, J.; He, Q.; Wu, H.; Cheng, H.-C.; Ding, M.; Shakir, I.; Gambin, V.; Huang, Y.; Duan, X. Vertical charge transport and negative transconductance in multilayer molybdenum disulfides. Nano Lett. 2017, 17, 5495–5501. [Google Scholar] [CrossRef]
- Manzeli, S.; Ovchinnikov, D.; Pasquier, D.; Yazyev, O.V.; Kis, A. 2D transition metal dichalcogenides. Nat. Rev. Mater. 2017, 2, 17033. [Google Scholar] [CrossRef]
- Novoselov, K.S.; Jiang, D.; Schedin, F.; Booth, T.; Khotkevich, V.; Morozov, S.; Geim, A.K. Two-dimensional atomic crystals. Proc. Natl. Acad. Sci. USA 2005, 102, 10451–10453. [Google Scholar] [CrossRef]
- Novoselov, K.S.; Mishchenko, A.; Carvalho, O.A.; Castro Neto, A. 2D materials and van der Waals heterostructures. Science 2016, 353, aac9439. [Google Scholar] [CrossRef]
- Pang, X.; Qin, L.; Xu, B.; Liu, Q.; Yu, Y. Ultralarge contraction directed by light-driven unlocking of prestored strain energy in linear liquid crystal polymer fibers. Adv. Funct. Mater. 2020, 30, 2002451. [Google Scholar] [CrossRef]
- Zhang, H. Ultrathin two-dimensional nanomaterials. ACS Nano 2015, 9, 9451–9469. [Google Scholar] [CrossRef]
- Zhang, S.; Guo, S.; Chen, Z.; Wang, Y.; Gao, H.; Gómez-Herrero, J.; Ares, P.; Zamora, F.; Zhu, Z.; Zeng, H. Recent progress in 2D group-VA semiconductors: From theory to experiment. Chem. Soc. Rev. 2018, 47, 982–1021. [Google Scholar] [CrossRef]
- Persson, I.; Halim, J.; Lind, H.; Hansen, T.W.; Wagner, J.B.; Näslund, L.Å.; Darakchieva, V.; Palisaitis, J.; Rosen, J.; Persson, P.O. 2D transition metal carbides (MXenes) for carbon capture. Adv. Mater. 2019, 31, 1805472. [Google Scholar] [CrossRef]
- Wang, B.; Zhou, A.; Liu, F.; Cao, J.; Wang, L.; Hu, Q. Carbon dioxide adsorption of two-dimensional carbide MXenes. J. Adv. Ceram. 2018, 7, 237–245. [Google Scholar] [CrossRef]
- Ares, P.; Novoselov, K.S. Recent advances in graphene and other 2D materials. Nano Mater. Sci. 2022, 4, 3–9. [Google Scholar] [CrossRef]
- Champagne, A.; Charlier, J.-C. Physical properties of 2D MXenes: From a theoretical perspective. J. Phys. Mater. 2020, 3, 032006. [Google Scholar] [CrossRef]
- Liu, Y.; Zhang, S.; He, J.; Wang, Z.M.; Liu, Z. Recent progress in the fabrication, properties, and devices of heterostructures based on 2D materials. Nano-Micro Lett. 2019, 11, 13. [Google Scholar] [CrossRef]
- Gupta, A.; Sakthivel, T.; Seal, S. Recent development in 2D materials beyond graphene. Prog. Mater. Sci. 2015, 73, 44–126. [Google Scholar] [CrossRef]
- Chang, Y.-M.; Lin, H.-W.; Li, L.-J.; Chen, H.-Y. Two-dimensional materials as anodes for sodium-ion batteries. Mater. Today Adv. 2020, 6, 100054. [Google Scholar] [CrossRef]
- Xiao, Y.; Ding, Y.; Cheng, H.; Lu, Z. The potential application of 2D Ti2CT2 (T=C, O and S) monolayer MXenes as anodes for Na-ion batteries: A theoretical study. Comput. Mater. Sci. 2019, 163, 267–277. [Google Scholar] [CrossRef]
- Liu, D.; Barbar, A.; Najam, T.; Javed, M.S.; Shen, J.; Tsiakaras, P.; Cai, X. Single noble metal atoms doped 2D materials for catalysis. Appl. Catal. B Environ. 2021, 297, 120389. [Google Scholar] [CrossRef]
- Gao, Y.; Zhuo, H.; Cao, Y.; Sun, X.; Zhuang, G.; Deng, S.; Zhong, X.; Wei, Z.; Wang, J. A theoretical study of electrocatalytic ammonia synthesis on single metal atom/MXene. Chin. J. Catal. 2019, 40, 152–159. [Google Scholar] [CrossRef]
- Peng, J.; Chen, X.; Ong, W.-J.; Zhao, X.; Li, N. Surface and heterointerface engineering of 2D MXenes and their nanocomposites: Insights into electro-and photocatalysis. Chem 2019, 5, 18–50. [Google Scholar] [CrossRef]
- Wang, Y.; Mao, J.; Meng, X.; Yu, L.; Deng, D.; Bao, X. Catalysis with two-dimensional materials confining single atoms: Concept, design, and applications. Chem. Rev. 2018, 119, 1806–1854. [Google Scholar] [CrossRef]
- Zhu, J.; Ha, E.; Zhao, G.; Zhou, Y.; Huang, D.; Yue, G.; Hu, L.; Sun, N.; Wang, Y.; Lee, L.Y.S. Recent advance in MXenes: A promising 2D material for catalysis, sensor and chemical adsorption. Coord. Chem. Rev. 2017, 352, 306–327. [Google Scholar] [CrossRef]
- Gao, G.; O’Mullane, A.P.; Du, A. 2D MXenes: A new family of promising catalysts for the hydrogen evolution reaction. Acs Catal. 2017, 7, 494–500. [Google Scholar] [CrossRef]
- Wang, Y.; Ma, S.; Wang, L.; Jiao, Z. A novel highly selective and sensitive NH3 gas sensor based on monolayer Hf2CO2. Appl. Surf. Sci. 2019, 492, 116–124. [Google Scholar] [CrossRef]
