Next Article in Journal
Crystalline Structure and Optical Properties of Cobalt Nickel Oxide Thin Films Deposited with a Pulsed Hollow-Cathode Discharge in an Ar+O2 Gas Mixture
Next Article in Special Issue
Preparation of CrCoFeNiMn High-Entropy Alloy Coatings Using Gas Atomization and Laser Cladding: An Investigation of Microstructure, Mechanical Properties, and Wear Resistance
Previous Article in Journal
Wear Reduction on the Roller–Shoe Mechanism at High Operation Loads
 
 
Font Type:
Arial Georgia Verdana
Font Size:
Aa Aa Aa
Line Spacing:
Column Width:
Background:
Article

The Effect of Laser Power on the Microstructure and Wear Resistance of a Ni3Al-Based Alloy Cladding Layer Deposited via Laser Cladding

1
School of Materials Science and Engineering, Tianjin University of Technology, Tianjin 300384, China
2
Welding Institute, Central Iron and Steel Research Institute, Beijing 100081, China
*
Authors to whom correspondence should be addressed.
Coatings 2024, 14(3), 317; https://doi.org/10.3390/coatings14030317
Submission received: 12 February 2024 / Revised: 4 March 2024 / Accepted: 5 March 2024 / Published: 6 March 2024
(This article belongs to the Special Issue Laser Surface Modifications and Additive Manufacturing)

Abstract

A coating prepared via laser cladding has the advantages of a high-density reinforced layer, a low matrix dilution rate, and combination with matrix metallurgy. In this study, Ni3Al-based alloy cladding layers with Cr7C3 were prepared via laser cladding, and the corresponding microstructures and wear resistance were studied in detail. The results show that the Ni3Al-based cladding layer prepared using laser cladding technology had good metallurgical bonding with the matrix, and there were no pores, cracks, or other defects on the surface. The microstructures of the laser cladding layer were mainly γ′-Ni3Al, β′-NiAl, and in situ C7C3. As the laser power increased, the heat input increased, resulting in an increase in the dilution rate. Simultaneously, the carbide size in the laser cladding layer increased. With the increase in laser power, the hardness of the laser cladding layer of the Ni3Al-based alloy decreased, and the wear resistance of the laser cladding layer first strengthened and then weakened. When the laser power increased to 2.0 kW, the wear rate of the laser cladding layer decreased to 0.480 × 10−5 mm3/N·m. When the laser power increased to 2.4 kW, the wear rate of the laser cladding layer increased to 0.961 × 10−5 mm3/N·m, which was twice the rate at 2.0 kW. This could be attributed to small Cr7C3 particles, which could not effectively separate the wear pairs, resulting in more serious adhesive wear. Large Cr7C3 particles caused the surface of cast iron material with lower hardness to be damaged, which suffered more serious particle wear. The generation of short rod-shaped carbides should be avoided because, in the process of friction and wear, carbides with these shapes are easy to break, thus leading to crack initiation.

1. Introduction

Ni3Al is a kind of intermetallic compound with high stability and excellent oxidation resistance. Moreover, Ni3Al exhibits an abnormal phenomenon where the yield strength increases with an increase in temperature because it has a long-range ordered L12-type face-centered cubic structure, which has led to it becoming a popular material in the field of high-temperature wear resistance [1,2]. Adding a hard phase to a Ni3Al alloy to improve its strength and wear resistance has also become a research hotspot of Ni3Al intermetallic compounds. In this way, the advantages of the high strength and high hardness of hard materials can be used to prepare Ni3Al-based composite materials. What is more, they can make up for the shortcomings of the poor plasticity of the hard phase and the insufficient strength of pure Ni3Al and can improve the high-temperature wear resistance of the material to a certain extent [3,4,5]. Cr7C3 stands out due to its high hardness; excellent high-temperature oxidation resistance and wear resistance; density, which is close to that of a Ni3Al alloy; small thermal expansion coefficient; good wettability, etc. Therefore, Ni3Al/Cr7C3 composites have great development potential and application value in the field of high-temperature wear resistance [6,7,8].
It is very important to choose the appropriate technology for the preparation of Ni3Al-based alloy materials with high-temperature wear resistance and oxidation resistance. At present, there are many processes used to prepare Ni3Al matrix composites, such as hot isostatic pressing [9], surfacing [10], thermal spraying [11], laser cladding [12], etc. Compared with other surface-strengthening technologies, laser cladding is an efficient and clean surface modification technology [13,14]. Chen et al. [15] studied the microstructure characteristics and wear resistance of a Ni3Al alloy and a Ni3Al/Cr3C2 laser cladding layer. Their results showed that Ni3Al and the Ni3Al/Cr3C2 laser cladding layer had good high-temperature wear resistance. When the temperature was 650 °C, the wear amount of the Ni3Al/Cr3C2 laser cladding layer was only 28% compared to vermicular cast iron. Thus, a laser cladding layer with good wear resistance and high microhardness was obtained. Liu et al. [16] used a Ni3Al + Cr3C2 mixed powder and a Ni3Al/Cr7C3 alloy powder to perform a laser cladding experiment, and the results showed that the microstructure of the laser cladding layer was uniform and dense, without defects, and showed metallurgical bonding with the substrate. Due to the high laser energy density and the fast cooling rate of the laser cladding layer, laser cladding technology has the effect of grain refinement and solution strengthening. Therefore, laser cladding is one of the best methods to prepare Ni3Al matrix composite wear-resistant coatings [17,18].
At the same temperature, the Gibbs energies of chromium carbide are Cr3C2 > Cr7C3 > Cr23C6. A chromium carbide with a smaller Gibbs free energy is more stable. It has been shown that the most thermodynamically stable chromium carbide (Cr23C6) can be formed under the condition of the heat treatment for a long time. However, the materials in the laser cladding process are in the non-equilibrium stage of solidification, so it is necessary to control the heat input to form more Cr7C3 rather than Cr3C2 in the laser cladding layer. Zhao et al. showed that an in situ Cr7C3-reinforced Ni3Al-based laser cladding layer was prepared via the laser cladding of Cr3C2 and Ni3Al mechanical mixed powder. When the amount of Cr3C2 was 15 wt.%, the microhardness of the laser cladding layer was about 400 HV. Compared with a pure Ni3Al laser cladding layer (about 250 HV), the microhardness increased by about 60% [19]. However, insufficient laser energy leads to the incomplete dissolution of Cr3C2, and excessive laser energy leads to the abnormal growth of Cr3C2, both of which affect the performance of the laser cladding layer. Therefore, laser power also has a crucial effect on the preparation of a Ni3Al-based alloy cladding with excellent properties. At present, there are few studies on the microstructure and wear resistance of Ni3Al/Cr7C3 laser cladding layers under different laser power conditions. Therefore, in this study, a novel design of an in situ Cr7C3-reinforced Ni3Al alloy powder was prepared for laser cladding experiments, and we studied the effects of different laser powers on the microstructure and properties of the prepared Cr7C3/Ni3Al alloy powder laser cladding layer.

