Optimal Design of Multilevel Composite Lubrication Structures on Sliding Guide Rail Surfaces
Abstract
1. Introduction
2. Experiment
2.1. Experimental Equipment and Materials
2.2. Preparation of Surface Microstructures
2.3. Experimental Design for Multilevel Composite Lubrication Structure Parameters
3. Results and Discussion
3.1. The Impact of Multilevel Composite Lubrication Structure Parameters on Friction Performance
The Impact of Single-Factor Variables on Crawling Time and Friction Coefficient
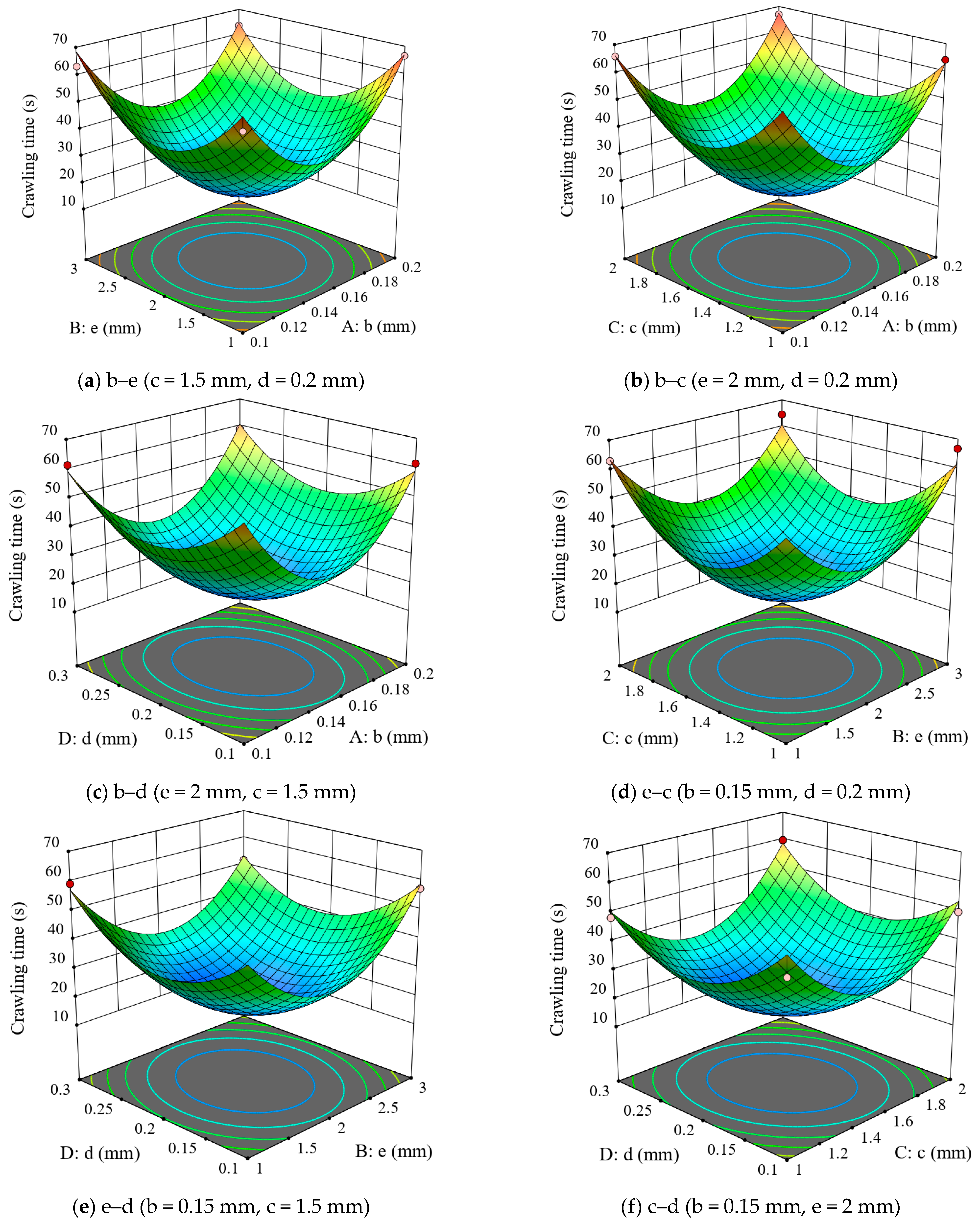
3.2. The Impact of Interactive Process Variables on Friction Performance
- (1)
- The Impact of Interactive Process Variables on Crawling Time
144 × bd − 4.11 × ec − 26.725 × ed + 49.55 × cd + 10,670.8 × b2 + 21.887 × e2 + 84.983 × c2 + 1581.075 × d2,
- (2)
- The Impact of Interactive Process Variables on Average Friction Coefficient
0.1 × bd + 0.002 × ec − 0.06 × ed + 0.02 × cd + 8.78 × b2 + 0.01645 × e2 + 0.0748 × c2 + 1.42 × d2,
3.3. Response Surface Optimization Results
3.4. Optimization of Solid Lubricant Filling Ratio
3.5. Friction Performance of Sliding Guide Rails under Medium-Speed and Medium-Load Conditions
4. Conclusions
- (1)
- The crawling time and friction coefficient initially decrease and then increase with the increase in sinusoidal texture width, spacing, cycle length, and hexagonal pit diameter. The primary factor affecting the friction performance of the guide rails is the sinusoidal texture spacing c, followed by the sinusoidal texture length e, then the sinusoidal texture width b, and finally the hexagonal pit diameter d.