- Rajkumar, K.; Kumar, R.R. Gas sensors based on two-dimensional materials and its mechanisms. In Fundamentals and Sensing Applications of 2D Materials; Elsevier: Amsterdam, The Netherlands, 2019; pp. 205–258. [Google Scholar]
- Joshi, N.; Hayasaka, T.; Liu, Y.; Liu, H.; Oliveira, O.N.; Lin, L. A review on chemiresistive room temperature gas sensors based on metal oxide nanostructures, graphene and 2D transition metal dichalcogenides. Microchim. Acta 2018, 185, 213. [Google Scholar] [CrossRef]
- Tang, X.; Du, A.; Kou, L. Gas sensing and capturing based on two-dimensional layered materials: Overview from theoretical perspective. Wiley Interdiscip. Rev. Comput. Mol. Sci. 2018, 8, e1361. [Google Scholar] [CrossRef]
- Varghese, S.S.; Lonkar, S.; Singh, K.; Swaminathan, S.; Abdala, A. Recent advances in graphene based gas sensors. Sens. Actuators B Chem. 2015, 218, 160–183. [Google Scholar] [CrossRef]
- Li, L.; Yu, Y.; Ye, G.J.; Ge, Q.; Ou, X.; Wu, H.; Feng, D.; Chen, X.H.; Zhang, Y. Black phosphorus field-effect transistors. Nat. Nanotechnol. 2014, 9, 372–377. [Google Scholar] [CrossRef]
- Liu, H.; Neal, A.T.; Zhu, Z.; Tomanek, D.; Ye, P.D. Phosphorene: A new 2D material with high carrier mobility. arXiv 2014, arXiv:1401.4133. [Google Scholar]
- Buscema, M.; Groenendijk, D.J.; Blanter, S.I.; Steele, G.A.; Van Der Zant, H.S.; Castellanos-Gomez, A. Fast and broadband photoresponse of few-layer black phosphorus field-effect transistors. Nano Lett. 2014, 14, 3347–3352. [Google Scholar] [CrossRef]
- Wang, G.; Pandey, R.; Karna, S.P. Effects of extrinsic point defects in phosphorene: B, C, N, O, and F adatoms. Appl. Phys. Lett. 2015, 106, 173104. [Google Scholar] [CrossRef]
- Wan, B.; Zhou, Q.; Zhang, J.; Wang, Y.; Yang, B.; Lv, W.; Zhang, B.; Zeng, Z.; Chen, Q.; Wang, J. Enhanced Stability of Black Phosphorus Field-Effect Transistors via Hydrogen Treatment. Adv. Electron. Mater. 2018, 4, 1700455. [Google Scholar] [CrossRef]
- Xia, F.; Wang, H.; Jia, Y. Rediscovering black phosphorus as an anisotropic layered material for optoelectronics and electronics. Nat. Commun. 2014, 5, 4458. [Google Scholar] [CrossRef]
- Tran, V.; Soklaski, R.; Liang, Y.; Yang, L. Layer-controlled band gap and anisotropic excitons in few-layer black phosphorus. Phys. Rev. B Condens. Matter 2014, 89, 235319. [Google Scholar] [CrossRef]
- Engel, M.; Steiner, M.; Avouris, P. Black phosphorus photodetector for multispectral, high-resolution imaging. Nano Lett. 2014, 14, 6414–6417. [Google Scholar] [CrossRef]
- Das, S.; Zhang, W.; Demarteau, M.; Hoffmann, A.; Dubey, M.; Roelofs, A. Tunable transport gap in phosphorene. Nano Lett. 2014, 14, 5733–5739. [Google Scholar] [CrossRef]
- Li, Q.; Zhou, Q.; Niu, X.; Zhao, Y.; Chen, Q.; Wang, J. Covalent functionalization of black phosphorus from first-principles. J. Phys. Chem. Lett. 2016, 7, 4540–4546. [Google Scholar] [CrossRef]
- Kou, L.; Chen, C.; Smith, S.C. Phosphorene: Fabrication, properties, and applications. J. Phys. Chem. Lett. 2015, 6, 2794–2805. [Google Scholar] [CrossRef]
- Rodin, A.; Carvalho, A.; Neto, A.C. Strain-induced gap modification in black phosphorus. Phys. Rev. Lett. 2014, 112, 176801. [Google Scholar] [CrossRef]
- Liu, H.; Neal, A.T.; Zhu, Z.; Luo, Z.; Xu, X.; Tománek, D.; Ye, P.D. Phosphorene: An unexplored 2D semiconductor with a high hole mobility. ACS Nano 2014, 8, 4033–4041. [Google Scholar] [CrossRef]
- Castellanos-Gomez, A. Black phosphorus: Narrow gap, wide applications. J. Phys. Chem. Lett. 2015, 6, 4280–4291. [Google Scholar] [CrossRef]
- Geim, A.K.; Novoselov, K.S. The rise of graphene. Nat. Mater. 2007, 6, 183–191. [Google Scholar] [CrossRef]
- Zhang, X.; Zhao, X.; Wu, D.; Jing, Y.; Zhou, Z. MnPSe3 monolayer: A promising 2D visible-light photohydrolytic catalyst with high carrier mobility. Adv. Sci. 2016, 3, 1600062. [Google Scholar] [CrossRef]
- Sun, S.; Meng, F.; Wang, H.; Wang, H.; Ni, Y. Novel two-dimensional semiconductor SnP 3: High stability, tunable bandgaps and high carrier mobility explored using first-principles calculations. J. Mater. Chem. A 2018, 6, 11890–11897. [Google Scholar] [CrossRef]
- Wang, Y.; Huang, P.; Ye, M.; Quhe, R.; Pan, Y.; Zhang, H.; Zhong, H.; Shi, J.; Lu, J. Many-body effect, carrier mobility, and device performance of hexagonal arsenene and antimonene. Chem. Mater. 2017, 29, 2191–2201. [Google Scholar] [CrossRef]
