Experimental and Modeling Analysis of the Tensile Properties of Heavy-Duty Coatings for Steel Structures
Abstract
1. Introduction
2. Experimental Section
2.1. Experimental Materials
2.2. Experimental Setup and Procedures
2.2.1. Experimental Conditions
2.2.2. Coating Preparation
2.2.3. Tensile Test
3. Results and Discussion
3.1. Standard Experimental State
- (1)
- Approximate elastic stage:
- (2)
- Plastic hardening stage:
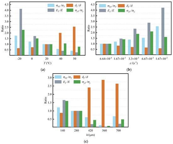
3.2. Mechanical Properties
4. Constitutive Modeling and Experimental Analysis
4.1. Sherwood-Frost Model
4.2. Constitutive Model of Coatings
Establishment of Shape Function
- 1.
- Establishment of shape function:
- 2.
- Establishment of temperature response function:
- 3.
- Establishment of thickness response function:
- 4.
- Establishment of strain rate response function:
4.3. Analysis with Coupled Factor Experiments
5. Conclusions
- The experiments demonstrated that the tensile strength, modulus of elasticity, and yield strength of the coatings decrease with rising temperature or decreasing strain rate; however, elongation at break increases. Additionally, as the paint layer thickness increases, tensile strength, modulus of elasticity, and yield strength initially decrease, then increase, while elongation at break first increases and then decreases. These findings suggest that optimal coating performance requires a careful balance of multiple factors, including temperature, strain rate, and layer thickness.
- Via comparative analysis, it was found that temperature has the most significant impact on elongation at break and modulus of elasticity. Strain rate significantly affects tensile strength and elastic modulus, while changes in intermediate coat thickness significantly influence all of the examined mechanical properties. Notably, the highest tensile strength occurs at a strain rate of 1.16 × 10 −2 s−1, reaching 7.6 MPa. The maximum elongation at break occurs at an intermediate coat thickness of 560 μm, reaching 4.59%.
- The constructed constitutive model of heavy-duty coatings for steel structures comprehensively describes the effects of temperature, thickness, and strain rate by using segmental, linear, and exponential composite functions. The correlation coefficients r between the predicted values of the model and the experimental results are all 0.97 and above, with good prediction accuracy and applicability. The model can be used to accurately predict the mechanical behavior of a coating under static uniaxial tension. To further improve the model’s predictive capability, we plan to conduct experiments over a broader range of parameter values in the future to enhance its applicability and accuracy.
- The constitutive model shows high agreement with the experimental results in the approximate elastic phase; however, errors gradually increase in the plastic strengthening phase. The generation of errors is attributed to model simplification assumptions, material damage and microcrack development, the accumulation of measurement errors, changes in the experimental conditions, and the complexity of multifactor coupling effects. These factors contribute to discrepancies between the model predictions and the experimental results. Future research should focus on refining the model by incorporating microstructural variations, accounting for complex material behaviors, improving experimental condition simulations, and addressing multifactor coupling complexities to enhance accuracy across all phases of deformation.
Author Contributions
Funding
Institutional Review Board Statement
Informed Consent Statement
Data Availability Statement
Conflicts of Interest
References
- Olajire, A.A. Recent advances on organic coating system technologies for corrosion protection of offshore metallic structures. J. Mol. Liq. 2018, 269, 572–606. [Google Scholar] [CrossRef]
- Chambers, L.D.; Stokes, K.R.; Walsh, F.C.; Wood, R.J. Modern approaches to marine antifouling coatings. Surf. Coat. Technol. 2006, 201, 3642–3652. [Google Scholar] [CrossRef]
- Toubia, E.A.; Emami, S. Experimental Evaluation of Structural Steel Coating Systems. J. Mater. Civ. Eng. 2016, 28, 04016147. [Google Scholar] [CrossRef]
- Yang, H.Q.; Zhang, Q.; Li, Y.M.; Liu, G.; Huang, Y. Effects of mechanical stress on protective properties of a marine coating on mild steel substrate. Corros. Sci. 2020, 177, 108986. [Google Scholar] [CrossRef]
- Cheng, M.; Frangopol, D.M.; Gong, C. Acceptance of corrosion-resistant steel in design of steel girder bridges based on expected utility theory. J. Bridge Eng. 2020, 25, 04020098. [Google Scholar] [CrossRef]
- Potgieter, J.H.; Olubambi, P.A.; Cornish, L.; Machio, C.N.; Sherif, E.S.M. Influence of nickel additions on the corrosion behavior of low nitrogen 22% Cr series duplex stainless steels. Corros. Sci. 2008, 50, 2572–2579. [Google Scholar] [CrossRef]
