Predicting Dynamic Properties and Fatigue Performance of Aged and Regenerated Asphalt Using Time–Temperature–Aging and Time–Temperature–Regenerator Superposition Principles
Abstract
1. Introduction
2. Materials
2.1. Asphalt Binders
2.2. Rejuvenator
2.3. Specimen Preparation
3. Experimental Methods
3.1. Design of Experiments
3.2. Christensen–Anderson–Marasteanu (CAM) Model
3.3. Simplified Viscoelastic Continuum Damage Model
4. Results and Discussion
4.1. Impact of Aging on the Complex Modulus and Viscoelastic Behavior of Asphalt Binders
4.2. Impact of Rejuvenator on the Complex Modulus and Viscoelastic Properties of Aged Asphalt Binders
4.3. Construction and Prediction of Asphalt Complex Modulus Master Curve Based on Time–Temperature–Aging (TTA) Superposition Principle
- (1)
- Determine a reference state: first, select a reference aging time and temperature as the baseline for constructing the master curve.
- (2)
- Curve shifting: by appropriately shifting the curves (along the time or frequency axis), align the complex modulus curves at other aging times or temperatures with the master curve at the reference state.
- (3)
- Construct the equivalent curve: after completing the curve shifts, integrate all the data points to form the time–temperature–aging equivalent complex modulus master curve.
4.4. Prediction Regenerated Asphalt Complex Modulus Master Curve Based on Time–Temperature–Regenerator (TTR) Superposition Principle
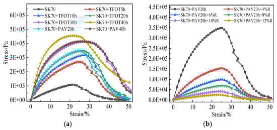
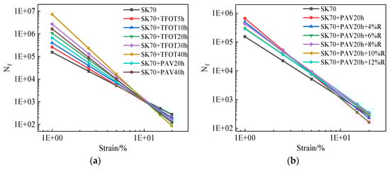
4.5. Material Integrity Analysis of Aged and Regenerated Asphalt Fatigue Performance
5. Conclusions
- (1)
- Aging significantly increases the complex modulus, especially under TFOT aging compared to PAV aging. The CAM parameters can effectively explain the impact of aging on asphalt, revealing that aging reduces the viscous deformation and increases elastic behavior, making asphalt more prone to cracking under low-temperature conditions. Additionally, aging enhances the material’s sensitivity to temperature and frequency changes.
- (2)
- Increasing rejuvenator dosage reduces the complex modulus of aged asphalt, with 6% rejuvenator restoring its mechanical properties to near-original levels. As the rejuvenator dosage increases, the low-temperature performance and temperature sensitivity of the asphalt improve. Rejuvenators enhance flexibility, reduce temperature sensitivity, and improve resistance to low-temperature cracking, thereby enhancing the durability of regenerated asphalt under varying conditions.
- (3)
- The master curves of the asphalt complex modulus with different aging times are essentially parallel, similar to the results observed in frequency sweeps at varying temperatures. With the original asphalt serving as the reference state and by curves shifting based on the least squares method, a time–temperature–aging equivalent master curve of the complex modulus was constructed, and aging shift factors were obtained. A strong linear correlation (R2 > 0.975) between aging shift factors and aging time was observed, enabling accurate prediction of the asphalt complex modulus under different aging conditions.
- (4)
- The time–temperature–regenerator complex modulus master curve of regenerated asphalt was constructed using the least squares method. By shifting the complex modulus master curves of regenerated asphalt with different regenerator dosages to the reference state, shift factors were determined. Results show a significant linear relationship between regenerator dosage and shift factor, with the shift factor decreasing as dosage increases. The minimal error between calculated and predicted curves demonstrates high predictive accuracy, making this method a valuable tool for predicting the complex modulus and optimizing regenerator dosages in engineering applications.
- (5)
- Aging narrows the stress–strain curve’s peak, indicating increased stress dependence, while adding a regenerant broadens it, enhancing fatigue life. The study also explores how different levels of aging and regenerant dosage affect fatigue life under varying strain conditions, revealing complex behaviors influenced by the aging and regeneration processes.