- Koenig, S.P.; Doganov, R.A.; Schmidt, H.; Castro Neto, A.; Özyilmaz, B. Electric field effect in ultrathin black phosphorus. Appl. Phys. Lett. 2014, 104, 103106. [Google Scholar] [CrossRef]
- Doganov, R.A.; Koenig, S.P.; Yeo, Y.; Watanabe, K.; Taniguchi, T.; Özyilmaz, B. Transport properties of ultrathin black phosphorus on hexagonal boron nitride. Appl. Phys. Lett. 2015, 106, 083505. [Google Scholar] [CrossRef]
- Kamalakar, M.V.; Madhushankar, B.; Dankert, A.; Dash, S.P. Effect of high-k dielectric and ionic liquid gate on nanolayer black-phosphorus field effect transistors. Appl. Phys. Lett. 2015, 107, 113103. [Google Scholar] [CrossRef]
- Deng, B.; Tran, V.; Xie, Y.; Jiang, H.; Li, C.; Guo, Q.; Wang, X.; Tian, H.; Koester, S.J.; Wang, H. Efficient electrical control of thin-film black phosphorus bandgap. Nat. Commun. 2017, 8, 14474. [Google Scholar] [CrossRef]
- Ahmed, F.; Kim, Y.D.; Yang, Z.; He, P.; Hwang, E.; Yang, H.; Hone, J.; Yoo, W.J. Impact ionization by hot carriers in a black phosphorus field effect transistor. Adv. Mater. Technol. 2018, 9, 3414. [Google Scholar] [CrossRef]
- Chen, Y.; Ren, R.; Pu, H.; Chang, J.; Mao, S.; Chen, J. Field-effect transistor biosensors with two-dimensional black phosphorus nanosheets. Biosens. Bioelectron. 2017, 89, 505–510. [Google Scholar] [CrossRef]
- Chen, C.; Youngblood, N.; Peng, R.; Yoo, D.; Mohr, D.A.; Johnson, T.W.; Oh, S.-H.; Li, M. Three-dimensional integration of black phosphorus photodetector with silicon photonics and nanoplasmonics. Nano Lett. 2017, 17, 985–991. [Google Scholar] [CrossRef]
- Chen, X.; Lu, X.; Deng, B.; Sinai, O.; Shao, Y.; Li, C.; Yuan, S.; Tran, V.; Watanabe, K.; Taniguchi, T. Widely tunable black phosphorus mid-infrared photodetector. Nat. Commun. 2017, 8, 1672. [Google Scholar] [CrossRef]
- Ren, X.; Li, Z.; Huang, Z.; Sang, D.; Qiao, H.; Qi, X.; Li, J.; Zhong, J.; Zhang, H. Environmentally robust black phosphorus nanosheets in solution: Application for self-powered photodetector. Adv. Funct. Mater. 2017, 27, 1606834. [Google Scholar] [CrossRef]
- Zhang, M.; Wu, Q.; Zhang, F.; Chen, L.; Jin, X.; Hu, Y.; Zheng, Z.; Zhang, H. 2D black phosphorus saturable absorbers for ultrafast photonics. Adv. Opt. Mater. 2019, 7, 1800224. [Google Scholar] [CrossRef]
- He, J.; Tao, L.; Zhang, H.; Zhou, B.; Li, J. Emerging 2D materials beyond graphene for ultrashort pulse generation in fiber lasers. Nanoscale 2019, 11, 2577–2593. [Google Scholar] [CrossRef]
- Wang, Y.; Zhang, F.; Tang, X.; Chen, X.; Chen, Y.; Huang, W.; Liang, Z.; Wu, L.; Ge, Y.; Song, Y. All-optical phosphorene phase modulator with enhanced stability under ambient conditions. Laser Photonics Rev. 2018, 12, 1800016. [Google Scholar] [CrossRef]
- Tang, S.; He, Z.; Liang, G.; Chen, S.; Ge, Y.; Sang, D.K.; Lu, J.; Lu, S.; Wen, Q.; Zhang, H. Pulse duration dependent nonlinear optical response in black phosphorus dispersions. Opt. Commun. 2018, 406, 244–248. [Google Scholar] [CrossRef]
- Shi, J.; Li, Z.; Sang, D.K.; Xiang, Y.; Li, J.; Zhang, S.; Zhang, H. THz photonics in two dimensional materials and metamaterials: Properties, devices and prospects. J. Mater. Chem. C 2018, 6, 1291–1306. [Google Scholar] [CrossRef]
- Liu, J.; Chen, Y.; Li, Y.; Zhang, H.; Zheng, S.; Xu, S. Switchable dual-wavelength Q-switched fiber laser using multilayer black phosphorus as a saturable absorber. Photonics Res. 2018, 6, 198–203. [Google Scholar] [CrossRef]
- Bao, X.; Ou, Q.; Xu, Z.Q.; Zhang, Y.; Bao, Q.; Zhang, H. Band structure engineering in 2D materials for optoelectronic applications. Adv. Mater. Technol. 2018, 3, 1800072. [Google Scholar] [CrossRef]
- Zhou, Y.; Zhang, M.; Guo, Z.; Miao, L.; Han, S.-T.; Wang, Z.; Zhang, X.; Zhang, H.; Peng, Z. Recent advances in black phosphorus-based photonics, electronics, sensors and energy devices. Mater. Horiz. 2017, 4, 997–1019. [Google Scholar] [CrossRef]
- Xu, Y.; Wang, W.; Ge, Y.; Guo, H.; Zhang, X.; Chen, S.; Deng, Y.; Lu, Z.; Zhang, H. Stabilization of black phosphorous quantum dots in PMMA nanofiber film and broadband nonlinear optics and ultrafast photonics application. Adv. Funct. Mater. 2017, 27, 1702437. [Google Scholar] [CrossRef]
- Liu, Y.; Shivananju, B.N.; Wang, Y.; Zhang, Y.; Yu, W.; Xiao, S.; Sun, T.; Ma, W.; Mu, H.; Lin, S. Highly efficient and air-stable infrared photodetector based on 2D layered graphene–black phosphorus heterostructure. ACS Appl. Mater. Interfaces 2017, 9, 36137–36145. [Google Scholar] [CrossRef]