- Mizuba, S.; Tomiyama, T.; Miyata, A. Electrochemical Measurement of Protective Paint Systems for Steel Road Bridges: Results of the Exposure Test in Marine Environment for 30 Years. Corros. Eng. 2018, 67, 287–291. [Google Scholar] [CrossRef]
- Hesp, S.A.M.; Roy, S.D. How Temperature and Loading Rate Affect the Yield Behavior in Polymer-Modified Asphalt Systems. Int. J. Pavement Eng. 2003, 4, 13–23. [Google Scholar] [CrossRef]
- Zhang, C.T.; Li, Y.Y.; Wu, J.J. Mechanical Properties of Fiber-Reinforced Polymer (FRP) Composites at Elevated Temperatures. Buildings 2023, 13, 67. [Google Scholar] [CrossRef]
- Sharma, A.P.; Velmurugan, R. Effect of high strain rate on tensile response and failure analysis of titanium/glass fiber reinforced polymer composites. J. Compos. Mater. 2021, 55, 3443–3470. [Google Scholar] [CrossRef]
- Amjadi, M.; Fatemi, A. Tensile Behavior of High-Density Polyethylene Including the Effects of Processing Technique, Thickness, Temperature, and Strain Rate. Polymers 2020, 12, 1857. [Google Scholar] [CrossRef] [PubMed]
- Hwang, B.K.; Kim, S.K.; Kim, J.H.; Kim, J.D.; Lee, J.M. Dynamic Compressive Behavior of Rigid Polyurethane Foam with Various Densities under Different Temperatures. Int. J. Mech. Sci. 2020, 180, 105657. [Google Scholar] [CrossRef]
- Saha, M.C.; Mahfuz, H.; Chakravarty, U.K.; Uddin, M.; Kabir, M.E.; Jeelani, S. Effect of density, microstructure, and strain rate on compression behavior of polymeric foams. Mater. Sci. Eng. A 2005, 406, 328–336. [Google Scholar] [CrossRef]
- Chen, Y.; Jin, K.; Li, H.; Lin, Y.; Lu, Y.; Hua, X. Effect of peer ply and cooling rate on the tensile properties of Al/Gf/PP laminate prepared by hot pressing. J. Sandw. Struct. Mater. 2018, 22, 109963621880247. [Google Scholar] [CrossRef]
- Schwaber, D.M.; Meinecke, E.A. Energy absorption in polymeric foams. II. Prediction of impact behavior from instron data for foams with rate-dependent modulus. J. Appl. Polym. Sci. 1971, 15, 2381–2393. [Google Scholar] [CrossRef]
- Sherwood, J.A.; Frost, C.C. Constitutive modeling and simulation of energy absorbing polyurethane foam under impact loading. Polym. Eng. Sci. 1992, 32, 1138–1146. [Google Scholar] [CrossRef]
- Dinh, T.D.; Rezaei, A.; De Laet, L.; Mollaert, M.; Van Hemelrijck, D.; Van Paepegem, W. A new elasto-plastic material model for coated fabric. Eng. Struct. 2014, 71, 222–233. [Google Scholar] [CrossRef]
- Jekel, C.F.; Venter, G.; Venter, M.P. Modeling PVC-coated polyester as a hypoelastic non-linear orthotropic material. Compos. Struct. 2017, 161, 51–64. [Google Scholar] [CrossRef]
- Wen, Y.; Lai, Z.; Ma, J.; Liu, H.; Wang, Y.; Chi, H.; Huang, R. A dynamic constitutive model for high-density rigid polyurethane foam subjected to impact loading. Constr. Build. Mater. 2023, 387, 131642. [Google Scholar] [CrossRef]
- Kim, I.T.; Dao, D.K.; Jeong, Y.S.; Huh, J.; Ahn, J.H. Effect of corrosion on the tension behavior of painted structural steel members. J. Constr. Steel Res. 2017, 133, 256–268. [Google Scholar] [CrossRef]
- See, S.C.; Zhang, Z.Y.; Richardson, M. A study of water absorption characteristics of a novel nano-gelcoat for marine application. Prog. Org. Coat. 2009, 64, 169–174. [Google Scholar] [CrossRef]
- Beydon, R.; Bernhart, G.; Segui, Y. Measurement of metallic coatings adhesion to fibre reinforced plastic materials. Surf. Coat. Technol. 2000, 126, 39–47. [Google Scholar] [CrossRef]
- Sikdar, P.; Islam, S.; Dhar, A.; Bhat, G.; Hinchliffe, D.; Condon, B. Barrier and mechanical properties of water-based polyurethane-coated hydroentangled cotton nonwovens. J. Coat. Technol. Res. 2022, 19, 1255–1267. [Google Scholar] [CrossRef]
- Zhang, Z.; Yang, M.; He, G. Structure, mechanical, and sand erosion behavior of TiN/Ti coating deposited at various temperature. Ceram. Int. 2023, 49, 16786–16795. [Google Scholar] [CrossRef]
- Sharifzadeh, E.; Cheraghi, K. Temperature-affected mechanical properties of polymer nanocomposites from glassy-state to glass transition temperature. Mech. Mater. 2021, 160, 103990. [Google Scholar] [CrossRef]
- Shuai, J.; Zuo, X.; Wang, Z.; Sun, L.; Chen, R.; Wang, L.; Ke, P. Erosion behavior and failure mechanism of Ti/TiAlN multilayer coatings eroded by silica sand and glass beads. J. Mater. Sci. Technol. 2021, 80, 179–190. [Google Scholar] [CrossRef]
- Giúdice, C.A.; Benítez, J.C. Optimising the corrosion protective abilities of lamellar micaceous iron oxide containing primers. Anti-Corros. Method Mater. 2000, 47, 226–232. [Google Scholar] [CrossRef]
- ISO 12944-1:2017; Paints and Varnishes—Corrosion Protection of Steel Structures by Protective Paint Systems—General Introduction. International Organization for Standardization: Geneva, Switzerland, 2017.