2. Experimental Materials and Methods

2.1. Ni3Al/Cr7C3 Composite Powder

The test powder used in this experiment was prepared using vacuum induction melting gas atomization technology. A mass fraction of 25% Cr7C3 was designed as a strengthening phase in the Ni3Al-based alloy powder. At the same time, 0.02 wt.% B was added to the powder because studies have shown that adding a small amount of B can significantly improve the toughness of Ni3Al. This is because the bonding strength between Ni3Al grains is increased by B, and the fracture mode of a Ni3Al alloy changes from intergranular fracture to transgranular fracture [20]. Moreover, it has no significant effect on the yield strength of a Ni3Al alloy. There are three forms of chromium carbide: Cr3C2, Cr7C3, and Cr23C6. Cr3C2 is unstable at high temperatures, and the hardness of Cr23C6 is lower than that of the other two forms. Therefore, when designing Ni3Al/Cr7C3 composites, we needed to strictly control the Cr/C ratio so that Cr7C3-type carbides were preferentially formed during the in situ autogenesis process [21]. An aluminum block, a chromium block, nickel powder, carbon powder, and boron powder (CISRI, Beijing, China) were used as powder atomization materials. They were melted in a vacuum furnace at 1900~2000 °C for 1 h and then atomized into a powder. The powder feeding process of coaxial powder feeding laser cladding has certain requirements for powder fluidity and sphericity, so the powder particle size used in the powder feeding was 45–120 μm. The substrate used was 42CrMo steel, which had a length of 100 mm, a width of 100 mm, and a thickness of 18 mm. Figure 1 shows the relatively high sphericity of the alloyed powder in a scanning electron microscopy image, and the particle size of the composite powder was tested.
Table 1 shows the chemical compositions of the substrate material and the Ni3Al-based alloy powder.

2.2. Process

The laser cladding test was carried out using a YLS-6000 fiber laser (IPG Photonic, Oxford, MA, USA). The cladding test used 42CrMo steel as the substrate material, and the surface of the substrate was sanded and cleaned before the test. The cladding test was performed using laser coaxial powder feeding technology with pure argon (purity > 99.9%) as a protective gas and powder delivery gas. The power was 2.6 kW, the scanning speed was 0.18 m/min, the powder feeding rate was 1.2 kg/h, the laser spot size was 5 mm × 2 mm with a focal length of 300 mm, the protection gas flow rate was 10 L/min, and the powder gas flow rate was 15 L/min. Before the experiment, the powder was fully dried at 120 °C for 20 min.

2.3. Microstructure Characterization and Wear Test

After the cladding test, a phase composition analysis of the alloyed powder and the laser cladding layer was carried out using a Bruker D8 ADVANCE X-ray diffractometer (XRD, BRUKER, Karlsruhe, Germany). The microstructure and phase composition of the laser cladding layers were analyzed using Zeiss high-resolution field-emission scanning electron microscopy (SEM, ZEISS, Jena, Germany), energy-dispersive spectroscopy (EDS, ZEISS, Jena, Germany), and high-resolution transmission electron microscopy (JEM-2010, JEOL, Tokyo, Japan). Image Pro Plus 6.0 image analysis software was used to analyze the proportion and size of the carbide in the laser cladding layer. An FM300 Vickers (F-T, Tokyo, Japan) hardness tester was used for hardness testing. The loading pressure was 500 g, and the load holding time was 20 s. In total, 30 test points were randomly selected for each laser cladding layer sample, and their average values were calculated.
Friction and wear tests were conducted using an Optimal SRV® Ⅳ (Optimal, Munich, Germany) high-temperature friction and wear testing machine. A schematic diagram of the friction test is shown in Figure 2. The wear pin material was a Ni3Al-based alloy laser cladding layer, and the size was 3 mm × 2 mm × 14 mm. The grinding disk was made of gray cast iron (HT300), and the size was Ø24 mm × 7.88 mm [22]. During the test, the dry friction and wear method was adopted, the test temperature was 25 ℃, the load was 48 N, the frequency was 50 Hz, the stroke was 1 mm, and the time was 15 min.
Before and after the friction and wear test, the pin and the disk were cleaned ultrasonically with acetone for 15 min, and the pre-wear mass (m1) and post-wear mass (m2) of the friction auxiliary material were weighed using an analytical balance and recorded. Then, the wear amount (Δm = m1m2) was calculated. The wear rate (δ) of the wear pin and the grinding disk was calculated according to Equation (1):
δ = V F × S = Δ m ρ × F × S = Δ m ρ × F × 2 n f × T
where V is the volume of wear, F is the loading pressure, S is the friction distance, m is the wear mass, ρ is the friction sample density, f is the frequency, n is the stroke, and T is the friction time.