- Liu, S.; Li, Z.; Ge, Y.; Wang, H.; Yue, R.; Jiang, X.; Li, J.; Wen, Q.; Zhang, H. Graphene/phosphorene nano-heterojunction: Facile synthesis, nonlinear optics, and ultrafast photonics applications with enhanced performance. Photonics Res. 2017, 5, 662–668. [Google Scholar] [CrossRef]
- Jiang, X.-F.; Zeng, Z.; Li, S.; Guo, Z.; Zhang, H.; Huang, F.; Xu, Q.-H. Tunable broadband nonlinear optical properties of black phosphorus quantum dots for femtosecond laser pulses. Materials 2017, 10, 210. [Google Scholar] [CrossRef]
- Ge, Y.; Chen, S.; Xu, Y.; He, Z.; Liang, Z.; Chen, Y.; Song, Y.; Fan, D.; Zhang, K.; Zhang, H. Few-layer selenium-doped black phosphorus: Synthesis, nonlinear optical properties and ultrafast photonics applications. J. Mater. Chem. C 2017, 5, 6129–6135. [Google Scholar] [CrossRef]
- Du, J.; Zhang, M.; Guo, Z.; Chen, J.; Zhu, X.; Hu, G.; Peng, P.; Zheng, Z.; Zhang, H. Phosphorene quantum dot saturable absorbers for ultrafast fiber lasers. Sci. Rep. 2017, 7, 42357. [Google Scholar] [CrossRef]
- Kovalenko, M.V.; Protesescu, L.; Bodnarchuk, M.I. Properties and potential optoelectronic applications of lead halide perovskite nanocrystals. Science 2017, 358, 745–750. [Google Scholar] [CrossRef]
- Mortazavi, B.; Rabczuk, T. Anisotropic mechanical properties and strain tuneable band-gap in single-layer SiP, SiAs, GeP and GeAs. Phys. E Low-Dimens. Syst. Nanostruct. 2018, 103, 273–278. [Google Scholar] [CrossRef]
- Zhang, S.; Guo, S.; Huang, Y.; Zhu, Z.; Cai, B.; Xie, M.; Zhou, W.; Zeng, H. Two-dimensional SiP: An unexplored direct band-gap semiconductor. 2D Mater. 2016, 4, 015030. [Google Scholar] [CrossRef]
- Xie, Z.; Wang, D.; Fan, T.; Xing, C.; Li, Z.; Tao, W.; Liu, L.; Bao, S.; Fan, D.; Zhang, H. Black phosphorus analogue tin sulfide nanosheets: Synthesis and application as near-infrared photothermal agents and drug delivery platforms for cancer therapy. J. Mater. Chem. B 2018, 6, 4747–4755. [Google Scholar] [CrossRef]
- Li, L.; Kim, J.; Jin, C.; Ye, G.J.; Qiu, D.Y.; Da Jornada, F.H.; Shi, Z.; Chen, L.; Zhang, Z.; Yang, F. Direct observation of the layer-dependent electronic structure in phosphorene. Nat. Nanotechnol. 2017, 12, 21–25. [Google Scholar] [CrossRef]
- Zhang, G.; Huang, S.; Chaves, A.; Song, C.; Özçelik, V.O.; Low, T.; Yan, H. Infrared fingerprints of few-layer black phosphorus. Nat. Commun. 2017, 8, 14071. [Google Scholar] [CrossRef]
- Wang, X.; Jones, A.M.; Seyler, K.L.; Tran, V.; Jia, Y.; Zhao, H.; Wang, H.; Yang, L.; Xu, X.; Xia, F. Highly anisotropic and robust excitons in monolayer black phosphorus. Nat. Nanotechnol. 2015, 10, 517–521. [Google Scholar] [CrossRef]
- Schuster, R.; Trinckauf, J.; Habenicht, C.; Knupfer, M.; Büchner, B. Anisotropic particle-hole excitations in black phosphorus. Phys. Rev. Lett. 2015, 115, 026404. [Google Scholar] [CrossRef]
- Mei, P.; Kim, J.; Kumar, N.A.; Pramanik, M.; Kobayashi, N.; Sugahara, Y.; Yamauchi, Y. Phosphorus-based mesoporous materials for energy storage and conversion. Joule 2018, 2, 2289–2306. [Google Scholar] [CrossRef]
- Pang, J.; Bachmatiuk, A.; Yin, Y.; Trzebicka, B.; Zhao, L.; Fu, L.; Mendes, R.G.; Gemming, T.; Liu, Z.; Rummeli, M.H. Applications of phosphorene and black phosphorus in energy conversion and storage devices. Adv. Energy Mater. 2018, 8, 1702093. [Google Scholar] [CrossRef]
- Qiao, J.; Kong, X.; Hu, Z.-X.; Yang, F.; Ji, W. High-mobility transport anisotropy and linear dichroism in few-layer black phosphorus. Nat. Commun. 2014, 5, 4475. [Google Scholar] [CrossRef]
- Yuan, H.; Liu, X.; Afshinmanesh, F.; Li, W.; Xu, G.; Sun, J.; Lian, B.; Curto, A.G.; Ye, G.; Hikita, Y. Polarization-sensitive broadband photodetector using a black phosphorus vertical P–N junction. Nat. Nanotechnol. 2015, 10, 707–713. [Google Scholar] [CrossRef]
- Sherrott, M.C.; Whitney, W.S.; Jariwala, D.; Biswas, S.; Went, C.M.; Wong, J.; Rossman, G.R.; Atwater, H.A. Anisotropic quantum well electro-optics in few-layer black phosphorus. Nano Lett. 2018, 19, 269–276. [Google Scholar] [CrossRef]
- Chen, C.; Lu, X.; Deng, B.; Chen, X.; Guo, Q.; Li, C.; Ma, C.; Yuan, S.; Sung, E.; Watanabe, K. Widely tunable mid-infrared light emission in thin-film black phosphorus. Sci. Adv. 2020, 6, eaay6134. [Google Scholar] [CrossRef]
