Abstract
The measurability and predictability of the printing process are influenced by the impact of various coating methods. Besides enhancing and protecting the printed product, these methods can alter the colorimetric properties of spot colors across different wavelengths. Prediction models based on ink trapping formulas were analyzed, particularly those from Deshpande, Green, and Hoffstadt, designed to forecast colorimetric values in overprinted spot color scenarios. This study examined the influence of coating methods on the colorimetric properties of spot colors and evaluated the applicability of the prediction model for these conditions. Spectrophotometric and densitometric methods, combined with mathematical analysis, were used to quantify the degree of color change induced by different coatings. The findings clearly indicate the extent of colorimetric changes in spot colors resulting from various coating applications. They also highlight the potential, albeit limited, application of this model in predicting color changes for improved process repeatability and predictability. While the prediction method analyzed in this study proved inadequate for coating-over-spot-color scenarios, it remains useful for predicting colorimetric shifts in spot-on-spot-color overprinting. The model demonstrated that it is not entirely accurate, as some coatings show ∆E00 deviations of up to 10. To improve the model’s applicability, a varnishing coefficient, V, should be introduced, which can reduce ∆E00 variation for each color and substrate. The research showed that a coefficient range from 0.8 to 1.2 yields acceptable results, bringing ∆E00 below 2, thus making the model suitable for coating processes with oil-based and UV coatings.
1. Introduction
The Pantone Matching System (PMS) is a standardized color reproduction system widely used in various industries, particularly graphic design, printing, and fashion [1]. This system allows for precise color matching and identification, ensuring that colors remain consistent across different materials and printing processes. A problem when using Pantone colors is that they comprise a wide range of shades made from various pigments. These pigments can alter their reflectivity when interacting with coatings, making it essential to predict potential color changes upon the application of different types of varnish.
The use of spot colors is particularly critical in the packaging industry, especially when combined with various coating methods, such as oil-based offset varnishes. The PMS comprises over a thousand distinct colors, most of which can be accurately reproduced through the appropriate combination and proportions of process Cyan, Magenta, Yellow, and Black (CMYK) colors. Certain PMS colors can also be achieved by incorporating specialized PMS inks in conjunction with CMYK components [2]. Furthermore, the differentiation of PMS colors is influenced by the type of printing substrate employed, with distinct considerations for coated versus uncoated substrates.
Coating processes serve several roles that can be categorized into functional and esthetic. The primary functional role of a coating is to protect printed surfaces from damage, such as scratches and other physical impacts. Another critical function is to enhance the durability of prints, as coatings help shield them from handling when products are in use. Additionally, coated surfaces are more resistant to dirt and particle accumulation, making the product easier to clean. Coatings also play a protective role during production by forming a layer that shields the color, reducing the likelihood of smudging or ink transfer to adjacent surfaces [3].
A key esthetic aspect of a coating is its ability to enhance visual quality, often by increasing gloss. Partial coatings can be applied to create appealing visual effects by contrasting glossy and matte effects. Moreover, coatings can add diverse textures, contributing to the product’s overall esthetic value. Coatings also provide a more luxurious appearance and help minimize color changes over time caused by prolonged exposure to light [4].
The primary attribute of varnishing is the enhancement of visual properties, and the objective of this study was to assess whether there would be an increase in the visual quality of printed materials. While other properties are secondary, they play a significant role in print production by contributing additional qualities to the final product. In addition to providing mechanical protection for prints, coating processes also reduce the drying time of inks, thereby facilitating a quicker transition to the finishing processes. The accelerated drying time is attributed to the varnish layer, which minimizes ink transfer to printing materials that come into contact during production. Since the ink remains wet during the printing process, applying varnish prevents direct contact between the ink and other materials, thereby decreasing the drying time required before further handling of the printed material.
Given the various types and methods of coating, these processes also enhance the visual appearance of printed products. Among the most used types of varnish in everyday graphic applications are oil-based offset varnish, water-dispersible varnish, and UV varnish, which can be classified as non-pigmented offset inks [1]. Oil-based varnishes are applied using standard offset printing units, with curing on the substrate achieved through absorption and oxidation processes [5].
These varnishes are applied after the printing of all colors and consist of mineral oils, drying oils, alkyd resins, driers, and various additives. Notably, oil-based varnishes do not contain pigments, and their solid content is approximately 75%.
Water-dispersible varnishing is a method of varnish application in which water from the varnish penetrates the printed substrate, with drying occurring within seconds due to evaporation facilitated by infrared (IR) radiation or hot air. This coating technique is predominantly employed for full-surface applications, although partial coating is also feasible [6]. The application of water-dispersible coatings is typically conducted using a rubber blanket; however, the adhesion between the varnish and the rubber blanket can often result in the unintended transfer of varnish and ink from the prints. This issue frequently leads to machine downtime and necessitates blanket cleaning. To mitigate these challenges, specialized rubber blankets designed for coating can be utilized, enhancing varnish transfer while simultaneously reducing ink pickup from the printed material. The composition of water-dispersible varnishes includes a finely dispersed mixture of modified acrylic resins, water-soluble resins, waxes, and various additives, all suspended in water. The solid content of these varnishes typically ranges from 35% to 45% [7].
In contrast to the previous two coating methods, UV varnishing achieves exceptional high-gloss effects [8]. Additionally, prints treated with UV varnishes exhibit a smooth texture that cannot be replicated with oil-based or water-dispersible varnishes [9]. UV varnishes comprise liquid resins, their derivatives, various additives, and photoinitiators. Due to the absence of liquid components, the entire quantity of varnish polymerizes into a solid film on the print surface upon exposure to UV radiation. Photoinitiators initiate a chain reaction that facilitates molecular cross-linking under UV exposure [10]. Consequently, in the absence of UV radiation, UV varnishes remain in a liquid state and do not dry on the rollers. UV curing occurs as photoinitiators decompose into highly reactive radicals upon exposure to UV light, prompting the cross-linking of monomers into a solid plastic film, which enables the sheet to be promptly sent for further processing.