- (2)
- The optimal combination of parameters for the multilevel composite lubrication structure includes a sinusoidal texture width b = 0.15 mm, a cycle length of the sinusoidal texture e = 2 mm, a sinusoidal texture spacing c = 1.5 mm, and a hexagonal pit diameter d = 0.2 mm. The predicted values for crawling time and average friction coefficient are 17.3406 s and 0.0976, respectively.
- (3)
- Based on ratio experiments under low-speed, heavy-load conditions, the anticrawling and friction-reducing performance of different mass ratios of guide rail oil and MoS2 was studied. It was found that a mass ratio of guide rail oil to MoS2 of 2:1 offers the best anticrawling and friction-reducing performance, with the lowest average friction coefficient being 0.096.
- (4)
- Under normal operating conditions (medium speed and medium load), samples with multilevel composite lubrication structures demonstrated the best friction performance, showing more stable instantaneous friction coefficient curves. Compared to smooth and multilevel lubricated surface structures, the average friction coefficient was reduced by 41.8% and 18.6%, respectively.
Author Contributions
Funding
Institutional Review Board Statement
Informed Consent Statement
Data Availability Statement
Conflicts of Interest
References
- Xu, M.; Zhang, W.; Li, C. Local subsidence behavior of linear guideway assembly resting on a rough elastic foundation. Tribol. Int. 2023, 189, 108941. [Google Scholar] [CrossRef]
- Wang, S.; He, G.; Zhang, D.; Chen, F.; Yao, C.; Yan, Y. Innovative design methods for the geometric accuracy of machine tool guide rail oriented to spatial accuracy. J. Manuf. Process. 2024, 119, 483–498. [Google Scholar] [CrossRef]
- Yang, J.; Zhou, H.; Li, S.; Chen, J.; Xiang, H. Analysis of the critical Stick-slip velocity of CNC machine tool combining friction parameters identification and dynamic model. Int. J. Adv. Manuf. Technol. 2024, 131, 1849–1865. [Google Scholar] [CrossRef]
- Singla, Y.K.; Arora, N.; Dwivedi, D.K.; Rohilla, V. Influence of niobium on the microstructure and wear resistance of iron-based hard-facings produced by pre-placement technique—A novel approach. Int. J. Adv. Manuf. Technol. 2017, 93, 2667–2674. [Google Scholar] [CrossRef]
- Grzesik, W.; Żak, K.; Kiszka, P. Comparison of surface textures generated in hard turning and grinding operations. Procedia CIRP 2014, 13, 84–89. [Google Scholar] [CrossRef]
- Park, J.; Lee, W.; Choi, T.; Hwang, S.-H.; Myoung, J.M.; Jung, J.-H.; Kim, S.-H.; Kim, H. Layer-modulated synthesis of uniform tungsten disulfide nanosheet using gas-phase precursors. Nanoscale 2015, 7, 1308–1313. [Google Scholar] [CrossRef] [PubMed]
- Dumitru, G.; Romano, V.; Weber, H.; Haefke, H.; Gerbig, Y.; Pflüger, E. Laser microstructuring of steel surfaces for tribological applications. Appl. Phys. A 2000, 70, 485–487. [Google Scholar] [CrossRef]
- Gropper, D.; Wang, L.; Harvey, T.J. Hydrodynamic lubrication of textured surfaces: A review of modeling techniques and key findings. Tribol. Int. 2016, 94, 509–529. [Google Scholar] [CrossRef]
- Gu, C.; Meng, X.; Xie, Y.; Yang, Y. Effects of surface texturing on ring/liner friction under starved lubrication. Tribol. Int. 2016, 94, 591–605. [Google Scholar] [CrossRef]