- JT/T722-2023; Specification of Protective Coating for Highway Bridge Steel Structure. Ministry of Transport of the People’s Republic of China: Beijing, China, 2023. (In Chinese)
- ISO 527-3:2018; Plastics—Determination of Tensile Properties. International Organization for Standardization: Geneva, Switzerland, 2018.
- Nagy, A.; Ko, W.L.; Lindholm, U.S. Mechanical Behavior of Foamed Materials Under Dynamic Compression. J. Cell. Plast. 1974, 10, 127–134. [Google Scholar] [CrossRef]
- Shangguan, Y.; Chen, F.; Jia, E.; Lin, Y.; Hu, J.; Zheng, Q. New insight into time-temperature correlation for polymer relaxations ranging from secondary relaxation to terminal flow: Application of a universal and developed WLF equation. Polymers 2017, 9, 567. [Google Scholar] [CrossRef]









| Coating | Component A | Component B | A:B (Mass Ratio) |
|---|---|---|---|
| Epoxy zinc-rich primer | Epoxy resin, scale zinc powder, etc. | Curing agent | 12:1 |
| Epoxy mica iron oxide thick paste intermediate coat | Epoxy resin, mica iron oxide, etc. | Curing agent | 13.5:1 |
| Fluorocarbon topcoat | Fluorocarbon resin, etc. | Curing agent | 10:1 |
| Coating | Color | Luster | Specific Gravity | Solid Content (%) | Surface Drying Time (min) | Maximum Recoating Time (d) |
|---|---|---|---|---|---|---|
| Primer | Gray | Dull | 2.65 ± 0.1 | 68 ± 2 | 30 | 7 |
| Intermediate coat | Gray | Dull | 2.1 ± 0.1 | 80 ± 1 | 30 | 7 |
| Topcoat | White | Highlights | 1.3 ± 0.1 | 55 ± 2 | 60 | 7 |
| Test Conditions | v (mm/min) | T (°C) | h (μm) | ||
|---|---|---|---|---|---|
| Primer | Intermediate Coat | Topcoat | |||
| 1 | 2 | 20 | 60 | 140/280/420/560/700 | 80 × 2 = 160 |
| 2 | 2/5/10/20/50 | 20 | 60 | 140 × 2 = 280 | 80 × 2 = 160 |
| 3 | 2 | −20/0/20/40/50 | 60 | 140 × 2 = 280 | 80 × 2 = 160 |
| Coating | Primer | Intermediate Coat | Topcoat |
|---|---|---|---|
| Dry film thickness (μm) | 60 | 140/280/420/560/700 | 160 |
| Wet film thickness (μm) | 90 | 175/350/525/700/875 | 290 |
| Surface drying time (min) | 72 | 168/336/432/576/720 | 384 |
| Test Conditions | E (MPa) | s | σb (MPa) | s | δ (%) | s | σy (MPa) | s | |
|---|---|---|---|---|---|---|---|---|---|
| Temperature (°C) | −20 | 3.05 | 0.09 | 5.18 | 0.15 | 1.04 | 0.03 | 1.52 | 0.04 |
| 0 | 1.27 | 0.03 | 3.64 | 0.11 | 1.16 | 0.03 | 1.01 | 0.03 | |
| 20 | 0.74 | 0.02 | 2.96 | 0.09 | 1.60 | 0.04 | 0.67 | 0.02 | |
| 40 | 0.31 | 0.01 | 1.72 | 0.04 | 3.20 | 0.09 | 0.72 | 0.02 | |
| 50 | 0.21 | 0.01 | 1.24 | 0.03 | 4.08 | 0.12 | 0.52 | 0.02 | |
| Strain rate (s−1) | 6.67 × 10−4 | 0.74 | 0.02 | 2.96 | 0.09 | 1.60 | 0.04 | 0.67 | 0.02 |
| 1.67 × 10−3 | 1.08 | 0.02 | 3.52 | 0.11 | 1.33 | 0.03 | 0.94 | 0.02 | |