3. Results and Discussion

3.1. Influence of Laser Power on Macroscopic Morphology of Laser Cladding Layer

Figure 3 shows a schematic diagram of the macroscopic morphology of a cross-section of the laser cladding layer, where CZ is the non-fusion zone of the laser cladding layer, BZ is the bonding zone of the laser cladding layer, W is the laser cladding layer width (fusion width), H is the laser cladding layer height (fusion height), HAZ is the heat-affected zone, and BM is the substrate material.
The dilution rate of the laser cladding layer is represented by η. It is generally believed that when η is in the range of 5%~10%, the performance of the laser cladding layer can be maintained, and the combination of the laser cladding layer and the matrix material can be guaranteed. The dilution rate can be expressed using Equation (2) [23]:
η = S 2 S 1 × S 2 × 100 %
where S1 is the area of the non-fusion zone (CZ) of the laser cladding layer, and S2 is the area of the bonding zone (BZ) of the laser cladding layer and the substrate material.
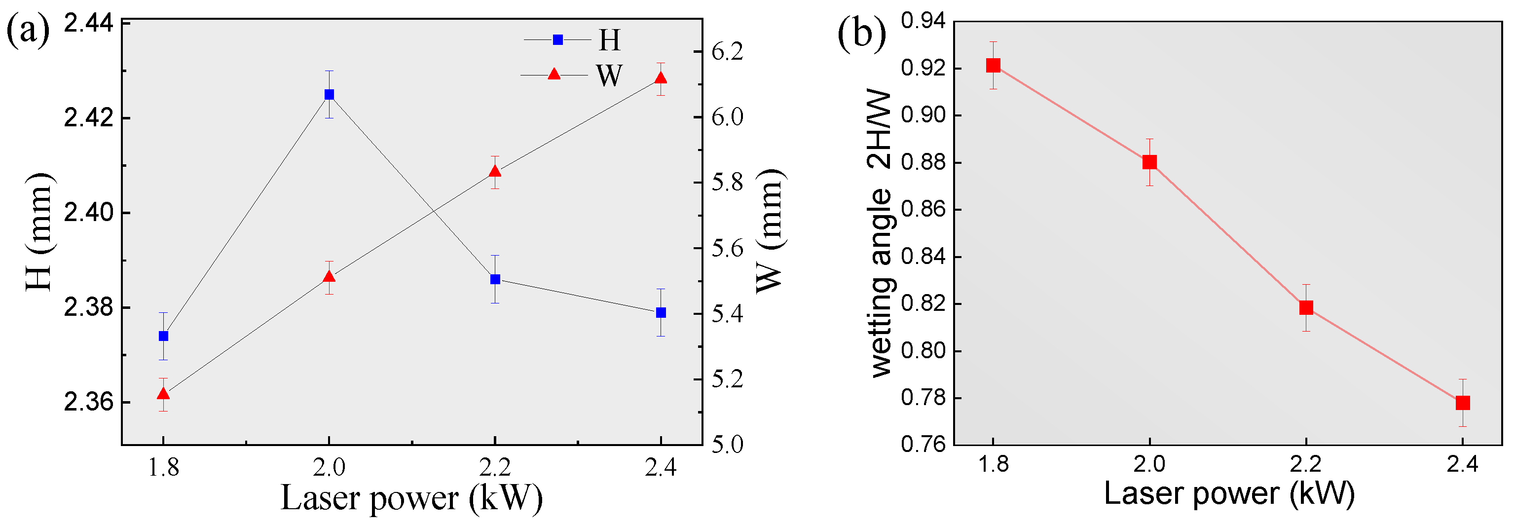
When the other process parameters are constant, the laser power mainly affects the melting amount of the powder and the width of the molten pool. Figure 4 shows the macroscopic morphology of cross-sections of single-pass laser cladding layers prepared with different laser powers. It can be seen that the cross-sections of the laser cladding layers are of good quality without porosity defects. Moreover, the laser cladding layers have great metallurgical bonds with the substrate. Figure 4a shows the cross-section morphology of the laser cladding layer when the laser power was 1.8 kW. The height and width of the laser cladding layer were 2.374 mm and 5.153 mm. Figure 4b shows that when the laser power was 2.0 kW, the height of the laser cladding layer increased to 2.425 mm, and the width of the laser cladding layer increased to 5.510 mm. However, we can see in Figure 4c that with an increase in laser power to 2.2 kW, the laser cladding layer width still increased, but the height decreased to 2.386 mm. We can clearly observe in Figure 4d that when the laser power was 2.4 kW, the laser cladding layer width increased to 6.116 mm, but the laser cladding layer height decreased to 2.379 mm. When the laser power was low, the melting amount of the powder failed to reach the amount of powder delivered per unit time, the heat input per unit area increased, the melting amount of the cladding powder gradually increased, and the effective utilization rate of the powder increased. Therefore, the height of the laser cladding layer increased with the increase in the laser power at this stage. When the laser energy reached a certain value, due to the limitation of the powder feeding rate, the effective utilization rate of the melted powder gradually approached the maximum, and most of the increased heat input was absorbed by the substrate. Furthermore, increasing the laser power prolonged the flow time of the molten pool and reduced the solidification speed. The solidification process of the molten metal pool was affected by gravity and surface tension, resulting in a decrease in the height of the laser cladding layer and an increase in the width of the laser cladding layer.
Figure 5a shows the variation in the height and width of the laser cladding layer at different laser powers. The height, width, and dilution rate of the laser cladding layer are important factors used to evaluate the macro quality of the laser cladding layer. The width and height of the laser cladding layer mainly affect the preparation efficiency of the laser cladding layer and the size of the wetting angle [24] (expressed as the ratio of the width of the laser cladding layer to the height of the semi-cladding layer). In addition, if the cladding height is too high, the shape of the laser cladding layer will be affected, and the wetting angle of the laser cladding layer and the substrate will become smaller, which is not conducive to multi-pass multi-layer bonding and has a negative effect on the cladding quality. When the laser cladding layer is too thin, it cannot withstand long-term wear, affecting its service life. The width of the laser cladding layer mainly affects the preparation efficiency of the laser cladding layer and the wetting angle between the laser cladding layer and the substrate. Figure 5b shows that the wetting angle of the laser cladding layer is affected by a change in power. With an increase in laser power, the wetting angle also increases. In the process of powder feeding laser cladding, when the laser energy input is the same, the width of the laser cladding layer is too large, the preparation efficiency of the laser cladding layer improves, and the height of the laser cladding layer decreases, which affects the service life of the laser cladding layer. The width of the laser cladding layer is too small, and the preparation efficiency of the cladding decreases, resulting in wasted energy. Therefore, choosing the appropriate laser process can not only improve the service life of the laser cladding layer but can also improve the preparation efficiency of the laser cladding layer.
Figure 6 shows the dilution rates of the laser cladding layers prepared with different laser powers, and we can see that the dilution rate of the laser cladding layer gradually increases with the increase in the laser power. The dilution rate mainly affects the bond of the laser cladding layer and the substrate, as well as the microstructure and performance of the laser cladding layer. An increase in the dilution rate is conducive to improving the bond between the laser cladding layer and the matrix material, improving the impact and shear resistance of the laser cladding layer in the process. However, an increase in the dilution rate will inevitably lead to more elements from the substrate material moving into the laser cladding layer, affecting the purity of the laser cladding layer element system, and may reduce the performance of the laser cladding layer. When the dilution rate is low, the matrix elements and the degree of mutual penetration between the laser cladding layer elements are low. However, the interface bonding property of the laser cladding layer and the substrate material will decrease, and the crack tendency will increase. In the process of repeated friction, fatigue cracks appeared in the cladding layer, and this was accompanied by the loss of carbide particles, leading to more serious secondary damage to the substrate material.
With an increase in laser power, the height of the laser cladding layer increases first and then decreases, but the width of the laser cladding layer shows a trend of continuous increase. Therefore, influenced by the width of the laser cladding layer, the wetting angle continues to increase. Similarly, with an increase in power, the increase in the dilution rate is also more obvious.