- Tomanik, E.; Profito, F.J.; Zachariadis, D.C. Modelling the hydrodynamic support of cylinder bore and piston rings with laser textured surfaces. Tribol. Int. 2013, 59, 90–96. [Google Scholar] [CrossRef]
- Rosenkranz, A.; Costa, H.L.; Profito, F.; Gachot, C.; Medina, S.; Dini, D. Influence of surface texturing on hydrodynamic friction in plane converging bearings—An experimental and numerical approach. Tribol. Int. 2019, 134, 190–204. [Google Scholar] [CrossRef]
- Yang, L.; Ding, Y.; Cheng, B.; He, J.; Wang, G.; Wang, Y. Investigations on femtosecond laser modified micro-textured surface with anti-friction property on bearing steel GCr15. Appl. Surf. Sci. 2018, 434, 831–842. [Google Scholar] [CrossRef]
- Ahmed, A.; Masjuki, H.; Varman, M.; Kalam, M.; Habibullah, M.; Al Mahmud, K. An overview of geometrical parameters of surface texturing for piston/cylinder assembly and mechanical seals. Meccanica 2016, 51, 9–23. [Google Scholar] [CrossRef]
- Kasem, H.; Stav, O.; Grützmacher, P.; Gachot, C. Effect of low depth surface texturing on friction reduction in lubricated sliding contact. Lubricants 2018, 6, 62. [Google Scholar] [CrossRef]
- Lu, L.; Zhang, Z.; Guan, Y.; Zheng, H. Comparison of the effect of typical patterns on friction and wear properties of chromium alloy prepared by laser surface texturing. Opt. Laser Technol. 2018, 106, 272–279. [Google Scholar] [CrossRef]
- Dan, L.; Xuefeng, Y.; Chongyang, L.; Jian, C.; Shouren, W.; Yanjun, W. Tribological characteristics of a cemented carbide friction surface with chevron pattern micro-texture based on different texture density. Tribol. Int. 2020, 142, 106016. [Google Scholar] [CrossRef]
- Li, H.; Zhou, H.; Zhang, D.; Zhang, P.; Zhou, T. Influence of varying distribution distance and angle on fatigue wear resistance of 40Cr alloy steel with laser bionic texture. Mater. Chem. Phys. 2022, 277, 125515. [Google Scholar] [CrossRef]
- Xie, X.; Hua, X.; Li, J.; Cao, X.; Tian, Z.; Peng, R.; Yin, B.; Zhang, P. Synergistic effect of micro-textures and MoS2 on the tribological properties of PTFE film against GCr15 bearing steel. J. Mech. Sci. Technol. 2021, 35, 2151–2160. [Google Scholar] [CrossRef]
- Meng, F.; Zhang, W. Effects of compound groove texture on noise of journal bearing. J. Tribol. 2018, 140, 031703. [Google Scholar] [CrossRef]
- Fan, Y.; Chen, Y.; Hao, M.; Wang, S.; Du, Y.; Xia, Y.; Guan, X. Study on the improvement of crawling phenomenon of sliding guideway by composite lubrication texture. China Mech. Eng. 2024, 1–8. [Google Scholar]










| Load (N) | Stroke (mm) | Reciprocating Frequency (Hz) | Time (min) | |
|---|---|---|---|---|
| Low-Speed Heavy-Load | 30 | 6 | 1 | 30 |
| Medium-Speed Medium-Load | 6 | 14 | 60 | 60 |
| Number | Sinusoidal Texture Width b (mm) | Length of One Cycle of Sinusoidal Texture e (mm) | Spacing between Adjacent Sinusoidal Textures c (mm) | Hexagonal Pit Diameter d (mm) | Crawling Time (s) | Average Friction Coefficient |
|---|---|---|---|---|---|---|
| 1 | 0.1 | 1 | 1.5 | 0.2 | 58.57 | 0.154 |
| 2 | 0.2 | 1 | 1.5 | 0.2 | 66.57 | 0.158 |
| 3 | 0.1 | 3 | 1.5 | 0.2 | 63.16 | 0.155 |