This study investigates the effects of both oil-based and UV varnishes. Each coating type modifies the gloss of the printing substrate, resulting in colorimetric changes in the printed spot colors. While the impact of various coating types on colorimetric changes in CMYK system colors has been the focus of numerous studies [11], there is limited representation of research concerning their effects on colorimetric changes in spot colors [12]. Additionally, the interdependence of surface roughness, coating amount, and achieved gloss has been validated by several studies [13,14,15,16,17].
2. Materials and Methods
Due to the extensive range of PMS colors, four visually distinct PMS colors were selected for this research: PMS 7472C, PMS 193C, PMS 021C, and PMS 2757C. Samples of the selected inks, along with corresponding measurement and control strips, were printed using an offset printing technique on an automated Heidelberg SpeedMaster printing machine. The printing conditions adhered to the international standard ISO 12647-2:2017 [18].
After printing, the ∆E00 values of the prints were measured, followed by the coating process. After coating, the ∆E00 values on the prints were measured again, and the values were calculated according to (6) and (7) to obtain the predicted values. Also, the variance was calculated for the obtained values. A difference was noted between the measured and predicted values, and the coefficient V was applied to achieve more accurate results.
2.1. Ink Trapping
The printing process relies on the application of one ink over another [19]. However, unlike most other printing techniques, the offset printing method employed in this study allows us to produce prints when the second and any subsequent colors are applied to the preceding layer [20], which may be either dry or wet [21] (Figure 1).
Figure 1.
Ink trapping and color changes depending on the coating.
These methods are referred to as wet-on-dry and wet-on-wet printing. The phenomenon of ink acceptance, commonly known as ink trapping, has led to the development of three widely used formulas based on ink density: Preucil, Ritz, and Brunner [22]. Recent studies have explored new models for calculating ink trapping within the PMS environment, facilitating the prediction of newly created colors based on spectrophotometric measurements [23]. The aim of this study is to identify the threshold values of colorimetric changes that occur in PMS colors due to coatings, which could negatively impact the average observer, and to evaluate the feasibility of applying a mathematical model to predict these colorimetric changes in such contexts [24].
The quality of ink trapping can be calculated as the percentage of dye acceptance f:
where D1+2 is the color density of the two inks on the same solid area measured with a filter complementary to the second ink, D1 is the color density of the first ink on a solid area, and D2 is the color density of the second ink also on a solid area.
2.2. Used Substrates and Equipment
As the coating processes are most used on coated [25] printing substrates, samples were printed on gloss and matte coated papers Sappi Magno Matt and Magno Gloss [9], with the technical characteristics shown in Table 1.
Table 1.
Technical characteristics of matte and coated printing substrates.
The distinction between matte and glossy substrates is detailed in Table 1. Each of these properties influences ink absorption when applied to the substrate and subsequently affects the drying process through oxidation or absorption mechanisms. When a material exhibits higher absorbency, the ink penetrates more deeply, resulting in a reduced quantity of the pigment remaining on the surface, which is responsible for coloration. Basis weight is a critical factor, as it relates to the material’s thickness and potential transparency, both of which can significantly impact color reflection. The gloss level of the substrate dictates variations in ink absorbency; glossy surfaces tend to have lower ink absorbency compared to matte surfaces. Furthermore, the brightness of the material affects light reflection, particularly because Pantone colors printed via offset processes are inherently transparent. This transparency implies that part of the incident light is reflected from the substrate surface, while some passes through the printed ink, highlighting that the material properties directly influence measurement outcomes.
2.3. Used Inks
For the purposes of this study, we selected from among hundreds available colors that have the most similar tones used in most products that are varnished, primarily for packaging but also for commercial printing. Several factors make each chosen PMS color distinctive. PMS 7472C consists primarily of Transparent White (87.5%), followed by Process Blue (10.3%), Yellow (1.5%), and Black (0.7%). For PMS 193C, Warm Red is the dominant component (60.6%), with Ruby Red (36.4%) and Black (3%) making up the rest. The Ruby Red pigment, a non-alkali-resistant ink pigment, can cause color shifts due to pH incompatibilities between alkaline aqueous coatings and certain alkaline-sensitive ink pigments. PMS 021C is a vibrant orange color that is notable because it cannot be reproduced using process colors. PMS 2757C is mainly composed of Blue 072 (88.9%), with Black (11.1%) added.
2.4. Printing and Spectrophotometric Measurement
Control strips for spectrophotometric measurements included measuring fields with various halftone values for each selected PMS color [18]. During the printing process on the printing machine Heidelberg Speedmaster XL 106 (Heidelberger Druckmaschinen AG, Heidelberg, Germany), in-line spectrophotometric and densitometric controls were performed with the device Prinect Inpress Control, accompanied by visual inspections of the printed PMS colors [32,33]. The samples were subjected to two coating methods: an offset gloss and oil-based matte coating using the “wet on dry” technique, as well as a UV gloss coating applied through screen printing [34]. After printing, the samples underwent a 24 h drying process for the UV coating, which involved oxypolymerization and absorption under climate-controlled conditions (T 25 °C, RH 55%), as recommended by color and substrate manufacturers [35]. The UV gloss coating applied via screen printing was executed under standardized conditions, with materials sourced from a reputable manufacturer, employing a 150-micron mesh. Laboratory tests and sample measurements were conducted using an X-Rite eXact spectrophotometer (Grand Rapids, MI, USA) [36] and calibrated according to the international standard ISO 13655 [32]. This calibration ensured that the results for UV varnished surfaces were consistent with those obtained for surfaces coated using different techniques and laminated surfaces [37]. Additionally, a predictive model analysis of colorimetric changes in PMS colors due to the coating processes utilized an existing model (Deshpande, Green, Hoffstadt) which is designed to predict colorimetric values in overprinting spot color scenarios (ink trapping) [38].
2.5. ΔE00 Calculation
The predicted CIE L*a*b* values, obtained through the mathematical prediction method, were compared to the actual measured CIE L*a*b* values, considering different printing substrates and coating types. ΔE differences were then calculated with ΔE*00 (ΔE*2000).