Author Contributions
Funding
Institutional Review Board Statement
Informed Consent Statement
Data Availability Statement
Acknowledgments
Conflicts of Interest
References
- Behnood, A. Application of rejuvenators to improve the rheological and mechanical properties of asphalt binders and mixtures: A review. J. Clean. Prod. 2019, 231, 171–182. [Google Scholar] [CrossRef]
- El-Shorbagy, A.M.; El-Badawy, S.M.; Gabr, A.R. Investigation of waste oils as rejuvenators of aged bitumen for sustainable pavement. Constr. Build. Mater. 2019, 220, 228–237. [Google Scholar] [CrossRef]
- Xu, S.; Wu, H.; Song, W.; Zhan, Y. Investigation of the aging behaviors of reclaimed asphalt. J. Clean. Prod. 2022, 356, 131837. [Google Scholar] [CrossRef]
- Avirneni, D.; Peddinti, P.R.T.; Saride, S. Durability and long term performance of geopolymer stabilized reclaimed asphalt pavement base courses. Constr. Build. Mater. 2016, 121, 198–209. [Google Scholar] [CrossRef]
- Dhasmana, H.; Hossain, K.; Karakas, A.S. Effect of long-term ageing on the rheological properties of rejuvenated asphalt binder. Road Mater. Pavement 2021, 22, 1268–1286. [Google Scholar] [CrossRef]
- Al-Saffar, Z.H.; Yaacob, H.; Katman, H.Y.; Satar, M.K.I.M.; Bilema, M.; Jaya, R.P.; Eltwati, A.S.; Radeef, H.R. A Review on the Durability of Recycled Asphalt Mixtures Embraced with Rejuvenators. Sustainability 2021, 13, 8970. [Google Scholar] [CrossRef]
- Zaumanis, M.; Mallick, R.B.; Poulikakos, L.; Frank, R. Influence of six rejuvenators on the performance properties of Reclaimed Asphalt Pavement (RAP) binder and 100% recycled asphalt mixtures. Constr. Build. Mater. 2014, 71, 538–550. [Google Scholar] [CrossRef]
- Borghi, A.; del Barco Carrión, A.J.; Presti, D.L.; Giustozzi, F. Effects of Laboratory Aging on Properties of Biorejuvenated Asphalt Binders. J. Mater. Civ. Eng. 2017, 29, 04017149. [Google Scholar] [CrossRef]
- Zahoor, M.; Nizamuddin, S.; Madapusi, S.; Giustozzi, F. Sustainable asphalt rejuvenation using waste cooking oil: A comprehensive review. J. Clean. Prod. 2021, 278, 123304. [Google Scholar] [CrossRef]
- Lv, S.; Liu, J.; Peng, X.; Liu, H.; Hu, L.; Yuan, J.; Wang, J. Rheological and microscopic characteristics of bio-oil recycled asphalt. J. Clean. Prod. 2021, 295, 126449. [Google Scholar] [CrossRef]
- Sharma, A.; Naga, G.R.R.; Kumar, P.; Raha, S. Rheological Characterization of Recycled Asphalt Binders and Correlating the Zero Shear Viscosity to the Superpave Rutting Parameter. J. Mater. Civ. Eng. 2022, 34, 04022218. [Google Scholar] [CrossRef]
- Anjali, B.L.; Swamy, A.K. Time-temperature-dosage superposition approach to predict the complex modulus of asphalt binders. Constr. Build. Mater. 2022, 329, 127140. [Google Scholar] [CrossRef]
- Liu, F.; Zhou, Z.; Zhang, X. Construction of complex shear modulus and phase angle master curves for aging asphalt binders. Int. J. Pavement Eng. 2020, 23, 536–544. [Google Scholar] [CrossRef]
- Saleh, N.F.; Mocelin, D.; Rad, F.Y.; Castorena, C.; Underwood, B.S.; Kim, Y.R. Predictive Framework for Modeling Changes in Asphalt Mixture Moduli with Oxidative Aging. Transp. Res. Rec. J. Transp. Res. Board 2020, 2674, 79–93. [Google Scholar] [CrossRef]