3.2. Microstructure and Phase Composition of the Laser Cladding Layer

Figure 7 shows the sizes and distributions of carbides in the laser cladding layers of the Cr7C3/Ni3Al alloy powder prepared at different laser powers. It can be seen in the figure that the Cr7C3 particles in the laser cladding layer gradually became larger with the increase in laser power, and short rod-shaped and irregular carbides formed. As can be seen in Figure 7a, when the laser power was 1.8 kW, the particle size of Cr7C3 was relatively small, the shape was mainly elliptical, and the particles were dispersed in the laser cladding layer. It can be observed in Figure 7b that when the laser power was 2 kW, a small amount of Cr7C3 particles in the laser cladding layer became larger, and their shapes were mainly oval and polygonal. When the laser power was increased to 2.4 kW, the carbide morphology and size changed greatly. As can be seen in Figure 7d, short rod-shaped Cr7C3 particles appeared in the laser cladding layer, the elliptical carbides merged and grew into irregularly shaped carbides, and the size of the carbides increased significantly. The heat input of the laser cladding layer increased with the increase in laser power. Simultaneously, the diffusion capacity of fine Cr7C3 grains increased, resulting in the merging and growing of Cr7C3 particles.
The size and area proportion of the Cr7C3 in the laser cladding layer were statistically analyzed using Image-Pro Plus. Figure 8 shows the size distribution of the Cr7C3 in the microstructure of the laser cladding layers prepared at different powers. With the increase in laser power, the proportion of large Cr7C3 particles gradually increased. When the laser power was 1.8 kW, the carbide size was mainly distributed below 3 μm, with Cr7C3 particles in the 0~2 μm range accounting for more than 85%. When the laser power was increased to 2.4 kW, Cr7C3 particles above 2 μm accounted for 36%. With the increase in laser power, the average size of the carbides increased gradually. The average sizes of carbides prepared with laser powers of 1.8 kW, 2.0 kW, 2.2 kW, and 2.4 kW corresponded to 1.51 μm, 1.86 μm, 1.98 μm, and 2.23 μm, respectively.
Figure 9 shows the area proportions of the carbides in the laser cladding layers prepared with different laser powers. According to the statistics, with the increase in laser power, the proportion of the carbide area in the laser cladding layer gradually decreased. The main reason is that the laser heat input increased and some Cr elements entered the matrix, reducing the carbide content in the laser cladding layer.
Based on the cross-section morphology, size distribution, and area proportion of Cr7C3, at a low laser power, small Cr7C3 particles occupied the main proportion, the area proportion of Cr7C3 was high, and Cr7C3 showed dispersion and a uniform distribution. When the power was high, the size of Cr7C3 became coarse, the area of Cr7C3 was relatively low, and the distribution of Cr7C3 was irregular. Related studies have shown that the carbide size has a certain influence on the wear resistance mechanism of the laser cladding layer [16]. In the friction process, large Cr7C3 particles can effectively separate the grinding pair and reduce the friction coefficient and friction shear force. Small Cr7C3 particles can improve the reinforcement of the Ni3Al matrix and improve the shear resistance. Simultaneously, on this basis, a higher proportion of Cr7C3 is more conducive to improving the wear resistance of a material.
Figure 10 shows the XRD patterns of the laser cladding layers formed using different processes. The XRD patterns of layers formed at different power levels show that the laser power has no significant effect on the phase composition of the laser cladding layer, and the laser cladding layer is composed of γ′-Ni3Al, β′-NiAl, and in situ autogenous Cr7C3. The different peak values of the diffraction peaks of each phase under different power conditions are caused by the growth of grains along different crystal planes and different orientations. Compared with the standard PDF card, the positions of the γ′-Ni3Al diffraction peaks in the laser cladding layer are offset to a certain extent. The main reason is that some Cr elements enter the γ′-Ni3Al crystal structure, 50% of the Cr equivalent replaces the Ni sublattice position, and 50% of the Cr equivalent replaces the Al sublattice position, resulting in lattice distortion and crystal plane spacing changes. In addition, the replacement solution of Cr reduces the Ni/Al atomic ratio to less than 3:1, resulting in the formation of partial β′-NiAl [25]. The formation of β′-NiAl can improve the hardness of the γ′-Ni3Al matrix to a certain extent, and β′-NiAl can also improve the high-temperature oxidation resistance of γ′-Ni3Al.
The XRD results preliminarily determined that the alloy powder laser cladding layer was composed of γ′-Ni3Al, β′-NiAl, and in situ Cr7C3 phases. In order to further analyze the characteristics, types, and element distribution of the carbides in the laser cladding layer, the laser power was set to 2 kW and the scanning speed was set to 3 mm/s. The laser cladding layer of a Cr7C3/Ni3Al alloy powder with a feeding rate of 1.2 kg/h was analyzed via TEM and EDS. Figure 11 shows the TEM morphology and selection diffraction pattern of the powder laser cladding layer. From the TEM morphology in Figure 11a, it can be seen that the laser cladding layer was composed of three different microscopic regions. Figure 11b shows the Cr7C3 phase in the laser cladding layer has a HCP structure. Figure 11c shows the Ni3Al phase has an FCC structure. Figure 11d shows the electron diffraction pattern of the NiAl BCC structure.