The measurement was conducted according to the ISO 13655 international standard, using the M0 setting to obtain results closely aligned with visual perception and a 45°/0° viewing geometry. An aperture size of 1.5 mm was used, and measurements were made on a white backing to ensure consistency across the results.
2.6. Gloss Measurement
To determine whether there was a change in gloss after varnishing, we conducted gloss measurements following the application of the varnishes. For gloss measurements, we used the X-Rite Elkometer 407 Statistical Glossmeter (Grand Rapids, MI, USA) in conjunction with the Hunter method of measurement [39].
For coated or varnished paper, where a clear, high-gloss finish is desired, the Hunter method is typically preferred due to its heightened sensitivity to high gloss levels and specular reflection properties. This method facilitates precise control and reproducibility of gloss appearance, which is particularly relevant for offset printing, where visual consistency is critical in the final printed outputs.
The Hunter method employs a 60° angle to measure gloss, which is the standard angle for surfaces exhibiting medium to high gloss. This method is especially advantageous for materials with moderate gloss levels, as it provides balanced results across various surface types [40].
2.7. Existing Mathematical Model
The existing model (Deshpande, Green, Hoffstadt), intended to predict the colorimetric values in situations of overprinting spot color on color (ink trapping) [41], was used for the analysis of the prediction model of colorimetric changes in PMS colors due to the coating processes.
- X, Y, Z: the predicted tristimulus values of the overprint color;
- Xb, Yb, Zb: the measured tristimulus values of the background color;
- Xf, Yf, Zf: the measured tristimulus values of the foreground color;
- jx, jy, jz: the scaling factors of the foreground color depending on dot area;
- kx, ky, kz: the constants of the foreground color depending on dot area.
- Xpw, Ypw, Zpw: the tint percentage printed on white (substrate);
- Xpk, Ypk, Zpk: the same tint percentage printed on black;
- Xw, Yw, Zw: the white (substrate) without overprint;
- Xk, Yk, Zk: the solid black without overprint.
3. Results and Discussion
Figure 2, Figure 3, Figure 4 and Figure 5 present the CIE L*a*b* values of the observed PMS colors. The tested samples are labeled as follows: G—gloss paper, M—matte paper, UV—with UV varnish, OG—offset coating gloss, and OM—offset coating matte.

Figure 2.
CIE L*a*b* values of PMS colors with respect to different types of printing substrates, different coating types, and degree of changes due to coating processes: (a) PMS 7472; (b) PMS 193.
Figure 3.
CIE L*a*b* values of PMS colors with respect to different types of printing substrates, different coating types and degree of changes due to coating processes: (a) PMS 021; (b) PMS 2757.
Figure 4.
CIE L*a*b* values of PMS colors and predicted changes (p, P): (a) PMS 7472; (b) PMS 193.

Figure 5.
CIE L*a*b* values of PMS colors and predicted changes (p, P): (a) PMS 021; (b) PMS 2757.
3.1. Gloss Values
Gloss measurements of the paper were conducted using directional geometry at a 60° angle, in accordance with the Hunter method. The gloss values obtained before and after the varnish application are presented in Table 2.
Table 2.
Gloss values before and after coating process.
After varnishing, it is evident that only the UV varnish resulted in a significant increase in gloss, whereas the oil-based varnish exhibited a minimal effect on gloss enhancement. This variation in gloss levels also influences the visual perception of color, as higher gloss typically conveys a sense of superior print quality. This phenomenon is reflected in the research results regarding color variation (∆E*00) in areas where the varnishes were applied to the printed surface.
3.2. CIE L*a*b* and ∆E00 Values
CIE L*a*b* values are presented in relation to the influence of different coating types and the degree of deviation from the reference color caused by these coatings. The axes in the figures represent the L*a*b* values derived from the CIE L*a*b* color space, where the a* and b* values denote chromatic differences, while the L* axis indicates brightness. According to Kiphan [1], color differences can be categorized as follows: a colorimetric difference ΔE00 < 1 indicates that the average human eye cannot perceive any difference; ΔE00 values of 1–2 represent a small difference; ΔE00 values of 2–3.5 denote a moderate difference; ΔE00 values of 3.5–5 signify a significant difference; and ΔE00 > 5 represents an unacceptable difference.
ΔE00 differences were calculated to provide an accurate measure of PMS color deviations influenced by different types of coatings. In the case of PMS 7472 (Figure 2a), the largest difference is observed with the UV coating applied to both matte and gloss coated printing substrates, resulting in ΔE00 > 1.3. Consequently, points 7 (PAN 7472-M/UV) and 8 (PAN 7472-G/UV) are positioned furthest from the reference points 1 (PAN 7472-M) and 2 (PAN 7472-G) on the diagram. Under the same coating conditions for PMS 193, a difference of ΔE00 > 3 was observed when applying oil-based varnish to both gloss and matte samples, as well as under UV coating conditions, as depicted in Figure 2b. The most substantial difference of ΔE00 = 7.38 was noted at point 8 (PAN 193-G/UV) when compared to reference point 2 (PAN 193-G).
In the case of Ruby Red, a vibrant and saturated color, even minor changes in the interaction of light with the pigment can result in noticeable color shifts. UV coatings generally increase gloss, and higher gloss levels can enhance reflections, making the color appear more intense or shifting it toward different hues under specific lighting conditions. Certain pigments used in Ruby Red are sensitive to UV light; although UV coatings are designed to protect pigments from UV degradation, some pigments—particularly organic ones—may chemically react or degrade when exposed to UV light over time, even in the presence of protective coatings. This degradation can lead to fading or shifts in hue, for instance, transitioning from vibrant red to a more orange or brownish tint. Ruby Red pigments can be especially vulnerable if they contain specific organic compounds that exhibit reduced stability under UV exposure, which may explain the significant color differences observed.
In PMS 021 (Figure 3a), the most substantial differences were recorded with oil-based matte varnish applied to both matte and gloss coated printing substrates, yielding ΔE00 = 4.35 for point 3 and ΔE00 = 3.9 for point 4. Dark Blue PMS 2757 exhibited the largest deviation, with ΔE00 = 6.37, also when using oil-based matte varnish on a gloss coated printing substrate, as depicted in Figure 3b at diagram point 4.
