Kinetic Study of Infrared Heat Curing of Thermosetting Polymers
Abstract
1. Introduction
- There have been no kinetic studies of the curing behavior involving the volumetric absorption of IR radiant energy, resulting in a limited ability to predict curing behavior;
- A lack of an assessment methodology for IR curing technology makes it challenging to provide reliable guidance on the feasibility for practical engineering applications.
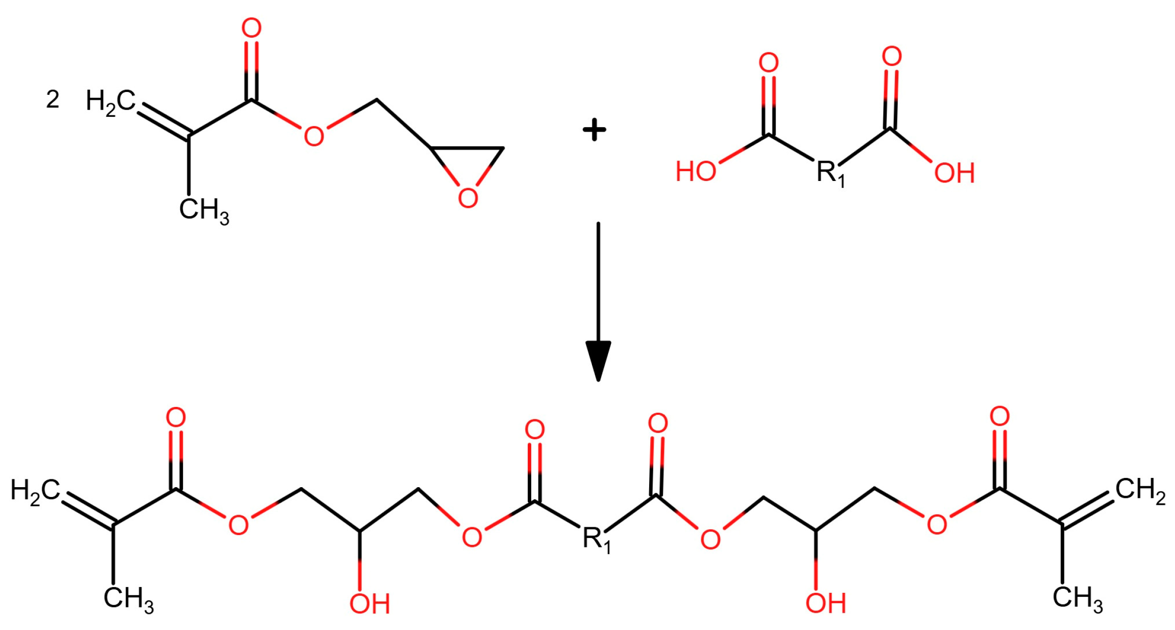
2. Materials and Methods
2.1. Preparation of Samples
2.2. Curing of Samples
2.2.1. The IR Curing Equipment
2.2.2. The IR Curing Process
2.3. Determination of Degree of Cure
3. Results and Discussion
3.1. Curing Kinetics
3.1.1. The Samples’ Degree of Cure
3.1.2. The Curing Process Kinetic Parameters
- Systematic errors: The sources of systematic errors can include an inaccurate wave number calibration of the FTIR spectrometer or baseline drift, which results in a systematic shift in the absorption peaks and imprecise temperature control of the IR curing equipment, resulting in small (3%–5%) fluctuations in coating the temperature. In addition, inconsistencies in sample preparation, such as variations in the thickness of the film or the surface homogeneity, also change the IR absorption properties of the material predictably, leading to systematic errors in the results.
- Random errors: For experiments, although standardized operating procedures are established, different operators/personnel may differently handle the equipment and samples, which can cause fluctuations in the measurement results. In the present study, the introduction of such errors is mainly probable while electro-spraying the powder, sampling the curing sample, and preparing samples for the IR analysis. In addition, instrumental changes also need to be considered; for example, during the FT-IR analysis, changes in the sample beam contact angle and light source intensity may lead to random fluctuations in the results.