3.3. Effect of Laser Power on Wear Resistance of the Laser Cladding Layer

Related studies have shown [26] that under the same test conditions, there is a certain correlation between the hardness of materials and their wear performance. Furthermore, the variation in the hardness of the laser cladding layer can also reflect the distribution of carbides in the laser cladding layer. Therefore, the microhardness of the laser cladding layer of the Cr7C3/Ni3Al alloy powder was investigated. The microhardness of each laser cladding layer sample was calculated at 30 test points using a microhardness tester to reveal the variation law of the microhardness of the laser cladding layer with different laser powers, and the results are shown in Figure 12. It can be seen in the figure that the average microhardness of the laser cladding layer was above 520 HV0.1, which was more than 93% higher than the microhardness of the 42CrMo substrate material (270 HV0.1). There were two main reasons for the high hardness of the laser cladding layer: (1) a hard strengthening phase Cr7C3 (theoretical hardness of about 2000 HV) existed in the laser cladding layer, which could improve the hardness of the laser cladding layer to a certain extent; (2) and the size and distribution of the carbides in the laser cladding layer had a certain influence on the hardening of the laser cladding layer. The effect of laser power on the average microhardness of the laser cladding layer could be obtained, as shown in Figure 12. The hardness gradually decreased with the increase in laser power. The main reason was that with the increase in laser power, the heat input of the laser cladding layer increased, the solid solution of Cr was enhanced, and the hardness of the cladding layer should have been increased. However, the increase in the heat input increased the dilution rate, more Cr penetrated the substrate material, and the proportion of the strengthening phase Cr7C3 in the laser cladding layer decreased, resulting in a decrease in hardness. The influence of the proportion of particles of the second phase on the microhardness of the laser cladding layer was greater than that of the solid solution of the elements, so the hardness of the laser cladding layer showed a decreasing trend.
The laser cladding powder was prepared using chromium carbide-reinforced Ni3Al, and its friction and wear resistance are important indexes used to measure its application value. A large number of studies have shown that adding or forming a hard strengthening phase is the key factor to improve the wear resistance of a laser cladding layer. The previous experiments on the structure of the laser cladding layer show that the process parameters of laser cladding have a certain influence on the carbide characteristics in the laser cladding layer. Therefore, when the laser cladding process parameters are changed, the wear resistance of the laser cladding layer will be affected to some extent. Therefore, this part mainly studies the variation law of the friction coefficient and the wear amount of Cr7C3/Ni3Al alloy powder laser cladding layers under different laser powers.
Figure 13 shows the variation in the friction coefficients of Ni3Al/Cr7C3 alloy laser cladding layers with different laser powers. Figure 13a shows the curves of the friction coefficients of the laser cladding layers as a function of time. As can be seen in the figure, the friction coefficient of the coating gradually decreased during the preliminary grinding time with 20 N preloading 30 s before the test. As the load increased to 48 N for the test, the coating quickly entered a relatively stable friction stage, and the friction coefficient began to fluctuate periodically within a small interval. This was because in the preliminary grinding stage, due to a certain error interval in sample processing, there may have been local contact between friction pairs, resulting in an increase in local pressure and a rapid rise in the friction coefficient. As the friction test progressed, the contact area of the friction pair gradually increased, the local pressure decreased, and the friction coefficient began to decline and entered a relatively stable stage [27,28]. Pre-grinding can shorten the time of the running-in stage and reduce the influence of the wear in the running-in stage on the overall experimental results of friction and wear. It is believed that the fluctuation of the friction coefficient is mainly related to the state of the carbide in the laser cladding layer [29,30]. Figure 13b shows the relationship between the average friction coefficient of the laser cladding layer sample and the laser power in the stable stage. It can be seen that when the laser power was 1.8 kW, the average friction coefficient was 0.35. When the laser power was 2.0 kW, the average friction coefficient reached a minimum of 0.29. When the laser power was 2.4 kW, the average friction coefficient increased to about 0.42, which was relatively high. With the increase in laser power, the average friction coefficient curve of the laser cladding layer showed a trend of first decreasing and then increasing, and the turning point was when the laser power was 2 kW. According to this phenomenon, we believe that the friction and wear mechanism between the friction materials changes [31].
Figure 14 shows the wear rates of the laser cladding layer samples and the grinding disks under different laser power conditions. It can be found that the wear rates of the cladding layer samples after the friction and wear test were much less than that of the grinding disks. With an increase in laser power, the wear rates of the cladding layer samples and the grinding disks changed in the same trend. When the laser power was 1.8 kW, the wear rate of the laser cladding layer was 0.832 × 10−5 mm3/N·m. With an increase in laser power to 2.0 kW, the wear rate of the laser cladding layer decreased to 0.480 × 10−5 mm3/N·m. By increasing the laser power to 2.4 kW, the wear rate of the laser cladding layer increased to 0.961 × 10−5 mm3/N·m, which was 2.00 times of the wear rate at 2.0 kW. According to the above results, the wear rate of the laser cladding layer was the lowest when the laser power was 2.0 kW. When the laser power was less than 2.0 kW, the wear of the laser cladding layer decreased with an increase in laser power. When the laser power was greater than 2.0 kW, the wear rate of the laser cladding layer increased with an increase in laser power. At the same time, under different laser power conditions, the wear rate of the grinding disk showed the same changing trend. When the laser power was 2.0 kW, the wear of the disk was 1.669 × 10−5 mm3/N·m. When the laser power was 2.2 kW, the wear rate of the disk increased to 2.362 × 10−5 mm3/N·m, which was about 42% higher than the rate when the laser power was 2.0 kW.
Figure 15 shows images of the wear surface topography of the laser cladding layer taken via secondary electron imaging at different laser powers. It can be seen in the figure that with the increase in laser power, the debris layer on the wear surface gradually decreased, but the wear marks on the surface of the laser cladding layer gradually became deeper and wider, which was the same as the change law of the average friction coefficient of the laser cladding layer.
Figure 16 shows the wear surface morphology of laser cladding layers at different laser powers captured via backscattering imaging. Due to the cyclic action of the friction shear force on the wear pair for a long time during the process of friction, the surface of the laser cladding layer forms a reinforced layer of a certain thickness. Due to the process of friction and wear, the reinforced layer cracks and gradually falls off under the action of shear stress and abrasive impact, forming hard abrasive particles. According to the wear morphology shown in Figure 15 and Figure 16, it can be clearly seen in Figure 15a and Figure 16a that a large area of adhesive wear pits and a small number of shallow grooves appeared on the wear surface when the power was 1.8 kW, indicating that the laser cladding layer was dispersed with a small Cr7C3 strengthening phase during the dry friction process. The Cr7C3 reinforcing phase could effectively improve the resistance of the Ni3Al matrix to plastic deformation, but because the Cr7C3 reinforcing phase was too small, it could not effectively separate the laser cladding layer from the grinding disk, leading to the aggravation of adhesion wear. It can be seen in the secondary electron imaging in Figure 15b that as the laser power increased to 2.0 kW, the degree of adhesive wear on the wear surface decreased, the groove became more obvious, the size of the strengthened phase in the laser cladding layer increased, the bulges and spalling of the Cr7C3 strengthened phase produced abrasive wear, and hard abrasive particles rolled repeatedly on the gray cast iron to form groove characteristics, but there were still adhesive wear pits in some areas. When the laser power was 2.2 kW, as shown in Figure 15c, the wear surface was mainly grooves caused by abrasive wear, accompanied by surface desquamate phenomena. At this time, the wear mechanism between the grinding pairs was mainly abrasive wear with a small amount of adhesive wear, and there was an in situ self-generated large-Cr7C3 strengthening phase in the laser cladding layer. Large Cr7C3 particles are easy to break and fall off under the action of shear stress and cyclic stress during the wear process. Moreover, larger abrasive particles form between friction pairs, which aggravates the degree of abrasive wear [32,33]. The exfoliated hard particles intensify the cutting of the abrasive material, resulting in deep grooves on the surface of the abrasive material and forming surface desquamation, which is consistent with the results of the wear rate of the abrasive material. Figure 16d shows that when the power increased to 2.4 kW, the laser cladding layer was distributed with a coarse and uneven Cr7C3 strengthening phase, some short rod-shaped carbides had cracks, and there were obvious spalling phenomena at the edge of the groove. Because Cr7C3 particles are relatively coarse, they are easy to break and fall off under severe impact during friction. Large Cr7C3 particles, large hardened-layer debris, and broken and fallen Cr7C3 particles cause serious wear to the antifriction material, resulting in wide and deep grooves on the antifriction surface and a high wear rate.
According to the structural characteristics of the laser cladding layer and the friction and wear test results, we found that small Cr7C3 particles can enhance the plastic deformation resistance of the Ni3Al alloy, but small Cr7C3 particles cannot effectively separate the wear pair, and the adhesion wear is more serious during wear. Larger Cr7C3 particles can effectively separate the grinding pairs after peeling, reduce the contact area between the friction pairs, and reduce the friction shear force, but at the same time, they also make the grinding disc material, which has relatively low hardness, suffer from more serious wear, and the large size is more likely to produce fatigue cracks in the process of friction and wear.