- Huang, S.; Lu, Y.; Wang, F.; Lei, Y.; Song, C.; Zhang, J.; Xing, Q.; Wang, C.; Xie, Y.; Mu, L. Layer-dependent pressure effect on the electronic structure of 2D black phosphorus. Phys. Rev. Lett. 2021, 127, 186401. [Google Scholar] [CrossRef]
- Wang, J.; Rousseau, A.; Yang, M.; Low, T.; Francoeur, S.; Kéna-Cohen, S. Mid-infrared polarized emission from black phosphorus light-emitting diodes. Nano Lett. 2020, 20, 3651–3655. [Google Scholar] [CrossRef]
- Liu, X.; Ang, K.W.; Yu, W.; He, J.; Feng, X.; Liu, Q.; Jiang, H.; Tang, D.; Wen, J.; Lu, Y.; et al. Black Phosphorus Based Field Effect Transistors with Simultaneously Achieved Near Ideal Subthreshold Swing and High Hole Mobility at Room Temperature. Sci. Rep. 2016, 6, 24920. [Google Scholar] [CrossRef]
- Lv, W.; Yang, B.; Wang, B.; Wan, W.; Ge, Y.; Yang, R.; Hao, C.; Xiang, J.; Zhang, B.; Zeng, Z. Sulfur-doped black phosphorus field-effect transistors with enhanced stability. ACS Appl. Mater. Interfaces 2018, 10, 9663–9668. [Google Scholar] [CrossRef]
- Deng, Y.; Luo, Z.; Conrad, N.J.; Liu, H.; Gong, Y.; Najmaei, S.; Ajayan, P.M.; Lou, J.; Xu, X.; Ye, P.D. Black phosphorus–monolayer MoS2 van der Waals heterojunction P–N diode. ACS Nano 2014, 8, 8292–8299. [Google Scholar] [CrossRef]
- Kulish, V.V.; Malyi, O.I.; Persson, C.; Wu, P. Phosphorene as an anode material for Na-ion batteries: A first-principles study. Phys. Chem. Chem. Phys. 2015, 17, 13921–13928. [Google Scholar] [CrossRef]
- Guo, Q.; Pospischil, A.; Bhuiyan, M.; Jiang, H.; Tian, H.; Farmer, D.; Deng, B.; Li, C.; Han, S.-J.; Wang, H. Black phosphorus mid-infrared photodetectors with high gain. Nano Lett. 2016, 16, 4648–4655. [Google Scholar] [CrossRef]
- Abate, Y.; Akinwande, D.; Gamage, S.; Wang, H.; Snure, M.; Poudel, N.; Cronin, S.B. Recent progress on stability and passivation of black phosphorus. Adv. Mater. 2018, 30, 1704749. [Google Scholar] [CrossRef]
- Shriber, P.; Samanta, A.; Nessim, G.D.; Grinberg, I. First-principles investigation of black phosphorus synthesis. J. Mater. Chem. A 2018, 9, 1759–1764. [Google Scholar] [CrossRef]
- Luo, M.; Fan, T.; Zhou, Y.; Zhang, H.; Mei, L. 2D black phosphorus–based biomedical applications. Adv. Funct. Mater. 2019, 29, 1808306. [Google Scholar] [CrossRef]
- Reina, G.; González-Domínguez, J.M.; Criado, A.; Vázquez, E.; Bianco, A.; Prato, M. Promises, facts and challenges for graphene in biomedical applications. Chem. Soc. Rev. 2017, 46, 4400–4416. [Google Scholar] [CrossRef]
- Zhang, B.; Wei, P.; Zhou, Z.; Wei, T. Interactions of graphene with mammalian cells: Molecular mechanisms and biomedical insights. Adv. Drug Deliv. Rev. 2016, 105, 145–162. [Google Scholar] [CrossRef]
- Dai, S.; Tymchenko, M.; Xu, Z.-Q.; Tran, T.T.; Yang, Y.; Ma, Q.; Watanabe, K.; Taniguchi, T.; Jarillo-Herrero, P.; Aharonovich, I. Internal nanostructure diagnosis with hyperbolic phonon polaritons in hexagonal boron nitride. Nano Lett. 2018, 18, 5205–5210. [Google Scholar] [CrossRef]
- Zhang, A.; Li, A.; Zhao, W.; Liu, J. Recent advances in functional polymer decorated two-dimensional transition-metal dichalcogenides nanomaterials for chemo-photothermal therapy. Chem. Eur. J. 2018, 24, 4215–4227. [Google Scholar] [CrossRef]
- Hynek, J.; Zelenka, J.; Rathouský, J.I.; Kubát, P.; Ruml, T.S.; Demel, J.; Lang, K. Designing porphyrinic covalent organic frameworks for the photodynamic inactivation of bacteria. ACS Appl. Mater. Interfaces 2018, 10, 8527–8535. [Google Scholar] [CrossRef]
- Sun, Z.; Zhao, Y.; Li, Z.; Cui, H.; Zhou, Y.; Li, W.; Tao, W.; Zhang, H.; Wang, H.; Chu, P.K. as an Efficient Contrast Agent for In Vivo Photoacoustic Imaging of Cancer. Small 2017, 13, 1602896. [Google Scholar] [CrossRef]
- Tao, W.; Zhu, X.; Yu, X.; Zeng, X.; Xiao, Q.; Zhang, X.; Ji, X.; Wang, X.; Shi, J.; Zhang, H. Black phosphorus nanosheets as a robust delivery platform for cancer theranostics. Adv. Mater. 2017, 29, 1603276. [Google Scholar] [CrossRef]
- Yin, F.; Hu, K.; Chen, S.; Wang, D.; Zhang, J.; Xie, M.; Yang, D.; Qiu, M.; Zhang, H.; Li, Z.-G. Black phosphorus quantum dot based novel siRNA delivery systems in human pluripotent teratoma PA-1 cells. J. Mater. Chem. B 2017, 5, 5433–5440. [Google Scholar] [CrossRef]
- Fan, T.; Zhou, Y.; Qiu, M.; Zhang, H. Black phosphorus: A novel nanoplatform with potential in the field of bio-photonic nanomedicine. J. Innov. Opt. Health Sci. 2018, 11, 1830003. [Google Scholar] [CrossRef]