The colorimetric values of the predicted colors influenced by different coating types were calculated using a prediction model within the CIE XYZ color system, which were subsequently converted to the CIE L*a*b* color system (values are displayed in Figure 4 and Figure 5). The initial step in determining the predicted CIE CIE L*a*b* values involved calculating the coefficients kx, ky, and kz, followed by the coefficients jx, jy, and jz,, in accordance with Equations (6) and (7). This calculation considers the changes induced by various coating types and the printing substrates utilized. All types of printing substrates and coating methods were considered in the analysis. The calculated coefficient values were incorporated into Equations (3)–(5) to derive the XYZ values of the predicted colors. Finally, the values of these predicted colors were obtained through conversion to the CIE L*a*b* color system, with visualizations presented in Figure 6 and Figure 7.
Figure 6.
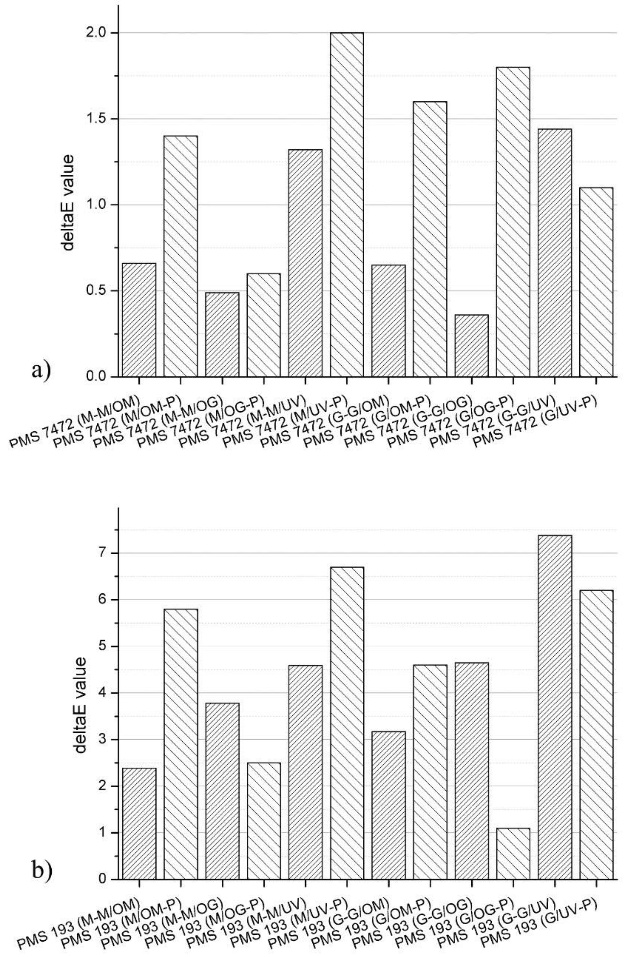
ΔE00 values with respect to measured and model predicted values: (a) PMS 7472; (b) PMS 193.
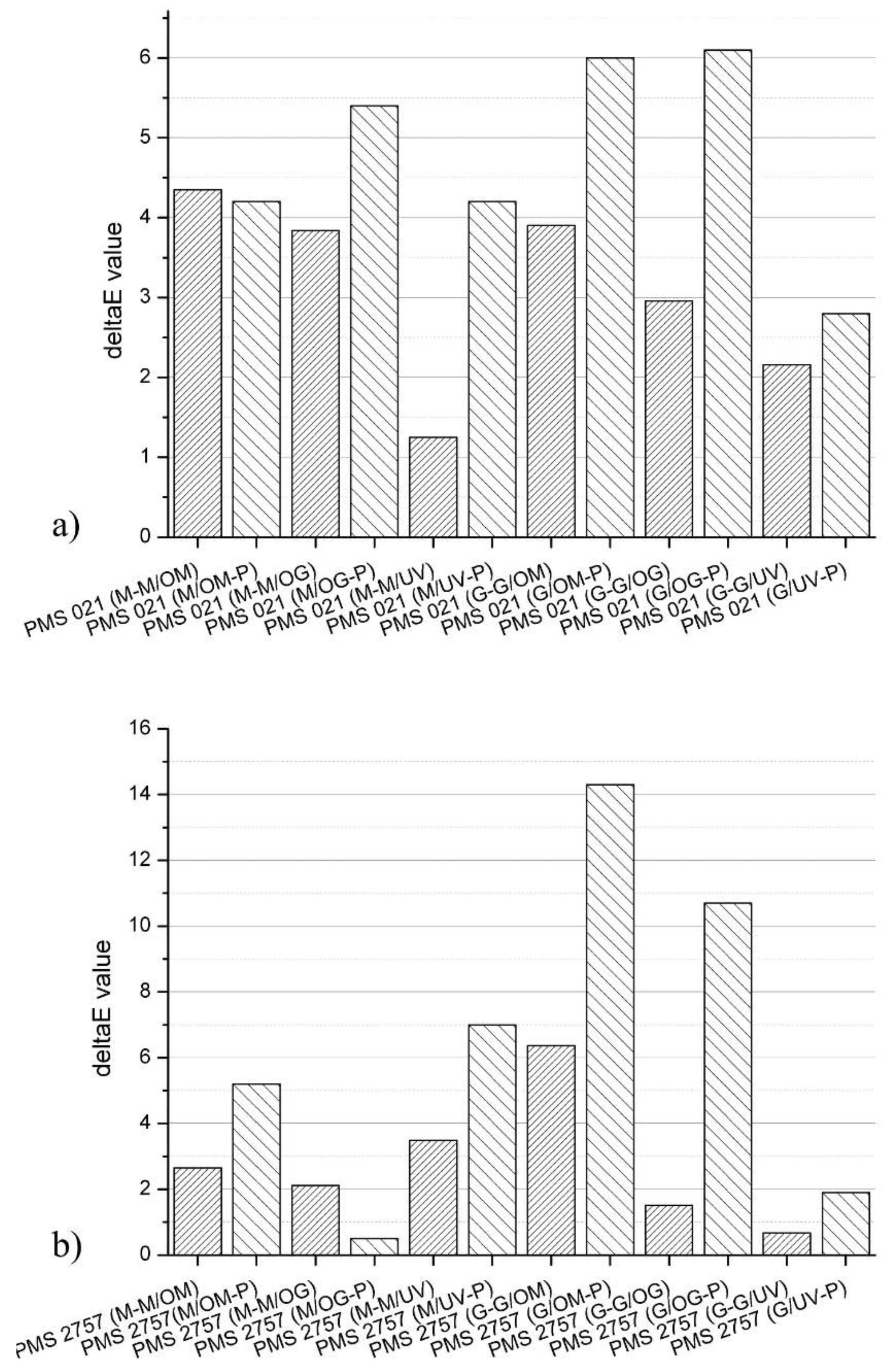
Figure 7.