4. Conclusions

In this work, laser cladding layers with different laser powers were prepared using laser cladding technology, and their microstructure and wear resistance were studied. The following conclusions were reached:
(1)
The laser cladding layer of a Ni3Al-based alloy prepared via laser cladding was well formed, and the laser cladding layer and the matrix showed metallurgical bonding. There were no pores, cracks, or other defects in the laser cladding layer. With an increase in laser power from 1.8 kW to 2.4 kW, the dilution rate of the laser cladding layer increased from 4.12% to 8.87%.
(2)
The microstructure of the Ni3Al-based alloy laser cladding layer was mainly γ′-Ni3Al, β′-NiAl, and in situ autogenous Cr7C3, and the carbides were dispersed in the laser cladding layer. With an increase in laser power from 1.8 kW to 2.4 kW, the average size of the carbides in the laser cladding layer increased from 1.51 μm to 2.23 μm, and the area proportion of the carbides in the laser cladding layer decreased from 28.08% to 27.25%.
(3)
The Ni3Al-based alloy laser cladding layer had excellent wear resistance. With an increase in laser power, the wear resistance of the Ni3Al-based alloy laser cladding layer first increased and then decreased. When the laser power was 2 kW, the laser cladding layer had the best wear resistance. The friction coefficient was 0.29, and the wear rate of the laser cladding layer was 0.416 × 10−5 mm3/N·m. Moreover, the laser cladding layer of the Ni3Al-based alloy prepared with a laser power of 2 kW had less damage to gray cast iron, and the loss rate of gray cast iron to the grinding disk was only 1.669 × 10−5 mm3/N·m.

Author Contributions

Methodology, Z.D. and L.Z.; formal analysis, Y.C. (Yihui Cai); investigation, Y.C. (Yihui Cai); resources, L.Z.; writing—original draft preparation, Y.C. (Yihui Cai); writing—review and editing, Y.P. and Y.C. (Yang Cao); visualization, Y.C. (Yihui Cai); supervision, Z.D. and L.Z.; project administration, L.Z.; funding acquisition, L.Z. All authors have read and agreed to the published version of the manuscript.

Funding

This research was funded by the National Key R&D Program of China, grant number 2020YFE0200900, and the Independent R&D Project of the Central Iron and Steel Research Institute, grant number 23H60440ZD.

Institutional Review Board Statement

Not applicable.

Informed Consent Statement

Not applicable.

Data Availability Statement

Data are contained within the article.

Conflicts of Interest

The authors declare no conflicts of interest.