- Chen, J.; Yan, K.; You, L. Rheological and Spectroscopic Properties of Ethylene Vinyl Acetate–Modified Rubberized Asphalt. J. Mater. Civ. Eng. 2020, 32, 04020142. [Google Scholar] [CrossRef]
- Chen, M.; Geng, J.; Chen, H.; Luo, M. Effect of water aging on the fatigue performance of asphalt binders using the linear amplitude sweep. Constr. Build. Mater. 2021, 304, 124679. [Google Scholar] [CrossRef]
- Qin, Q.; Schabron, J.F.; Boysen, R.B.; Farrar, M.J. Field aging effect on chemistry and rheology of asphalt binders and rheological predictions for field aging. Fuel 2014, 121, 86–94. [Google Scholar] [CrossRef]
- Wang, C.; Xie, W.; Underwood, B.S. Fatigue and healing performance assessment of asphalt binder from rheological and chemical characteristics. Mater. Struct. 2018, 51, 171. [Google Scholar] [CrossRef]
- Wen, H.; Li, X.; Bhusal, S. Modelling the effects of temperature and loading rate on fatigue properties of hot mixed asphalt. Int. J. Pavement Eng. 2012, 15, 51–57. [Google Scholar] [CrossRef]
- Chen, H.; Bahia, H.U. Modelling effects of aging on asphalt binder fatigue using complex modulus and the LAS test. Int. J. Fatigue 2021, 146, 106150. [Google Scholar] [CrossRef]
- Safaei, F.; Lee, J.-S.; Nascimento, L.A.H.D.; Hintz, C.; Kim, Y.R. Implications of warm-mix asphalt on long-term oxidative ageing and fatigue performance of asphalt binders and mixtures. Road Mater. Pavement Des. 2014, 15, 45–61. [Google Scholar] [CrossRef]
- Nazari, H.; Naderi, K.; Moghadas Nejad, F. Improving aging resistance and fatigue performance of asphalt binders using inorganic nanoparticles. Constr. Build. Mater. 2018, 170, 591–602. [Google Scholar] [CrossRef]
- Yang, K.; Li, R.; Underwood, B.S.; Castorena, C. Effect of laboratory oxidative aging on dynamic shear rheometer measures of asphalt binder fatigue cracking resistance. Constr. Build. Mater. 2022, 337, 127566. [Google Scholar] [CrossRef]
- Jacobs, G.; Margaritis, A.; Hernando, D.; He, L.; Blom, J.; Van den bergh, W. Influence of soft binder and rejuvenator on the mechanical and chemical properties of bituminous binders. J. Clean. Prod. 2021, 287, 125596. [Google Scholar] [CrossRef]
- Cao, W.; Wang, Y.; Wang, C. Fatigue characterization of bio-modified asphalt binders under various laboratory aging conditions. Constr. Build. Mater. 2019, 208, 686–696. [Google Scholar] [CrossRef]
- JTG E20-2011; Standard Test Methods of Bitumen and Bituminous Mixtures for Highway Engineering. Research Institute of Highway Ministry of Transport: Beijing, China, 2011.
- AASHTO T 315: 2019; Standard Method of Test for Determining the Rheological Properties of Asphalt Binder Using a Dynamic Shear Rheometer (DSR). American Association of State Highway and Transportation Officials: Washington, DC, USA, 2019.
- AASHTO TP 101-12 (2018); Standard Method of Test for Estimating Fatigue Resistance of Asphalt Binders Using the Linear Amplitude Sweep. Association of State Highway and Transportation Officials: Washington, DC, USA, 2012.