ΔE00 values with respect to measured and model predicted values: (a) PMS 021; (b) PMS 2757.
The results of the ΔE00 values are presented in Figure 6 and Figure 7. These figures illustrate the actual ΔE00 differences and colorimetric changes caused by the coating processes in the PMS colors, considering the printing substrates used. Analysis of the generated differences calculated using the prediction method reveals that for PMS 7472, the largest prediction error occurs in sample M/UV, with ΔE00 = 2.0, while the smallest error is found in sample M/OG, which is negligible at ΔE00 = 0.6, compared to the measured value (Figure 6a). Consequently, as depicted in Figure 4a, the largest distance is observed between point 3 (PAN-7472 M/UV) and the predicted point 3p (PAN-7472 M/UV-P), whereas the smallest distance is between point 2 (PAN-7472 M/OG) and the predicted point 2p (PAN-7472 M/OG-P). For PMS 193, the largest prediction error is also associated with the sample M/UV, exhibiting ΔE00 = 6.7 relative to the measured value, while the lowest error for sample G/OG is ΔE00 = 1.1 (Figure 7b). Moreover, the visualized CIE L*a*b* points in Figure 4b indicate that predicted changes for samples M/OM, G/OM, and G/UV also result in ΔE values exceeding 4.
For PMS 021, the largest prediction errors were found for samples G/OG and G/OM (ΔE = 6.1 and ΔE = 6.0, respectively), as can be seen in Figure 7a, given the distance between points 5-5p and points 4-4p. The lowest prediction error is found for sample G/UV, with ΔE = 2.8. For PMS 2757 (Figure 7b), the largest prediction error of ΔE = 14.3 is found for sample G/OM, and the lowest prediction error, compared to the measured value, is for sample M/OG, with ΔE = 0.5. For this reason, as can be seen in the CIE L*a*b* space in Figure 6b, point 2 (PAN-2757 M/OG) and point 2p (PAN-2757 M/OG-P) are in almost the same spot in the color space.
The results visible in the graphs indicate that the model’s error is moderate, and the results vary significantly depending on the color used. This shows that the model is not uniform for different colors and is not fully applicable in practice except for colors where ΔE00 is less than 3.5.
For PMS 021, the largest prediction errors were observed in samples G/OG and G/OM, with ΔE00 values of 6.1 and 6.0, respectively, as illustrated in Figure 7a. This observation is evident from the distance between points 5-5p and points 4-4p. Conversely, the lowest prediction error is noted in sample G/UV, with ΔE00 = 2.8. For PMS 2757 (Figure 7b), the most significant prediction error, ΔE00 = 14.3, is associated with sample G/OM, while the lowest prediction error relative to the measured value is found in sample M/OG, with ΔE00 = 0.5. As indicated in the CIE L*a*b* space in Figure 6b, points 2 (PAN-2757 M/OG) and 2p (PAN-2757 M/OG-P) are positioned nearly identically within the color space.
The results depicted in the graphs indicate that the model’s error is moderate, with significant variability observed depending on the specific color utilized. This finding suggests that the model is not uniform across different colors and may not be fully applicable in practice, except for colors where ΔE00 is less than 3.5.
4. Mean, Confidence Interval, Standard Deviation, Median, and Coefficient of Variation Calculations
Mathematical processing and data analysis were performed to generate statistical data. Following the results obtained through standard statistical methods, an Analysis of Variance (ANOVA) was also conducted [41,42,43]. The mean or arithmetic average represents the sum of all data points divided by the total number of data points.
The standard deviation (s) is the average of the squared deviations of the numerical values of a quantity x1, x2, …, xn from their arithmetic mean .
The median is the value of the central data point that divides the ordered dataset into two equal parts. If the number of data points is odd, the median is the value of the central data point; if the number of data points is even, the median represents the average of the two central data points (Figure 8).
Figure 8.
Means, medians, and coeff. of variation values according to Table 3.
Table 3.
Mean, confidence interval, standard deviation, median, and coefficient of variation calculations.
Table 3.
Mean, confidence interval, standard deviation, median, and coefficient of variation calculations.
| Printing Substrate/Varnish Type | Mean, Confidence Interval (5% Sign. Level) | Standard Deviation | Median | Coefficient of Variation |
|---|---|---|---|---|
| M/OM | 2.7717 (1.0387–4.5046) | 1.6513 | 2.52 | 0.5958 |
| M/OG | 3.7267 (0.4978–6.9556) | 3.0678 | 3.215 | 0.8256 |
| M/UV | 2.4217 (0.9784–3.8649) | 1.3753 | 1.945 | 0.5679 |
| G/OM | 4.0283 (1.9170–6.1396) | 2.0118 | 4.21 | 0.4994 |
| G/OG | 2.88 (−0.0378–5.7978) | 2.7804 | 2.235 | 0.9654 |
| G/UV | 2.0867 (−0.7295–4.9029) | 2.6835 | 1.055 | 1.286 |
| ΔE | 2.9858 (2.1978–3.7739) | 0.7509 | 2.825 | 0.2515 |
Analysis of Variance (ANOVA) allows for the comparison of means across three or more different groups, enabling us to determine whether there is a statistically significant difference in the mean of the dependent variable. The results are indicated by the F-statistic, and as the F-statistic increases, it becomes more likely that the observed mean differences are not due to chance (Table 4 and Figure 9).