References

  1. Wen, Y.; Sun, J.; Huang, J. First—Principles study of stacking fault energies in Ni3Al intermetallic alloys. Trans. Nonferrous Met. Soc. China 2012, 22, 661–664. [Google Scholar] [CrossRef]
  2. Kruml, T.; Conforto, E.; Piccolo, B.L.; Caillard, D.; Martin, J.L. From dislocation cores to strength and work-hardening: A study of binary Ni3Al. Acta Mater. 2002, 50, 5091–5101. [Google Scholar] [CrossRef]
  3. Xu, X.; Liu, W.; Zhong, M.; Sun, H. Synthesis and fabrication of WC particulate reinforced Ni3Al intermetallic matrix composite coating by laser powder deposition. J. Mater. Sci. Lett. 2003, 22, 1369–1372. [Google Scholar] [CrossRef]
  4. Zhao, Z.; Wang, C.; Yang, L.; Cheng, Y.; Cai, Z.; Mehrizi, M.Z. Microstructure and properties of NiAl/TiC composite synthesized by spark plasma sintering of mechanically activated elemental powders. Ceram. Int. 2023, 49, 15710–15716. [Google Scholar] [CrossRef]
  5. Yang, L.; Li, Z.; Zhang, Y.; Wei, S.; Wang, Y.; Kang, Y. In-situ TiC-Al3Ti reinforced Al-Mg composites with Y2O3 addition formed by laser cladding on AZ91D. Surf. Coat. Technol. 2020, 383, 125249. [Google Scholar] [CrossRef]
  6. Li, S.; Feng, D.; Luo, H. Microstructure and abrasive wear performance of chromium carbide reinforced Ni3Al matrix composite coating. Surf. Coat. Technol. 2007, 201, 4542–4546. [Google Scholar] [CrossRef]
  7. Fu, L.; Han, W.; Zhao, L.; Gong, K.; Bengtsson, S.; Zhou, M.; Li, C.; Tian, Z. Effects of Cr3C2 content and temperature on sliding friction and wear behaviors of Cr3C2/Ni3Al composite materials. Wear 2018, 414–415, 163–173. [Google Scholar] [CrossRef]
  8. Gong, K.; Luo, H.; Feng, D.; Li, C. Wear of Ni3Al-based materials and its chromium-carbide reinforced composites. Wear 2008, 265, 1751–1755. [Google Scholar] [CrossRef][Green Version]
  9. Fu, L.; Han, W.; Gong, K.; Bengtsson, S.; Dong, C.; Zhao, L.; Tian, Z. Microstructure and tribological properties of Cr3C2/Ni3Al composite materials prepared by hot isostatic pressing (HIP). Mater. Des. 2017, 115, 203–212. [Google Scholar] [CrossRef]
  10. Luo, H.; Karin, G.; Li, S.; Cao, X.; Zhang, X.; Feng, D.; Li, C. Abrasive wear comparison of Cr3C2/Ni3Al composite and Stellite 12 alloy cladding. J. Iron Steel Res. Int. 2007, 14, 15–20. [Google Scholar] [CrossRef]
  11. Yuan, J.; Yu, Y.; Shen, J. Cermet composite coating with a ductile Ni3Al binder phase and an in-situ Cr7C3 augmented phase. Intermetallics 2021, 138, 107300. [Google Scholar]
  12. Lei, J.; Shi, C.; Zhou, S.; Gu, Z.; Zhang, L. Enhanced corrosion and wear resistance properties of carbon fiber reinforced Ni-based composite coating by laser cladding. Surf. Coat. Technol. 2018, 334, 274–285. [Google Scholar] [CrossRef]
  13. Ma, Q.; Dong, Z.; Ren, N.; Hong, S.; Chen, J.; Hu, L.; Meng, W. Microstructure and Mechanical Properties of Multiple In-Situ-Phases-Reinforced Nickel Composite Coatings Deposited by Wide-Band Laser. Coatings 2021, 11, 36. [Google Scholar] [CrossRef]
  14. Sun, F.; Cai, K.; Li, X.; Pang, M. Research on Laser Cladding Co-Based Alloy on the Surface of Vermicular Graphite Cast Iron. Coatings 2021, 11, 1241. [Google Scholar] [CrossRef]
  15. Chen, C.; Zhao, X.; Fang, Q.; Zhao, L.; Han, W.; Peng, Y.; Yin, F.; Tian, Z. Wear Resistance of Laser Cladding Ni3Al/Cr3C2 Composites. Rare Met. Mater. Eng. 2020, 49, 1388–1394. [Google Scholar]
  16. Liu, Z.; Yin, F.; Chen, C.; Zhao, L.; Fu, L.; Feng, Y.; Cao, Y.; Peng, Y.; Tian, Z.; Li, C. Microstructure and Wear Resistance of a Cr7C3 Reinforced Ni3Al Composite Coating Prepared by Laser Cladding. Coatings 2022, 12, 105. [Google Scholar] [CrossRef]
  17. Weisheit, A.; Rittinghaus, S.; Dutta, A.; Majumdar, J.D. Studies on the effect of composition and pre-heating on microstructure and mechanical properties of direct laser clad titanium aluminide. Opt. Lasers Eng. 2020, 131, 106041. [Google Scholar] [CrossRef]
  18. Li, M.; Han, B.; Song, L.; He, Q. Enhanced surface layers by laser cladding and ion sulfurization processing towards improved wear-resistance and self-lubrication performances. Appl. Surf. Sci. 2020, 503, 144226. [Google Scholar] [CrossRef]
  19. Zhao, X. Study on Microstructure and Wear Resistance of Laser Cladding Ni3Al/Cr3C2 Composite. Master’s Thesis, Hebei University of Technology, Tianjin, China, 2019. [Google Scholar]
  20. Aoki, K.; Osamu, I. Improvement in room temperature ductility of the L12 type intermetallic compound Ni3Al by boron addition. J. Jpn. Inst. Met. Mater. 1979, 43, 1190–1196. [Google Scholar] [CrossRef]
  21. Li, Y.; Li, C.; Yu, L.; Ma, Z.; Li, H.; Liu, Y. Characterization of γ’ precipitate and γ/γ’ interface in polycrystalline Ni3Al-based superalloys. Vacuum 2020, 176, 109310. [Google Scholar] [CrossRef]
  22. Sui, Q.; Zhou, H.; Zhang, D.; Chen, Z.; Zhang, P. Imposed thermal fatigue and post-thermal-cycle wear resistance of biomimetic gray cast iron by laser treatment. Metall. Mater. Trans. A 2017, 48, 3758–3769. [Google Scholar] [CrossRef]
  23. Xi, W.; Song, B.; Zhao, Y.; Yu, T.; Wang, J. Geometry and dilution rate analysis and prediction of laser cladding. Int. J. Adv. Manuf. Technol. 2019, 103, 4695–4702. [Google Scholar] [CrossRef]
  24. Ferreira, A.A.; Amaral, R.L.; Romio, P.C.; Cruz, J.M.; Reis, A.R.; Vieira, M.F. Deposition of Nickel-Based Superalloy Claddings on Low Alloy Structural Steel by Direct Laser Deposition. Metals 2021, 11, 1326. [Google Scholar] [CrossRef]
  25. Rawlings, R.D.; Staton-Bevan, A.E. The alloying behavior and mechanical properties of polycrystalline Ni3Al (γ’ phase) with ternary additions. J. Mater. Sci. 1975, 10, 505–514. [Google Scholar] [CrossRef]
  26. Gong, K.; An, T.; Zhou, Z.; Tian, Z.; Li, C. Study on Wear Behaviors of Ni3Al/Cr-Carbides Cladding Layer on High Strength Steel Substrate. Adv. Mater. Res. 2014, 936, 1273–1282. [Google Scholar] [CrossRef]
  27. Wang, W.; Hua, M.; Wei, X. A comparison study of sliding friction behavior between two high strength DP590 steel sheets against heat treated DC53 punch: Hot-dip galvanized sheet versus cold rolled bare sheet. Tribol. Int. 2012, 54, 114–122. [Google Scholar] [CrossRef]
  28. Zhai, W.; Shi, X.; Wang, M.; Xu, Z. Grain refinement: A mechanism for graphene nanoplatelets to reduce friction and wear of Ni3Al matrix self-lubricating composites. Wear 2014, 310, 33–40. [Google Scholar] [CrossRef]
  29. Hu, J.; Li, D.; Llewellyn, R. Computational investigation of microstructural effects on abrasive wear of composite materials. Wear 2005, 259, 6–17. [Google Scholar] [CrossRef]
  30. Wesmann, J.A.R.; Espallargas, N. Effect of atmosphere, temperature and carbide size on the sliding friction of self-mated HVOF WC-CoCr contacts. Tribol. Int. 2016, 101, 301–313. [Google Scholar] [CrossRef]
  31. Colaco, R.; Vilar, R. Abrasive wear of metallic matrix reinforced materials. Wear 2003, 255, 643–650. [Google Scholar] [CrossRef]
  32. Yuan, Y.; Li, Z. Effects of rod carbide size, content, loading and sliding distance on the friction and wear behaviors of (Cr, Fe)7C3-reinforced α-Fe based composite coating produced via PTA welding process. Surf. Coat. Technol. 2014, 248, 9–22. [Google Scholar] [CrossRef]
  33. Zhang, C.J.; You, X.Q.; Song, X.F. The effect of laser remelting on the surface microstructure of electric steel-bonded cemented carbide. J. Cem. Carbide 2006, 4, 198–202. [Google Scholar]
Figure 1. (a) Morphology and (b) particle size distribution of the alloyed powder.
Figure 1. (a) Morphology and (b) particle size distribution of the alloyed powder.
Coatings 14 00317 g001
Figure 2. Schematic diagram of friction and wear test.
Figure 2. Schematic diagram of friction and wear test.
Coatings 14 00317 g002
Figure 3. Schematic diagram of morphology of single section of laser cladding layer.
Figure 3. Schematic diagram of morphology of single section of laser cladding layer.
Coatings 14 00317 g003
Figure 4. Macroscopic morphology of cross-section of single-pass laser cladding layer: (a) 1.8 kW, (b) 2.0 kW, (c) 2.2 kW, and (d) 2.4 kW.
Figure 4. Macroscopic morphology of cross-section of single-pass laser cladding layer: (a) 1.8 kW, (b) 2.0 kW, (c) 2.2 kW, and (d) 2.4 kW.
Coatings 14 00317 g004
Figure 5. Influence of laser power on the size of the laser cladding layer: (a) cladding layer height and width; (b) wetting angle.
Figure 5. Influence of laser power on the size of the laser cladding layer: (a) cladding layer height and width; (b) wetting angle.
Coatings 14 00317 g005
Figure 6. Influence of laser power on the dilution rate of the laser cladding layer.
Figure 6. Influence of laser power on the dilution rate of the laser cladding layer.
Coatings 14 00317 g006
Figure 7. Carbide organization in laser cladding layers prepared at different laser powers: (a) 1.8 kW, (b) 2.0 kW, (c) 2.2 kW, and (d) 2.4 kW.
Figure 7. Carbide organization in laser cladding layers prepared at different laser powers: (a) 1.8 kW, (b) 2.0 kW, (c) 2.2 kW, and (d) 2.4 kW.
Coatings 14 00317 g007
Figure 8. Carbide size statistics of the laser cladding layers prepared with different laser powers.
Figure 8. Carbide size statistics of the laser cladding layers prepared with different laser powers.
Coatings 14 00317 g008
Figure 9. The carbide area ratios of the laser cladding layers prepared with different laser powers.
Figure 9. The carbide area ratios of the laser cladding layers prepared with different laser powers.
Coatings 14 00317 g009
Figure 10. XRD patterns of laser cladding layers prepared at different laser powers.
Figure 10. XRD patterns of laser cladding layers prepared at different laser powers.
Coatings 14 00317 g010
Figure 11. TEM morphology and selected diffraction patterns of powder laser cladding layer. (a) TEM selection. (bd) Electron diffraction patterns of Ni3Al, NiAl, and Cr7C3, respectively.
Figure 11. TEM morphology and selected diffraction patterns of powder laser cladding layer. (a) TEM selection. (bd) Electron diffraction patterns of Ni3Al, NiAl, and Cr7C3, respectively.
Coatings 14 00317 g011
Figure 12. Average microhardness of the laser cladding layer at different laser powers.
Figure 12. Average microhardness of the laser cladding layer at different laser powers.
Coatings 14 00317 g012
Figure 13. Effect of laser power on the friction coefficient of Ni3Al/Cr7C3 alloy laser cladding layer: (a) friction coefficient curve and (b) average friction coefficient.
Figure 13. Effect of laser power on the friction coefficient of Ni3Al/Cr7C3 alloy laser cladding layer: (a) friction coefficient curve and (b) average friction coefficient.
Coatings 14 00317 g013
Figure 14. Wear rates of cladding layer samples with different laser powers.
Figure 14. Wear rates of cladding layer samples with different laser powers.
Coatings 14 00317 g014
Figure 15. Different laser power preparations of Ni3Al-based alloy laser cladding layers and their wear morphologies (secondary electron imaging): (a) 1.8 kW, (b) 2.0 kW, (c) 2.2 kW, and (d) 2.4 kW.
Figure 15. Different laser power preparations of Ni3Al-based alloy laser cladding layers and their wear morphologies (secondary electron imaging): (a) 1.8 kW, (b) 2.0 kW, (c) 2.2 kW, and (d) 2.4 kW.
Coatings 14 00317 g015aCoatings 14 00317 g015b
Figure 16. Wear morphologies of Ni3Al-based alloy laser cladding layers prepared with different laser powers (backscattering electron imaging): (a) 1.8 kW, (b) 2.0 kW, (c) 2.2 kW, and (d) 2.4 kW.
Figure 16. Wear morphologies of Ni3Al-based alloy laser cladding layers prepared with different laser powers (backscattering electron imaging): (a) 1.8 kW, (b) 2.0 kW, (c) 2.2 kW, and (d) 2.4 kW.
Coatings 14 00317 g016
Table 1. Chemical compositions of 42CrMo alloy steel and Ni3Al-based alloy powder (wt.%).
Table 1. Chemical compositions of 42CrMo alloy steel and Ni3Al-based alloy powder (wt.%).
Materials/ElementsCSiMnCrMoPSAlBNi
42CrMo0.430.250.561.020.220.0030.014Bal.//
Ni3Al/25%Cr7C3 powder2.42//24.17///9.480.028Bal.
Disclaimer/Publisher’s Note: The statements, opinions and data contained in all publications are solely those of the individual author(s) and contributor(s) and not of MDPI and/or the editor(s). MDPI and/or the editor(s) disclaim responsibility for any injury to people or property resulting from any ideas, methods, instructions or products referred to in the content.