| 4 | 0.2 | 3 | 1.5 | 0.2 | 63.58 | 0.145 |
| 5 | 0.15 | 2 | 1 | 0.1 | 48.24 | 0.148 |
| 6 | 0.15 | 2 | 2 | 0.1 | 49.78 | 0.146 |
| 7 | 0.15 | 2 | 1 | 0.3 | 48.19 | 0.147 |
| 8 | 0.15 | 2 | 2 | 0.3 | 59.64 | 0.149 |
| 9 | 0.1 | 2 | 1.5 | 0.1 | 66.97 | 0.159 |
| 10 | 0.2 | 2 | 1.5 | 0.1 | 61.53 | 0.155 |
| 11 | 0.1 | 2 | 1.5 | 0.3 | 61.38 | 0.156 |
| 12 | 0.2 | 2 | 1.5 | 0.3 | 58.82 | 0.154 |
| 13 | 0.15 | 1 | 1 | 0.2 | 56.97 | 0.161 |
| 14 | 0.15 | 3 | 1 | 0.2 | 66.79 | 0.159 |
| 15 | 0.15 | 1 | 2 | 0.2 | 62.96 | 0.149 |
| 16 | 0.15 | 3 | 2 | 0.2 | 64.56 | 0.151 |
| 17 | 0.1 | 2 | 1 | 0.2 | 65.97 | 0.16 |
| 18 | 0.2 | 2 | 1 | 0.2 | 64.29 | 0.158 |
| 19 | 0.1 | 2 | 2 | 0.2 | 65.86 | 0.157 |
| 20 | 0.2 | 2 | 2 | 0.2 | 66.87 | 0.161 |
| 21 | 0.15 | 1 | 1.5 | 0.1 | 54.13 | 0.144 |
| 22 | 0.15 | 3 | 1.5 | 0.1 | 57.21 | 0.153 |
| 23 | 0.15 | 1 | 1.5 | 0.3 | 59.18 | 0.157 |
| 24 | 0.15 | 3 | 1.5 | 0.3 | 51.57 | 0.142 |
| 25 | 0.15 | 2 | 1.5 | 0.2 | 17.58 | 0.098 |
| 26 | 0.15 | 2 | 1.5 | 0.2 | 18.04 | 0.099 |
| 27 | 0.15 | 2 | 1.5 | 0.2 | 16.79 | 0.098 |
| 28 | 0.15 | 2 | 1.5 | 0.2 | 16.69 | 0.097 |
| 29 | 0.15 | 2 | 1.5 | 0.2 | 17.43 | 0.096 |
| Sample Number | Sample Name | Formula Ratio | Hardness Value (HV) |
|---|---|---|---|
| GM-1 | Guideway oil: MoS2 = 5:1 | 2.5 g Guideway oil + 0.5 g MoS2 | 5.2 |
| GM-2 | Guideway oil: MoS2 = 4:1 | 2.4 g Guideway oil + 0.6 g MoS2 | 5.75 |
| GM-3 | Guideway oil: MoS2 = 7:3 | 2.1 g Guideway oil + 0.9 g MoS2 | 3.9 |
| GM-4 | Guideway oil: MoS2 = 2:1 | 2 g Guideway oil + 1 g MoS2 | 5.8 |
| GM-5 | Guideway oil: MoS2 = 3:2 | 1.8 g Guideway oil + 1.2 g MoS2 | 5.15 |
| GM-6 | Guideway oil: MoS2 = 1:1 | 1.5 g Guideway oil + 1.5 g MoS2 | 5.25 |
Disclaimer/Publisher’s Note: The statements, opinions and data contained in all publications are solely those of the individual author(s) and contributor(s) and not of MDPI and/or the editor(s). MDPI and/or the editor(s) disclaim responsibility for any injury to people or property resulting from any ideas, methods, instructions or products referred to in the content. |
© 2024 by the authors. Licensee MDPI, Basel, Switzerland. This article is an open access article distributed under the terms and conditions of the Creative Commons Attribution (CC BY) license (https://creativecommons.org/licenses/by/4.0/).
Share and Cite
Bao, H.; Hao, M.; Du, Y.; Chen, Y. Optimal Design of Multilevel Composite Lubrication Structures on Sliding Guide Rail Surfaces. Coatings 2024, 14, 1286. https://doi.org/10.3390/coatings14101286
Bao H, Hao M, Du Y, Chen Y. Optimal Design of Multilevel Composite Lubrication Structures on Sliding Guide Rail Surfaces. Coatings. 2024; 14(10):1286. https://doi.org/10.3390/coatings14101286
Chicago/Turabian StyleBao, Hong, Mengjie Hao, Yuchen Du, and Yuzhe Chen. 2024. "Optimal Design of Multilevel Composite Lubrication Structures on Sliding Guide Rail Surfaces" Coatings 14, no. 10: 1286. https://doi.org/10.3390/coatings14101286
APA StyleBao, H., Hao, M., Du, Y., & Chen, Y. (2024). Optimal Design of Multilevel Composite Lubrication Structures on Sliding Guide Rail Surfaces. Coatings, 14(10), 1286. https://doi.org/10.3390/coatings14101286