3.2. Photo-Thermal Synergistic Effect
4. Conclusions
Author Contributions
Funding
Data Availability Statement
Acknowledgments
Conflicts of Interest
Abbreviations
| A(t) | Absorption peak areas of the group to be analyzed |
| A(0) | Absorption peak areas of the group to be analyzed at the beginning of the reaction |
| Curing degree | |
| A | Pre-exponential factor |
| E | Reaction activation energy |
| t | Time s |
| T | Temperature |
| R | Universal gas constant |
| k0 | Elastic modulus at time t |
| 1 | Reaction constants |
| Reaction constants | |
| Reaction constants | |
| m, n | Order of reaction |
| PTSI | Photo-thermal synergistic index |
| ΔtIR | Time periods to reach the highest degree by the IR curing technique |
| ΔtREF | Time periods to reach the highest degree by the reference curing technique |
| αIR | The highest degrees of cure achieved by the IR curing technique |
| αREF | The highest degrees of cure achieved by the reference curing techniques |
References
- Chern, B.-C.; Moon, T.J.; Howell, J.R. On-Line Processing of Unidirectional Fiber Composites Using Radiative Heating: I. Model. J. Compos. Mater. 2002, 36, 1905–1934. [Google Scholar] [CrossRef]
- Zhilyaev, I.; Brauner, C.; Queloz, S.; Jordi, H.; Lüscher, R.; Conti, S.; Conway, R. Controlled Curing of Thermoset Composite Components Using Infrared Radiation and Mathematical Modelling. Compos. Struct. 2021, 259, 113224. [Google Scholar] [CrossRef]
- Stojanović, I.; Logar, M.; Turkalj, L.; Cindrić, I.; Kurtela, M.; Franjić, H. Influence of Catalytic Infrared Radiation on the Protective Properties of Industrial Epoxy Primers. Materials 2023, 16, 6551. [Google Scholar] [CrossRef]
- Kumar, P.K.; Raghavendra, N.V.; Sridhara, B.K. Optimization of Infrared Radiation Cure Process Parameters for Glass Fiber Reinforced Polymer Composites. Mater. Des. 2011, 32, 1129–1137. [Google Scholar] [CrossRef]
- Genty, S.; Tingaut, P.; Aufray, M. Fast Polymerization at Low Temperature of an Infrared Radiation Cured Epoxy-Amine Adhesive. Thermochim. Acta 2018, 666, 27–35. [Google Scholar] [CrossRef]
- Yuan, Y.; Pan, S.; Wang, T.; Xia, L.; Liu, Y.; Wang, X.; Li, L.; Wang, T. Experimental and Numerical Investigations on Curing a Polyester-Based Powder Coating by Catalytic Infrared Radiation. Appl. Sci. 2023, 13, 2187. [Google Scholar] [CrossRef]
- Knischka, R.; Lehmann, U.; Stadler, U.; Mamak, M.; Benkhoff, J. Novel Approaches in NIR Curing Technology. Prog. Org. Coat. 2009, 64, 171–174. [Google Scholar] [CrossRef]
- Kumar, P.K.; Raghavendra, N.V.; Sridhara, B.K. Effect of Infrared Cure Parameters on the Mechanical Properties of Polymer Composite Laminates. J. Compos. Mater. 2012, 46, 549–556. [Google Scholar] [CrossRef]
- Genty, S.; Tingaut, P.; Tendero, C.; Aufray, M. Effects of Infrared Radiation on the Mechanical Properties of an Epoxy-Amine Adhesive Using a Central Composite Design Method. Int. J. Adhes. Adhes. 2022, 112, 102990. [Google Scholar] [CrossRef]
- Choi, J.W.; Chun, W.P.; Oh, S.H.; Lee, K.J.; Kim, S.I. Experimental Studies on a Combined near Infrared (NIR) Curing System with a Convective Oven. Prog. Org. Coat. 2016, 91, 39–49. [Google Scholar] [CrossRef]