- Ma, X.; Chen, H.; Gui, C.; Xing, M.; Yang, P. Influence of the properties of an asphalt binder on the rheological performance of mastic. Constr. Build. Mater. 2019, 227, 116659. [Google Scholar] [CrossRef]
- Hou, H.; Wang, T.; Wu, S.; Xue, Y.; Tan, R.; Chen, J.; Zhou, M. Investigation on the pavement performance of asphalt mixture based on predicted dynamic modulus. Constr. Build. Mater. 2016, 106, 11–17. [Google Scholar] [CrossRef]
- Yusoff, N.I.M.; Jakarni, F.M.; Nguyen, V.H.; Hainin, M.R.; Airey, G.D. Modelling the rheological properties of bituminous binders using mathematical equations. Constr. Build. Mater. 2013, 40, 174–188. [Google Scholar] [CrossRef]
- Naderi, K.; Nejad, F.M.; Khodaii, A. Time-Temperature-Age Superposition Validation for Linear Viscoelastic Properties of Bituminous Materials. J. Mater. Civ. Eng. 2018, 30, 04017292. [Google Scholar] [CrossRef]
- Sabouri, M.; Kim, Y.R. Development of a Failure Criterion for Asphalt Mixtures under Different Modes of Fatigue Loading. Transp. Res. Rec. J. Transp. Res. Board 2014, 2447, 117–125. [Google Scholar] [CrossRef]
- Babadopulos, L.F.d.A.L.; Ferreira, J.L.S.; Soares, J.B.; Nascimento, L.A.H.d.; Castelo Branco, V.T.F. Aging-Effect Incorporation into the Fatigue-Damage Modeling of Asphalt Mixtures Using the S-VECD Model. J. Mater. Civ. Eng. 2016, 28, 04016161. [Google Scholar] [CrossRef]











| Property | SK70 | Test Method |
|---|---|---|
| Penetration (25 °C, 100 g, 5 s) (0.1 mm) | 57.3 | T0604 |
| Ductility (5 cm/min, 10 °C) | 77.3 | T0605 |
| Softening point (°) | 46.9 | T0606 |
| Viscosity (135°, Pa·s) | 0.37 | T0625 |
| Property | Test Result | Technical Specifications | Test Method |
|---|---|---|---|
| Viscosity (60 °C, mm2/s) | 55 | ≥50 | T0619 |
| Flash point (°C) | 234 | ≥220 | T0611 |
| RTFOT Viscosity ratio | 1.02 | ≤3 | T0619 |
| RTFOT Mass Change (%) | −0.32 | ≤±4 | T0609 |
| Saturation content (%) | 11.31 | ≤30 | TLC-FID |
| Aromatic content (%) | 78.8 | - | TLC-FID |
| Aging Methods | /Hz | R2 | ||
|---|---|---|---|---|
| SK70 | 4.02 × 103 | 0.955 | 0.976 | 0.9999 |
| SK70 + TFOT5h | 1.69 × 102 | 2.012 | 1.204 | 0.9990 |
| SK70 + TFOT10h | 2.46 × 101 | 2.365 | 1.278 | 0.9986 |
| SK70 + TFOT20h | 2.70 × 10−1 | 2.943 | 1.598 | 0.9991 |
| SK70 + TFOT30h | 3.35 × 10−8 | 3.556 | 3.182 | 0.9990 |
| SK70 + TFOT40h | 3.98 × 10−17 | 4.451 | 8.848 | 0.9993 |
| SK70 + PAV20h | 4.90 × 101 | 1.924 | 1.162 | 0.9990 |
| SK70 + PAV40h | 6.55 | 1.987 | 1.353 | 0.9994 |
| Regeneration | /Hz | R2 | ||
|---|---|---|---|---|
| SK70 | 4.02 × 103 | 0.955 | 0.976 | 0.9999 |
| SK70 + PAV20h | 4.90 × 101 | 1.924 | 1.162 | 0.9990 |
| PAV + 4%R | 4.54 × 103 | 1.895 | 0.905 | 0.9989 |
| PAV + 6%R | 4.95 × 104 | 1.803 | 0.849 | 0.9994 |
| PAV + 8%R | 2.58 × 106 | 1.252 | 0.816 | 0.9990 |