Share and Cite

MDPI and ACS Style

Cai, Y.; Dong, Z.; Zhao, L.; Peng, Y.; Cao, Y. The Effect of Laser Power on the Microstructure and Wear Resistance of a Ni3Al-Based Alloy Cladding Layer Deposited via Laser Cladding. Coatings 2024, 14, 317. https://doi.org/10.3390/coatings14030317

AMA Style

Cai Y, Dong Z, Zhao L, Peng Y, Cao Y. The Effect of Laser Power on the Microstructure and Wear Resistance of a Ni3Al-Based Alloy Cladding Layer Deposited via Laser Cladding. Coatings. 2024; 14(3):317. https://doi.org/10.3390/coatings14030317

Chicago/Turabian Style

Cai, Yihui, Zhizhong Dong, Lin Zhao, Yun Peng, and Yang Cao. 2024. "The Effect of Laser Power on the Microstructure and Wear Resistance of a Ni3Al-Based Alloy Cladding Layer Deposited via Laser Cladding" Coatings 14, no. 3: 317. https://doi.org/10.3390/coatings14030317

APA Style

Cai, Y., Dong, Z., Zhao, L., Peng, Y., & Cao, Y. (2024). The Effect of Laser Power on the Microstructure and Wear Resistance of a Ni3Al-Based Alloy Cladding Layer Deposited via Laser Cladding. Coatings, 14(3), 317. https://doi.org/10.3390/coatings14030317

Note that from the first issue of 2016, this journal uses article numbers instead of page numbers. See further details here.

Article Metrics

Back to TopTop