Table 4.
Tested group pairs and confidence interval (CI).
Figure 9.
Multiple comparison of population marginal means.
From the obtained results, we can see that there are no significant differences between the groups, and it is evident that the means overlap, indicating that there is no substantial difference where one group differs notably from another. The variations in this study did not yield any significant differentiation in the calculation of ΔE.
5. Model Improvement Recommendation
The prediction model does not show the same color differences for the tested types of varnishes and for the tested colors. To improve this model, we can modify the scaling factors jx, jy, and jz by introducing a coefficient V. This coefficient will represent the degree to which the varnish influences the final appearance of each tristimulus component.
where Vx, Vx, and Vx, are the varnish coefficients for the X, Y, and Z components, respectively. These components reduce or enhance each tristimulus component based on the varnish type and color. Experimental changes to the coefficient V yield results where ∆E00 is closest to the actual measured CIE L*a*b* values (Figure 10, Figure 11, Figure 12 and Figure 13).
Figure 10.
∆E values with respect to coefficient V for PMS 7472.
Figure 11.
∆E values with respect to coefficient V for PMS 193.
Figure 12.
∆E values with respect to coefficient V for PMS 021.
Figure 13.
∆E values with respect to coefficient V for PMS 2757.
6. Conclusions
Researching the prediction model for colorimetric changes in spot colors due to coating processes yielded several significant conclusions. While coating processes enhance the visual appearance of prints and provide protection, they also induce colorimetric changes in spot colors. Notable colorimetric alterations, characterized by measured ΔE values exceeding 3, were observed in PMS 193, PMS 021, and PMS 2757. These ΔE00 differences occurred irrespective of whether gloss or matte coatings were applied, whether using oil-based varnish or a UV coating.
Regarding the printing surfaces employed, the most substantial colorimetric deviations in nearly all PMS colors were noted on matte coated substrates, particularly when using a UV coating. Similarly, significant deviations on gloss coated printing substrates were also attributed to UV coatings and oil-based matte varnishes.
This study demonstrates that substantial colorimetric changes in the observed PMS colors arise from coating processes. Such changes must be considered to achieve consistent repeatability in the printing process and to maintain satisfactory product quality. The colorimetric changes are influenced not only by the characteristics of the printing substrate and gloss variations due to varnishing but also by the inherent physical and chemical properties of the spot colors and varnishes utilized.
These factors are critical for ensuring accurate reproduction, traceability, and standardization in the printing process. Analysis of the results from the mathematical model predicting colorimetric changes in spot colors due to coating processes revealed that in 54% of cases, the predicted ΔE00 value deviated from the actual measured value by greater than 3, indicating a significant error. Conversely, in 46% of cases, the prediction error was less than 3 when compared to the measured values. Consequently, it can be concluded that the prediction method analyzed in this study did not yield sufficiently reliable results for coating on spot colors. The applicability of this method is therefore limited to predicting colorimetric changes occurring in the printing of spot colors on spot colors. Nevertheless, the mathematical model provides a cost-effective and rapid approach to color prediction, which can be effectively employed in less demanding situations.
These results generally indicate that the color difference falls within a moderate range; however, this moderate difference may not be sufficient for achieving high-quality reproduction. Since the color difference ∆E00 is fundamentally based on the Euclidean distance in the CIE L*a*b* color space, variations in coating can cause what begins as a moderate difference to escalate into a significant one. This observation underscores the necessity for further studies. Specifically, investigations into colorimetric changes in spot colors should prioritize water-dispersible coating methods, which are extensively utilized in the packaging industry. Water-dispersible varnishes are eco-friendly coatings, and given the increasing emphasis on environmental sustainability, additional research on these coatings is warranted. Their growing application is primarily attributable to their appealing visual effects, which enhance product commercialization.
Given the significant differences in the results, these discrepancies underscore certain limitations of the prediction model. Accurate color change prediction models necessitate precise spectral data concerning the materials involved. If the input data are limited, inaccurate, or lack specific parameters, such as the UV stability of pigments or temperature variations, the model is unlikely to produce reliable results.
Many materials do not exhibit color changes in a linear manner under varying conditions, including shifts in lighting, temperature fluctuations, or exposure to environmental factors. If the model fails to account for nonlinear effects (e.g., exponential color degradation due to UV radiation), the predictions may be rendered inaccurate. Furthermore, color change can be significantly influenced by external factors such as humidity, oxidation, pollution, and prolonged exposure to UV light. Often, models do not incorporate the myriad complex influences present in real-world environments, which can lead to erroneous predictions.
Generalizing the prediction model can be challenging, as color changes may vary significantly based on the type of material, the chemical composition of the pigment, and the interaction of the material with environmental factors. If the model is tailored for a specific type of ink or substrate, its applicability to other systems may be limited.
Models often operate under the assumption of constant lighting conditions, utilizing standard illuminants such as D65 or A. However, in real-world scenarios, lighting conditions fluctuate, leading to variations in color perception that depend on changes in the spectral distribution of light. If the model fails to incorporate dynamic lighting conditions, its predictions may be of limited utility in practical applications.
Predicting long-term color changes presents significant challenges. Materials may undergo various chemical reactions, such as oxidation or degradation under UV light, making long-term alterations unpredictable due to the interplay of multiple external factors. If the model is not optimized for long-term predictions, this may represent one of its primary limitations. While mathematical models often rely on spectral data, human color perception may diverge from the predictions generated by the model. This discrepancy between physical color changes and perceptual differences can result in the model failing to accurately reflect how color changes will be perceived by the human eye.
Mathematical models, such as those developed by Deshpande, Green, and Hoffstadt, serve as useful tools for predicting color changes; however, they exhibit limitations stemming from the simplification of complex physicochemical processes, dependence on accurate input data, and specificity of environmental conditions.