- Wang, T.; Xia, L.; Ni, M.; Pan, S.; Luo, C. Fundamentals of Infrared Heating and Their Application in Thermosetting Polymer Curing: A Review. Coatings 2024, 14, 875. [Google Scholar] [CrossRef]
- Castell, P.; Wouters, M.; Fischer, H.; De With, G. Kinetic Studies of a UV-Curable Powder Coating Using Photo-DSC, Real-Time FTIR and Rheology. J. Coat. Technol. Res. 2007, 4, 411–423. [Google Scholar] [CrossRef]
- Zhi, M.; Huang, W. Curing Kinetics, Mechanical Properties and Thermal Stability of Epoxy/Graphene Nanoplatelets (GNPs) Powder Coatings. J. Wuhan Univ. Technol.-Mat. Sci. Edit. 2016, 31, 1155–1161. [Google Scholar] [CrossRef]
- Bombard, I.; Laurent, P.; Lieto, J.; Jeandel, G. A Model of the Infrared Cure of Powder Coatings Based on Surface Absorptivities In-Situ Measurements. J. Coat. Technol. Res. 2008, 5, 353–363. [Google Scholar] [CrossRef]
- Achilias, D.S.; Karabela, M.M.; Varkopoulou, E.A.; Sideridou, I.D. Cure Kinetics Study of Two Epoxy Systems with Fourier Tranform Infrared Spectroscopy (FTIR) and Differential Scanning Calorimetry (DSC). J. Macromol. Sci. Part A 2012, 49, 630–638. [Google Scholar] [CrossRef]
- Zhou, B.; Shen, M.; Wang, Q.; Chen, Q. Kinetic Study of Polysulfide-acrylate Click Reaction by DEA and DMA. Polym. Adv. Technol. 2011, 22, 2374–2381. [Google Scholar] [CrossRef]
- Safarpour, M.A.; Omrani, A.; Afsar, S.; Zare-Hossein-Abadi, D. Study of Cure Kinetics of Epoxy/DDS/Nanosized (SiO2/TiO2) System by Dynamic Differential Scanning Calorimetry. Polym. Adv. Technol. 2011, 22, 718–723. [Google Scholar] [CrossRef]
- Véchot, L.; Bombard, I.; Laurent, P.; Lieto, J. Experimental and Modelling Study of the Radiative Curing of a Polyester-Based Coating. Int. J. Therm. Sci. 2006, 45, 86–93. [Google Scholar] [CrossRef]
- Ellis, J.D.; Iqbal, R.; Yoshimatsu, K. A New Approach for IR Spectra Matching Using Normalized Local Change. Anal. Chim. Acta 2020, 1103, 49–57. [Google Scholar] [CrossRef]
- Liu, X.J. Optimization for Matching Absorption of Infrared Radiation Heating in Whole Wavelength Region. Appl. Mech. Mater. 2013, 274, 91–94. [Google Scholar] [CrossRef]
- Abliz, D.; Duan, Y.; Steuernagel, L.; Xie, L.; Li, D.; Ziegmann, G. Curing Methods for Advanced Polymer Composites—A Review. Polym. Polym. Compos. 2013, 21, 341–348. [Google Scholar] [CrossRef]
- Farshchi, N.; Gedan-Smolka, M. Polyurethane Powder Coatings: A Review of Composition and Characterization. Ind. Eng. Chem. Res. 2020, 59, 15121–15132. [Google Scholar] [CrossRef]
- Du, Z.; Wen, S.; Wang, J.; Yin, C.; Yu, D.; Luo, J. The Review of Powder Coatings. J. Mater. Sci. Chem. Eng. 2016, 4, 54–59. [Google Scholar] [CrossRef]
- Basu, S.K.; Shah, B.; Kia, H.G. The Effect of Oven-Heat Flux on Powder-Coating Issues of Sheet Molding Compound Panels. Ind. Eng. Chem. Res. 2009, 48, 1638–1649. [Google Scholar] [CrossRef]












| Ingredients | Proportions |
|---|---|
| Acrylic resins | 78% |
| 3,9-bis(2,4-di-tert-butylphenoxy)-2,4,8,10- tetraoxa-3,9 diphosphaspiro [5.5]-undecane | 0.2% |
| 2,3-epoxypropyl methacrylate | 0.2% |