- Qiu, M.; Wang, D.; Liang, W.; Liu, L.; Zhang, Y.; Chen, X.; Sang, D.K.; Xing, C.; Li, Z.; Dong, B. Novel concept of the smart NIR-light–controlled drug release of black phosphorus nanostructure for cancer therapy. Proc. Natl. Acad. Sci. USA 2018, 115, 501–506. [Google Scholar] [CrossRef]
- Xing, C.; Chen, S.; Qiu, M.; Liang, X.; Liu, Q.; Zou, Q.; Li, Z.; Xie, Z.; Wang, D.; Dong, B. Conceptually novel black phosphorus/cellulose hydrogels as promising photothermal agents for effective cancer therapy. Adv. Healthc. Mater. 2018, 7, 1701510. [Google Scholar] [CrossRef]
- Zhou, J.; Li, Z.; Ying, M.; Liu, M.; Wang, X.; Wang, X.; Cao, L.; Zhang, H.; Xu, G. Black phosphorus nanosheets for rapid microRNA detection. Chin. J. Catal. 2018, 10, 5060–5064. [Google Scholar] [CrossRef]
- Cho, S.-Y.; Koh, H.-J.; Yoo, H.-W.; Jung, H.-T. Tunable chemical sensing performance of black phosphorus by controlled functionalization with noble metals. Chem. Mater. 2017, 29, 7197–7205. [Google Scholar] [CrossRef]
- Li, P.; Zhang, D.; Jiang, C.; Zong, X.; Cao, Y. Ultra-sensitive suspended atomically thin-layered black phosphorus mercury sensors. Biosens. Bioelectron. 2017, 98, 68–75. [Google Scholar] [CrossRef]
- Wu, L.; Guo, J.; Wang, Q.; Lu, S.; Dai, X.; Xiang, Y.; Fan, D. Sensitivity enhancement by using few-layer black phosphorus-graphene/TMDCs heterostructure in surface plasmon resonance biochemical sensor. Sens. Actuators B Chem. 2017, 249, 542–548. [Google Scholar] [CrossRef]
- Yao, Y.; Zhang, H.; Sun, J.; Ma, W.; Li, L.; Li, W.; Du, J. Novel QCM humidity sensors using stacked black phosphorus nanosheets as sensing film. Sens. Actuators B Chem. 2017, 244, 259–264. [Google Scholar] [CrossRef]
- Yew, Y.T.; Sofer, Z.; Mayorga-Martinez, C.C.; Pumera, M. Black phosphorus nanoparticles as a novel fluorescent sensing platform for nucleic acid detection. Mater. Chem. Front. 2017, 1, 1130–1136. [Google Scholar] [CrossRef]
- Chen, T.; Zhao, P.; Guo, X.; Zhang, S. Two-fold anisotropy governs morphological evolution and stress generation in sodiated black phosphorus for sodium ion batteries. Nano Lett. 2017, 17, 2299–2306. [Google Scholar] [CrossRef]
- Chen, X.; Xu, G.; Ren, X.; Li, Z.; Qi, X.; Huang, K.; Zhang, H.; Huang, Z.; Zhong, J. A black/red phosphorus hybrid as an electrode material for high-performance Li-ion batteries and supercapacitors. J. Mater. Chem. A 2017, 5, 6581–6588. [Google Scholar] [CrossRef]
- Cheng, Y.; Zhu, Y.; Han, Y.; Liu, Z.; Yang, B.; Nie, A.; Huang, W.; Shahbazian-Yassar, R.; Mashayek, F. Sodium-induced reordering of atomic stacks in black phosphorus. Chem. Mater. 2017, 29, 1350–1356. [Google Scholar] [CrossRef]
- Liu, H.; Tao, L.; Zhang, Y.; Xie, C.; Zhou, P.; Liu, H.; Chen, R.; Wang, S. Bridging covalently functionalized black phosphorus on graphene for high-performance sodium-ion battery. ACS Appl. Mater. Interfaces 2017, 9, 36849–36856. [Google Scholar] [CrossRef]
- Liu, H.; Zou, Y.; Tao, L.; Ma, Z.; Liu, D.; Zhou, P.; Liu, H.; Wang, S. Sandwiched thin-film anode of chemically bonded black phosphorus/graphene hybrid for lithium-ion battery. Small 2017, 13, 1700758. [Google Scholar] [CrossRef]
- Qiu, M.; Sun, Z.; Sang, D.; Han, X.; Zhang, H.; Niu, C. Current progress in black phosphorus materials and their applications in electrochemical energy storage. Nanoscale 2017, 9, 13384–13403. [Google Scholar] [CrossRef]
- Zhao, G.; Wang, T.; Shao, Y.; Wu, Y.; Huang, B.; Hao, X. A Novel Mild Phase-Transition to Prepare Black Phosphorus Nanosheets with Excellent Energy Applications. Small 2017, 13, 1602243. [Google Scholar] [CrossRef]
- Luo, S.; Zhao, J.; Zou, J.; He, Z.; Xu, C.; Liu, F.; Huang, Y.; Dong, L.; Wang, L.; Zhang, H. Self-standing polypyrrole/black phosphorus laminated film: Promising electrode for flexible supercapacitor with enhanced capacitance and cycling stability. ACS Appl. Mater. Interfaces 2018, 10, 3538–3548. [Google Scholar] [CrossRef]
- He, R.; Hua, J.; Zhang, A.; Wang, C.; Peng, J.; Chen, W.; Zeng, J. Molybdenum disulfide–black phosphorus hybrid nanosheets as a superior catalyst for electrochemical hydrogen evolution. Nano Lett. 2017, 17, 4311–4316. [Google Scholar] [CrossRef]
- Lin, Y.; Pan, Y.; Zhang, J. In-situ grown of Ni2P nanoparticles on 2D black phosphorus as a novel hybrid catalyst for hydrogen evolution. Int. J. Hydrogen Energy 2017, 42, 7951–7956. [Google Scholar] [CrossRef]