To minimize the influence of factors that can affect color perception, a varnishing coefficient, V, can be introduced to reduce color discrepancies between predicted and measured values. This coefficient is not universal, but in this study, we have demonstrated that it can yield more accurate results under specific conditions. For the tested prints, the V coefficient ranged from 0.8 to 1.2. Generally, as tristimulus values increase with higher reflection, the coefficients for matte surfaces and varnished finishes were mostly below 1, whereas colors coated with UV varnish on glossy surfaces had a V coefficient above 1.
This study confirms that for each type of varnish, surface, and color, it is necessary to define a V coefficient that can more accurately predict color differences.
For our research on coatings with oil-based and UV coatings, we defined the optimal coefficient in the interval of 0,05 for the specified colors with the tested coatings.
Improving the prediction model can be achieved with the coefficient V (Table 5).
Table 5.
Improving prediction model using coefficient V for coating processes with oil-based and UV coatings.
Author Contributions
Conceptualization, I.Z. and M.M.; Methodology, M.M.; Software, I.L.; Validation, I.Z.; Formal analysis, M.M.; Investigation, E.G.; Resources, I.Z. and E.G.; Data curation, E.G.; Writing—original draft, I.Z.; Writing—review & editing, I.Z. and M.M.; Visualization, I.L.; Supervision, E.G.; Project administration, I.L. and M.M.; Funding acquisition, M.M. All authors have read and agreed to the published version of the manuscript.
Funding
This research received no external funding.
Institutional Review Board Statement
Not applicable.
Informed Consent Statement
Not applicable.
Data Availability Statement
Data are contained within the article.
Conflicts of Interest
The authors declare no conflict of interest.
References
- Kipphan, H. Handbook of Print Media; Springer: New York, NY, USA, 2000; pp. 206–219. ISBN 978-3-540-67326-2. [Google Scholar]
- Rossitza, S. Offset Printing without Isopropyl Alcohol in Damping Solution. Energy Procedia 2015, 74, 690–698. [Google Scholar] [CrossRef][Green Version]
- Sang, R.; Yang, S.; Fan, S. Effects of MDF Substrate Surface Coating Process on UV Inkjet Print Quality. Coatings 2023, 13, 970. [Google Scholar] [CrossRef]
- Li, Y.; He, B.H. Investigation into the Coating Surface Topography and Properties of Paper Related to Drying Condition. Adv. Mater. Res. 2011, 233–255, 1614–1618. [Google Scholar] [CrossRef]
- Majnaric, I.; Morić, M.; Valdec, D.; Milkovic, K. The Effect of Applying UV LED-Cured Varnish to Metalized Printing Elements during Cold Foil Lamination. Coatings 2004, 14, 604. [Google Scholar] [CrossRef]
- Sublistar. Discover the Print Difference. Available online: https://shop.subli-star.com/blogs/news/the-differences-between-water-based-and-uv-varnishes (accessed on 18 October 2024.).
- Car, I.; Majnaric, I.; Lozo, B. Colorimetric changes caused by uv varnishing. In Proceedings of the 8th Conference on Information and Graphic Arts Technology (CIGT 2018), Ljubljana, Slovenia, 7−8 June 2018; pp. 37–40, ISBN 978-961-6900-24-9. [Google Scholar]
- Tracton, A.A. Coatings Technology Handbook, 3rd ed.; CRC Press-Taylor & Francis Group: Boca Raton, FL, USA, 2005. [Google Scholar] [CrossRef]
- Maass, A.; Hirn, U. Long term curl of printing paper due to ink solvent migration. Mater. Des. 2024, 237, 112593. [Google Scholar] [CrossRef]
- Wienke, A.; Hoffmann, G.A.; Koch, J.; Jäschke, P.; Overmeyer, L.; Kaierle, S. Ablation and functionalization of flexographic printing forms using femtosecond lasers for additively manufactured polymer-optical waveguides. Procedia CIRP 2020, 94, 846–849. [Google Scholar] [CrossRef]
- Pavlovic, Z.; Dedijer, S.; Draganov, S.; Karlović, I.; Juric, I. Offset Printing. In Printing on Polymers, Fundamentals and Applications; William Andrew: Norwich, NY, USA, 2016; pp. 217–229. [Google Scholar] [CrossRef]
- Cigula, T.; Hudika, T.; Tomasegovic, T. Lightfastness, surface and interfacial properties of colour-printed paper substrates coated with PCL/ZnO and PCL/TiO2 nanocomposites. Surf. Interfaces 2021, 27, 101522. [Google Scholar] [CrossRef]
- Fillat, U.; Vergara, P.; Carlos, L.V.; Gomez, N. Structural properties of coated papers with cellulosic nanofibres using different metering systems and drying technologies. Prog. Org. Coat. 2023, 179, 107543. [Google Scholar] [CrossRef]
- Singhal, A.K.; Kumar, S.; Gupta, S.; Bhardwaj, N.K.; Varadhan, R. Calcium sulphate as pigment for improved functional properties of coated paper. Prog. Org. Coat. 2015, 79, 31–36. [Google Scholar] [CrossRef]
- Lee, J.H.; Lae Lee, H. Novel method for the evaluation of mechanical property of pigment coating layer and its application: Influence of spreading of latex binder on final properties of coating layer. Prog. Org. Coat. 2022, 163, 2–10. [Google Scholar] [CrossRef]
- Karak, N. Fundamentals of Nanomaterials and Polymer Nanocomposites. In Nanomaterials and Polymer Nanocomposites; Elsevier: Amsterdam, The Netherlands, 2019; pp. 1–45. [Google Scholar] [CrossRef]
- Balea, A.; Fuente, E.; Monte, M.C.; Merayo, N.; Campano, C.; Negro, C.; Blanco, A. Industrial Application of Nanocelluloses in Papermaking: A Review of Challenges, Technical Solutions, and Market Perspectives. Molecules 2020, 25, 526. [Google Scholar] [CrossRef] [PubMed]
- ISO 12647-2:2017; Graphic Technology—Process Control for the Production of Half-Tone Color Separations, Proof and Production Prints—Part I1: Offset Lithographic Processes. International Organization for Standardization: Geneva, Switzerland, 2017.
- Available online: https://printhouse.co.uk/2010/01/what-is-trapping-and-how-is-it-used-in-print/ (accessed on 18 October 2024).