| Additive agent | 1.6% |
| Curing agent (sebacic acid) | 20% |
| Reaction Model | Curing Rate (dα/dt) * | Kinetic Parameters * |
|---|---|---|
| n-order | k0(1 − α)n | k0, n |
| Auto-catalytic | k1αm(1 − α)n | k1, n, m |
| Kamal | (k2 − k3αm)(1 − α)n | k2, k3, n, m |
| Curing Temperature | Curing Time Interval (s) | Degree of Polymer Cure |
|---|---|---|
| 30 | 0.146 | |
| 60 | 0.199 | |
| 120 | 0.236 | |
| 180 | 0.262 | |
| 150 °C | 240 | 0.544 |
| 300 | 0.634 | |
| 360 | 0.736 | |
| 420 | 0.776 | |
| 480 | 0.782 | |
| 30 | 0.1592 | |
| 60 | 0.2416 | |
| 120 | 0.3922 | |
| 180 | 0.5232 | |
| 160 °C | 240 | 0.6171 |
| 300 | 0.7152 | |
| 360 | 0.7537 | |
| 420 | 0.7751 | |
| 480 | 0.8124 | |
| 30 | 0.2316 | |
| 60 | 0.3352 | |
| 120 | 0.5111 | |
| 180 | 0.6491 | |
| 170 °C | 240 | 0.7293 |
| 300 | 0.7738 | |
| 360 | 0.8386 | |
| 420 | 0.8481 | |
| 480 | 0.8485 |
| Temperature | Model | k0 * | k1 * | k2 * | k3 * | n * | m * | SSE | R2 |
|---|---|---|---|---|---|---|---|---|---|
| [°C] | [s−1] | [s−1] | [s−1] | [s−1] | |||||
| n-order | 0.0026 | — | — | — | 0.8870 | — | 0.0523 | 0.8799 | |
| 150 | Auto-catalytic | — | 0.0065 | — | — | 1.7951 | 0.6776 | 0.0006 | 0.9985 |
| Kamal | — | — | 0.0005 | 0.0116 | 1.7806 | 0.9987 | 0.0026 | 0.9940 | |
| n-order | 0.0022 | — | — | — | 0.3253 | — | 0.0245 | 0.9474 | |
| 160 | Auto-catalytic | — | 0.0105 | — | — | 1.8461 | 0.6633 | 0.0007 | 0.9985 |
| Kamal | — | — | 0.0033 | 0.0113 | 2.0822 | 0.9984 | 0.0031 | 0.9934 | |
| n-order | 0.2872 | — | — | — | 0.2872 | — | 0.0495 | 0.8846 | |
| 170 | Auto-catalytic | — | 0.0176 | — | — | 1.9246 | 0.6884 | 0.0011 | 0.9975 |
| Kamal | — | — | 0.0011 | 0.0100 | 1.4400 | 0.7715 | 0.0056 | 0.9870 |
Disclaimer/Publisher’s Note: The statements, opinions and data contained in all publications are solely those of the individual author(s) and contributor(s) and not of MDPI and/or the editor(s). MDPI and/or the editor(s) disclaim responsibility for any injury to people or property resulting from any ideas, methods, instructions or products referred to in the content. |
© 2024 by the authors. Licensee MDPI, Basel, Switzerland. This article is an open access article distributed under the terms and conditions of the Creative Commons Attribution (CC BY) license (https://creativecommons.org/licenses/by/4.0/).
Share and Cite
Wang, T.; Lun, I.Y.F.; Xia, L.; Wang, Y.; Pan, S. Kinetic Study of Infrared Heat Curing of Thermosetting Polymers. Coatings 2024, 14, 1560. https://doi.org/10.3390/coatings14121560
Wang T, Lun IYF, Xia L, Wang Y, Pan S. Kinetic Study of Infrared Heat Curing of Thermosetting Polymers. Coatings. 2024; 14(12):1560. https://doi.org/10.3390/coatings14121560
Chicago/Turabian StyleWang, Tongzhao, Isaac Yu Fat Lun, Liang Xia, Yongji Wang, and Song Pan. 2024. "Kinetic Study of Infrared Heat Curing of Thermosetting Polymers" Coatings 14, no. 12: 1560. https://doi.org/10.3390/coatings14121560
APA StyleWang, T., Lun, I. Y. F., Xia, L., Wang, Y., & Pan, S. (2024). Kinetic Study of Infrared Heat Curing of Thermosetting Polymers. Coatings, 14(12), 1560. https://doi.org/10.3390/coatings14121560