- Dillon, A.C.; Jones, K.; Bekkedahl, T.; Kiang, C.; Bethune, D.; Heben, M. Storage of hydrogen in single-walled carbon nanotubes. Nature 1997, 386, 377–379. [Google Scholar] [CrossRef]
- Yildirim, T.; Ciraci, S. Titanium-decorated carbon nanotubes as a potential high-capacity hydrogen storage medium. Phys. Rev. Lett. 2005, 94, 175501. [Google Scholar] [CrossRef]
- Kou, L.; Frauenheim, T.; Chen, C. Phosphorene as a superior gas sensor: Selective adsorption and distinct I–V response. J. Phys. Chem. Lett. 2014, 5, 2675–2681. [Google Scholar] [CrossRef]
- Cai, Y.; Ke, Q.; Zhang, G.; Zhang, Y.-W. Energetics, charge transfer, and magnetism of small molecules physisorbed on phosphorene. J. Phys. Chem. C 2015, 119, 3102–3110. [Google Scholar] [CrossRef]
- Sibari, A.; Kerrami, Z.; Benaissa, M.; Kara, A. Coverage-dependent adsorption of small gas molecules on black phosphorene: A DFT study. Surf. Sci. 2021, 710, 121860. [Google Scholar] [CrossRef]
- Li, Q.-F.; Wan, X.; Duan, C.-G.; Kuo, J.-L. Theoretical prediction of hydrogen storage on Li-decorated monolayer black phosphorus. J. Phys. D Appl. Phys. 2014, 47, 465302. [Google Scholar] [CrossRef]
- Hassani, N.; Yagmurcukardes, M.; Peeters, F.M.; Neek-Amal, M. Chlorinated phosphorene for energy application. Comput. Mater. Sci. 2024, 231, 112625. [Google Scholar] [CrossRef]
- Taylor, P.D.; Tawfik, S.A.; Spencer, M.J. Interplay of mechanical and chemical tunability of phosphorene for flexible nanoelectronic applications. J. Phys. Chem. C 2020, 124, 24391–24399. [Google Scholar] [CrossRef]
- Nehra, M.; Dilbaghi, N.; Kumar, R.; Srivastava, S.; Tankeshwar, K.; Kim, K.-H.; Kumar, S. Catalytic applications of phosphorene: Computational design and experimental performance assessment. Crit. Rev. Environ. Sci. Technol. 2024, 54, 185–209. [Google Scholar] [CrossRef]
- Plutnar, J.; Šturala, J.; Mazánek, V.; Sofer, Z.; Pumera, M. Fluorination of black phosphorus—Will black phosphorus burn down in the elemental fluorine? Adv. Funct. Mater. 2018, 28, 1801438. [Google Scholar] [CrossRef]
- Kresse, G.; Furthmüller, J. Efficiency of ab-initio total energy calculations for metals and semiconductors using a plane-wave basis set. Comput. Mater. Sci. 1996, 6, 15–50. [Google Scholar] [CrossRef]
- Arya, A.; Carter, E.A. Structure, bonding, and adhesion at the TiC (100)/Fe (110) interface from first principles. J. Chem. Phys. 2003, 118, 8982–8996. [Google Scholar] [CrossRef]
- Wu, Z.; Cohen, R.E. More accurate generalized gradient approximation for solids. Phys. Rev. B 2006, 73, 235116. [Google Scholar] [CrossRef]
- Budimir, M.; Damjanovic, D.; Setter, N. Piezoelectric response and free-energy instability in the perovskite crystals BaTi O3, PbTiO3, and Pb(Zr, Ti)O3. Phys. Rev. B 2006, 73, 174106. [Google Scholar] [CrossRef]
- Perdew, J.P.; Burke, K.; Ernzerhof, M. Generalized Gradient Approximation Made Simple. Phys. Rev. Lett. 1996, 77, 3865–3868. [Google Scholar] [CrossRef]
- Blöchl, P.E. Projector augmented-wave method. Phys. Rev. B 1994, 50, 17953–17979. [Google Scholar] [CrossRef]
- Kresse, G.; Joubert, D. From ultrasoft pseudopotentials to the projector augmented-wave method. Phys. Rev. B Condens. Matter 1999, 59, 1758–1775. [Google Scholar] [CrossRef]
- Kresse, G.; Furthmüller, J. Efficient iterative schemes for ab initio total-energy calculations using a plane-wave basis set. Phys. Rev. B 1996, 54, 11169–11186. [Google Scholar] [CrossRef]
- Perdew, J.; McMullen, E.; Zunger, A. Density-functional theory of the correlation energy in atoms and ions: A simple analytic model and a challenge. Phys. Rev. A 1981, 23, 2785. [Google Scholar] [CrossRef]
- Vanderbilt, D. Soft self-consistent pseudopotentials in a generalized eigenvalue formalism. Phys. Rev. B 1990, 41, 7892. [Google Scholar] [CrossRef]
- Monkhorst, H.J.; Pack, J.D. Special points for Brillouin-zone integrations. Phys. Rev. B 1976, 13, 5188–5192. [Google Scholar] [CrossRef]
- Kirklin, S.; Saal, J.E.; Hegde, V.I.; Wolverton, C. High-throughput computational search for strengthening precipitates in alloys. Acta Mater. 2016, 102, 125–135. [Google Scholar] [CrossRef]
- Feynman, R.P. Forces in Molecules. Phys. Rev. 1939, 56, 340. [Google Scholar] [CrossRef]
- Pham, K.D.; Hoang, T.-D.; Nguyen, Q.-T.; Hoang, D.-Q. Fe-doped SnSe monolayer: A promising 2D material for reusable SO2 gas sensor with high sensitivity. J. Alloys Compd. 2023, 940, 168919. [Google Scholar] [CrossRef]