- Tran, T.T.T.; Bach, L.H.; Hoang, T.K.N. Effect of Ink Transfer on Color Values in Lithographic Printing. Int. J. Sci. Res. Sci. Technol. 2022, 9, 16–20. [Google Scholar] [CrossRef]
- Sangermano, M.; Meier, P.; Tzavalas, S. Infrared Spectroscopy as a Tool to Monitor Radiation Curing. In Infrared Spectroscopy-Materials Science, Engineering and Technology; InTech: London, UK, 2012. [Google Scholar] [CrossRef]
- Available online: https://repository.rit.edu/theses/3902/ (accessed on 19 October 2024).
- Wongchi, X.; Shisheng, Z.; Yinlin, X. New Algorithm for Ink Trapping Ratio Based on Transmittance. Appl. Mech. Mater. 2016, 312, 489–493. [Google Scholar] [CrossRef]
- Quyen, D.H.; Nguyen, T.K. Effect of Ink Tack Value on the Ink Trapping in Lithographic Printing. Int. J. Sci. Res. Sci. Eng. Technol. 2022, 9, 561–564. [Google Scholar] [CrossRef]
- Cui, Z.; Liao, L.Z. Coating and printing processes. In Solution Processed Metal Oxide Thin Films for Electronic Applications; Cui, Z., Korotcenkov, G., Eds.; Elsevier: Amsterdam, The Netherlands, 2020; Volume 1, pp. 83–97. [Google Scholar] [CrossRef]
- ISO 536-2:2019; Paper and Board—Determination of Grammage. International Organization for Standardization: Geneva, Switzerland, 2019.
- ISO 8254-1:2009; Paper and Board—Measurement of Specular Gloss, Part 1: 75 Degree Gloss with a Converging Beam, TAPPI Method. International Organization for Standardization: Geneva, Switzerland, 2009.
- ISO 2470-2:2008; Paper, Board and Pulps—Measurement of Diffuse Blue Reflectance Factor, Part 2: Outdoor Daylight Conditions (D65 Brightness). International Organization for Standardization: Geneva, Switzerland, 2008.
- ISO 2471:2008; Paper and Board—Determination of Opacity (Paper Backing)—Diffuse Reflectance Method. International Organization for Standardization: Geneva, Switzerland, 2008.
- ISO 8254-2:2016; Paper and Board—Measurement of Specular Gloss, Part 2: 75 Degree Gloss with a Parallel Beam, DIN Method. International Organization for Standardization: Geneva, Switzerland, 2016.
- ISO 8791-4:2021; Paper and Board—Determination of Roughness/Smoothness (Air Leak Methods), Part 4: Print-Surf Method. International Organization for Standardization: Geneva, Switzerland, 2021.
- ISO 13655:2009; Graphic Technology—Spectral Measurement and Colorimetric Computation for Graphic arts Images. International Organization for Standardization: Geneva, Switzerland, 2009.
- Korytkowski, P.; Olejnik-Krugly, A.; Zaikin, O. A Framework for a Quality Assurance in Offset Printing. In Proceedings of the 13th IFAC Symposium on Information Control Problems in Manufacturing, Moscow, Russia, 3–5 June 2009; pp. 3–5. [Google Scholar] [CrossRef]
- Available online: https://www.hhgrfx.com/special-effects-screen-printing-uv-coatings/gloss-matte-printing/ (accessed on 19 October 2024).
- Kašiković, N.; Novaković, D.; Milić, N.; Vladić, G.; Zeljković, Ž.; Stančić, M. Thermovision and spectrophotometric analysis of ink volume and material characteristics influence on colour changes of heat treated printed substrates. Teh. Vjesn. 2015, 22, 33–41. [Google Scholar] [CrossRef]
- Wyszecki, G.; Stiles, W.S. Color Science: Concepts and Methods, Quantitative Data and Formulae; Wiley: New York, NY, USA, 1982. [Google Scholar] [CrossRef]
- Karimipour, H.; Witzel, C. Colour expectations across illumination changes. Vis. Res. 2024, 222, 108451. [Google Scholar] [CrossRef] [PubMed]
- Deshpande, K.; Green, P. A simplified method of predicting the colorimetry of spot color overprints. In Proceedings of the Eighteenth Color and Imaging Conference: Color Science and Engineering Systems, Technologies, and Applications, San Antonio, TX, USA, 8–12 November 2010; pp. 213–216, ISBN ISBN/ISSN 978-0-89208-294-0. [Google Scholar] [CrossRef]
- Donatela, S.; Sole, A.S. Visually Significant Dimensions and Parameters for Gloss. J. Imaging 2024, 10, 10. [Google Scholar] [CrossRef]
- Available online: https://www.rhopointinstruments.com/faq/how-is-gloss-measured/ (accessed on 19 October 2024).
- Jeff, C.F.; Michael, S.H. Experiments: Planning, Analysis, and Optimization, 2nd ed.; Wiley: Hoboken, NJ, USA, 2009. [Google Scholar]
- Zhou, M.; Wei, P.; Deng, L. Research on the factorial effect of science and technology innovation (STI) policy mix using multifactor analysis of variance (ANOVA). J. Innov. Knowl. 2022, 7, 100249. [Google Scholar] [CrossRef]
- Siegel, A.F. Chapter 15-ANOVA: Testing for Differences Among Many Samples, and Much More Practical Business Statistics, 6th ed.; Elsevier: Amsterdam, The Netherlands, 2012; pp. 467–490. [Google Scholar] [CrossRef]
Disclaimer/Publisher’s Note: The statements, opinions and data contained in all publications are solely those of the individual author(s) and contributor(s) and not of MDPI and/or the editor(s). MDPI and/or the editor(s) disclaim responsibility for any injury to people or property resulting from any ideas, methods, instructions or products referred to in the content. |
© 2024 by the authors. Licensee MDPI, Basel, Switzerland. This article is an open access article distributed under the terms and conditions of the Creative Commons Attribution (CC BY) license (https://creativecommons.org/licenses/by/4.0/).