| PAV + 10%R | 1.62 × 107 | 0.061 | 0.737 | 0.9980 |
| PAV + 12%R | 1.33 × 108 | 0.002 | 0.674 | 0.9982 |
| Asphalt | R2 | |||
|---|---|---|---|---|
| SK70 | 2.054156 | 0.000167 | 0.329662 | 0.9979 |
| SK70 + TFOT5h | 2.271325 | 0.000189 | 0.306717 | 0.9951 |
| SK70 + TFOT10h | 2.369731 | 0.000253 | 0.292416 | 0.9946 |
| SK70 + TFOT20h | 2.470602 | 0.007556 | 0.242607 | 0.9935 |
| SK70 + TFOT30h | 2.650436 | 0.001405 | 0.168638 | 0.991 |
| SK70 + TFOT40h | 2.892544 | 7.63 × 10−5 | 0.223471 | 0.9985 |
| SK70 + PAV20h | 2.38692 | 0.001642 | 0.273924 | 0.9943 |
| SK70 + PAV40h | 2.584196 | 0.000152 | 0.223331 | 0.9967 |
| SK70 + PAV20h + 4%R | 2.283139 | 3.96 × 10−5 | 0.286903 | 0.9973 |
| SK70 + PAV20h + 6%R | 2.222211 | 0.000431 | 0.349668 | 0.9924 |
| SK70 + PAV20h + 8%R | 2.187286 | 0.000143 | 0.350461 | 0.9914 |
| SK70 + PAV20h + 10%R | 2.142417 | 0.00021 | 0.390778 | 0.9928 |
| SK70 + PAV20h + 12%R | 2.127048 | 0.00015 | 0.441002 | 0.9911 |
Disclaimer/Publisher’s Note: The statements, opinions and data contained in all publications are solely those of the individual author(s) and contributor(s) and not of MDPI and/or the editor(s). MDPI and/or the editor(s) disclaim responsibility for any injury to people or property resulting from any ideas, methods, instructions or products referred to in the content. |
© 2024 by the authors. Licensee MDPI, Basel, Switzerland. This article is an open access article distributed under the terms and conditions of the Creative Commons Attribution (CC BY) license (https://creativecommons.org/licenses/by/4.0/).
Share and Cite
Wang, Z.; Ding, H.; Ma, X.; Yang, W.; Ma, X. Predicting Dynamic Properties and Fatigue Performance of Aged and Regenerated Asphalt Using Time–Temperature–Aging and Time–Temperature–Regenerator Superposition Principles. Coatings 2024, 14, 1486. https://doi.org/10.3390/coatings14121486
Wang Z, Ding H, Ma X, Yang W, Ma X. Predicting Dynamic Properties and Fatigue Performance of Aged and Regenerated Asphalt Using Time–Temperature–Aging and Time–Temperature–Regenerator Superposition Principles. Coatings. 2024; 14(12):1486. https://doi.org/10.3390/coatings14121486
Chicago/Turabian StyleWang, Zhaoli, Hongli Ding, Xiaoyan Ma, Wanhong Yang, and Xiaojun Ma. 2024. "Predicting Dynamic Properties and Fatigue Performance of Aged and Regenerated Asphalt Using Time–Temperature–Aging and Time–Temperature–Regenerator Superposition Principles" Coatings 14, no. 12: 1486. https://doi.org/10.3390/coatings14121486
APA StyleWang, Z., Ding, H., Ma, X., Yang, W., & Ma, X. (2024). Predicting Dynamic Properties and Fatigue Performance of Aged and Regenerated Asphalt Using Time–Temperature–Aging and Time–Temperature–Regenerator Superposition Principles. Coatings, 14(12), 1486. https://doi.org/10.3390/coatings14121486