- Hembram, K.; Jung, H.; Yeo, B.C.; Pai, S.J.; Kim, S.; Lee, K.-R.; Han, S.S. Unraveling the atomistic sodiation mechanism of black phosphorus for sodium ion batteries by first-principles calculations. J. Phys. Chem. C 2015, 119, 15041–15046. [Google Scholar] [CrossRef]
- Brown, A.; Rundqvist, S. Refinement of the crystal structure of black phosphorus. Acta Crystallogr. 1965, 19, 684–685. [Google Scholar] [CrossRef]
- Jiang, J.-W.; Park, H.S. Negative poisson’s ratio in single-layer black phosphorus. Nat. Commun. 2014, 5, 4727. [Google Scholar] [CrossRef]
- Jiang, J.-W.; Park, H.S. Mechanical properties of single-layer black phosphorus. J. Phys. D Appl. Phys. 2014, 47, 385304. [Google Scholar] [CrossRef]
- Ju, W.; Li, T.; Wang, H.; Yong, Y.; Sun, J. Strain-induced semiconductor to metal transition in few-layer black phosphorus from first principles. Chem. Phys. Lett. 2015, 622, 109–114. [Google Scholar] [CrossRef]
- Xu, Y.; Shi, Z.; Shi, X.; Zhang, K.; Zhang, H. Recent progress in black phosphorus and black-phosphorus-analogue materials: Properties, synthesis and applications. Nanoscale 2019, 11, 14491–14527. [Google Scholar] [CrossRef]
- Sahin, H.; Ciraci, S. Chlorine adsorption on graphene: Chlorographene. J. Phys. Chem. C 2012, 116, 24075–24083. [Google Scholar] [CrossRef]







| Adsorbates | T-Ead (eV) | B-Ead (eV) | H-Ead (eV) |
|---|---|---|---|
| F | −3.11 | −3.45 | −3.45 |
| Cl | −1.22 | −1.18 | −1.18 |
| Br | −0.95 | −0.93 | −0.92 |
| I | −0.40 | −0.37 | −0.36 |
| At | −0.20 | −0.18 | −0.17 |
| CO2-1 | −0.85 | −0.44 | −0.46 |
| CO2-2 | −0.45 | −0.45 | −0.43 |
| CO2-3 | −0.40 | −0.61 | −0.41 |
| H2O-1 | −0.65 | −0.45 | −0.45 |
| H2O-2 | −0.72 | −0.50 | −0.51 |
| H2O-3 | −0.48 | −0.48 | −0.52 |
| H2O-4 | −0.48 | −0.45 | −0.51 |
| H2O-5 | −0.46 | −0.48 | −0.52 |
| O2-1 | −1.99 | −0.63 | −0.58 |
| O2-2 | −0.59 | −0.98 | −1.04 |
| Adsorbates | dCl/Br | d0-Cl/Br | d0-gas | Ead (eV) | |
|---|---|---|---|---|---|
| T-Cl | CO2-1 | 2.24 | 2.28 | 3.29 | −1.70 |
| CO2-2 | 2.24 | 2.26 | 2.98 | −1.50 | |
| CO2-3 | 2.24 | 2.23 | 2.88 | −1.46 | |
| H2O-1 | 2.24 | 2.18 | 2.97 | −1.15 | |
| H2O-2 | 2.24 | 2.29 | 3.15 | −1.48 | |
| H2O-3 | 2.24 | 2.27 | 3.17 | −1.43 | |
| H2O-4 | 2.24 | 2.29 | 3.15 | −1.25 | |
| H2O-5 | 2.24 | 2.27 | 3.16 | −1.36 | |
| O2-1 | 2.24 | 2.27 | 2.26 | −2.03 | |
| O2-2 | 2.24 | 2.27 | 2.27 | −2.09 | |
| T-Br | CO2-1 | 2.47 | 2.43 | 3.10 | −1.19 |
| CO2-2 | 2.47 | 2.50 | 3.36 | −1.37 | |
| CO2-3 | 2.47 | 2.42 | 3.03 | −1.64 | |
| H2O-1 | 2.47 | 2.43 | 3.17 | −1.10 | |
| H2O-2 | 2.47 | 2.50 | 3.24 | −1.14 | |
| H2O-3 | 2.47 | 2.51 | 3.23 | −1.20 | |
| H2O-4 | 2.47 | 2.51 | 3.30 | −1.21 | |
| H2O-5 | 2.47 | 2.52 | 3.55 | −1.23 | |
| O2-1 | 2.47 | 2.50 | 2.74 | −2.00 | |
| O2-2 | 2.47 | 2.50 | 2.27 | −1.95 | |
Disclaimer/Publisher’s Note: The statements, opinions and data contained in all publications are solely those of the individual author(s) and contributor(s) and not of MDPI and/or the editor(s). MDPI and/or the editor(s) disclaim responsibility for any injury to people or property resulting from any ideas, methods, instructions or products referred to in the content. |
© 2024 by the authors. Licensee MDPI, Basel, Switzerland. This article is an open access article distributed under the terms and conditions of the Creative Commons Attribution (CC BY) license (https://creativecommons.org/licenses/by/4.0/).
Share and Cite
Tan, X.; Lin, L.; Fan, T.; Zhang, K. The Effects of Halogen (Cl, Br) Decorating on the Gas Adsorption Behaviors of the Pristine Black Phosphorene: A First-Principles Study. Coatings 2024, 14, 694. https://doi.org/10.3390/coatings14060694
Tan X, Lin L, Fan T, Zhang K. The Effects of Halogen (Cl, Br) Decorating on the Gas Adsorption Behaviors of the Pristine Black Phosphorene: A First-Principles Study. Coatings. 2024; 14(6):694. https://doi.org/10.3390/coatings14060694
Chicago/Turabian StyleTan, Xinjun, Lan Lin, Touwen Fan, and Kaiwang Zhang. 2024. "The Effects of Halogen (Cl, Br) Decorating on the Gas Adsorption Behaviors of the Pristine Black Phosphorene: A First-Principles Study" Coatings 14, no. 6: 694. https://doi.org/10.3390/coatings14060694
APA StyleTan, X., Lin, L., Fan, T., & Zhang, K. (2024). The Effects of Halogen (Cl, Br) Decorating on the Gas Adsorption Behaviors of the Pristine Black Phosphorene: A First-Principles Study. Coatings, 14(6), 694. https://doi.org/10.3390/coatings14060694