| 3.3 × 10−3 | 1.73 | 0.04 | 4.07 | 0.12 | 1.14 | 0.03 | 1.26 | 0.03 | |
| 6.67 × 10−3 | 2.13 | 0.06 | 4.54 | 0.13 | 1.07 | 0.03 | 1.41 | 0.03 | |
| 1.67 × 10−2 | 3.12 | 0.09 | 7.58 | 0.16 | 0.95 | 0.02 | 1.08 | 0.03 | |
| Intermediate coat thickness (μm) | 140 | 1.22 | 0.03 | 3.58 | 0.11 | 1.41 | 0.03 | 1.07 | 0.03 |
| 280 | 0.74 | 0.02 | 2.96 | 0.09 | 1.60 | 0.04 | 0.67 | 0.02 | |
| 420 | 0.15 | 0.01 | 1.83 | 0.03 | 3.85 | 0.12 | 0.30 | 0.01 | |
| 560 | 0.02 | 0.01 | 0.41 | 0.01 | 4.59 | 0.13 | 0.06 | 0.01 | |
| 700 | 0.16 | 0.01 | 2.00 | 0.06 | 4.23 | 0.13 | 0.33 | 0.01 | |
| T (°C) | m | b | Q (J/(mol·K)) | H0 | R2 |
|---|---|---|---|---|---|
| −20 | −2.19 | 0.87 | 18.21 | 2.39 | 0.97 |
| 0 | −1.84 | 0.73 | 15.30 | 2.07 | 0.96 |
| 40 | −1.59 | 0.51 | 13.22 | 1.66 | 0.97 |
| 50 | −1.36 | 0.39 | 11.31 | 1.48 | 0.98 |
| h (μm) | c1 | c2 | c3 | R2 |
|---|---|---|---|---|
| 140 | −0.428 | 0.434 | 1.586 | 0.94 |
| 420 | −0.125 | −0.004 | 0.345 | 0.97 |
| 560 | −0.02 | 0.007 | 0.045 | 0.95 |
| 700 | −0.139 | 0.034 | 0.335 | 0.96 |
| Strain Rate (s−1) | lnk | n | p | R2 |
|---|---|---|---|---|
| 1.67 × 10−3 | 0.273 | 1.85 | 3.27 | 0.98 |
| 3.3 × 10−3 | 0.186 | 2.17 | 2.36 | 0.96 |
| 6.67 × 10−3 | 0.451 | 1.43 | −1.45 | 0.95 |
| 1.67 × 10−2 | 0.312 | 1.35 | 1.96 | 0.97 |
Disclaimer/Publisher’s Note: The statements, opinions and data contained in all publications are solely those of the individual author(s) and contributor(s) and not of MDPI and/or the editor(s). MDPI and/or the editor(s) disclaim responsibility for any injury to people or property resulting from any ideas, methods, instructions or products referred to in the content. |
© 2024 by the authors. Licensee MDPI, Basel, Switzerland. This article is an open access article distributed under the terms and conditions of the Creative Commons Attribution (CC BY) license (https://creativecommons.org/licenses/by/4.0/).
Share and Cite
Lin, P.; Chen, X. Experimental and Modeling Analysis of the Tensile Properties of Heavy-Duty Coatings for Steel Structures. Coatings 2024, 14, 1289. https://doi.org/10.3390/coatings14101289
Lin P, Chen X. Experimental and Modeling Analysis of the Tensile Properties of Heavy-Duty Coatings for Steel Structures. Coatings. 2024; 14(10):1289. https://doi.org/10.3390/coatings14101289
Chicago/Turabian StyleLin, Pengzhen, and Xing Chen. 2024. "Experimental and Modeling Analysis of the Tensile Properties of Heavy-Duty Coatings for Steel Structures" Coatings 14, no. 10: 1289. https://doi.org/10.3390/coatings14101289
APA StyleLin, P., & Chen, X. (2024). Experimental and Modeling Analysis of the Tensile Properties of Heavy-Duty Coatings for Steel Structures. Coatings, 14(10), 1289. https://doi.org/10.3390/coatings14101289

